Quinoa (Chenopodium quinoa Wild.) Seed Yield and Efficiency in Soils Deficient of Nitrogen in the Bolivian Altiplano: An Analytical Review
Abstract
:1. Introduction
2. Results
2.1. The Effect of Fertilization on Productivity in Rainfed and Irrigated Quinoa Cultivation
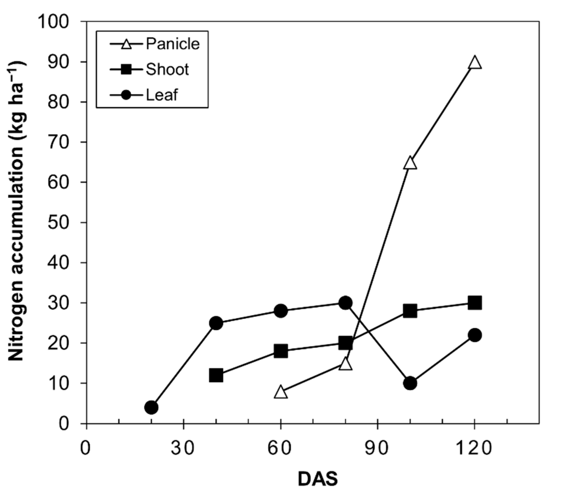
2.2. What Happens in the Altiplano Agroecosystem with a Quinoa Monoculture and without Nitrogen Fertilizer Applications under Rainfed Conditions?
3. Discussion
3.1. The Effect of Fertilization on Productivity in Irrigated and Rainfed Cultivation
3.2. The Limits of Fertilization in Quinoa
3.3. Parameters Related to the Uptake and Assimilation of Nitrogen
3.4. The Effect of Monoculture on Yielding in Non-Fertilizer Rainfed Cultivation in Bolivian Altiplano
3.5. Sources and Strategies to Improve N Supply and Efficiency in Quinoa in Non-Fertilized Soil in the Altiplano
3.5.1. Sources
3.5.2. Strategies
4. Material and Methods
5. Conclusions
Author Contributions
Funding
Institutional Review Board Statement
Informed Consent Statement
Data Availability Statement
Acknowledgments
Conflicts of Interest
References
- Gutiérrez Castorena, E.V.; Gutiérrez Castorena, M.d.C.; Ortiz Solorio, C.A. Manejo integrado de nutrientes en sistemas agrícolas intensivos: Revisión. Rev. Mex. Cienc. Agrícol. 2015, 6, 201–215. [Google Scholar]
- Kraiser, T.; Gras, D.E.; Gutierrez, A.G.; Gonzalez, B.; Gutierrez, R.A. A holistic view of nitrogen acquisition in plants. J. Exp. Bot. 2011, 62, 1455–1466. [Google Scholar] [CrossRef]
- Robertson, G.P.; Groffman, P.M. Chapter 14: Nitrogen Transformations. In Soil Microbiology, Ecology and Biochemistry, 4th ed.; Paul, E.A., Ed.; Academic Press: Burlington, MA, USA, 2015; pp. 421–446. [Google Scholar] [CrossRef]
- Delon, C.; Galy-Lacaux, C.; Boone, A.; Liousse, C.; Serça, D.; Adon, M.; Diop, B.; Akpo, A.; Lavenu, F.; Mougin, E.; et al. Atmospheric nitrogen budget in Sahelian dry savannas. Atmos. Chem. Phys. 2010, 10, 2691–2708. [Google Scholar] [CrossRef] [Green Version]
- Austin, A.T.; Yahdjian, L.; Stark, J.M.; Belnap, J.; Porporato, A.; Norton, U.; Ravetta, D.A.; Schaeffer, S.M. Water pulses and biogeochemical cycles in arid and semiarid ecosystems. Oecologia 2004, 141, 221–235. [Google Scholar] [CrossRef] [PubMed]
- Jaeglé, L.; Martin, R.V.; Chance, K.; Steinberger, L.; Kurosu, T.P.; Jacob, D.J.; Modi, A.I.; Yoboué, V.; Sigha-Nkamdjou, L.; Galy-Lacaux, C. Satellite mapping of rain-induced nitric oxide emissions from soils. J. Geophys. Res. Atmos. 2004, 109, 1–10. [Google Scholar] [CrossRef]
- Galy-Lacaux, C.; Delon, C.; Solmon, F.; Adon, M.; Yoboué, V.; Mphepya, J.; Pienaar, J.; Diop, B.; Sigha, L.; Dungall, L.; et al. Dry and Wet Atmospheric Nitrogen Deposition in West Central Africa. In Proceedings of the 6th International Nitrogen Conference, Kampala, Uganda, 18 November 2013. [Google Scholar]
- Karunarathne, S.D.; Han, Y.; Zhang, X.-Q.; Li, C. Advances in Understanding the Molecular Mechanisms and Potential Genetic Improvement for Nitrogen Use Efficiency in Barley. Agronomy 2020, 10, 662. [Google Scholar] [CrossRef]
- Cabrera, M.L. Mineralización y nitrificación: Procesos claves en el ciclo del nitrógeno. In Proceedings of the Simposio Fertilidad 2007. IPNI Cono Sur-Fertilizar AC. Seminario Internacional de Nutricion Vegetal 2007. Rosario, Acassuso, Argentina, 10–11 May 2007; pp. 1–9. [Google Scholar]
- Masclaux-Daubresse, C.; Daniel-Vedele, F.; Dechorgnat, J.; Chardon, F.; Gaufichon, L.; Suzuki, A. Nitrogen uptake, assimilation and remobilization in plants: Challenges for sustainable and productive agriculture. Ann. Bot. 2010, 105, 1141–1157. [Google Scholar] [CrossRef] [PubMed] [Green Version]
- Congreves, K.A.; Otchere, O.; Ferland, D.; Farzadfar, S.; Williams, S.; Arcand, M.M. Nitrogen Use Efficiency Definitions of Today and Tomorrow. Front. Plant Sci. 2021, 12, 637108. [Google Scholar] [CrossRef]
