Effect of Paper and Aluminum Bagging on Fruit Quality of Loquat (Eriobotrya japonica Lindl.)
Abstract
1. Introduction
2. Results
2.1. Physical Damage and Overall Health of Loquat Fruits
2.2. Fresh Fruit Weight, Length, Diameter, and Fruit Shape Index
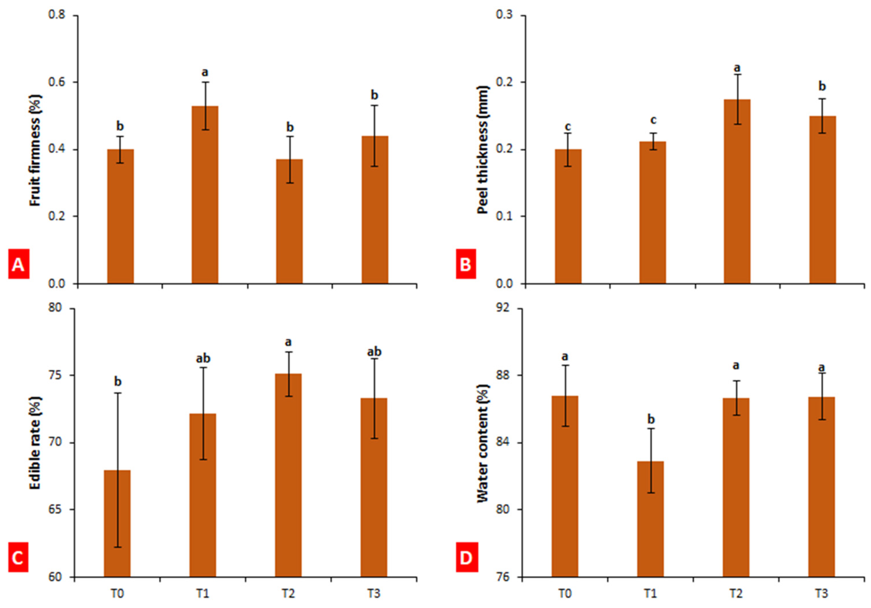
2.3. Fruit Firmness, Peel Thickness, Edible Rate, and Water Content
2.4. Soluble Solids, Total Titratable Acids, Sugar–Acid Ratio and Soluble Sugars
2.5. Fruit Color
2.6. Total Chlorophyll, Carotenoids, Anthocyanins, Flavonoids, and Phenolics
2.7. Amino Acids
3. Discussion
4. Materials and Methods
4.1. Plant Material and Bagging Treatment
4.2. Measurement of Physical Damage and Overall Health of Loquat Fruits
4.3. Fruit Fresh Weight, Length, Diameter, and Fruit Shape Index
4.4. Fruit Firmness, Peel Thickness, Edible Rate, and Water Content
4.5. Soluble Solids, Total Titratable Acids, Sugar–Acid Ratio, and Soluble Sugars
4.6. Fruit Color
4.7. Total Chlorophyll, Carotenoids, Anthocyanins, Flavonoids, and Phenolics
4.8. Determination of Amino Acids
4.9. Statistical Analysis
5. Conclusions
Author Contributions
Funding
Institutional Review Board Statement
Informed Consent Statement
Conflicts of Interest
References
- Ali, M.M.; Anwar, R.; Shafique, M.W.; Yousef, A.F.; Chen, F. Exogenous Application of Mg, Zn and B Influences Phyto-Nutritional Composition of Leaves and Fruits of Loquat (Eriobotrya japonica Lindl.). Agronomy 2021, 11, 224. [Google Scholar] [CrossRef]
- Ali, M.M.; Li, B.; Zhi, C.; Yousef, A.F.; Chen, F. Foliar-Supplied Molybdenum Improves Phyto-Nutritional Composition of Leaves and Fruits of Loquat (Eriobotrya japonica Lindl.). Agronomy 2021, 11, 892. [Google Scholar] [CrossRef]
- Badenes, M.L.; Canyamas, T.; Romero, C.; Soriano, J.M.; Martínez, J.; Llácer, G. Genetic diversity in european collection of loquat (Eriobotrya japonica Lindl.). Acta Hortic. 2003, 620, 169–174. [Google Scholar] [CrossRef]
- Tian, S.; Qin, G.; Li, B. Loquat. In Postharvest Biology and Technology of Tropical and Subtropical Fruits; Woodhead Publishing: Sawston, UK, 2011; p. 444. [Google Scholar]
- LaRue, R.G. Loquat Fact Sheet. Available online: http://fruitsandnuts.ucdavis.edu/dsadditions/Loquat_Fact_Sheet/ (accessed on 30 January 2020).
