In-Field Comparative Study of Landraces vs. Modern Wheat Genotypes under a Mediterranean Climate
Abstract
:1. Introduction
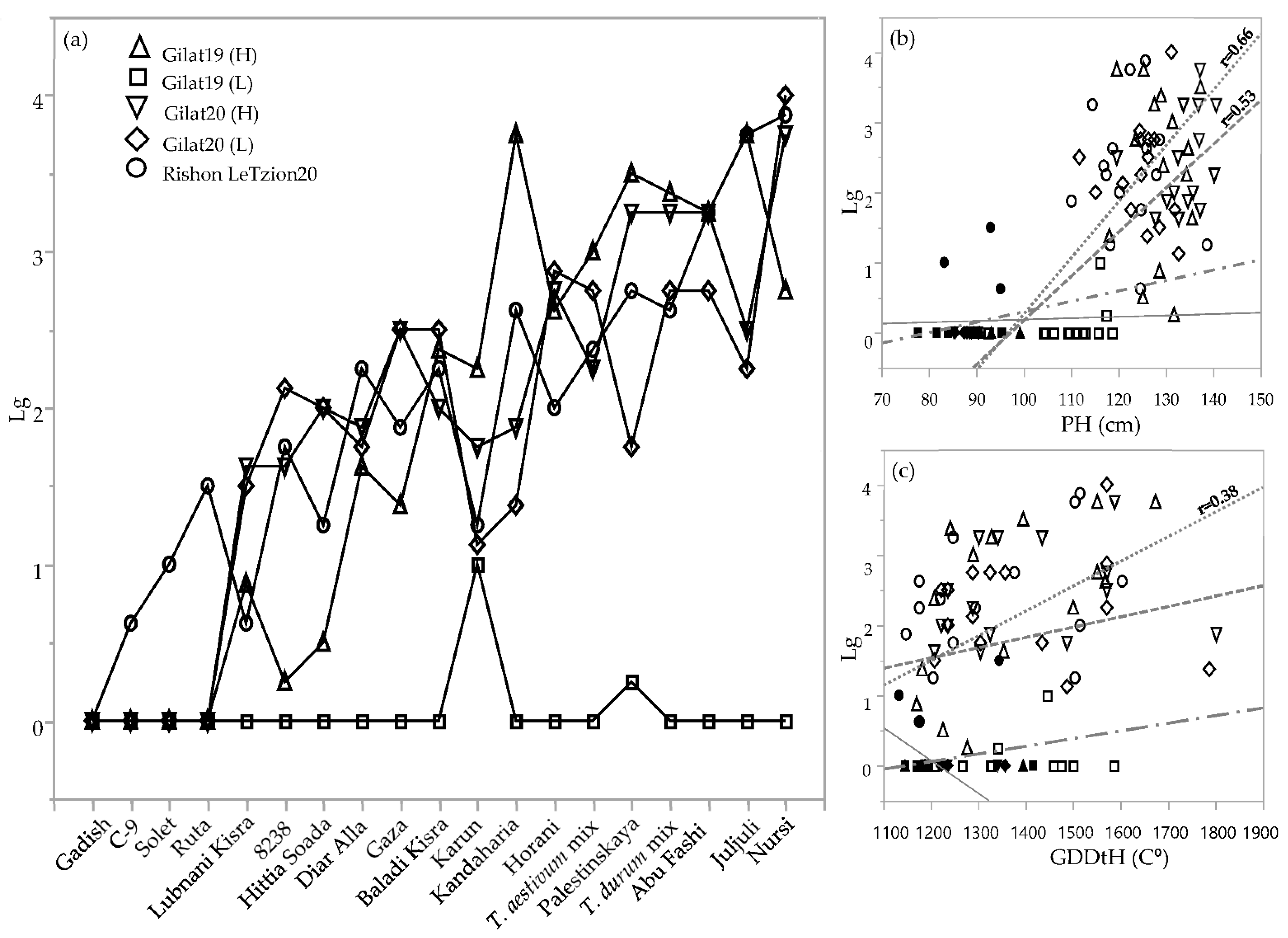
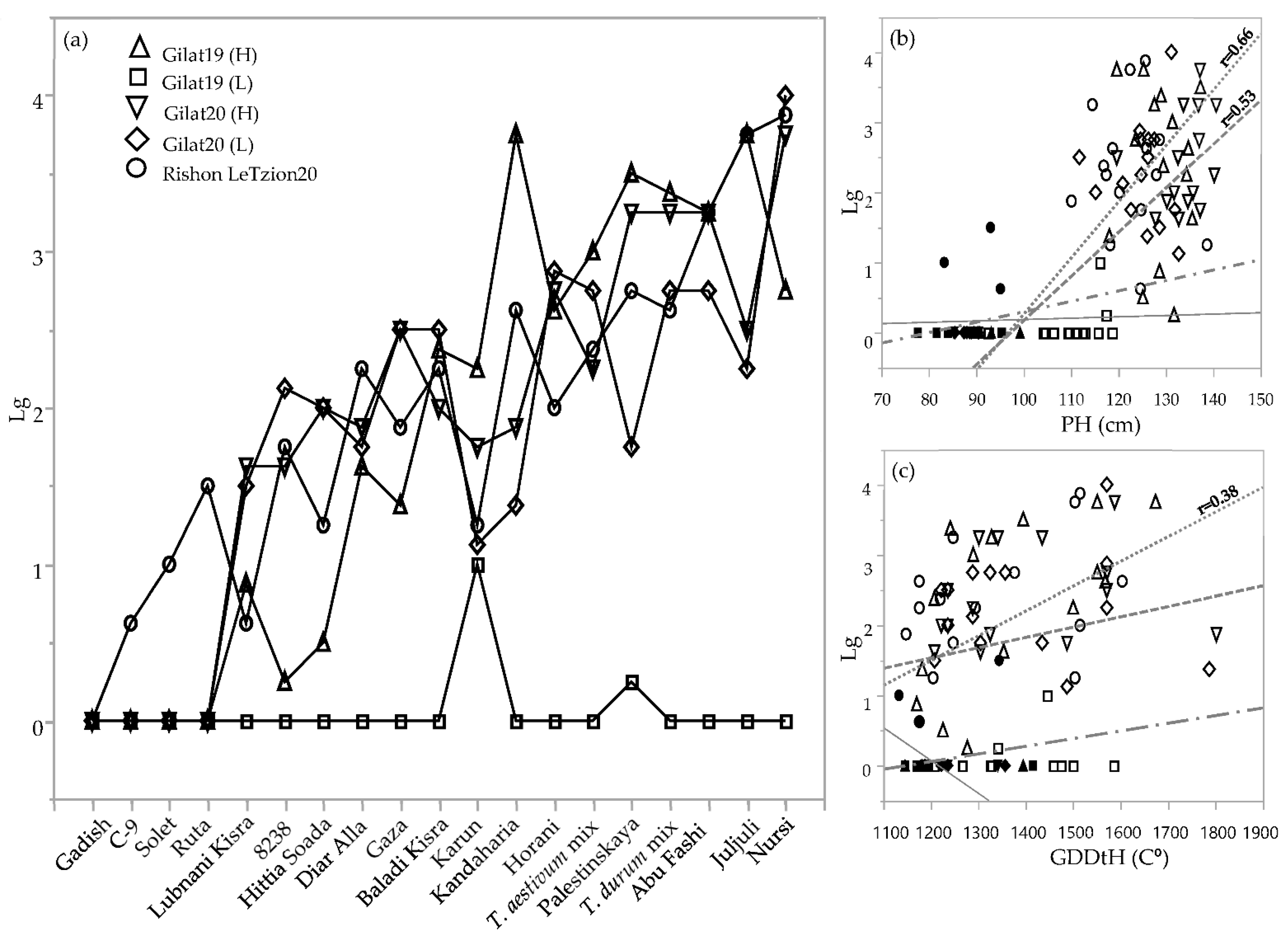
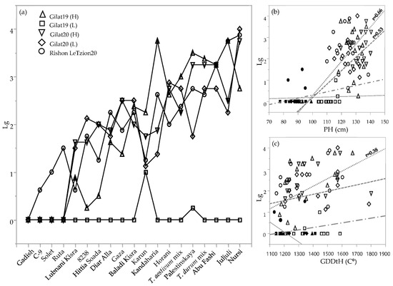
2. Results
3. Discussion
4. Materials and Methods
4.1. Germplasm Selection
4.2. Field Experiments
4.3. Phenotypic Measurements
4.4. Statistical Analyses
Author Contributions
Funding
Acknowledgments
Conflicts of Interest
Appendix A


Appendix B
| Group | IPLR Code | Name | Species |
|---|---|---|---|
| Landrace | IPLR-0184 | 8238 | T. durum |
| Landrace | IPLR-0653 | Abu Fashi | T. durum |
| Landrace | IPLR-0199A | Baladi Kisra | T. durum |
| Landrace | IPLR-0135 | Gaza | T. durum |
| Landrace | IPLR-0310 | Hittia Soada | T. durum |
| Landrace | IPLR-0268 | Horani | T. durum |
| Landrace | IPLR-0198 | Nursi | T. durum |
| Modern cultivar | Solet | T. durum | |
| Modern cultivar | C-9 | T. durum | |
| Landrace | IPLR-0260 | Kandaharia | T. aestivum |
| Landrace | IPLR-0256 | Karun | T. aestivum |
| Landrace | IPLR-0202 | Lubnani Kisra | T. aestivum |
| Landrace | IPLR-0059 | Palestinskaya | T. aestivum |
| Landrace | IPLR-0843 | Diar Alla | T. aestivum |
| Landrace | IPLR-0047 | Juljuli | T. aestivum |
| Modern cultivar | Gadish | T. aestivum | |
| Modern cultivar | Ruta | T. aestivum |
References
- Tesfaye, K. Climate change in the hottest wheat regions. Nat. Food 2021, 2, 8–9. [Google Scholar] [CrossRef]
- Amir, J.; Sinclair, T.R. A model of water limitation on spring wheat growth and yield. Field Crops Res. 1991, 28, 59–69. [Google Scholar] [CrossRef]
- Rajaram, S.; Braun, H.-J.; van Ginkel, M. CIMMYT’s approach to breed for drought tolerance. In Adaptation in Plant Breeding; Tigerstedt, P.M.A., Ed.; Developments in Plant Breeding; Springer: Dordrecht, The Netherlands, 1997; Volume 4, pp. 161–167. [Google Scholar]