- Fageria, N.K.; Baligar, V.C. Enhancing Nitrogen Use Efficiency in Crop Plants. Adv. Agron. 2005, 97–185. [Google Scholar] [CrossRef]
- Grahmann, K.; Verhulst, N.; Buerkert, A.; Ortiz-Monasterios, I.; Govaerts, B. Nitrogen use efficiency and optimization of nitrogen fertilization in conservation agriculture. CAB Rev. 2013, 53, 6. [Google Scholar] [CrossRef] [Green Version]
- Eshel, A.; Beeckman, T. Plant Roots: The Hidden Half, 4th ed.; CRC Press, Taylor and Francis Group: Abingdon, UK, 2013; p. 848. [Google Scholar] [CrossRef]
- Alandia, G.; Rodriguez, J.P.; Jacobsen, S.E.; Bazile, D.; Condori, B. Global expansion of quinoa and challenges for the Andean region. Glob. Food Secur. 2020, 26, 100429. [Google Scholar] [CrossRef]
- FAO/ORALC. La Quinua: Cultivo Milenario para Contribuir a la Seguridad Alimentaria Mundial; Oficina Regional para América Latina y el Caribe: Santiago, Chile, 2011. [Google Scholar]
- Rodriguez, J.P.; Rahman, H.; Thushar, S.; Singh, R.K. Healthy and Resilient Cereals and Pseudo-Cereals for Marginal Agriculture: Molecular Advances for Improving Nutrient Bioavailability. Front. Genet. 2020, 11, 49. [Google Scholar] [CrossRef] [Green Version]
- Geerts, S.; Raes, D.; Garcia, M.; Mendoza, J.; Huanca, R. Crop water use indicators to quantify the flexible phenology of quinoa (Chenopodium quinoa Willd.) in response to drought stress. Field Crop. Res. 2008, 108, 150–156. [Google Scholar] [CrossRef]
- Jacobsen, S.E. Adaptación y Posibilidades para la Quinua en las Latitudes Septentrionales de Europa. In Estado del Arte de la Quinua en el Mundo en 2013; Bazile, D., Ed.; Food and Agriculture Organization of the United Nations: Rome, Italy, 2014; pp. 520–533. [Google Scholar]
- Razzaghi, F.; Plauborg, F.; Jacobsen, S.-E.; Jensen, C.R.; Andersen, M.N. Effect of nitrogen and water availability of three soil types on yield, radiation use efficiency and evapotranspiration in field-grown quinoa. Agric. Water Manag. 2012, 109, 20–29. [Google Scholar] [CrossRef]
- Rodriguez, J.P.; Ono, E.; Abdullah, A.M.S.; Choukr-Allah, R.; Abdelaziz, H. Cultivation of Quinoa (Chenopodium quinoa) in Desert Ecoregion. In Emerging Research in Alternative Crops; Hirich, A., Choukr-Allah, R., Ragab, R., Eds.; Environment & Policy; Springer International Publishing: Cham, Switzerland, 2020; Volume 58, pp. 145–161. [Google Scholar]
- Geerts, S.; Raes, D.; Garcia, M.; Del Castillo, C.; Buytaert, W. Agro-climatic suitability mapping for crop production in the Bolivian Altiplano: A case study for quinoa. Agric. For. Meteorol. 2006, 139, 399–412. [Google Scholar] [CrossRef]
- Andressen, R.; Monasterio, M.; Terceros, L.F. Regímenes climáticos del altiplano sur de Bolivia: Una región afectada por la desertificación. Rev. Geogr. Venez. 2007, 48, 11–32. [Google Scholar]
- Winkel, T.; Alvarez-Flores, R.; Bommel, P.; Bourliaud, J.; Chevarria Lazo, M.; Cortes, G.; Cruz, P.; Del Castillo, C.; Gasselin, P.; Joffre, R.; et al. Altiplano Sur de Bolivia. In Estado del Arte de la Quinua en el Mundo en 2013’; Bazile, D., Bertero, D., Nieto, C., Eds.; FAO: Montpellier, France; CIRAD: Santiago, Chile, 2014; pp. 432–449. [Google Scholar]
- Kerssen, T.M. Food sovereignty and the quinoa boom: Challenges to sustainable re-peasantisation in the southern Altiplano of Bolivia. Third World Q. 2015, 36, 489–507. [Google Scholar] [CrossRef]
- Cárdenas, J.; Choque, W.; Guzmán, R. Fertilidad, Uso y Manejo de Suelos en la Zona del Intersalar, Departamentos de: Oruro y Potosí; Fundación FAUTAPO: La Paz, Bolivia, 2008; p. 113. [Google Scholar]
- Ministerio de Desarrollo Rural y Tierras (MDRyT); Consejo Nacional de Comercializadores y Productores de Quinua (CONACOPROQ). Política Nacional de la Quinua; Ministerio de Desarrollo Rural y Tierras (MDRyT): La Paz, Bolivia; Consejo Nacional de Comercializadores y Productores de Quinua (CONACOPROQ): La Paz, Bolivia, 2009; p. 134.
