The Importance of Liming with an Appropriate Liming Material: Long-Term Experience with a Typic Palexerult
Abstract
1. Introduction
2. Results
2.1. Initial Soil Characterisation before Liming
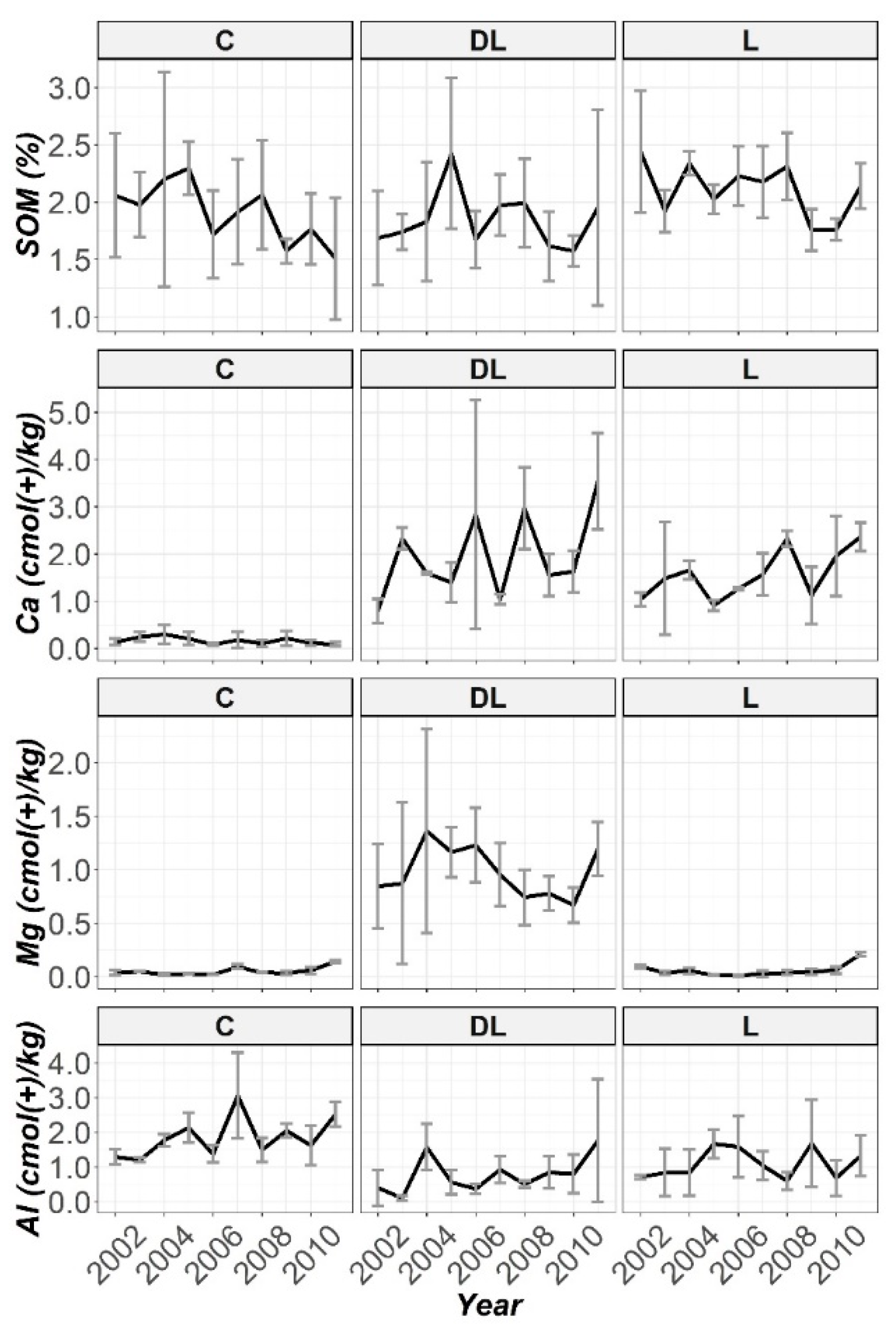
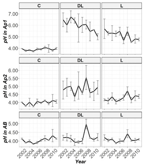
2.2. Temporal Evolution of Soil Parameters
2.3. Temporal Evolution of Biomass
2.4. Correlations between Soil and Biomass Parameters
3. Discussion
4. Materials and Methods
4.1. Study Site
4.2. Characterisation of the Liming Materials and Doses
4.3. Experimental Design
4.4. Statistical Analyses and Soil and Biomass Analyses
5. Conclusions
Supplementary Materials
Author Contributions
Funding
Data Availability Statement
Acknowledgments
Conflicts of Interest
References
- Olego, M.A.; Visconti, F.; Quiroga, M.J.; de Paz, J.M.; Garzón-Jimeno, E. Assessing the effects of soil liming with dolomitic limestone and sugar foam on soil acidity, leaf nutrient contents, grape yield and must quality in a mediterranean vineyard. Spanish J. Agric. Res. 2016, 14, e1102. [Google Scholar] [CrossRef]
- Olego, M.Á.; Quiroga, M.J.; Mendaña-Cuervo, C.; Cara-Jiménez, J.; López, R.; Garzón-Jimeno, E. Long-term effects of calcium-based liming materials on soil fertility sustainability and rye production as soil quality indicators on a typic palexerult. Processes 2021, 9, 1181. [Google Scholar] [CrossRef]
- Boulyga, S.F.; Becker, J.S.; Perelygin, V.P.; Chuburkov, Y.T.; Kirchner, G.; Noack, C.; Donohue, D.L.; Zhao, X.-L.; Nadeau, M.-J.; Kilius, L.R.; et al. Isotopic analysis of uranium and plutonium using ICP-MS and estimation of burn-up of spent uranium in contaminated environmental samples. J. Anal. At. Spectrom. 2002, 17, 1143–1147. [Google Scholar] [CrossRef]
- Bose, J.; Babourina, O.; Rengel, Z. Role of magnesium in alleviation of aluminium toxicity in plants. J. Exp. Bot. 2011, 62, 2251–2264. [Google Scholar] [CrossRef] [PubMed]
- Shaaban, M.; Wu, L.; Peng, Q.A.; van Zwieten, L.; Chhajro, M.A.; Wu, Y.; Lin, S.; Ahmed, M.M.; Khalid, M.S.; Abid, M.; et al. Influence of ameliorating soil acidity with dolomite on the priming of soil C content and CO2 emission. Environ. Sci. Pollut. Res. 2017, 24, 9241–9250. [Google Scholar] [CrossRef]
- Meriño-Gergichevich, C.; Alberdi, M.; Ivanov, A.G.; Reyes-Díaz, M. Al3+-Ca2+ interaction in plants growing in acid soils: Al-phytotoxicity response to calcareous amendments. J. Soil Sci. Plant Nutr. 2010, 10, 217–243. [Google Scholar]