- Fischer, R.A.; Maurer, R. Drought resistance in spring wheat cultivars. I. Grain yield responses. Aust. J. Agric. Res. 1978, 29, 897–912. [Google Scholar] [CrossRef]
- Abu-Zaitoun, S.; Chandrasekhar, K.; Assili, S.; Shtaya, M.; Jamous, R.; Mallah, O.; Nashef, K.; Sela, H.; Distelfeld, A.; Alhajaj, N.; et al. Unlocking the genetic diversity within a Middle-East panel of durum wheat landraces for adaptation to semi-arid climate. Agronomy 2018, 8, 233. [Google Scholar] [CrossRef] [Green Version]
- Pecetti, L.; Annicchiarrico, P. Grain yield and quality of durum wheat landraces in a dry Mmediterranean region of Northern Syria. Plant Breed. 1993, 110, 243–249. [Google Scholar] [CrossRef]
- Akcura, M.; Partigoc, F.; Kaya, Y. Evaluating of drought stress tolerance based on selection indices in turkish bread wheat landraces. J. Anim. Plant Sci. 2011, 21, 4. [Google Scholar]
- Jaradat, A.A. Breeding potential of durum wheat landraces from Jordan. Hereditas 2008, 116, 305–309. [Google Scholar] [CrossRef]
- Ben-David, R.; Amram, A.; Nashef, K.; Peleg, Z. Genetic improvement of durum wheat establishment under luctuating environmental conditions. In Proceedings of the International Symposium on Genetics and Breeding of Durum Wheat, Rome, Italy, 27–30 May 2013; pp. 147–149. [Google Scholar]
- Bonfil, D.J.; Mufradi, I.; Klitman, S.; Asido, S. Wheat Grain Yield and Soil Profile Water Distribution in a No-Till Arid Environment. Agron. J. 1999, 91, 368–373. [Google Scholar] [CrossRef]
- Klein, J.D.; Mufradi, I.; Cohen, S.; Hebbe, Y.; Asido, S.; Dolgin, B.; Bonfil, D.J. Establishment of Wheat Seedlings after Early Sowing and Germination in an Arid Mediterranean Environment. Agron. J. 2002, 94, 585–593. [Google Scholar] [CrossRef]
- Omari, S.; Kamenir, Y.; Benichou, J.I.C.; Pariente, S.; Sela, H.; Perl-Treves, R. Landraces of snake melon, an ancient Middle Eastern crop, reveal extensive morphological and DNA diversity for potential genetic improvement. BMC Genet. 2018, 19, 34. [Google Scholar] [CrossRef]