- Echalar, M.; Torrico, J.; Martínez, F. Analisis de la sostenibilidad de la produccion de quinua (Chenopodium quinoa) en el intersalar Boliviano. Cienciagro 2011, 2, 303–312. [Google Scholar]
- Miranda, R.; Carlesso, R.; Huanca, M.; Mamani, P.; Borda, A. Yield and nitrogen accumulation in quinoa (Chenopodium quinoa Willd.) produced with manure and supplementary irrigation. Venesuelos 2012, 20, 21–29. [Google Scholar]
- Del Barco-Gamarra, M.T.; Foladori, G.; Soto-Esquivel, R. Insustentabilidad de la producción de quinua en Bolivia. Estud. Sociales. Rev. Aliment. Contemp. Desarro. Reg. 2019, 29, 2–26. [Google Scholar] [CrossRef]
- Alejo Inda, R. Evaluación del Comportamiento del Nitrógeno, en Parcelas con Cultivo de Quinua bajo Diferente Manejo de Suelos (Municipios Salinas de Garci Mendoza), Oruro. Engineering Thesis, Universidad Mayor de San Andrés, Facultad de Agronomía, La Paz, Bolivia, 2010. [Google Scholar]
- Delatorre, J.; Lanino, M.; Bar, Y. Ensayo de fertilización con nitrógeno y fósforo en quinua (Chenopodium quinoa Willd). Rev. Agric. Desierto 2001, 2, 31–38. [Google Scholar]
- Rimac Mendez, L. Determinacion optima de niveles de fertilizacion para incrementar el rendimiento de quinua (Chenopodium quinoa W.) Cultivar Hualhuas en el Callejon de Huaylas. Engineering Thesis, Universidad Nacional Santiago Antúnez de Mayolo, Huaraz, Peru, 2015. [Google Scholar]
- Borda López, F.M. Niveles de Urea y Guano de Isla con y sin Zeolita en el Rendimiento de Quinua (Chenopodium quinoa Willd) Canaria 3200 msnm-Ayacucho. Engineering Thesis, Universidad Nacional de San Cristobal de Huamanga, Ayacucho, Peru, 2018. [Google Scholar]
- Campillo, R.; Contreras, G. Capitulo 4: Gestión nitrogenada y potásica del cultivo de quinoa en La Araucanía. In Quinoa del Sur de Chile: Alternative Productiva y Agroindustrial de Alto Valor; Diaz, S.J., Ed.; Colección Libros INIA-Instituto de Investigaciones Agropecuarias. Centro Regional de Investigacion Carillanca: Temuco, Chile, 2019; pp. 45–68. [Google Scholar]
- Jacobsen, S.E.; Jørgensen, I.; Stølen, O. Cultivation of quinoa (Chenopodium quinoa) under temperate climatic conditions in Denmark. J. Agric. Sci. 2009, 122, 47–52. [Google Scholar] [CrossRef]
- Auf’m Erley, G.S.; Kaul, H.-P.; Kruse, M.; Aufhammer, W. Yield and nitrogen utilization efficiency of the pseudocereals amaranth, quinoa, and buckwheat under differing nitrogen fertilization. Eur. J. Agron. 2005, 22, 95–100. [Google Scholar] [CrossRef]
- Berti, M.; Wilckens, R.; Hevia, F.; Serri, H.; Vidal, I.; Méndez, C. Nitrogen fertilization in quinoa (Chenopodium quinoa Willd). Ciencia e Investigación Agraria 2000, 27, 81–90. [Google Scholar] [CrossRef]
- Mendoza Nieto, E.; Luis Olivas, D.; Mejía Domínguez, C.M.; García Cochagne, J. Fertilización nitrogenada en el rendimiento de dos variedades de quinua. Infinitum 2016, 6, 11–15. [Google Scholar] [CrossRef]
- Llaca Ninaja, G.C. Influencia de la Fertilización Nitrogenada y Fosfórica en el Rendimiento de Quinua (Chenopodium quinoa Willd) en el Proter Sama, Región Tacna. Engineering Thesis, Universidad Nacional Jorge Basadre Grohmann-Tacna, Tacna, Peru, 2014. [Google Scholar]
- Franco Alvarado, L.A. Eficiencia de Utilizacion del Nitrogeno en el Rendimiento de Quinua (Chenopodium quinoa Willd) Adaptada a la Zona Norte de la Provincia de Los Rios. Engineering Thesis, Universidad Tecnica Estatal de Quevedo, Quevedo, Los Rios, Ecuador, 2018. [Google Scholar]
- Herreros Quispe, A.L. Fertilización Nitrogenada y Fosfórica en Quinua (Chenopodium quinoa willd.) CV. Salcedo INIA” bajo Riego a Goteo en Zona Árida. Engineering Thesis, Universidad Nacional de San Agustin de Arequipa, Arequipa, Peru, 2018. [Google Scholar]
- Food and Agriculture Organization of the United Nations (FAO). El Manejo del Suelo en la Producción de Hortalizas con Buenas Prácticas Agrícolas; Food and Agriculture Organization of the United Nations: Rome, Italy, 2013. [Google Scholar]
- Alvar-Beltrán, J.; Saturnin, C.; Dao, A.; Dalla Marta, A.; Sanou, J.; Orlandini, S. Effect of drought and nitrogen fertilisation on quinoa (Chenopodium quinoa Willd.) under field conditions in Burkina Faso. Ital. J. Agrometeorol. 2019, 1, 33–43. [Google Scholar] [CrossRef]
- Oyarzun Arrechea, M. Respuesta Productiva de un Cultivo de Maíz (“Zea mays” L. Var. Dracma) a Distintas Dosis de Nitrógeno con dos Tipos de Riego (Aspersión e Inundación) y Efecto sobre la Lixiviación de Nitratos. Engineering Thesis, Universidad Publica de Navarra, Navarra, Spain, 2010. [Google Scholar]
- Pandey, R.K.; Maranville, J.W.; Bako, Y. Nitrogen fertilizer response and use efficiency for three cereal crops in Niger. Commun. Soil Sci. Plant Anal. 2001, 32, 1465–1482. [Google Scholar] [CrossRef]
- Quintero, C.; Boschetti, G. Eficiencia de uso del Nitrógeno en Trigo y Maíz en la Región Pampeana Argentina. Facultad de Ciencias Agropecuarias UNER. 2009. Available online: https://www.researchgate.net/profile/Cesar-Quintero-4/publication/266357692_Eficiencia_de_uso_del_Nitrogeno_en_Trigo_y_Maiz_en_la_Region_Pampeana_Argentina/links/58e3c7c0458515b725b038bf/Eficiencia-de-uso-del-Nitrogeno-en-Trigo-y-Maiz-en-la-Region-Pampeana-Argentina.pdf (accessed on 7 January 2021).
