Antioxidant Phenylpropanoid Glycosides from Ginkgo biloba Fruit and Identification of a New Phenylpropanoid Glycoside, Ginkgopanoside
Abstract
1. Introduction
2. Results and Discussion
2.1. Isolation of Compounds 1–6
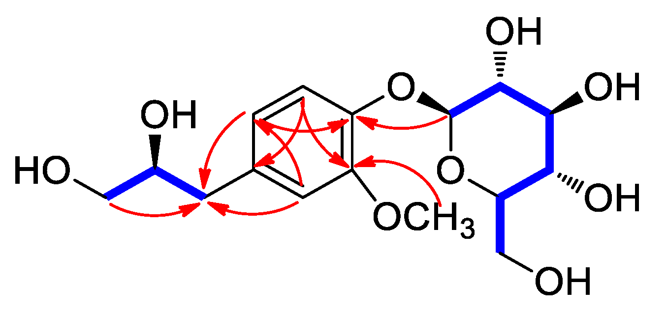
2.2. Structural Elucidation of the Isolated Compounds 1–6
2.3. Evaluation of the Antioxidant Activity of Compounds 1–6
3. Materials and Methods
3.1. General Experimental Procedure and Plant Material
3.2. Extraction and Separation/Isolation of the Compounds
3.2.1. Ginkgopanoside (1)
3.2.2. (E)-Coniferin (2)
3.2.3. Syringin (3)
3.2.4. (E)-Ferulic Acid 4-O-β-D-Glucoside (4)
3.2.5. (E)-Sinapic Acid 4-O-β-D-Glucopyranoside (5)
3.2.6. (Z)-4-Coumaric Acid 4-O-β-d-Glucopyranoside (6)
3.3. Acid Hydrolysis and Absolute Configuration Determination of the Sugar Moieties of Compound 1
3.4. Absolute Configuration of the 1,2-Diol Functionalities in Compound 1
3.5. DPPH Radical-Scavenging Assay
4. Conclusions
Supplementary Materials
Author Contributions
Funding
Conflicts of Interest
References
- Jacobs, B.P.; Browner, W.S. Ginkgo biloba: A living fossil. Am. J. Med. 2000, 108, 341–342. [Google Scholar] [CrossRef]
- Renzo, G.D. Ginkgo biloba and the central nervous system. Fitoterapia 2000, 71, 43–47. [Google Scholar] [CrossRef]
- Shah, Z.A.; Nada, S.E.; Doré, S. Heme oxygenase 1, beneficial role in permanent ischemic stroke and in Gingko biloba (EGb 761) neuroprotection. Neuroscience 2011, 180, 248–255. [Google Scholar] [CrossRef] [PubMed]
- Mansour, S.M.; Bahgat, A.K.; El-Khatib, A.S.; Khayyal, M.T. Ginkgo biloba extract (EGb 761) normalizes hypertension in 2K, 1C hypertensive rats: Role of antioxidant mechanisms, ACE inhibiting activity and improvement of endothelial dysfunction. Phytomedicine 2011, 18, 641–647. [Google Scholar] [CrossRef] [PubMed]
- Sabater-Jara, A.B.; Souliman-Youssef, S.; Novo-Uzal, E.; Almagro, L.; Belchí-Navarro, S.; Pedreño, M.A. Biotechnological approaches to enhance the biosynthesis of ginkgolides and bilobalide in Ginkgo biloba. Phytochem Rev. 2013, 12, 191–205. [Google Scholar] [CrossRef]
- Goto, H.; Usuki, T. 1H-NMR Analysis of Terpene Trilactones (TTLs) in Ginkgo biloba: Green Female Leaves Contain the Most TTLs. Phytochem. Anal. 2012, 23, 84–87. [Google Scholar] [CrossRef]
- Usai, S.; Grazzi, L.; Bussone, G. Gingkolide B as migraine preventive treatment in young age: Results at 1-year follow-up. Neurol Sci. 2011, 32, 197–199. [Google Scholar] [CrossRef] [PubMed]
- Mahady, G.B. Ginkgo Biloba for the Prevention and Treatment of Cardiovascular Disease: A Review of the Literature. J. Cardiovasc. Nurs. 2002, 16, 21–32. [Google Scholar] [CrossRef] [PubMed]
- Oyama, Y.; Fuchs, P.A.; Katayama, N.; Noda, K. Myricetin and quercetin, the flavonoid constituents of Ginkgo biloba extract, greatly reduce oxidative metabolism in both resting and Ca2+-loaded brain neurons. Brain Res. 1994, 635, 125–129. [Google Scholar] [CrossRef]
- Lee, S.R.; Kang, H.S.; Yoo, M.J.; Yi, S.A.; Beemelmanns, C.; Lee, J.C.; Kim, K.H. Anti-adipogenic Pregnane Steroid from a Hydractinia-associated Fungus, Cladosporium sphaerospermum SW67. Nat. Prod. Sci. 2020, 26, 230–235. [Google Scholar]