- Frankin, S.; Kunta, S.; Abbo, S.; Sela, H.; Goldberg, B.Z.; Bonfil, D.J.; Levy, A.A.; Avivi-Ragolsky, N.; Nashef, K.; Roychowdhury, R.; et al. The Israeli-Palestinian wheat landraces collection: Restoration and characterization of lost genetic diversity. J. Sci. Food Agric. 2020, 100, 4083–4092. [Google Scholar] [CrossRef] [PubMed]
- Denčić, S.; Kastori, R.; Kobiljski, B.; Duggan, B. Evaluation of grain yield and its components in wheat cultivars and landraces under near optimal and drought conditions. Euphytica 2000, 113, 43–52. [Google Scholar] [CrossRef]
- Newton, A.C.; Akar, T.; Baresel, J.P.; Bebeli, P.J.; Bettencourt, E.; Bladenopoulos, K.V.; Czembor, J.H.; Fasoula, D.A.; Katsiotis, A.; Koutis, K.; et al. Cereal landraces for sustainable agriculture. A review. Agron. Sustain. Dev. 2010, 30, 237–269. [Google Scholar] [CrossRef] [Green Version]
- Constantinidou, K.; Hadjinicolaou, P.; Zittis, G.; Lelieveld, J. Effects of climate change on the yield of winter wheat in the eastern Mediterranean and Middle East. Clim. Res. 2016, 69, 129–141. [Google Scholar] [CrossRef] [Green Version]
- Ceglar, A.; Toreti, A.; Zampieri, M.; Royo, C. Global loss of climatically suitable areas for durum wheat growth in the future. Environ. Res. Lett. 2021, 16, 104049. [Google Scholar] [CrossRef]
- Nazco, R.; Peña, R.J.; Ammar, K.; Villegas, D.; Crossa, J.; Moragues, M.; Royo, C. Variability in glutenin subunit composition of Mediterranean durum wheat germplasm and its relationship with gluten strength. J. Agric. Sci. 2014, 152, 379–393. [Google Scholar] [CrossRef] [Green Version]
- Zampieri, M.; Toreti, A.; Ceglar, A.; Naumann, G.; Turco, M.; Tebaldi, C. Climate resilience of the top ten wheat producers in the Mediterranean and the Middle East. Reg. Environ. Chang. 2020, 20, 41. [Google Scholar] [CrossRef] [Green Version]
