Seasonal Variations of the Nutritive Value and Phytotherapeutic Potential of Cladium mariscus L. (Pohl.) Targeting Ruminant’s Production
Abstract
1. Introduction
2. Material and Methods
2.1. Plant Collection and Processing
2.2. Nutritional Analysis
2.2.1. Nutritional Profile
2.2.2. Mineral Content
2.2.3. In Vitro Organic Matter Digestibility (IVOMD)
2.3. Chemical Profiling of the Extracts
2.3.1. Preparation of the Extracts
2.3.2. Total Phenolic Content (TPC)
2.3.3. Total Flavonoid Content (TFC)
2.3.4. Total Condensed Tannins Content (CTC)
2.3.5. Phenolic Profile by High Performance Liquid Chromatography-Diode Array Detection (HPLC-DAD)
2.4. Bioactive Properties
2.4.1. In Vitro Antioxidant Properties
Radical Scavenging Activity (RSA) on DPPH• Free Radical
RSA on ABTS•+ Free Radical
RSA on Superoxide Anion (O2−•)
Metal Chelating Activity on Copper (CCA) and Iron (ICA)
Ferric Reducing Antioxidant Power (FRAP)
2.5. In Vitro Anti-Inflammatory Properties
2.5.1. Cell Viability
2.5.2. In Vitro Anti-Inflammatory Properties
2.6. Statistical Analysis
3. Results and Discussion
3.1. Nutritional Profile
3.2. Phenolic Content of the Extracts
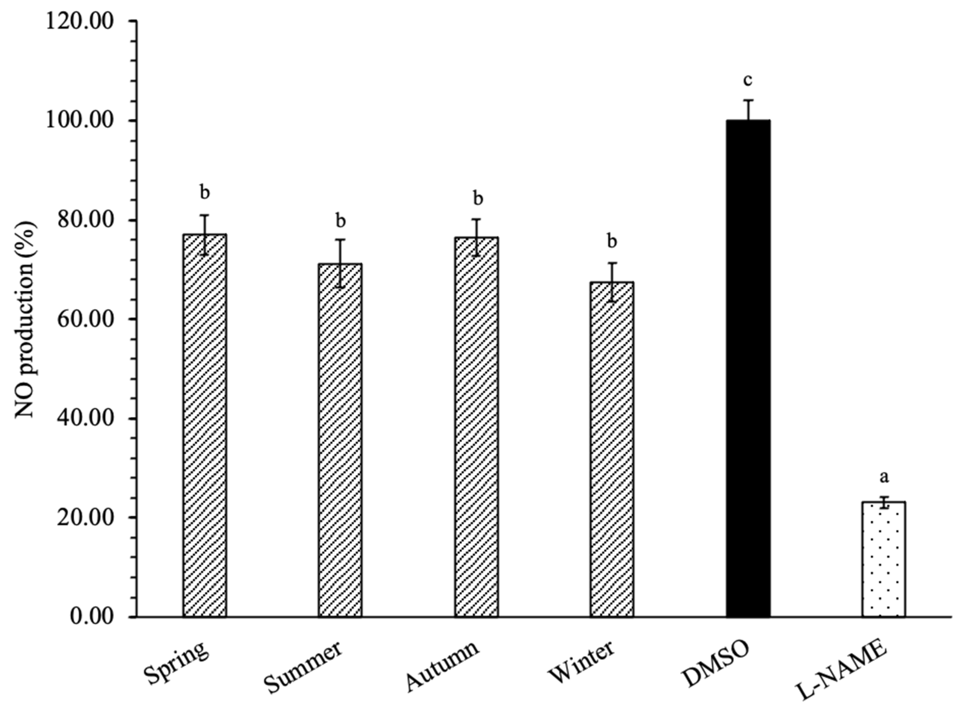
3.3. Bioactive Properties
4. Conclusions
Author Contributions
Funding
Acknowledgments
Conflicts of Interest
References
- Giorgi, F.; Bi, X. Updated regional precipitation and temperature changes for the 21st century from ensembles of recent AOGCM simulations. Geophys. Res. Lett. 2005, 32, L21715. [Google Scholar] [CrossRef]
- Alo, C.A.; Anagnostou, E.N. A sensitivity study of the impact of dynamic vegetation on simulated future climate change over Southern Europe and the Mediterranean. Int. J. Climatol. 2017, 37, 2037–2050. [Google Scholar] [CrossRef]
- Lionello, P.; Malanotte-Rizzoli, P.; Boscolo, R.; Alpert, P.; Artale, V.; Li, L.; Luterbacher, J.; May, W.; Trigo, R.; Tsimplis, M.; et al. The Mediterranean climate: An overview of the main characteristics and issues. In Mediterranean Climate Variability; Lionello, P., Malanotte-Rizzoli, P., Boscolo, R., Eds.; Elsevier: Amsterdam, The Netherlands, 2006. [Google Scholar]
- Guerreiro, O.; Dentinho, M.T.P.; Moreira, O.C.; Guerra, A.R.; Ramos, P.A.B.; Bessa, R.J.B.; Duarte, M.F.; Jerónimo, E. Potential of Cistus ladanifer L.(rockrose) in small ruminant diets—Effect of season and plant age on chemical composition, in vitro digestibility and antioxidant activity. Grass Forage Sci. 2016, 71, 437–447. [Google Scholar] [CrossRef]
- El Shaer, H.M. Halophytes and salt-tolerant plants as potential forage for ruminants in the Near East region. Small Rumin. Res. 2010, 91, 3–12. [Google Scholar] [CrossRef]
- Vasta, V.; Luciano, G. The effects of dietary consumption of plants secondary compounds on small ruminants’ products quality. Small Rumin. Res. 2011, 101, 150–159. [Google Scholar] [CrossRef]
- Ksouri, R.; Ksouri, W.M.; Jallali, I.; Debez, A.; Magné, C.; Hiroko, I.; Abdelly, C. Medicinal halophytes: Potent source of health promoting biomolecules with medical, nutraceutical and food applications. Crit. Rev. Biotechnol. 2012, 32, 289–326. [Google Scholar] [CrossRef]
- Oliveira, M.; Hoste, H.; Custódio, L. A systematic review on the ethnoveterinary uses of Mediterranean salt-tolerant plants: Exploring its potential use as fodder, nutraceuticals or phytotherapeutics in ruminant production. J. Ethnopharmacol. 2021, 267, 113464. [Google Scholar] [CrossRef]