- Lee, S.; Ryoo, R.; Choi, J.H.; Kim, J.H.; Kim, S.H.; Kim, K.H. Trichothecene and tremulane sesquiterpenes from a hallucinogenic mushroom Gymnopilus junonius and their cytotoxicity. Arch. Pharm. Res. 2020, 43, 214–223. [Google Scholar] [CrossRef]
- Ha, J.W.; Kim, J.; Kim, H.; Jang, W.; Kim, K.H. Mushrooms: An Important Source of Natural Bioactive Compounds. Nat. Prod. Sci. 2020, 26, 118–131. [Google Scholar]
- Yu, J.S.; Park, M.; Pang, C.; Rashan, L.; Jung, W.H.; Kim, K.H. Antifungal phenols from Woodfordia uniflora Collected in Oman. J. Nat. Prod. 2020, 83, 2261–2268. [Google Scholar] [CrossRef] [PubMed]
- Lee, K.H.; Kim, J.K.; Yu, J.S.; Jeong, S.Y.; Choi, J.H.; Kim, J.-C.; Ko, Y.-J.; Kim, S.-H.; Kim, K.H. Ginkwanghols A and B, osteogenic coumaric acid-aliphatic alcohol hybrids from the leaves of Ginkgo biloba. Arch. Pharm. Res. 2021, 44, 514–524. [Google Scholar] [CrossRef]
- Lee, K.H.; Yu, J.S.; Choi, J.H.; Kim, S.-H.; Ko, Y.-J.; Pang, C.; Kim, K.H. Ginkgobilol, a new diarylpentanoid and an osteogenic diarylpentanoid analog from Ginkgo biloba leaves. Bioorganic Med. Chem. Lett. 2020, 30, 127641. [Google Scholar] [CrossRef]
- Li, H.L. A horticultural and botanical history of Ginkgo. Morris Arbor. bull. 1956, 7, 3–12. [Google Scholar]
- Pan, J.X.; Zhang, H.Y.; Yang, X.B. Biflavones from the testa of Ginkgo biloba L. J. Plant Resour. Environ. 1995, 2, 17–21. [Google Scholar]
- Lou, F.; Wang, G.; Guo, Y. Chemical study on the exopleura of Ginkgo biloba L. J. China Pharm. Univ. 1998, 29, 316–318. [Google Scholar]
- Harinantenaina, L.R.R.; Kasai, R.; Yamasaki, K. Ent-kaurane Diterpenoid Glycosides from the Leaves of Cussonia racemosa, a Malagasy Endemic Plant Chem. Pharm. Bull. 2002, 50, 268–271. [Google Scholar] [CrossRef] [PubMed]
- Luyen, B.T.T.; Tai, B.H.; Thao, N.P.; Yang, S.Y.; Cuong, N.M.; Kwon, Y.I.; Jang, H.D.; Kim, Y.H. A new phenylpropanoid and an alkylglycoside from Piper retrofractum leaves with their antioxidant and α-glucosidase inhibitory activity. Bioorg. Med. Chem. Lett. 2014, 24, 4120–4124. [Google Scholar] [CrossRef] [PubMed]
- Tanaka, T.; Nakashima, T.; Ueda, T.; Tomii, K.; Kouno, I. Facile Discrimination of Aldose Enantiomers by Reversed-Phase HPLC. Chem. Pharm. Bull. 2007, 55, 899–901. [Google Scholar] [CrossRef]
- Coxon, B. Two-Dimensional J-Resolved Proton Nuclear Magnetic Resonance Spectrometry of Hydroxyl-Coupled α- and β-D-Glucose. Anal. Chem. 1983, 55, 2361–2366. [Google Scholar] [CrossRef]
- Di Bari, L.; Pescitelli, G.; Pratelli, C.; Pini, D.; Salvadori, P. Determination of Absolute Configuration of Acyclic 1,2-Diols with Mo2(OAc)4. 1. Snatzke’s Method Revisited. J. Org. Chem. 2001, 66, 4819–4825. [Google Scholar] [CrossRef]
- Pan, L.; Acuña, UM.; Li, J.; Jena, N.; Ninh, T.N.; Pannell, C.M.; Chai, H.; Fuchs, J.R. Carcache de Blanco, E.J., Soejarto, D.D., Kinghorn, A.D. Bioactive Flavaglines and Other Constituents Isolated from Aglaia perviridis. J. Nat. Prod. 2013, 76, 394–404. [Google Scholar] [CrossRef]