- Tian, S.; Li, B.; Ding, Z. Physiological properties and storage technologies of loquat fruit. Fresh Prod. 2007, 1, 76–81. [Google Scholar]
- Lu, Z.M.; Zhang, Z.L.; Wu, W.X.; Li, W.H. Effect of low temperatures on postharvest loquat fruit. Acta Hortic. 2007, 750, 483–486. [Google Scholar] [CrossRef]
- Xu, H.X.; Chen, J.W.; Xie, M. Effect of different light transmittance paper bags on fruit quality and antioxidant capacity in loquat. J. Sci. Food Agric. 2010, 90, 1783–1788. [Google Scholar] [CrossRef]
- Aomori, A. Characteristics of color development in some apple cultivars: Changes in anthocyanin synthesis during maturation as affected by bagging and light quality. J. Jpn. Soc. Hortic. Sci. 1988, 57, 373–380. [Google Scholar]
- Hu, G.B.; Chen, D.C.; Li, P.; Ouyang, R.; Gao, F.F.; Wang, H.C.; Dong, J. Effects of bagging on fruit coloration and phenylalanine ammonia lyase and polyphenol oxidase in “Feizixiao” Litchi. Acta Hortic. 2001, 558, 273–278. [Google Scholar] [CrossRef]
- Jia, H.; Araki, A.; Okamoto, G. Influence of fruit bagging on aroma volatiles and skin coloration of ‘Hakuho’ peach (Prunus persica Batsch). Postharvest Biol. Technol. 2005, 35, 61–68. [Google Scholar] [CrossRef]
- Ni, Z.; Zhang, Z.; Gao, Z.; Gu, L.; Huang, L. Effects of bagging on sugar metabolism and the activity of sugar metabolism related enzymes during fruit development of Qingzhong loquat. Afr. J. Biotechnol. 2011, 10, 4212–4216. [Google Scholar] [CrossRef]
- Sharma, R.R.; Reddy, S.V.R.; Jhalegar, M.J. Pre-harvest fruit bagging: A useful approach for plant protection and improved post-harvest fruit quality—A review. J. Hortic. Sci. Biotechnol. 2014, 89, 101–113. [Google Scholar] [CrossRef]
- Ali, M.M.; Anwar, R.; Yousef, A.F.; Li, B.; Luvisi, A.; De Bellis, L.; Aprile, A.; Chen, F. Influence of Bagging on the Development and Quality of Fruits. Plants 2021, 10, 358. [Google Scholar] [CrossRef] [PubMed]
- Kim, Y.H.; Kim, H.H.; Youn, C.K.; Kweon, S.J.; Jung, H.J.; Lee, C.H. Effects of bagging material on fruit coloration and quality of “janghowon hwangdo” peach. Acta Hortic. 2008, 772, 81–86. [Google Scholar] [CrossRef]
- Frank, D. Evaluation of Fruit Bagging as a Pest Management Option for Direct Pests of Apple. Insects 2018, 9, 178. [Google Scholar] [CrossRef] [PubMed]
- Lin, J.; Chang, Y.; Yan, Z.; Li, X. Effects of Bagging On the Quality of Pear Fruit and Pesticide Residues. Acta Hortic. 2008, 772, 315–318. [Google Scholar] [CrossRef]
- Xu, G.; Nie, J.; Wu, Y.; Yan, Z.; Ye, M. The effects of fruit bagging on residue behavior and dietary risk for four pesticides in apple. Sci. Rep. 2018, 8, 14348. [Google Scholar] [CrossRef]
- Yang, W.H.; Zhu, X.C.; Bu, J.H.; Hu, G.B.; Wang, H.C.; Huang, X.M. Effects of bagging on fruit development and quality in cross-winter off-season longan. Sci. Hortic. 2009, 120, 194–200. [Google Scholar] [CrossRef]