- Lopes, A.; Rodrigues, M.J.; Pereira, C.; Oliveira, M.; Barreira, L.; Varela, J.; Trampetti, F.; Custódio, L. Natural products from extreme marine environments: Searching for potential industrial uses within extremophile plants. Ind. Crop. Prod. 2016, 94, 299–307. [Google Scholar] [CrossRef]
- Rochfort, S.; Parker, A.J.; Dunshea, F.R. Plant bioactives for ruminant health and productivity. Phytochemistry 2008, 69, 299–322. [Google Scholar] [CrossRef]
- Hoste, H.; Torres-Acosta, J.F.J.; Sandoval-Castro, C.A.; Mueller-Harvey, I.; Sotiraki, S.; Louvandini, H.; Thamsborg, S.M.; Terril, T.H. Tannin containing legumes as a model for nutraceuticals against digestive parasites in livestock. Vet. Parasitol. 2015, 212, 5–17. [Google Scholar] [CrossRef] [PubMed]
- Kalantar, M. The Importance of Flavonoids in Ruminant Nutrition. Arch. Anim. Husb. Dairy Sci. 2018, 1, 1–4. [Google Scholar]
- Huang, Q.; Liu, X.; Zhao, G.; Ju, T.; Wang, Y. Potential and challenges of tannins as an alternative to in-feed antibiotics for farm animal production. Anim. Nutr. 2018, 4, 137–150. [Google Scholar] [CrossRef]
- Olagaray, K.E.; Bradford, B.J. Plant flavonoids to improve productivity of ruminants—A review. Anim. Feed Sci. Technol. 2019, 251, 21–36. [Google Scholar] [CrossRef]
- Guerreiro, O.; Alves, S.P.; Soldado, D.; Cachucho, L.; Almeida, J.M.; Francisco, A.; Santos-Silva, J.; Bessa, R.J.B.; Jerónimo, E. Inclusion of the aerial part and condensed tannin extract from Cistus ladanifer L. in lamb diets—Effects on growth performance, carcass and meat quality and fatty acid composition of intramuscular and subcutaneous fat. Meat Sci. 2020, 160, 107945. [Google Scholar] [CrossRef]
- Gerdol, R.; Brancaleoni, L.; Lastrucci, L.; Nobili, G.; Pellizzari, M.; Ravaglioli, M.; Viciani, D. Wetland Plant Diversity in a Coastal Nature Reserve in Italy: Relationships with Salinization and Eutrophication and Implications for Nature Conservation. Estuaries Coast. 2018, 41, 2079–2091. [Google Scholar] [CrossRef]
- Abouzid, S. An active learning assignment to improve pharmacy students’ knowledge of herbal medicine. J. Appl. Pharm. Sci. 2015, 5, 106–108. [Google Scholar] [CrossRef][Green Version]
- AbouZid, S.F.; Mohamed, A. Survey on medicinal plants and spices used in Beni-Sueif, Upper Egypt. J. Ethnobiol. Ethnomed. 2011, 7, 18. [Google Scholar] [CrossRef] [PubMed]
- AOAC International. Official Methods of Analysis, 18th ed.; Method 942.05; AOAC International: Gaithersburg, MD, USA, 2005. [Google Scholar]
- Bligh, E.G.; Dyer, W.J. A rapid method of total lipid extraction and purification. Can. J. Biochem. Physiol. 1959, 37, 911–917. [Google Scholar] [CrossRef] [PubMed]
- Pereira, C.G.; Barreira, L.; Neng, N.R.; Nogueira, J.M.F.; Marques, C.; Santos, T.F.; Varela, J.; Custódio, L. Searching for new sources of innovative products for the food industry within halophyte aromatic plants: In vitro antioxidant activity and phenolic and mineral contents of infusions and decoctions of Crithmum maritimum L. Food Chem. Toxicol. 2017, 107, 581–589. [Google Scholar] [CrossRef]
- Alexander, R.H.; McGowan, M. A filtration procedure for the in vitro determination of digestibility of herbage. Grass Forage Sci. 1961, 16, 275–276. [Google Scholar] [CrossRef]