- Weil, R.R.; Brady, N.C. The Nature and Properties of Soils, 15th ed.; Pearson: Upper Saddle River, NJ, USA, 2017. [Google Scholar]
- Chaudhry, A.H.; Nayab, S.; Hussain, S.B.; Ali, M.; Pan, Z. Current understandings on magnesium deficiency and future outlooks for sustainable agriculture. Int. J. Mol. Sci. 2021, 22, 1819. [Google Scholar] [CrossRef]
- Huber, D.M.; Jones, J.B. The role of magnesium in plant disease. Plant Soil 2013, 368, 73–85. [Google Scholar] [CrossRef]
- Tanoi, K.; Kobayashi, N.I. Leaf senescence by magnesium deficiency. Plants 2015, 4, 756–772. [Google Scholar] [CrossRef]
- Cakmak, I. Magnesium in crop production, food quality and human health. Plant Soil 2013, 368, 1–4. [Google Scholar] [CrossRef]
- Gerendás, J.; Führs, H. The significance of magnesium for crop quality. Plant Soil 2013, 368, 101–128. [Google Scholar] [CrossRef]
- Verbruggen, N.; Hermans, C. Physiological and molecular responses to magnesium nutritional imbalance in plants. Plant Soil 2013, 368, 87–99. [Google Scholar] [CrossRef]
- Guo, W.; Nazim, H.; Liang, Z.; Yang, D. Magnesium deficiency in plants: An urgent problem. Crop J. 2016, 4, 83–91. [Google Scholar] [CrossRef]
- Cakmak, I.; Yazici, A.M. Magnesium: A Forgotten Element in Crop Production. Better Crop. 2010, 94, 23–25. [Google Scholar]
- Rizvi, S.H.; Gauquelin, T.; Gers, C.; Guérold, F.; Pagnout, C.; Baldy, V. Calcium-magnesium liming of acidified forested catchments: Effects on humus morphology and functioning. Appl. Soil Ecol. 2012, 62, 81–87. [Google Scholar] [CrossRef]
- Wu, H.; Hu, J.; Shaaban, M.; Xu, P.; Zhao, J.; Hu, R. The effect of dolomite amendment on soil organic carbon mineralization is determined by the dolomite size. Ecol. Process. 2021, 10, 8. [Google Scholar] [CrossRef]
- Goulding, K.W.T. Soil acidification and the importance of liming agricultural soils with particular reference to the United Kingdom. Soil Use Manag. 2016, 32, 390–399. [Google Scholar] [CrossRef] [PubMed]
- Bernardi, A.C. de C.; Bueno, J.O. de A.; Laurenti, N.; Santos, K.E.L.; Alves, T.C. Efeito da calagem e fertilizantes aplicados à taxa variável nos atributos químicos do solo e custos de produção de pastagem de campim Tanzânia manejadas intensivamente. Brazilian J. Biosyst. Eng. 2018, 12, 368–382. [Google Scholar] [CrossRef][Green Version]