- Wenlai, L. Effects of the micro-environment inside fruit bags on the structure of fruit peel in “Fuji” apple. Acta Ecol. Sin. 2011, 31, 2831–2836. [Google Scholar]
- Kassem, H.A.; Omar, A.K.H.; Ahmed, M.A. Response of Zaghloul date palm productivity, ripening and quality to different polyethylene bagging treatments. Am. Eurasian J. Agric. Environ. Sci. 2011, 11, 616–621. [Google Scholar]
- Griñán, I.; Morales, D.; Galindo, A.; Torrecillas, A.; Pérez-López, D.; Moriana, A.; Collado-González, J.; Carbonell-Barrachina, Á.A.; Hernández, F. Effect of preharvest fruit bagging on fruit quality characteristics and incidence of fruit physiopathies in fully irrigated and water stressed pomegranate trees. J. Sci. Food Agric. 2019, 99, 1425–1433. [Google Scholar] [CrossRef] [PubMed]
- Singh, A.; Shukla, A.K.; Meghwal, P.R. Fruit Cracking in Pomegranate: Extent, Cause, and Management—A Review. Int. J. Fruit Sci. 2020, 20, S1234–S1253. [Google Scholar] [CrossRef]
- Bentley, W.; Viveros, M. Brown-bagging Granny Smith apples on trees stops codling moth damage. Calif. Agric. 1992, 46, 30–32. [Google Scholar] [CrossRef]
- Sharma, R.R.; Pal, R.K.; Asrey, R.; Sagar, V.R.; Dhiman, M.R.; Rana, M.R. Pre-harvest fruit bagging influences fruit color and quality of apple cv. Delicious. Agric. Sci. 2013, 4, 443–448. [Google Scholar] [CrossRef]
- Rajametov, S.; Nurbekov, A. Effects of different types of paper bags on ‘Golden Delicious’ apple fruits. Acta Hortic. 2020, 1275, 415–418. [Google Scholar] [CrossRef]
- Matsumoto, K.; Fujita, T.; Sato, S. Effects of 1-MCP and Pre-harvest Fruit Bagging Treatments on Cold Storability of the Red-fleshed Apple ‘Kurenainoyume’. Hortic. J. 2018, 87, 443–451. [Google Scholar] [CrossRef]
- Faoro, I.D.; Mondardo, M. Ensacamento de frutos de pereira cv. Housui. Rev. Bras. Frutic. 2004, 26, 86–88. [Google Scholar] [CrossRef]
- Rajametov, S.; Nurbekov, A. Effects of different types of paper bags on ‘Carmen’ pear fruits. Acta Hortic. 2020, 1275, 337–340. [Google Scholar] [CrossRef]
- Amarante, C.; Banks, N.H.; Max, S. Preharvest bagging improves packout and fruit quality of pears (Pyrus communis). N. Z. J. Crop Hortic. Sci. 2002, 30, 93–98. [Google Scholar] [CrossRef]
- Lin, J.; Wang, Z.H.; Li, X.G.; Chang, Y.H. Effects of Bagging Twice and Room Temperature Storage on Quality of “CUIGUAN” Pear Fruit. Acta Hortic. 2012, 934, 837–840. [Google Scholar] [CrossRef]
- Sarker, D.; Rahman, M.; Barman, J. Efficacy of different bagging materials for the control of mango fruit fly. Bangladesh J. Agric. Res. 1970, 34, 165–168. [Google Scholar] [CrossRef]
- Watanawan, A.; Watanawan, C.; Jarunate, J. Bagging “Nam Dok Mai #4” mango during development affects color and fruit quality. Acta Hortic. 2008, 787, 325–328. [Google Scholar] [CrossRef]