- Kikuzaki, H.; Hara, S.; Kawai, Y.; Nakatani, N. Antioxidative phenylpropanoids from berries of Pimenta dioica. Phytochemistry. 1999, 52, 1307–1312. [Google Scholar] [CrossRef]
- Chen, Y.-G.; Yu, L.-L.; Huang, R.; Lv, Y.-P.; Gui, S.-H. 11-Methoxyviburtinal, a new iridoid from Valeriana jatamansi. Arch. Pharm. Res. 2005, 28, 1161–1163. [Google Scholar] [CrossRef]
- Wu, L.; Shen, Y.; Zheng, J.; Wu, B.; Zheng, L. The NMR study of syringin. Chinese J. Magn. Reson. 1999, 16, 465–467. [Google Scholar]
- Kurkin, V.A.; Lamrini, M.; Klochkov, S.G. Lavandoside from Lavandula spica flowers. Chem. Nat. Compd. 2008, 44, 169–170. [Google Scholar] [CrossRef]
- Wolfram, K.; Schmidt, J.; Wray, V.; Milkowski, C.; Schliemann, W.; Strack, D. Profiling of phenylpropanoids in transgenic low-sinapine oilseed rape (Brassica napus). Phytochemistry 2010, 71, 1076–1084. [Google Scholar] [CrossRef] [PubMed]
- Foo, L.Y.; Lu, Y.; Molan, A.L.; Woodfield, D.R.; McNabb, W.C. The phenols and prodelphinidins of white clover flowers. Phytochemistry 2000, 54, 539–548. [Google Scholar] [CrossRef]
- Collins, C.A.; Fry, F.H.; Holme, A.L.; Yiakouvaki, A.; Al-Qenaei, A.; Pourzand, C.; Jacob, C. Towards multifunctional antioxidants: Synthesis, electrochemistry, in vitro and cell culture evaluation of compounds with ligand/catalytic properties. Org. Biomol. Chem. 2005, 3, 1541–1546. [Google Scholar] [CrossRef] [PubMed]
- Finkel, T.; Holbrook, N.J. Oxidants, oxidative stress and the biology of ageing. Nature 2000, 408, 239–247. [Google Scholar] [CrossRef]
- Choudhry, Q.N.; Kim, J.H.; Cho, H.T.; Heo, W.; Lee, J.J.; Lee, J.H.; Kim, Y.J. Ameliorative effect of black ginseng extract against oxidative stress-induced cellular damages in mouse hepatocytes. J. Ginseng Res. 2019, 43, 179–185. [Google Scholar] [CrossRef]
- Lee, H.; Shahbaz, H.M.; Ha, N.; Kim, J.U.; Lee, S.J.; Park, J. Development of ginseng powder using high hydrostatic pressure treatment combined with UV-TiO2 photocatalysis. J. Ginseng Res. 2020, 44, 154–160. [Google Scholar] [CrossRef]
- Wojdyło, A.; Nowicka, P.; Grimalt, M.; Legua, P.; Almansa, M.S.; Amorós, A.; Carbonell-Barrachina, Á.A.; Hernández, F. Polyphenol Compounds and Biological Activity of Caper (Capparis spinosa L.) Flowers Buds. Plants 2019, 8, 539. [Google Scholar] [CrossRef]
- Iannuzzi, A.M.; Giacomelli, C.; De Leo, M.; Pietrobono, D.; Camangi, F.; De Tommasi, N.; Martini, C.; Trincavelli, M.L.; Braca, A. Antioxidant Activity of Compounds Isolated from Elaeagnus umbellata Promotes Human Gingival Fibroblast Well-Being. J. Nat. Prod. 2020, 83, 626–637. [Google Scholar] [CrossRef]
- Jang, J.Y.; Ahn, J.H.; Jo, Y.H.; Hwang, B.Y.; Lee, M.K. Antioxidant Activity and Phenolic Content of Different Parts of Lotus and Optimization of Extraction Condition using Response Surface Methodology. Nat. Prod. Sci. 2019, 25, 44–48. [Google Scholar] [CrossRef][Green Version]
- Pan, H.Y.; Qu, Y.; Zhang, J.K.; Kang, T.G.; Dou, D.Q. Antioxidant activity of ginseng cultivated under mountainous forest with different growing years. J. Ginseng Res. 2013, 37, 355–360. [Google Scholar] [CrossRef]


) and HMBC (
) correlations for 1.