- Serrano, J.; Shahidian, S.; da Silva, J.M.; Moral, F.; Carvajal-Ramirez, F.; Carreira, E.; Pereira, A.; de Carvalho, M. Evaluation of the effect of dolomitic lime application on pastures - Case study in the Montado mediterranean ecosystem. Sustainability 2020, 12, 3758. [Google Scholar] [CrossRef]
- Anderson, G.C.; Pathan, S.; Easton, J.; Hall, D.J.M.; Sharma, R. Short- and Long-Term Effects of Lime and Gypsum Applications on Acid Soils in a Water-Limited Environment: 2. Soil Chemical Properties. Agron. 2020, Vol. 10, Page 1987 2020, 10, 1987. [Google Scholar] [CrossRef]
- Álvarez, E.; Viadé, A.; Fernández-Marcos, M.L. Effect of liming with different sized limestone on the forms of aluminium in a Galician soil (NW Spain). Geoderma 2009, 152, 1–8. [Google Scholar] [CrossRef]
- Olego, M.Á.; De Paz, J.M.; Visconti, F.; Garzón, J.E. Predictive modelling of soil aluminium saturation as a basis for liming recommendations in vineyard acid soils under Mediterranean conditions. Soil Sci. Plant Nutr. 2014, 60, 695–707. [Google Scholar] [CrossRef][Green Version]
- Quiroga, M.J.; Olego, M.Á.; Sánchez-García, M.; Medina, J.E.; Visconti, F.; Coque, J.J.R.; Jimeno, J.E.G. Effects of liming on soil properties, leaf tissue cation composition and grape yield in a moderately acid vineyard soil. Influence on must and wine quality. Oeno One 2017, 51, 342–362. [Google Scholar] [CrossRef]
- Kryzevicius, Z.; Karcauskiene, D.; Álvarez-Rodríguez, E.; Zukauskaite, A.; Slepetiene, E.; Volungevicius, J. The effect of over 50 years of liming on soil aluminium forms in a Retisol. J. Agric. Sci. 2019, 157, 12–19. [Google Scholar] [CrossRef]
- Fuentes, M.; González-Gaitano, G.; García-Mina, J.M. The usefulness of UV-visible and fluorescence spectroscopies to study the chemical nature of humic substances from soils and composts. Org. Geochem. 2006, 37, 1949–1959. [Google Scholar] [CrossRef]
- Crusciol, C.A.C.; Rossato, O.B.; Foltran, R.; Martello, J.M.; Nascimento, C.A.C. do Soil Fertility, Sugarcane Yield Affected by Limestone, Silicate, and Gypsum Application. Commun. Soil Sci. Plant Anal. 2017, 48, 2314–2323. [Google Scholar] [CrossRef]
- Chan, K.Y.; Heenan, D.P. Lime-induced loss of soil organic carbon and effect on aggregate stability. Soil Sci. Soc. Am. J. 1999, 63, 1841–1844. [Google Scholar] [CrossRef]
- Paradelo, R.; Virto, I.; Chenu, C. Net effect of liming on soil organic carbon stocks: A review. Agric. Ecosyst. Environ. 2015, 202, 98–107. [Google Scholar] [CrossRef]