- Singleton, V.L.; Rossi, J.A. Colorimetry of total phenolics with phosphomolybdic-phosphotungstic acid reagents. Am. J. Enol. Vitic. 1965, 16, 144–158. [Google Scholar]
- Rodrigues, M.J.; Soszynski, A.; Martins, A.; Rauter, A.P.; Neng, N.R.; Nogueira, J.M.F.; Varela, J.; Barreira, L.; Custódio, L. Unravelling the antioxidant potential and the phenolic composition of different anatomical organs of the marine halophyte Limonium algarvense. Ind. Crop. Prod. 2015, 77, 315–322. [Google Scholar] [CrossRef]
- Quettier-Deleu, C.; Gressier, B.; Vasseur, J.; Dine, T.; Brunet, C.; Luyckx, M.; Cazin, M.; Cazin, J.C.; Bailleul, F.; Trotin, F. Phenolic compounds and antioxidant activities of buckwheat (Fagopyrum esculentum Moench) hulls and flour. J. Ethnopharmacol. 2000, 72, 35–42. [Google Scholar] [CrossRef]
- Li, Y.G.; Tanner, G.; Larkin, P. The DMACA-HC1 Protocol and the threshold Proanthocyanidin Content for Bloat Safety in Forage Legumes. J. Sci. Food Agric. 1996, 70, 89–101. [Google Scholar] [CrossRef]
- Rodrigues, M.J.; Neves, V.; Martins, A.; Rauter, A.P.; Neng, N.R.; Nogueira, J.M.F.; Varela, J.; Barreira, L.; Custódio, L. In vitro antioxidant and anti-inflammatory properties of Limonium algarvense flowers’ infusions and decoctions: A comparison with green tea (Camellia sinensis). Food Chem. 2016, 200, 322–329. [Google Scholar] [CrossRef] [PubMed]
- Megias, C.; Pastor-Cavada, E.; Torres-Fuentes, C.; Girón-Calle, J.; Alaiz, M.; Juan, R.; Pastor, J.; Vioque, J. Chelating, antioxidant and antiproliferative activity of Vicia sativa polyphenol extracts. Eur. Food Res. Technol. 2009, 230, 353–359. [Google Scholar] [CrossRef]
- Mosmann, T. Rapid colorimetric assay for cellular growth and survival: Application to proliferation and cytotoxicity assays. J. Immunol. Methods 1983, 65, 55–63. [Google Scholar] [CrossRef]
- Rodrigues, M.J.; Gangadhar, K.N.; Vizzeto-Duarte, C.; Wubshet, S.G.; Nyberg, N.T.; Barreira, L.; Varela, J.; Custódio, L. Maritime Halophyte Species from Southern Portugal as Sources of Bioactive Molecules. Mar. Drugs 2014, 12, 2228–2244. [Google Scholar] [CrossRef] [PubMed]
- Miranda, K.M.; Espey, M.G.; Wink, D.A. A Rapid, Simple Spectrophotometric Method for Simultaneous Detection of Nitrate and Nitrite. Nitric Oxide 2001, 5, 62–71. [Google Scholar] [CrossRef]
- Smoliak, S.; Bezeau, L.M. Chemical composition and in vitro digestibility of range forage plants of the stipa-bouteloua prairie. Can. J. Plant Sci. 1966, 47, 161–167. [Google Scholar] [CrossRef]
- Barreira, L.; Resek, E.; Rodrigues, M.J.; Rocha, M.I.; Pereira, H.; Bandarra, N.; Da Silva, M.M.; Varela, J.; Custódio, L. Halophytes: Gourmet food with nutritional health benefits? J. Food Compos. Anal. 2017, 59, 35–42. [Google Scholar] [CrossRef]
- Glenn, E.P. Relationship between cation accumulation and water content of salt-tolerant grasses and a sedge. Plant Cell Environ. 1987, 10, 205–212. [Google Scholar]
- Reddy, A.R.; Chaitanya, K.V.; Vivekanandan, M. Drought-induced responses of photosynthesis and antioxidant metabolism in higher plants. J. Plant Physiol. 2004, 161, 1189–1202. [Google Scholar] [CrossRef] [PubMed]
- Heuzé, V.; Tran, G.; Delagarde, R.; Lebas, F. Bermuda Grass (Cynodon dactylon). Feedipedia, a Programme by INRAE, CIRAD, AFZ and FAO. Available online: https://www.feedipedia.org/node/471 (accessed on 20 October 2015).