- Borg, J.; Kiær, L.P.; Lecarpentier, C.; Goldringer, I.; Gauffreteau, A.; Saint-Jean, S.; Barot, S.; Enjalbert, J. Unfolding the potential of wheat cultivar mixtures: A meta-analysis perspective and identification of knowledge gaps. Field Crop. Res. 2018, 221, 298–313. [Google Scholar] [CrossRef]
- Fang, Y.; Xu, B.; Liu, L.; Gu, Y.; Liu, Q.; Turner, N.C.; Li, F.M. Does a mixture of old and modern winter wheat cultivars increase yield and water use efficiency in water-limited environments? Field Crop. Res. 2014, 156, 12–21. [Google Scholar] [CrossRef]
- Curzon, A.Y.; Kottakota, C.; Nashef, K.; Abbo, S.; Bonfil, D.J.; Reifen, R.; Bar-El, S.; Rabinovich, O.; Avneri, A.; Ben-David, R. Assessing adaptive requirements and breeding potential of spelt under Mediterranean environment. Sci. Rep. 2021, 11, 7208. [Google Scholar] [CrossRef]
- Rufo, R.; Alvaro, F.; Royo, C.; Soriano, J.M. From landraces to improved cultivars: Assessment of genetic diversity and population structure of Mediterranean wheat using SNP markers. PLoS ONE 2019, 14, e0219867. [Google Scholar] [CrossRef] [PubMed] [Green Version]
- Royo, C.; Maccaferri, M.; Álvaro, F.; Moragues, M.; Sanguineti, M.C.; Tuberosa, R.; Maalouf, F.; del Moral, L.F.G.; Demontis, A.; Rhouma, S.; et al. Understanding the relationships between genetic and phenotypic structures of a collection of elite durum wheat accessions. Field Crop. Res. 2010, 119, 91–105. [Google Scholar] [CrossRef]
- Shiff, S.; Lensky, I.M.; Bonfil, D.J. Using Satellite Data to Optimize Wheat Yield and Quality under Climate Change. Remote Sens 2021, 13, 2049. [Google Scholar] [CrossRef]
- Jatayev, S.; Sukhikh, I.; Vavilova, V.; Smolenskaya, S.E.; Goncharov, N.P.; Kurishbayev, A.; Zotova, L.; Absattarova, A.; Serikbay, D.; Hu, Y.-G.; et al. Green revolution “stumbles” in a dry environment: Dwarf wheat with Rht genes fails to produce higher grain yield than taller plants under drought. Plant Cell Environ. 2020, 43, 2355–2364. [Google Scholar] [CrossRef]