- Martins Da Costa, C.H.; Alexandre, C.; Crusciol, C. Long-term effects of lime and phosphogypsum application on tropical no-till soybean-oat-sorghum rotation and soil chemical properties. Eur. J. Agron. 2016, 74, 119–132. [Google Scholar] [CrossRef]
- Caires, E.F.; Churka, S.; Garbuio, F.J.; Ferrari, R.A.; Morgano, M.A. Soybean yield and quality a function oflime and gypsum applications. Sci. Agric. 2006, 63, 370–379. [Google Scholar] [CrossRef]
- Silva, C.A.; Anderson, S.J.; Guilherme, L.R.G. Uso da cromatografia de exclusão por tamanho na caracterização de substâncias húmicas de Latossolo Vermelho-Escuro sob efeito da calagem. Rev. Bras. Ciência do Solo 2000, 24, 495–503. [Google Scholar] [CrossRef]
- Grover, S.P.; Butterly, C.R.; Wang, X.; Tang, C. The short-term effects of liming on organic carbon mineralisation in two acidic soils as affected by different rates and application depths of lime. Biol. Fertil. Soils 2017 534 2017, 53, 431–443. [Google Scholar] [CrossRef]
- Edmeades, D.C. Effects of lime on effective cation exchange capacity and exchangeable cations on a range of New Zealand soils. New Zeal. J. Agric. Res. 1982, 25, 27–33. [Google Scholar] [CrossRef]
- Olego, M.A.; Quiroga, M.J.; Cuesta, M.; Oliveira, P.A.; Garzón-Jimeno, J.E. Influence of overliming vineyard acid soils on the macro-nutritional status of grapevines. Spanish J. Agric. Res. 2021, 19, e0903. [Google Scholar] [CrossRef]
- Illera, V.; Garrido, F.; Vizcayno, C.; García-González, M.T. Field application of industrial by-products as Al toxicity amendments: Chemical and mineralogical implications. Eur. J. Soil Sci. 2004, 55, 681–692. [Google Scholar] [CrossRef]
- Anikwe, M.A.N.; Eze, J.C.; Ibudialo, A.N. Influence of lime and gypsum application on soil properties and yield of cassava (Manihot esculenta Crantz.) in a degraded Ultisol in Agbani, Enugu Southeastern Nigeria. Soil Tillage Res. 2016, 158, 32–38. [Google Scholar] [CrossRef]
- Siepel, H.; Bobbink, R.; van de Riet, B.P.; van den Burg, A.B.; Jongejans, E. Long-term effects of liming on soil physico-chemical properties and micro-arthropod communities in Scotch pine forest. Biol. Fertil. Soils 2019 557 2019, 55, 675–683. [Google Scholar] [CrossRef]
- Kinraide, T.B.; Parker, D.R. Cation Amelioration of Aluminum Toxicity in Wheat. Plant Physiol. 1987, 83, 546–551. [Google Scholar] [CrossRef]
- de Souza, R.M.; Cardoso Pinto, J.; Evangelista, A.R.; de Carvalho Couto, C.C. Formas de aplicação de calcário nos teores de minerais da forragem do capim-Tanzânia. Ciênc. agrotec. 2006, 30, 752–758. [Google Scholar] [CrossRef][Green Version]