- Fancote, C.R.; Norman, H.C.; Williams, I.H.; Masters, D.G. Cattle performed as well as sheep when grazing a river saltbush (Atriplex amnicola)-based pasture. Anim. Prod. Sci. 2009, 49, 998–1006. [Google Scholar] [CrossRef]
- Heuzé, V.; Tran, G.; Hassoun, P.; Lebas, F. Saltbush (Atriplex halimus). Feedipedia, a Programme by INRAE, CIRAD, AFZ and FAO. Available online: https://www.feedipedia.org/node/24708 (accessed on 8 July 2019).
- Serrano, J.; Shahidian, S.; Da Silva, J.M.; Paixão, L.; Carreira, E.; Carmona-Cabezas, R.; Nogales-Bueno, J.; Rato, A.E. Evaluation of Near Infrared Spectroscopy (NIRS) and Remote Sensing (RS) for Estimating Pasture Quality in Mediterranean Montado Ecosystem. Appl. Sci. 2020, 10, 4463. [Google Scholar] [CrossRef]
- Catling, P.M.; Mcelroy, A.R.; Spicer, K.W. Potential forage value of some eastern Canadian sedges (Cyperacerae: Carex). J. Range Manag. 1994, 47, 226–230. [Google Scholar] [CrossRef]
- Adesogan, A.T.; Arriola, K.G.; Jiang, Y.; Oyebade, A.; Paula, E.M.; Pech-Cervantes, A.A.; Romero, J.J.; Ferraretto, L.F.; Vtas, D. Symposium review: Technologies for improving fiber utilization. J. Dairy Sci. 2019, 102, 1–30. [Google Scholar] [CrossRef]
- Forejtová, J.; Lád, F.; Třináctý, J.; Richter, M.; Gruber, L.; Doležal, P.; Homolka, P.; Pavelek, L. Comparison of organic matter digestibility determined by in vivo and in vitro methods. Czech J. Anim. Sci. 2005, 50, 47–53. [Google Scholar] [CrossRef]
- Reed, J.D. Nutritional toxicology of tannins and related polyphenols in forage legumes. J. Anim. Sci. 1995, 73, 1516–1528. [Google Scholar] [CrossRef]
- Aerts, R.J.; Barry, T.N.; McNabb, W.C. Polyphenols and agriculture: Beneficial effects of proanthocyanidins in forages. Agric. Ecosyst. Environ. 1999, 75, 1–12. [Google Scholar] [CrossRef]
- Mueller-Harvey, I.; Bee, G.; Dhome-Meier, F.; Hoste, H.; Karonen, M.; Kölliker, R.; Lüscher, A.; Niderkorn, V.; Pellikaan, W.F.; Salminen, J.P.; et al. Benefits of Condensed Tannins in Forage Legumes Fed to Ruminants: Importance of Structure, Concentration, and Diet Composition. Crop. Sci. 2018, 58, 1–25. [Google Scholar] [CrossRef]
- National Research Council. Mineral Tolerance of Animals, 2nd ed.; The National Academies Press: Washington, DC, USA, 2005. [Google Scholar]
- Spears, J.W. Minerals in Forages in Forage Quality, Evaluation, and Utilization; Fahey, G.C., Jr., Ed.; American Society of Agronomy, Crop Science Society of America, Soil Science Society of America: Madison, WI, USA, 1994. [Google Scholar]
- Norman, H.C.; Masters, D.G.; Barrett-Lennard, E.G. Halophytes as forages in saline landscapes: Interactions between plant genotype and environment change their feeding value to ruminants. Environ. Exp. Bot. 2013, 92, 96–109. [Google Scholar] [CrossRef]
- McDowell, L.R.; Arthington, J.D. Minerals for Grazing Ruminants in Tropical Regions, 4th ed.; Institute of Food and Agricultural Sciences, University of Florida: Gainesville, FL, USA, 2005. [Google Scholar]
- McDowell, L.R.; Valle, G. Major Minerals in Forages. In Forage Evaluation in Ruminant Nutrition; Givens, D.I., Owen, E.O., Axford, R.F.E., Omed, H.M., Eds.; CABI Publishing: Wallingford, UK, 2000; pp. 373–397. [Google Scholar]