- Calvache Ulloa, M.; Valle, L. Índice de cosecha con macro-nutrientes en grano de quinua (Chenopodium quinoa Willd). Rev. Alfa 2021, 5, 15–28. [Google Scholar] [CrossRef]
- Critchley, C.S. A Physiological Explanation for the Canopy Nitrogen Requirement of Winter Wheat. Ph.D. Thesis, University of Nothingham, Nottingham, UK, 2001. Available online: http://eprints.nottingham.ac.uk/12834/1/368341.pdf (accessed on 21 January 2021).
- Kichey, T.; Hirel, B.; Heumez, E.; Dubois, F.; Le Gouis, J. In winter wheat (Triticum aestivum L.), post-anthesis nitrogen uptake and remobilisation to the grain correlates with agronomic traits and nitrogen physiological markers. Field Crop. Res. 2007, 102, 22–32. [Google Scholar] [CrossRef]
- Sade, N.; Del Mar, M.R.-W.; Umnajkitikorn, K.; Blumwald, E. Stress-induced senescence and plant tolerance to abiotic stress. J. Exp. Bot. 2018, 69, 845–853. [Google Scholar] [CrossRef]
- SENAMHI. Yearly Data on Rainfall, Oruro. 2017. Available online: http://senamhi.gob.bo/index.php/boletines (accessed on 15 January 2021).
- Guiboileau, A.; Sormani, R.; Meyer, C.; Masclaux-Daubresse, C. Senescence and death of plant organs: Nutrient recycling and developmental regulation. Comptes Rendus Biol. 2010, 333, 382–391. [Google Scholar] [CrossRef]
- Thomas, H.; Howarth, C.J. Five ways to stay green. J. Exp. Bot. 2000, 51, 329–337. [Google Scholar] [CrossRef] [PubMed] [Green Version]
- Gregersen, P.L.; Culetic, A.; Boschian, L.; Krupinska, K. Plant senescence and crop productivity. Plant Mol. Biol. 2013, 82, 603–622. [Google Scholar] [CrossRef] [PubMed]
- Gaju, O.; Allard, V.; Martre, P.; Le Gouis, J.; Moreau, D.; Bogard, M.; Hubbart, S.; Foulkes, M.J. Nitrogen partitioning and remobilization in relation to leaf senescence, grain yield and grain nitrogen concentration in wheat cultivars. Field Crop. Res. 2014, 155, 213–223. [Google Scholar] [CrossRef]
- Cassman, K.G.; Dobermann, A.; Walters, D.T. Agroecosystems, nitrogen-use efficiency, and nitrogen management. Ambio 2002, 31, 132–140. [Google Scholar] [CrossRef]
- Stewart, W. Consideraciones en el uso eficiente de nutrientes. Inf. Agronóm. 2007, 67, 1–10. [Google Scholar]
- Puentes-Páramo, Y.; Menjivar-Flores, J.; Aranzazu-Hernández, F. Eficiencias en el uso de nitrógeno, fósforo y potasio en clones de cacao (Theobroma cacao L.). Bioagro 2014, 26, 99–106. [Google Scholar]
- Bascunan-Godoy, L.; Reguera, M.; Abdel-Tawab, Y.M.; Blumwald, E. Water deficit stress-induced changes in carbon and nitrogen partitioning in Chenopodium quinoa Willd. Planta 2016, 243, 591–603. [Google Scholar] [CrossRef]
- Reguera, M.; Peleg, Z.; Abdel-Tawab, Y.M.; Tumimbang, E.B.; Delatorre, C.A.; Blumwald, E. Stress-induced cytokinin synthesis increases drought tolerance through the coordinated regulation of carbon and nitrogen assimilation in rice. Plant Physiol. 2013, 163, 1609–1622. [Google Scholar] [CrossRef] [Green Version]
- Kristensen, H.L.; Thorup-Kristensen, K. Root Growth and Nitrate Uptake of Three Different Catch Crops in Deep Soil Layers. Soil Sci. Soc. Am. J. 2004, 68, 529–537. [Google Scholar] [CrossRef]
- Hervé, D.; Mita, V.; Coûteaux, M.-M. Construcción de un balance de nitrógeno en cultivos de papa bajo rotación con largo descanso. Ecol. Boliv. 2006, 41, 133–153. [Google Scholar]
- Fassbender, H.W. Química de Suelos, con Énfasis en Suelos de América Latina; IICA: San Jose, Costa Rica, 1986; p. 398. [Google Scholar]
- Wolf, J.; Van Keulen, H. Modeling long-term crop response to fertilizer and soil nitrogen. Plant Soil 1989, 120, 23–38. [Google Scholar] [CrossRef]
- VAISALA. Lightning like Never Before. Annual Lightning Report 2020; VAISALA: Vaanta, Finland, 2021; p. 25. [Google Scholar]
- Hill, R.D.; Rinker, R.G.; Wilson, H.D. Atmospheric Nitrogen Fixation by Lightning. J. Atmos. Sci. 1980, 37, 179–192. [Google Scholar] [CrossRef] [Green Version]
- Drapcho, D.L.; Sisterson, D.; Kumar, R. Nitrogen fixation by lightning activity in a thunderstorm. Atmos. Environ. 1983, 17, 729–734. [Google Scholar] [CrossRef]