- Senbayram, M.; Gransee, A.; Wahle, V.; Thiel, H. Role of magnesium fertilisers in agriculture: Plant-soil continuum. Crop Pasture Sci. 2015, 66, 1219–1229. [Google Scholar] [CrossRef]
- Tan, K.; Keltjens, W.G.; Findenegg, C.R. Aluminum toxicity in sorghum genotypes as influenced by solution acidity. Soil Sci. Plant Nutr. 1993, 39, 291–298. [Google Scholar] [CrossRef]
- Bose, J.; Babourina, O.; Shabala, S.; Rengel, Z. Low-pH and aluminum resistance in arabidopsis correlates with high cytosolic magnesium content and increased magnesium uptake by plant roots. Plant Cell Physiol. 2013, 54, 1093–1104. [Google Scholar] [CrossRef] [PubMed]
- Villa, E. Incidencia de la Aplicación de Espumas de Azucarería y Otras enmiendas Calizas Sobre la Producción de Biomasa. Mejora a Corto Plazo de los Condicionantes Agronómicos de los Suelos ácidos de Raña del Norte de León; Universidad de León: León, Spain, 2005. [Google Scholar]
- Fageria, N.K.; Baligar, V.C. Chapter 7 Ameliorating Soil Acidity of Tropical Oxisols by Liming For Sustainable Crop Production. Adv. Agron. 2008, 99, 345–399. [Google Scholar]
- Cochrane, T.T.; Salinas, J.G.; Sanchez, P.A. An equation for liming acid mineral soils to compensate crop aluminium tolerance. Trop. Agric. 1980, 57, 133–140. [Google Scholar]








| Soil Parameter | ML Ratio (T) | ML Ratio (D) | ML Ratio (Y) | ML Ratio (T × D) | ML Ratio (T × D × Y) |
|---|---|---|---|---|---|
| pH | 132 (***) | 161 (***) | 22.0 (*) | 216 (***) | 181 (***) |
| SOM | 2.62 (0.27) | 404 (***) | 35.5 (***) | 7.29 (0.12) | 131 (***) |
| Ca | 135 (***) | 195 (***) | 197 (***) | 177 (***) | 379 (***) |
| Mg | 316 (***) | 36.2 (***) | 17.0 (*) | 79.9 (***) | 195 (***) |
| K | 4.58 (0.10) | 28.2 (***) | 49.5 (***) | 1.70 (0.79) | 89.4 (0.08) |
| Al | 84.8 (***) | 85.6 (***) | 33.6 (***) | 53.8 (***) | 147 (***) |
| Biomass Parameter | ML Ratio (T) | ML Ratio (Y) | ML Ratio (T × Y) |
|---|---|---|---|
| Spike | 112 (***) | 50.5 (***) | 58.1 (***) |
| Stem | 91.0 (***) | 47.6 (***) | 59.1 (***) |
| Total | 104 (***) | 49.2 (***) | 61.5 (***) |
| Ca-Rye | 40.0 (***) | 23.8 (**) | 45.2 (***) |
| Mg-Rye | 174 (***) | 26.6 (**) | 67.1 (***) |
| K-Rye | 2.82 (0.24) | 38.4 (***) | 37.5 (**) |
| pH | SOM | Ca | Mg | K | Al | Spike | Stem | Total | Ca-Rye | Mg-Rye | K-Rye | |
|---|---|---|---|---|---|---|---|---|---|---|---|---|
| pH | 1.00 | |||||||||||
| SOM | 0.09 | 1.00 | ||||||||||