- Pinthus, M.J. Lodging in wheat, barley, and oats: The phenomenon, its causes, and preventive measures. Adv. Agron. 1974, 25, 209–263. [Google Scholar]
- Lin, C.S.; Binns, M.R. A superiority measure of cultivar performance for cultivar × location data. Can. J. Plant Sci. 1988, 68, 193–198. [Google Scholar] [CrossRef]






| Source of Variance | d.f. 1 | Mean Square | |||||||||
|---|---|---|---|---|---|---|---|---|---|---|---|
| GDDtH | CT | PH | DM_M | SpN | GN | TKW | GY | HI | GPC | ||
| (C°) | (87–95 DfE) | (cm) | (g/m2) | (g/m2) | (g/m2) | (g) | (t ha−1) | (%) | |||
| G | 3 | 124,218.2 | 0.8 | 6585.2 | 506,785 | 105,516 | 364,442,698 | 703.7 | 2882.1 | 0.1 | 43 |
| ** | *** | *** | *** | *** | *** | *** | |||||
| E | 4 | 7480.1 | 91 | 417.2 | 13,039,098 | 276,612 | 610,606,767 | 202.4 | 275.4 | 0 | 7.4 |
| *** | *** | *** | *** | *** | *** | *** | *** | ** | |||
| GXE | 12 | 652.4 | 0.6 | 64.2 | 231,034 | 8399 | 63,187,797 | 16.1 | 98.6 | 0 | 0.9 |
| ** | *** | *** | |||||||||
| R2 | 0.2 | 0.9 | 0.9 | 0.8 | 0.7 | 0.8 | 0.6 | 0.8 | 0.8 | 0.5 | |
| Group | Mean Lg 76–94 DfE 1 ± SE | Mean Lg 82–108 DfE ± SE | Mean Lg 97–117 DfE ± SE | Mean PH (cm) ± SE | Mean GY ± SE |
|---|---|---|---|---|---|
| Landraces T. aestivum | 0.56 ± 1.01 a | 0.6 ± 0.8 a | 1.81 ± 0.2 a | 126 ± 1.7 a | 2.2 ± 1.6 a |
| Modern cultivars T. aestivum | 0 ab | 0.01 ± 0.1 b | 0.1625 ± 0.1 b | 87.6 ± 3.2 b | 4.2 ± 3.2 b |
| Landraces T. durum | 0.054 ± 0.19 b | 0.74 ± 0.8 ab | 1.97 ± 0.2 a | 121.98 ± 1.6 a | 2.4 ± 1.2 a |
| Modern cultivars T. durum | 0 ab | 0 b | 0.15 ± 0.2 b | 90.17 ± 3.2 b | 4.9 ± 4.7 b |
| GY (t ha−1) | |||||||||
|---|---|---|---|---|---|---|---|---|---|
| Group | Name | n | Gilat19 (L) | Gilat19 (H) | PH (cm) | Lg | GDDtH (C°) | RDY a (%) | S |
| Modern cultivars: | |||||||||
| T. aestivum | Gadish | 4 | 3.4 | 5.2 | 87 | 0 | 1199.6 | 65.7 | 1.75 |
| Ruta | 4 | 3.1 | 4.5 | 93 | 0.3 | 1370.27 | 69.9 | 1.53 | |