- Bascunan-Godoy, L.; Sanhueza, C.; Pinto, K.; Cifuentes, L.; Reguera, M.; Briones, V.; Zurita-Silva, A.; Alvarez, R.; Morales, A.; Silva, H. Nitrogen physiology of contrasting genotypes of Chenopodium quinoa Willd. (Amaranthaceae). Sci. Rep. 2018, 8, 17524. [Google Scholar] [CrossRef]
- Borrell, A.; Hammer, G.; Oosterom, E. Stay-green: A consequence of the balance between supply and demand for nitrogen during grain filling? Ann. Appl. Biol. 2001, 138, 91–95. [Google Scholar] [CrossRef]
- Triboi, E.; Martre, P.; Girousse, C.; Ravel, C.; Triboi-Blondel, A.-M. Unravelling environmental and genetic relationships between grain yield and nitrogen concentration for wheat. Eur. J. Agron. 2006, 25, 108–118. [Google Scholar] [CrossRef]
- Mi, G.H.; Chen, F.J.; Liu, J.A.; Tong, Y.P. Biological potential of nitrogen utilization in crops and its genetic improvement. In Explore Biological Potential for Soil Nutrient Utilization and Maintain Nutrient Recycling in Soil Environment; Li, Z., Ed.; China Agricultural Press: Beijing, China, 2004; pp. 202–216. [Google Scholar]
- Coque, M.; Gallais, A. Genetic Variation for Nitrogen Remobilization and Postsilking Nitrogen Uptake in Maize Recombinant Inbred Lines: Heritabilities and Correlations among Traits. Crop Sci. 2007, 47, 1787–1796. [Google Scholar] [CrossRef]
- Pinto-Irish, K.; Coba de la Pena, T.; Ostria-Gallardo, E.; Ibanez, C.; Briones, V.; Vergara, A.; Alvarez, R.; Castro, C.; Sanhueza, C.; Castro, P.A.; et al. Seed characterization and early nitrogen metabolism performance of seedlings from Altiplano and coastal ecotypes of Quinoa. BMC Plant Biol. 2020, 20, 343. [Google Scholar] [CrossRef]
- Umehara, M.; Hanada, A.; Yoshida, S.; Akiyama, K.; Arite, T.; Takeda-Kamiya, N.; Magome, H.; Kamiya, Y.; Shirasu, K.; Yoneyama, K.; et al. Inhibition of shoot branching by new terpenoid plant hormones. Nature 2008, 455, 195–200. [Google Scholar] [CrossRef]
- Gomez-Roldan, V.; Fermas, S.; Brewer, P.B.; Puech-Pages, V.; Dun, E.A.; Pillot, J.P.; Letisse, F.; Matusova, R.; Danoun, S.; Portais, J.C.; et al. Strigolactone inhibition of shoot branching. Nature 2008, 455, 189–194. [Google Scholar] [CrossRef] [PubMed]
- Hildebrandt, U.; Janetta, K.; Ouziad, F.; Renne, B.; Nawrath, K.; Bothe, H. Arbuscular mycorrhizal colonization of halophytes in Central European salt marshes. Mycorrhiza 2001, 10, 175–183. [Google Scholar] [CrossRef]
- Plenchette, C.; Duponnois, R. Growth response of the saltbush Atriplex nummularia L. to inoculation with the arbuscular mycorrhizal fungus Glomus intraradices. J. Arid. Environ. 2005, 61, 535–540. [Google Scholar] [CrossRef]
- Gill, S.; Alshankiti, A.; Shahid, S.A.; Rodriguez, J.P. Amending Soil Health to Improve Productivity of Alternate Crops in Marginal Sandy Soils of the UAE. In Emerging Research in Alternative Crops; Hirich, A., Choukr-Allah, R., Ragab, R., Eds.; Environment & Policy; Springer International Publishing: Cham, Switzerland, 2020; pp. 93–123. [Google Scholar]
- Urcelay, C.; Acho, J.; Joffre, R. Fungal root symbionts and their relationship with fine root proportion in native plants from the Bolivian Andean highlands above 3,700 m elevation. Mycorrhiza 2011, 21, 323–330. [Google Scholar] [CrossRef]
- Kellogg, J.A.; Reganold, J.P.; Murphy, K.M.; Carpenter-Boggs, L.A. A Plant-Fungus Bioassay Supports the Classification of Quinoa (Chenopodium quinoa Willd.) as Inconsistently Mycorrhizal. Microb. Ecol. 2021, 82, 135–144. [Google Scholar] [CrossRef]
- Santander, C.; Olave, J.; García, S.; Vidal, C.; Aguilera, P.; Borie, F.; Cornejo, P. Micorrizas arbusculares y su efecto nodriza en condiciones hídricas limitantes. Exp. Rev. Transf. Cient. 2014, 4, 59–61. [Google Scholar]
- Wieme, R.A.; Reganold, J.P.; Crowder, D.W.; Murphy, K.M.; Carpenter-Boggs, L.A. Productivity and soil quality of organic forage, quinoa, and grain cropping systems in the dryland Pacific Northwest, USA. Agric. Ecosyst. Environ. 2020, 293, 106838. [Google Scholar] [CrossRef]
- Gonzalez-Teuber, M.; Vilo, C.; Bascunan-Godoy, L. Molecular characterization of endophytic fungi associated with the roots of Chenopodium quinoa inhabiting the Atacama Desert, Chile. Genom. Data 2017, 11, 109–112. [Google Scholar] [CrossRef]