- Ding, P.; Syakirah, M.N. Influence of fruit bagging on postharvest quality of “Harumanis” mango (Mangifera indica L.). Acta Hortic. 2010, 877, 169–174. [Google Scholar] [CrossRef]
- Chonhenchob, V.; Kamhangwong, D.; Kruenate, J.; Khongrat, K.; Tangchantra, N.; Wichai, U.; Singh, S.P. Preharvest bagging with wavelength-selective materials enhances development and quality of mango (Mangifera indica L.) cv. Nam Dok Mai #4. J. Sci. Food Agric. 2011, 91, 664–671. [Google Scholar] [CrossRef] [PubMed]
- Mathooko, F.M.; Kahangi, E.M.; Runkuab, J.M.; Onyangob, C.A.; Owinob, W.O. Pre-harvest mango (Mangifera indica L. ‘Apple’) fruit bagging controls lenticel discolouration and improves postharvest quality. Acta Hortic. 2011, 906, 55–62. [Google Scholar] [CrossRef]
- Xu, C.X.; Chen, H.B.; Huang, R.Y.; He, Y.J. Effects of bagging on fruit growth and quality of carambola. Acta Hortic. 2008, 773, 195–200. [Google Scholar] [CrossRef]
- Morera-Montoya, R.; Blanco-Metzler, H.; Luis-Loria, C. Evaluation of different bagging materials for the control of the fruit fly Anastrepha sp. (Diptera:Tephritidae) and fruit pathogens in Taiwanese guava fruits (Psidium guajava L.). Acta Hortic. 2010, 849, 283–292. [Google Scholar] [CrossRef]
- Pal, M.; Lal, R.; Nautiyal, P.; Joshi, P. Effect of chemicals and physical means on harvesting span, yield and quality of litchi (Litchi chinensis Sonn.) cv. Rose Scented. J. Appl. Hortic. 2016, 18, 71–75. [Google Scholar] [CrossRef]
- Fumuro, M.; Gamo, H. Effects of Bagging on the Occurrence of Black Stain on the Skin of “Shinsyu” Persimmon (Diospyros kaki L.) grown under Film. Engei Gakkai Zasshi 2001, 70, 261–263. [Google Scholar] [CrossRef][Green Version]
- Katagiri, T.; Satoh, Y.; Fukuda, T.; Kataoka, I. Improving marketability of “Fuyu” persimmon fruit by bagging culture. Acta Hortic. 2003, 601, 213–217. [Google Scholar] [CrossRef]
- Yu, X.; Ali, M.M.; Li, B.; Fang, T.; Chen, F. Transcriptome data-based identification of candidate genes involved in metabolism and accumulation of soluble sugars during fruit development in ‘Huangguan’ plum. J. Food Biochem. 2021, 45, e13878. [Google Scholar] [CrossRef]
- Ali, M.M.; Anwar, R.; Malik, A.U.; Khan, A.S.; Ahmad, S.; Hussain, Z.; Hasan, M.U.; Nasir, M.; Chen, F. Plant Growth and Fruit Quality Response of Strawberry Is Improved after Exogenous Application of 24-Epibrassinolide. J. Plant Growth Regul. 2021, 1–14. [Google Scholar] [CrossRef]
- Ali, M.M.; Yousef, A.F.; Li, B.; Chen, F. Effect of Environmental Factors on Growth and Development of Fruits. Trop. Plant Biol. 2021, 14, 226–238. [Google Scholar] [CrossRef]
- Anwar, R.; Ahmad, M.; Hussain, Z.; Azam, M.; Ali, M.M. Transplanting time influences plant growth and fruit quality of strawberries grown under subtropical climate. In Proceedings of the Pakistan Society for Horticultural Science 2nd International Conference on Horticultural Sciences, Punjab, Pakistan, 18–20 February 2016; University of Agriculture: Faisalabad, Pakistan, 2018; p. 364. [Google Scholar]