| T. durum | C-9 | 4 | 3.5 | 5.5 | 89 | 0.13 | 1201.58 | 64.1 | 1.83 |
| Solet | 4 | 2.7 | 3.9 | 86 | 0.2 | 1159.23 | 68.4 | 1.61 | |
| Landraces: | |||||||||
| T. aestivum | Lubnani Kisra | 4 | 2.6 | 3.7 | 126 | 0.93 | 1185.9 | 70.8 | 1.49 |
| Diar Alla | 4 | 2.6 | 3.3 | 123 | 1.5 | 1320.64 | 77.2 | 1.16 | |
| T. durum | Hittia Soada | 4 | 2.6 | 3.3 | 120 | 1.15 | 1221.4 | 79.4 | 1.05 |
| 8238 | 4 | 2 | 2.7 | 125 | 1.13 | 1276.33 | 73.3 | 1.36 | |
| Gaza | 4 | 2.4 | 3.3 | 110 | 1.45 | 1193.2 | 72.0 | 1.42 | |
Publisher’s Note: MDPI stays neutral with regard to jurisdictional claims in published maps and institutional affiliations. |
© 2021 by the authors. Licensee MDPI, Basel, Switzerland. This article is an open access article distributed under the terms and conditions of the Creative Commons Attribution (CC BY) license (https://creativecommons.org/licenses/by/4.0/).
Share and Cite
Frankin, S.; Roychowdhury, R.; Nashef, K.; Abbo, S.; Bonfil, D.J.; Ben-David, R. In-Field Comparative Study of Landraces vs. Modern Wheat Genotypes under a Mediterranean Climate. Plants 2021, 10, 2612. https://doi.org/10.3390/plants10122612
Frankin S, Roychowdhury R, Nashef K, Abbo S, Bonfil DJ, Ben-David R. In-Field Comparative Study of Landraces vs. Modern Wheat Genotypes under a Mediterranean Climate. Plants. 2021; 10(12):2612. https://doi.org/10.3390/plants10122612
Chicago/Turabian StyleFrankin, Sivan, Rajib Roychowdhury, Kamal Nashef, Shahal Abbo, David J. Bonfil, and Roi Ben-David. 2021. "In-Field Comparative Study of Landraces vs. Modern Wheat Genotypes under a Mediterranean Climate" Plants 10, no. 12: 2612. https://doi.org/10.3390/plants10122612
APA StyleFrankin, S., Roychowdhury, R., Nashef, K., Abbo, S., Bonfil, D. J., & Ben-David, R. (2021). In-Field Comparative Study of Landraces vs. Modern Wheat Genotypes under a Mediterranean Climate. Plants, 10(12), 2612. https://doi.org/10.3390/plants10122612