- Pitzschke, A. Developmental Peculiarities and Seed-Borne Endophytes in Quinoa: Omnipresent, Robust Bacilli Contribute to Plant Fitness. Front. Microbiol. 2016, 7, 2. [Google Scholar] [CrossRef] [PubMed] [Green Version]
- Ortuño, N.; Claros, M.; Gutiérrez, C.; Angulo, M.; Castillo, J. Bacteria associated with the cultivation of quinoa in the Bolivian Altiplano and their biotechnological potential. Rev. Agric. 2014, 53, 53–61. [Google Scholar]
- Bashan, Y.; De-Bashan, L. Plant growth-promoting. Encycl. Soils Environ. 2005, 1, 103–115. [Google Scholar]
- Glick, B.R. The enhancement of plant growth by free-living bacteria. Can. J. Microbiol. 1995, 41, 109–117. [Google Scholar] [CrossRef]
- GarciA, G.N.; Navarro García, S. Química Agrícola: Química del Suelo y de los Nutrientes Esenciales para las Plantas; Mundi-Prensa Libros: Madrid, Spain, 2013. [Google Scholar]
- Ribaudo, C.M.; Riva, D.S.; Curá, J.A.; Ponds, C.; Granell-Richard, A.; Cantora, M. Etileno como mediador de los mecanismos directos e indirectos de la promoción del crecimiento vegetal ejercido por rizobacterias. In Rizósfera, Biodiversidad y Agricultura Sustentable; García de Salamone, I.E., Vázquez, S., Penna, C., Cassán, F., Eds.; Asociación Argentina de Microbiología Pág: Buenos Aires, Argentina, 2013; pp. 215–240. [Google Scholar]
- Guo, Y.; Chen, F.; Zhang, F.; Mi, G. Auxin transport from shoot to root is involved in the response of lateral root growth to localized supply of nitrate in maize. Plant Sci. 2005, 169, 894–900. [Google Scholar] [CrossRef]
- Gruber, B.D.; Giehl, R.F.; Friedel, S.; von Wiren, N. Plasticity of the Arabidopsis root system under nutrient deficiencies. Plant Physiol. 2013, 163, 161–179. [Google Scholar] [CrossRef] [Green Version]
- Vidal, E.A.; Araus, V.; Lu, C.; Parry, G.; Green, P.J.; Coruzzi, G.M.; Gutierrez, R.A. Nitrate-responsive miR393/AFB3 regulatory module controls root system architecture in Arabidopsis thaliana. Proc. Natl. Acad. Sci. USA 2010, 107, 4477–4482. [Google Scholar] [CrossRef] [Green Version]
- Hu, S.; Zhang, M.; Yang, Y.; Xuan, W.; Zou, Z.; Arkorful, E.; Chen, Y.; Ma, Q.; Jeyaraj, A.; Chen, X.; et al. A novel insight into nitrogen and auxin signaling in lateral root formation in tea plant [Camellia sinensis (L.) O. Kuntze]. BMC Plant Biol. 2020, 20, 232. [Google Scholar] [CrossRef] [PubMed]
- Sellami, M.H.; Pulvento, C.; Lavini, A. Agronomic Practices and Performances of Quinoa under Field Conditions: A Systematic Review. Plants 2021, 10, 72. [Google Scholar] [CrossRef]
- Di Rienzo, J.A.; Casanoves, F.; Balzarini, M.G.; Gonzalez, L.; Tablada, M.; Robledo, C.W. Infostat Version 2020; Centro de Transferencia InfoStat: Cordoba, Argentina; Universidad Nacional de Cordoba: Cordoba, Argentina, 2020. [Google Scholar]
- OriginPro 2019. OriginLab Corporation; OriginPro: Northampton, MA, USA, 2019. [Google Scholar]
- Zhang, X.; Bol, R.; Rahn, C.; Xiao, G.; Meng, F.; Wu, W. Agricultural sustainable intensification improved nitrogen use efficiency and maintained high crop yield during 1980–2014 in Northern China. Sci. Total Environ. 2017, 596–597, 61–68. [Google Scholar] [CrossRef]
- Zhang, F.; Cui, Z.; Fan, M.; Zhang, W.; Chen, X.; Jiang, R. Integrated soil-crop system management: Reducing environmental risk while increasing crop productivity and improving nutrient use efficiency in China. J. Environ Qual. 2011, 40, 1051–1057. [Google Scholar] [CrossRef]
- Kuosmanen, N. Estimating stocks and flows of nitrogen: Application of dynamic nutrient balance to European agriculture. Ecol. Econ. 2014, 108, 68–78. [Google Scholar] [CrossRef]
- Al-Naggar, A.M.M.; Shabana, R.; El-Aleem, M.M.A.; El-Rashidy, Z. Selection Criteria for High Nitrogen Use Efficiency in Wheat (Triticum aestivum L.) Parents and their F1 and F2 Progenies. J. Agric. Ecol. Res. Int. 2015, 5, 1–15. [Google Scholar] [CrossRef]
- Cardenas, J.; Alvarez, F. Investigación en Riego y Fertilización Orgánica Sostenible para la Quinua en la Sede Challapata, FCA y V-UTO. Informe de Avance Técnico y Económico de Actividades del Proyecto con Recursos IDH—Semestre I-2018; Facultad de Ciencias Agricolas y Veterinarias, Universidad Tecnica de Oruro: Oruro, Bolivia, 2018; p. 28. [Google Scholar]