- Zhang, X.; Wei, X.; Ali, M.M.; Rizwan, H.M.; Li, B.; Li, H.; Jia, K.; Yang, X.; Ma, S.; Li, S.; et al. Changes in the Content of Organic Acids and Expression Analysis of Citric Acid Accumulation-Related Genes during Fruit Development of Yellow (Passiflora edulis f. flavicarpa) and Purple (Passiflora edulis f. edulis) Passion Fruits. Int. J. Mol. Sci. 2021, 22, 5765. [Google Scholar] [CrossRef] [PubMed]
- Islam, M.T.; Shamsuzzoha, M.; Rahman, M.S.; Bari, M.A.; Akter, M.M.; Khatun, A.; Huque, R.; Uddin, M.S. Effect of bagging time on fruit quality and shelf life of mango (Mangifera indica L.) Cv. Langra in Bangladesh. Int. J. Agric. Environ. Biores. 2019, 4, 279–289. [Google Scholar] [CrossRef]
- Zhou, J.; Zhong, G.; Lin, Z.; Xu, H. The effects of bagging on fresh fruit quality of Canarium album. J. Food Agric. Environ. 2012, 10, 505–508. [Google Scholar]
- Jing, C.; Feng, D.; Zhao, Z.; Wu, X.; Chen, X. Effect of environmental factors on skin pigmentation and taste in three apple cultivars. Acta Physiol. Plant. 2020, 42, 69. [Google Scholar] [CrossRef]
- Al-Obeed, R.S.; Harhash, M.M. Effect of bunch bagging color on “succary” and “khalas” date palm cultivars: Fruit chemical characteristics. Acta Hortic. 2010, 882, 1213–1217. [Google Scholar] [CrossRef]
- Huang, C.; Yu, B.; Teng, Y.; Su, J.; Shu, Q.; Cheng, Z.; Zeng, L. Effects of fruit bagging on coloring and related physiology, and qualities of red Chinese sand pears during fruit maturation. Sci. Hortic. 2009, 121, 149–158. [Google Scholar] [CrossRef]
- Asrey, R.; Kumar, K.; Sharma, R.R.; Meena, N.K. Fruit bagging and bag color affects physico-chemical, nutraceutical quality and consumer acceptability of pomegranate (Punica granatum L.) arils. J. Food Sci. Technol. 2020, 57, 1469–1476. [Google Scholar] [CrossRef]
- Allran, J.; Schnabel, G.; Melgar, J.C. Peach bagging in the Southeastern US. J. Am. Pomol. Soc. 2019, 73, 38–52. [Google Scholar]
- Zhou, H.; Yu, Z.; Ye, Z. Effect of bagging duration on peach fruit peel color and key protein changes based on iTRAQ quantitation. Sci. Hortic. 2019, 246, 217–226. [Google Scholar] [CrossRef]
- Zhu, M.; Fang, W.; Chen, C.; Wang, L.; Cao, K. Effects of Shading by Bagging on Carotenoid Accumulation in Peach Fruit Flesh. J. Plant Growth Regul. 2020, 40, 1912–1921. [Google Scholar] [CrossRef]
- Horwitz, W. The Association of Official Agricultural Chemists (AOAC). In Reviews of Environmental Contamination and Toxicology; Springer: New York, NY, USA, 1964; pp. 37–60. [Google Scholar]
- Kim, I.; Lee, J. Variations in Anthocyanin Profiles and Antioxidant Activity of 12 Genotypes of Mulberry (Morus spp.) Fruits and Their Changes during Processing. Antioxidants 2020, 9, 242. [Google Scholar] [CrossRef] [PubMed]