- Norman, H.C.; Duncan, E.G.; Masters, D.G. Halophytic shrubs accumulate minerals associated with antioxidant pathways. Grass Forage Sci. 2019, 74, 345–355. [Google Scholar] [CrossRef]
- MacPherson, A. Trace-Mineral Status of Forages. In Forage Evaluation in Ruminant Nutrition; Givens, D.I., Owen, E., Axford, R.F.E., Omed, H.M., Eds.; CABI Publishing: Wallingford, UK, 2000; pp. 345–371. [Google Scholar]
- Stein, R.J. Relationships between soil and leaf mineral composition are element-specific, environment-dependent and geographically structured in the emerging model Arabidopsis helleri. New Phytol. 2017, 213, 1274–1286. [Google Scholar] [CrossRef]
- Kähkönen, M.P.; Hopia, A.I.; Vuorela, H.J.; Rauha, J.P.; Pihlaja, K.; Kujala, T.S.; Heinonen, M. Antioxidant Activity of Plant Extracts Containing Phenolic Compounds. J. Agric. Food Chem. 1999, 47, 3954–3962. [Google Scholar] [CrossRef] [PubMed]
- Mishra, S.; Tripathi, A.; Tripathi, D.K.; Chauhan, D.K. Role of sedges (Cyperaceae) in wetlands, environmental cleaning and as food material: Possibilities and future perspectives. In Plant-Environment Interaction: Responses and Approaches to Mitigate Stress; Azooz, M.M., Ahmad, P., Eds.; John Wiley & Sons, Ltd.: Hoboken, NJ, USA, 2016. [Google Scholar]
- Sievers, C. Nuts for dinner? Cladium mariscus in the Middle Stone Age at Sibudu, South Africa. Trans. R. Soc. S. Afr. 2015, 70, 213–218. [Google Scholar] [CrossRef]
- Isah, T. Stress and defense responses in plant secondary metabolites production. Biol. Res. 2019, 52, 39. [Google Scholar] [CrossRef] [PubMed]
- Sharma, A.; Shahzad, B.; Rehman, A.; Bhardwaj, R.; Landi, M.; Zheng, B. Response of Phenylpropanoid Pathway and the Role of Polyphenols in Plants under Abiotic Stress. Molecules 2019, 24, 2452. [Google Scholar] [CrossRef] [PubMed]
- Jerónimo, E.; Pinheiro, C.; Lamy, E.; Dentinho, M.T.; Sales-Baptista, E.; Lopes, O.; Capela e Silva, F. Tannins in Ruminant Nutrition: Impact on animal performance and quality of edible products. In Tannins: Biochemistry, Food Sources and Nutritional Properties; Combs, C.A., Ed.; Nova Science Publishers Inc.: New York, NY, USA, 2016. [Google Scholar]
- Del Moral, R. On the variability of chlorogenic acid concentration. Oecologia 1972, 9, 289–300. [Google Scholar] [CrossRef]
- Camacho-Cristóbal, J.; Lunar, L.; Lafont, F.; Baumert, A.; González-Fontes, A. Boron deficiency causes accumulation of chlorogenic acid and caffeoyl polyamine conjugates in tobacco leaves. J. Plant Physiol. 2004, 161, 879–881. [Google Scholar] [CrossRef] [PubMed]
- Clé, C.; Hill, L.M.; Niggeweg, R.; Martin, C.R.; Guisez, Y.; Prinsen, E.; Jansen, M.A.K. Modulation of chlorogenic acid biosynthesis in Solanum lycopersicum; consequences for phenolic accumulation and UV-tolerance. Phytochemistry 2008, 69, 2149–2156. [Google Scholar] [CrossRef]
- Meot-Duros, L.; Magné, C. Antioxidant activity and phenol content of Crithmum maritimum L. leaves. Plant Physiol. Biochem. 2009, 47, 37–41. [Google Scholar] [CrossRef]
- Chini, A.; Grant, J.J.; Seki, M.; Shinozaki, K.; Loake, G.J. Drought tolerance established by enhanced expression of the CCI-NBS-LRR gene, ADR1, requires salicylic acid, EDS1 and ABI1. Plant J. 2004, 38, 810–822. [Google Scholar] [CrossRef]