- Aguilar Santelises, A. Análisis Químico para Evaluar la Fertilidad del Suelo; CONACYT: Mexico City, Mexico, 1987. [Google Scholar]
- Castellanos, J.; Uvalle-Bueno, J.; Aguilar-Santelises, A. Manual de Interpretación de Análisis de Suelos y Aguas Agrícolas, Plantas y ECP; Instituto de Capacitación para la Productividad Agrícola: Mexico City, Mexico, 2000. [Google Scholar]
- Abugoch, L.E.; Romero, N.; Tapia, C.A.; Silva, J.; Rivera, M. Study of some physicochemical and functional properties of quinoa (Chenopodium quinoa willd) protein isolates. J Agric Food Chem 2008, 56, 4745–4750. [Google Scholar] [CrossRef] [PubMed]
- Covarrubias, N.; Sandoval, S.; Vera, J.; Núñez, C.; Alfaro, C.; Lutz, M. Contenido de humedad, proteínas y minerales en diez variedades de quínoa chilena cultivadas en distintas zonas geográficas. Revista Chilena de Nutrición 2020, 47, 730–737. [Google Scholar] [CrossRef]
- Gavidia-Valencia, J.G.; Venegas-Casanova, E.A.; Ríos, M.; Uribe-Villarreal, J.C.; Gutierrez-Mendoza, D.D.; Rengifo-Penadillos, R.A.; Jara-Aguilar, D.R.; Martínez, J.L. Determinación del factor de conversión de nitrógeno a proteína en huevos de Coturnix coturnix L. (codorniz japonesa). Arch. Venez. Farmacol. Ter. 2020, 39, 706–711. [Google Scholar] [CrossRef]







| Dose (kg ha−1) | Seed Yield (kg ha−1) | Cultivar | Soil Texture | Irrigation Type | Reference |
|---|---|---|---|---|---|
| 0 | 1166 | Blanca Junin | Sandy clay loam–sandy loam | Rainfed | Borda, 2018 [34] |
| 0 | 1100 | Regalona Baer | Silty clay | Rainfed | Campillo and Contreras, 2019 [35] |
| 40 | 2093 | KVL 8401 | Clay loam | Rainfed | Jacobsen et al., 1994 [36] |
| 80 | 2428 | KVL 8401 | Clay loam | Rainfed | Jacobsen et al., 1994 [36] |
| 80 | 2140 | Regalona Baer | Silty clay | Rainfed | Campillo and Contreras, 2019 [35] |
| 120 | 3500 | Cochabamba y Faro | Clay loam | Rainfed | Schulte et al., 2005 [37] |
| 120 | 2685 | KVL 8401 | Clay loam | Rainfed | Jacobsen et al., 1994 [36] |
| 160 | 2760 | KVL 8401 | Clay loam | Rainfed | Jacobsen et al., 1994 [36] |
| 160 | 3000 | Regalona Baer | Silty clay | Rainfed | Campillo and Contreras, 2019 [35] |
| 240 | 3360 | Regalona Baer | Silty clay | Rainfed | Campillo and Contreras, 2019 [35] |
| 320 | 3540 | Regalona Baer | Silty clay | Rainfed | Campillo and Contreras, 2019 [35] |
| 400 | 3430 | Regalona Baer | Silty clay | Rainfed | Campillo and Contreras, 2019 [35] |
| 0 | 1068 | Faro and UdeC10 | Loam–silty loam | Supplementary | Berti el al., 2000 [38] |
| 0 | 1700 | Altiplano INIA, Salcedo INIA | Sandy loam | Supplementary | Mendoza Nieto et al., 2016 [39] |
| 0 | 1868 | Blanca Real | Sandy loam | Dripping | Llaca, 2014 [40] |
| 0 | 981 | Genotipo O3 | Loamy | Surface | Franco, 2018 [41] |
| 50 | 1848 | Genotipo O3 | Loamy | Surface | Franco, 2018 [41] |
| 75 | 2112 | Faro and UdeC10 | Loam–silty loam | Supplementary | Berti et al., 2000 [38] |
| 80 | 2240 | Blanca Real | Sandy loam | Dripping | Llaca, 2014 [40] |
| 100 | 2700 | Altiplano INIA, Salcedo INIA | Sandy loam | Supplementary | Mendoza Nieto et al., 2016 [39] |
| 100 | 2267 | Genotipo O3 | Loamy | Surface | Franco, 2018 [41] |
| 120 | 3300 | Titicaca | Sandy loam | Deficit irrigation | Razzaghi et al., 2012 [20] |
| 120 | 3000 | Titicaca | Sandy clay loam | Deficit irrigation | Razzaghi et al., 2012 [20] |
| 120 | 2300 | Titicaca | Sandy | Deficit irrigation | Razzaghi et al., 2012 [20] |
| 150 | 2456 | Faro and UdeC10 | Loam–silty loam | Supplementary | Berti et al., 2000 [38] |
| 150 | 2541 | Genotipo O3 | Loamy | Surface | Franco, 2018 [41] |
| 180 | 3413 | Salcedo INIA | Sandy loam | Dripping | Herreros, 2018 [42] |
| 200 | 2800 | Altiplano INIA, Salcedo INIA | Sandy loam | Supplementary | Mendoza Nieto et al., 2016 [39] |
| 200 | 1659 | Genotipo O3 | Loamy | Surface | Franco, 2018 [41] |
| 225 | 2912 | Faro and UdeC10 | Loam–silty loam | Supplementary | Berti et al., 2000 [38] |
| 240 | 3240 | Blanca Real | Sandy loam | Dripping | Llaca, 2014 [40] |
| 270 | 4249 | SalcedoINIA | Sandy loam | Dripping | Herreros, 2018 [42] |