- Vinatoru, M.; Mason, T.J.; Calinescu, I. Ultrasonically assisted extraction (UAE) and microwave assisted extraction (MAE) of functional compounds from plant materials. TrAC—Trends Anal. Chem. 2017, 97, 159–178. [Google Scholar] [CrossRef]
- Vatai, T.; Škerget, M.; Knez, Ž. Extraction of phenolic compounds from elder berry and different grape marc varieties using organic solvents and/or supercritical carbon dioxide. J. Food Eng. 2009, 90, 246–254. [Google Scholar] [CrossRef]
- Hu, W.; Wang, B.; Ali, M.M.; Chen, X.; Zhang, J.; Zheng, S.; Chen, F. Free Amino Acids Profile and Expression Analysis of Core Genes Involved in Branched-Chain Amino Acids Metabolism during Fruit Development of Longan (Dimocarpus longan Lour.) Cultivars with Different Aroma Types. Biology 2021, 10, 807. [Google Scholar] [CrossRef]









| Days After Bagging | Treatment | L* | a* | b* |
|---|---|---|---|---|
| 0 | T0 | 32.40 | −23.08 | 8.27 |
| 15 | T0 | 28.74 b | −30.99 b | 10.50 b |
| T1 | 26.71 b | −26.78 b | 8.69 b | |
| T2 | 39.70 a | −47.33 a | 17.72 a | |
| T3 | 27.89 b | −26.02 b | 8.55 b | |
| 30 | T0 | 37.65 c | −47.35 a | 16.77 c |
| T1 | 39.97 cb | −49.70 ab | 17.94 bc | |
| T2 | 48.10 a | −59.91 c | 22.42 a | |
| T3 | 41.84 b | −55.60 bc | 20.27 ab | |
| 45 | T0 | 42.57 b | −44.69 a | 19.09 c |
| T1 | 46.26 b | −49.71 ab | 20.00 bc | |
| T2 | 54.01 a | −60.54 bc | 24.98 ab | |
| T3 | 53.25 a | −62.57 c | 25.64 a | |
| 75 | T0 | 58.63 ab | −46.29 a | 26.31 ab |
| T1 | 56.10 b | −61.99 b | 26.37 ab | |
| T2 | 59.67 a | −57.76 ab | 23.64 b | |
| T3 | 59.72 a | −65.71 b | 27.83 a |
Publisher’s Note: MDPI stays neutral with regard to jurisdictional claims in published maps and institutional affiliations. |
© 2021 by the authors. Licensee MDPI, Basel, Switzerland. This article is an open access article distributed under the terms and conditions of the Creative Commons Attribution (CC BY) license (https://creativecommons.org/licenses/by/4.0/).
Share and Cite
Zhi, C.; Ali, M.M.; Zhang, J.; Shi, M.; Ma, S.; Chen, F. Effect of Paper and Aluminum Bagging on Fruit Quality of Loquat (Eriobotrya japonica Lindl.). Plants 2021, 10, 2704. https://doi.org/10.3390/plants10122704
Zhi C, Ali MM, Zhang J, Shi M, Ma S, Chen F. Effect of Paper and Aluminum Bagging on Fruit Quality of Loquat (Eriobotrya japonica Lindl.). Plants. 2021; 10(12):2704. https://doi.org/10.3390/plants10122704
Chicago/Turabian StyleZhi, Cao, Muhammad Moaaz Ali, Junya Zhang, Meng Shi, Songfeng Ma, and Faxing Chen. 2021. "Effect of Paper and Aluminum Bagging on Fruit Quality of Loquat (Eriobotrya japonica Lindl.)" Plants 10, no. 12: 2704. https://doi.org/10.3390/plants10122704
APA StyleZhi, C., Ali, M. M., Zhang, J., Shi, M., Ma, S., & Chen, F. (2021). Effect of Paper and Aluminum Bagging on Fruit Quality of Loquat (Eriobotrya japonica Lindl.). Plants, 10(12), 2704. https://doi.org/10.3390/plants10122704