- Metwally, A.; Finkemeier, I.; Georgi, M.; Dietz, K.J. Salicylic Acid Alleviates the Cadmium Toxicity in Barley Seedlings. Plant Physiol. 2003, 132, 272–281. [Google Scholar] [CrossRef] [PubMed]
- Borsani, O.; Valpuesta, V.; Botella, A. Evidence for a Role of Salicylic Acid in the Oxidative Damage Generated by NaCl and Osmotic Stress in Arabidopsis Seedlings. Plant Physiol. 2001, 126, 1024–1030. [Google Scholar] [CrossRef] [PubMed]
- Larkindale, J.; Knight, M.R. Protection against Heat Stress-Induced Oxidative Damage in Arabidopsis Involves Calcium, Abscisic Acid, Ethylene, and Salicylic Acid. Plant Physiol. 2002, 128, 682–695. [Google Scholar] [CrossRef]
- Kumar, N.; Pruthi, V. Potential applications of ferulic acid from natural sources. Biotechnol. Rep. 2014, 4, 86–93. [Google Scholar] [CrossRef] [PubMed]
- Cheemanapalli, S.; Mopuri, R.; Golla, R.; Anuradha, C.M.; Chitta, S.K. Syringic acid (SA)—A Review of Its Occurrence, Biosynthesis, T Pharmacological and Industrial Importance. Biomed. Pharmacother. 2018, 108, 547–557. [Google Scholar]
- Bhardwaj, R.; Handa, N.; Sharma, R.; Kaur, H.; Kohli, S.; Kumar, V.; Kaur, P. Lignins and abiotic stress: An overview. In Physiological Mechanisms and Adaptation Strategies in Plants under Changing Environment; Ahmad, P., Wani, M.R., Eds.; Springer: New York, NY, USA, 2014. [Google Scholar]
- Naveed, M.; Hejazi, V.; Abbas, M.; Kamboh, A.A.; Khan, G.J.; Shumzaid, M.; Ahmad, F.; Babazadeh, D.; FangFang, X.; Modarresi-Ghazani, F.; et al. Chlorogenic acid (CGA): A pharmacological review and call for further research. Biomed. Pharmacother. 2018, 97, 67–74. [Google Scholar] [CrossRef]
- Kim, J.K.; Park, S.U. A recent overview on the biological and pharmacological activities of ferulic acid. EXCLI J. 2019, 18, 132–138. [Google Scholar]
- Di Fernando, M.; Brunetti, C.; Agati, G.; Tattini, M. Multiple functions of polyphenols in plants inhabiting unfavorable Mediterranean areas. Environ. Exp. Bot. 2014, 103, 107–116. [Google Scholar] [CrossRef]
- Léon-Chan, R.G.; López-Meyer, M.; Osuna-Enciso, T.; Sañudo-Barajas, A.; Heredia, J.B.; Léon-Félix, J. Low temperature and ultraviolet-B radiation affect chlorophyll content and induce the accumulation of UV-B-absorbing and antioxidant compounds inbell pepper (Capsicum annuum) plants. Environ. Exp. Bot. 2017, 139, 143–151. [Google Scholar] [CrossRef]
- Park, C.M.; Song, Y.-S. Luteolin and luteolin-7-O-glucoside inhibit lipopolysaccharide-induced inflammatory responses through modulation of NF-κB/AP-1/PI3K-Akt signaling cascades in RAW 264.7 cells. Nutr. Res. Pr. 2013, 7, 423–429. [Google Scholar] [CrossRef] [PubMed]
- Sinz, S.; Kunz, C.; Liesegang, A.; Braun, U.; Marquardt, S.; Soliva, C.R.; Kreuzer, M. In Vitro Bioactivity of Various Pure Flavonoids in Ruminal Fermentation, with Special Reference to Methane Formation. Czech J. Anim. Sci. 2018, 63, 293–304. [Google Scholar]
- Klongsiriwet, C.; Quijada, J.; Williams, A.R.; Mueller-Harvey, I.; Williamson, E.M.; Hoste, H. Synergistic inhibition of Haemonchus contortus exsheathment by flavonoid monomers and condensed tannins. Int. J. Parasitol. Drugs Drug Resist. 2015, 5, 127–134. [Google Scholar] [CrossRef] [PubMed]