| 300 | 2600 | Altiplano INIA, Salcedo INIA | Sandy loam | Supplementary | Mendoza Nieto et al., 2016 [39] |
| 360 | 3783 | Salcedo INIA | Sandy loam | Dripping | Herreros, 2018 [42] |
| 400 | 2100 | Altiplano INIA, Salcedo INIA | Sandy loam | Supplementary | Mendoza Nieto et al., 2016 [39] |
| Total Soil N (%) | Available Nitrogen (AN) (kg ha−1) | Yield Average (kg Grains ha−1) | Nitrogen Harvested by Yield (kg ha−1) | PFPN (kg Grains kg−1) (AN) | APUEN (%) |
|---|---|---|---|---|---|
| 0.02 | 14.9 | 670.3 | 18.2 | 45.1 | 122.8 |
| 0.03 | 22.3 | 802.9 | 21.8 | 36.0 | 98.0 |
| 0.04 | 29.7 | 953.9 | 25.9 | 32.1 | 87.4 |
| 0.05 | 37.1 | 1063.6 | 28.9 | 28.6 | 77.9 |
| 0.06 | 44.6 | 789.2 | 21.5 | 17.7 | 48.2 |
| 0.07 | 51.9 | 865.5 | 23.5 | 16.7 | 45.3 |
| 0.08 | 59.4 | 1316.0 | 35.8 | 22.2 | 60.3 |
| 0.09 | 66.8 | 948.6 | 25.8 | 14.2 | 38.6 |
| 0.1 | 74.2 | 1070.4 | 29.1 | 14.4 | 39.2 |
| 0.12 | 89.1 | 1277.9 | 34.8 | 14.3 | 39.0 |
| 0.13 | 96.5 | 1865.9 | 50.8 | 19.3 | 52.6 |
| 0.14 | 103.9 | 1145.6 | 31.2 | 11.0 | 30.0 |
| 0.15 | 111.4 | 1156.1 | 31.4 | 10.4 | 28.2 |
| 0.17 | 126.2 | 604.9 | 43.7 | 12.7 | 34.6 |
| 0.18 | 133.7 | 1904.0 | 51.8 | 14.2 | 38.7 |
| 0.2 | 148.5 | 1899.2 | 51.7 | 12.8 | 34.8 |
| 0.21 | 155.9 | 1567.3 | 42.6 | 10.1 | 27.3 |
| 0.22 | 163.4 | 777.3 | 21.1 | 4.8 | 12.9 |
| Nitrogen Fertilizer Dose (kg ha−1) | Average Yield (kg Grains ha−1) | Nitrogen Harvested by Yield (kg ha−1) | Partial Factor Productivity of Nitrogen (PFPN) (kg Grains kg −1) (AN) | Apparent Use Efficiency of N (APUEN) (%) |
|---|---|---|---|---|
| 50 | 1848 | 50.3 | 37.0 | 100.5 |
| 60 | 1771 | 48.2 | 29.5 | 80.3 |
| 75 | 2112 | 57.4 | 28.2 | 76.6 |
| 80 | 2314 | 62.9 | 28.9 | 78.7 |
| 100 | 2483 | 67.5 | 24.8 | 67.5 |
| 120 | 2749 | 74.8 | 22.9 | 62.3 |
| 150 | 2453 | 66.7 | 16.4 | 44.5 |
| 160 | 2882 | 78.4 | 18.0 | 49.0 |
| 180 | 3413 | 92.8 | 19.0 | 51.6 |
| 200 | 2193 | 59.6 | 11.0 | 29.8 |
| 225 | 2912 | 79.2 | 12.9 | 35.2 |
| 240 | 3300 | 89.8 | 13.8 | 37.4 |
| 300 | 2600 | 70.7 | 8.7 | 23.6 |
| 320 | 3540 | 96.3 | 11.1 | 30.1 |
| 360 | 3783 | 102.9 | 10.5 | 28.6 |
| 400 | 2765 | 75.2 | 6.9 | 18.8 |
| Average | 2695 | 73.3 | 19.7 | 50.9 |
| R2 | 0.83 * | 0.88 ** | 0.83 ** | 0.77 * |
| DAS | 20 | 40 | 60 | 80 | 100 | 120 |
|---|---|---|---|---|---|---|
| Nitrogen Fertilizer Dose (kg ha−1) | ||||||
| 0 | 166.6 | 712.7 | 1407.3 | 1835.0 | 3967.5 | 4524.8 |
| 75 | 183.4 | 948.9 | 2226.8 | 3650.8 | 7065.4 | 7832.9 |
| 150 | 221.7 | 1055.7 | 2659.7 | 5002.4 | 9943.7 | 11,366.1 |
Publisher’s Note: MDPI stays neutral with regard to jurisdictional claims in published maps and institutional affiliations. |
© 2021 by the authors. Licensee MDPI, Basel, Switzerland. This article is an open access article distributed under the terms and conditions of the Creative Commons Attribution (CC BY) license (https://creativecommons.org/licenses/by/4.0/).
Share and Cite
Cárdenas-Castillo, J.E.; Delatorre-Herrera, J.; Bascuñán-Godoy, L.; Rodriguez, J.P. Quinoa (Chenopodium quinoa Wild.) Seed Yield and Efficiency in Soils Deficient of Nitrogen in the Bolivian Altiplano: An Analytical Review. Plants 2021, 10, 2479. https://doi.org/10.3390/plants10112479
Cárdenas-Castillo JE, Delatorre-Herrera J, Bascuñán-Godoy L, Rodriguez JP. Quinoa (Chenopodium quinoa Wild.) Seed Yield and Efficiency in Soils Deficient of Nitrogen in the Bolivian Altiplano: An Analytical Review. Plants. 2021; 10(11):2479. https://doi.org/10.3390/plants10112479
Chicago/Turabian StyleCárdenas-Castillo, Jesús E., José Delatorre-Herrera, Luisa Bascuñán-Godoy, and Juan Pablo Rodriguez. 2021. "Quinoa (Chenopodium quinoa Wild.) Seed Yield and Efficiency in Soils Deficient of Nitrogen in the Bolivian Altiplano: An Analytical Review" Plants 10, no. 11: 2479. https://doi.org/10.3390/plants10112479
APA StyleCárdenas-Castillo, J. E., Delatorre-Herrera, J., Bascuñán-Godoy, L., & Rodriguez, J. P. (2021). Quinoa (Chenopodium quinoa Wild.) Seed Yield and Efficiency in Soils Deficient of Nitrogen in the Bolivian Altiplano: An Analytical Review. Plants, 10(11), 2479. https://doi.org/10.3390/plants10112479