| Ca | 0.89 (***) | 0.15 | 1.00 | |||||||||
| Mg | 0.74(***) | 0.02 | 0.57 (***) | 1.00 | ||||||||
| K | −0.23 | −0.02 | −0.04 | −0.04 | 1.00 | |||||||
| Al | −0.73 (***) | −0.04 | −0.78 (***) | −0.44 (*) | 0.11 | 1.00 | ||||||
| Spike | 0.48 (**) | −0.17 | 0.54 (**) | 0.39 (*) | 0.07 | −0.61 (***) | 1.00 | |||||
| Stem | 0.51 (**) | −0.09 | 0.56 (**) | 0.42 (*) | 0.07 | −0.67 (***) | 0.96 (***) | 1.00 | ||||
| Total | 0.50 (**) | −0.13 | 0.55 (**) | 0.41 (*) | 0.07 | −0.65 (***) | 0.99 (***) | 0.99 (***) | 1.00 | |||
| Ca-Rye | 0.27 | 0.00 | 0.30 | −0.12 | −0.40 | −0.49 (**) | −0.07 | −0.03 | −0.05 | 1.00 | ||
| Mg-Rye | 0.83 (***) | −0.01 | 0.61 (***) | 0.95 (***) | −0.18 | −0.54 (**) | 0.40 (*) | 0.41 (*) | 0.41 (*) | 0.05 | 1.00 | |
| K-Rye | 0.03 | 0.52 (**) | −0.03 | −0.09 | −0.12 | 0.09 | −0.28 | −0.16 | −0.22 | 0.07 | −0.06 | 1.00 |
| Treatment | CaO a | MgO a | K2O a | Al b | CCE c | OM c |
|---|---|---|---|---|---|---|
| Dolomitic limestone (DL) | 311 | 184 | 3.50 | 9529 | 1.01 | 0.00 |
| Limestone (L) | 437 | 20.8 | 3.50 | 7870 | 0.83 | 0.00 |
Publisher’s Note: MDPI stays neutral with regard to jurisdictional claims in published maps and institutional affiliations. |
© 2021 by the authors. Licensee MDPI, Basel, Switzerland. This article is an open access article distributed under the terms and conditions of the Creative Commons Attribution (CC BY) license (https://creativecommons.org/licenses/by/4.0/).
Share and Cite
Olego, M.Á.; Quiroga, M.J.; López, R.; Garzón-Jimeno, E. The Importance of Liming with an Appropriate Liming Material: Long-Term Experience with a Typic Palexerult. Plants 2021, 10, 2605. https://doi.org/10.3390/plants10122605
Olego MÁ, Quiroga MJ, López R, Garzón-Jimeno E. The Importance of Liming with an Appropriate Liming Material: Long-Term Experience with a Typic Palexerult. Plants. 2021; 10(12):2605. https://doi.org/10.3390/plants10122605
Chicago/Turabian StyleOlego, Miguel Ángel, Miguel Javier Quiroga, Roberto López, and Enrique Garzón-Jimeno. 2021. "The Importance of Liming with an Appropriate Liming Material: Long-Term Experience with a Typic Palexerult" Plants 10, no. 12: 2605. https://doi.org/10.3390/plants10122605
APA StyleOlego, M. Á., Quiroga, M. J., López, R., & Garzón-Jimeno, E. (2021). The Importance of Liming with an Appropriate Liming Material: Long-Term Experience with a Typic Palexerult. Plants, 10(12), 2605. https://doi.org/10.3390/plants10122605