- Celi, P.; Gabai, G. Oxidant/antioxidant balance in animal nutrition and health: The role of protein oxidation. Front. Vet. Sci. 2015, 2, 48. [Google Scholar] [CrossRef]
- Chauhan, S.S.; Celi, P.; Ponnampalam, E.N.; Leury, B.J.; Liu, F.; Dunshea, F.R. Antioxidant dynamics in the live animal and implications for ruminant health and product (meat/milk) quality: Role of vitamin E and selenium. Anim. Prod. Sci. 2014, 54, 1525–1536. [Google Scholar] [CrossRef]
- McGrath, J.; Duval, M.D.; Tamassia, L.F.M.; Kindermann, M.; Stemmler, R.T.; Gouvea, V.N.; Acedo, T.S.; Immig, I.; Williams, S.N.; Celi, P. Nutritional strategies in ruminants: A lifetime approach. Res. Vet. Sci. 2018, 116, 28–39. [Google Scholar] [CrossRef]
- Gonzalez-Maldonado, J.; Martínez-Aispuro, J.A.; Rangel-Santos, R.; Rodriguez-de Lara, R.R. Antioxidant supplementation in female ruminants during the periconceptional period: A review. Rev. Colomb. Cienc. Pecu. 2018, 31, 245–255. [Google Scholar] [CrossRef]
- Celi, P. The role of oxidative stress in small ruminants’ health and production. Rev. Bras. Zootec. 2010, 39, 348–363. [Google Scholar] [CrossRef]
- Sordillo, L.M.; Aitken, S.L. Impact of oxidative stress on the health and immune function of dairy cattle. Vet. Immunol. Immunopathol. 2009, 128, 104–109. [Google Scholar] [CrossRef]
- Mazur, M.; Zwyrzykowska-Wodzińska, A.; Wojtas, E.; Zachwieja, A.; Salejda, A.M. Effect of yerba mate (Ilex paraguariensis A. St.-Hil.) supplementation on oxidative stress in ruminants. Chil. J. Agric. Res. 2019, 79, 316–322. [Google Scholar]
- Schlesier, K.; Harwat, M.; Böhm, V.; Bitsch, R. Assessment of Antioxidant Activity by Using Different In Vitro Methods. Free Radic. Res. 2002, 36, 177–187. [Google Scholar] [CrossRef]
- Pilluzza, G.; Bullita, S. Correlations between phenolic content and antioxidant properties in twenty-four plant species of traditional ethnoveterinary use in the Mediterranean area. Pharm. Biol. 2011, 49, 240–247. [Google Scholar] [CrossRef]
- Biswas, S.K. Does the Interdependence between Oxidative Stress and Inflammation Explain the Antioxidant Paradox? Oxidative Med. Cell. Longev. 2016, 2016, 5698931. [Google Scholar] [CrossRef] [PubMed]
- Hwang, S.J.; Kim, Y.W.; Park, Y.; Lee, H.J.; Kim, K.W. Anti-inflammatory effects of chlorogenic acid in lipopolysaccharide-stimulated RAW 264.7 cells. Inflamm. Res. 2014, 63, 81–90. [Google Scholar] [CrossRef] [PubMed]
- Li, T.; Liu, X.; Liu, J.; Li, D. Synergistic anti-inflammatory effects of quercetin and catechin via inhibiting activation of TLR4-MyD88-mediated NF-κB and MAPK signaling pathways. Phytotherapy Res. 2019, 33, 756–767. [Google Scholar] [CrossRef] [PubMed]




| Spring | Summer | Autumn | Winter | |
|---|---|---|---|---|
| Nutritional profile (g kg−1 DM) | ||||
| DM | 449 | 586 | 559 | 469 |
| Ash | 71.7 | 49.4 | 82.9 | 75.1 |
| CP | 87.3 | 51.8 | 54.5 | 57.8 |
| TL | 53.3 | 48.9 | 52.9 | 51.1 |
| NDF | 596 | 690 | 628 | 613 |
| ADF | 330 | 418 | 380 | 363 |
| ADL | 8 | 24 | 8 | 5 |
| Cellulose | 322 | 393 | 372 | 358 |
| Hemicellulose | 266 | 272 | 248 | 250 |
| IVOMD (g kg−1 OM) | 317 | 172 | 243 | 255 |