| Position | 1 | |
|---|---|---|
| δH (J in Hz) | δC | |
| 1 | 3.51, m; 3.62, dd (11.5, 4.0) | 64.8, CH2 |
| 2 | 3.94, m | 72.7, CH |
| 3 | 2.66, dd (14.0, 8.5); 2.84, dd (14.0, 5.0) | 38.3, CH2 |
| 1′ | 134.1, C | |
| 2′ | 7.01, d (1.5) | 113.8, CH |
| 3′ | 148.6, C | |
| 4′ | 143.8, C | |
| 5′ | 7.12, d (8.0) | 116.1, CH |
| 6′ | 6.88, dd (8.0, 1.5) | 122.1, CH |
| 3′-OCH3 | 3.87, s | 55.6, CH3 |
| 1′′ | 5.09, d (7.5) | 100.6, CH |
| 2′′ | 3.60, m | 72.8, CH |
| 3′′ | 3.51, m | 69.2, CH |
| 4′′ | 3.57, m | 76.2, CH |
| 5′′ | 3.58, m | 75.7, CH |
| 6′′ | 3.75, dd (12.5, 5.5); 3.90, dd (12.5, 2.0) | 60.3, CH2 |
| Compound | IC50 (μM) a | Compound | IC50 (μM) a |
|---|---|---|---|
| 1 | 32.75 ± 2.32 | 4 | 37.85 ± 5.10 |
| 1a | 5.23 ± 0.78 | 5 | 45.83 ± 1.90 |
| 2 | 36.51 ± 1.42 | 6 | >50 |
| 3 | 48.20 ± 3.08 | Ascorbic acid b | 2.54 ± 0.21 |
Publisher’s Note: MDPI stays neutral with regard to jurisdictional claims in published maps and institutional affiliations. |
© 2021 by the authors. Licensee MDPI, Basel, Switzerland. This article is an open access article distributed under the terms and conditions of the Creative Commons Attribution (CC BY) license (https://creativecommons.org/licenses/by/4.0/).
Share and Cite
Alishir, A.; Kim, K.H. Antioxidant Phenylpropanoid Glycosides from Ginkgo biloba Fruit and Identification of a New Phenylpropanoid Glycoside, Ginkgopanoside. Plants 2021, 10, 2702. https://doi.org/10.3390/plants10122702
Alishir A, Kim KH. Antioxidant Phenylpropanoid Glycosides from Ginkgo biloba Fruit and Identification of a New Phenylpropanoid Glycoside, Ginkgopanoside. Plants. 2021; 10(12):2702. https://doi.org/10.3390/plants10122702
Chicago/Turabian StyleAlishir, Akida, and Ki Hyun Kim. 2021. "Antioxidant Phenylpropanoid Glycosides from Ginkgo biloba Fruit and Identification of a New Phenylpropanoid Glycoside, Ginkgopanoside" Plants 10, no. 12: 2702. https://doi.org/10.3390/plants10122702
APA StyleAlishir, A., & Kim, K. H. (2021). Antioxidant Phenylpropanoid Glycosides from Ginkgo biloba Fruit and Identification of a New Phenylpropanoid Glycoside, Ginkgopanoside. Plants, 10(12), 2702. https://doi.org/10.3390/plants10122702