| Mineral content | ||||
| Macro-minerals (g kg−1 DM) | ||||
| Ca | 6.9 | 1.6 | 3.8 | 3.8 |
| K | 4.4 | 3.9 | 2.3 | 2.4 |
| Mg | 0.8 | 0.7 | 0.7 | 0.7 |
| Na | 8.1 | 1.43 | 5.7 | 4.9 |
| Trace minerals (mg kg−1 DM) | ||||
| Fe | 186 | 214 | 42.8 | 32.3 |
| Zn | 15.2 | 21.1 | 20.4 | 24.7 |
| Cu | 3.9 | 7.7 | 5.9 | 9.6 |
| Mn | 40.7 | 20.0 | 29.1 | 49.0 |
| Cr | 4.3 | 13.0 | 1.7 | 2.3 |
| Phenolic Group | RT (min) | Compound | Peak | Spring | Summer | Autumn | Winter |
|---|---|---|---|---|---|---|---|
| Flavonoids | |||||||
| Flavanone | 19.3 | Naringenin-7-O-glucoside | 9 | <0.01 | 0.01 | 0.03 | 0.01 |
| Flavone | 20.4 | Luteolin-7-O-glucoside | 10 | 0.16 | 0.46 | 0.98 | 0.24 |
| Flavanols | 26.2 | Quercetin | 11 | 0.03 | 0.03 | 0.03 | 0.01 |
| 9.5 | Catechin hydrate | 2 | - | 0.77 | 0.76 | 0.10 | |
| 13.9 | Epicatechin | 6 | 0.42 | 0.88 | 1.49 | 1.06 | |
| Phenolic acids | |||||||
| Hydroxybenzoic acids | 2.6 | Gallic acid | 1 | <0.01 | 0.01 | <0.01 | <0.01 |
| 8.5 | p-Hidroxybenzoic acid | - | - | <0.01 | <0.01 | - | |
| 13.5 | Syringic Acid | 5 | 0.19 | 0.35 | 0.73 | 0.35 | |
| 17.8 | Salicylic Acid | 8 | 2.11 | 1.64 | 2.92 | 2.09 | |
| 22.3 | Ellagic Acid | - | <0.01 | - | - | - | |
| Hydroxycinnamic acid | 12.6 | Cafeic Acid | 3 | 0.67 | 0.73 | 0.76 | 0.70 |
| 15.8 | Coumaric Acid | - | <0.01 | <0.01 | <0.01 | <0.01 | |
| 16.9 | Ferulic Acid | 7 | 1.88 | 1.38 | 2.40 | 1.58 | |
| 13.1 | Chlorogenic Acid | 4 | 3.03 | 2.96 | 4.45 | 2.29 | |
| Other | 10.3 | 4-Hydroxybenzaldehyde | - | <0.01 | <0.01 | <0.01 | - |
| ∑ Phenolics | 8.49 | 9.22 | 14.55 | 8.43 |
Publisher’s Note: MDPI stays neutral with regard to jurisdictional claims in published maps and institutional affiliations. |
© 2021 by the authors. Licensee MDPI, Basel, Switzerland. This article is an open access article distributed under the terms and conditions of the Creative Commons Attribution (CC BY) license (http://creativecommons.org/licenses/by/4.0/).
Share and Cite
Oliveira, M.; João Rodrigues, M.; Neng, N.R.; Nogueira, J.M.F.; Bessa, R.J.B.; Custódio, L. Seasonal Variations of the Nutritive Value and Phytotherapeutic Potential of Cladium mariscus L. (Pohl.) Targeting Ruminant’s Production. Plants 2021, 10, 556. https://doi.org/10.3390/plants10030556
Oliveira M, João Rodrigues M, Neng NR, Nogueira JMF, Bessa RJB, Custódio L. Seasonal Variations of the Nutritive Value and Phytotherapeutic Potential of Cladium mariscus L. (Pohl.) Targeting Ruminant’s Production. Plants. 2021; 10(3):556. https://doi.org/10.3390/plants10030556
Chicago/Turabian StyleOliveira, Marta, Maria João Rodrigues, Nuno R. Neng, José Manuel Florêncio Nogueira, Rui J. B. Bessa, and Luísa Custódio. 2021. "Seasonal Variations of the Nutritive Value and Phytotherapeutic Potential of Cladium mariscus L. (Pohl.) Targeting Ruminant’s Production" Plants 10, no. 3: 556. https://doi.org/10.3390/plants10030556
APA StyleOliveira, M., João Rodrigues, M., Neng, N. R., Nogueira, J. M. F., Bessa, R. J. B., & Custódio, L. (2021). Seasonal Variations of the Nutritive Value and Phytotherapeutic Potential of Cladium mariscus L. (Pohl.) Targeting Ruminant’s Production. Plants, 10(3), 556. https://doi.org/10.3390/plants10030556

