Fatty Acid Derivatives Isolated from the Oil of Persea americana (Avocado) Protects against Neomycin-Induced Hair Cell Damage
Abstract
1. Introduction
2. Results and Discussion
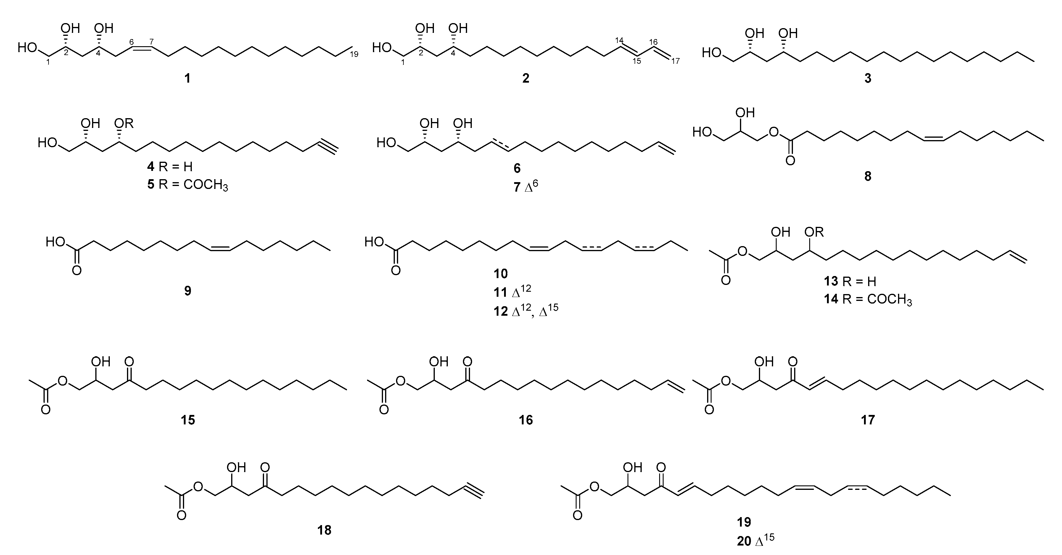
2.1. Structure Elucidation
2.2. Otic Hair Cell Recovery
3. Materials and Methods
3.1. General Experimental Procedures
3.2. Plant Material
3.3. Extraction and Isolation
3.3.1. (2R,4R,6Z)-1,2,4-Trihydroxynonadec-6-ene (1)
3.3.2. (2R,4R)-1,2,4-Trihydroxyheptadecadi-14,16-ene (2)
3.4. Animals
3.5. Ethical Statement
3.6. Neomycin-Induced Ototoxicity in a Zebrafish Model
3.7. Statistical Analysis
4. Conclusions
Author Contributions
Funding
Institutional Review Board Statement
Informed Consent Statement
Data Availability Statement
Conflicts of Interest
References
- Basner, M.; Babisch, W.; Davis, A.; Brink, M.; Clark, C.; Janssen, S.; Stansfeld, S. Auditory and non-auditory effects of noise on health. Lancet 2014, 383, 1325–1332. [Google Scholar] [CrossRef]
- Nam, Y.H.; Rodriguez, I.; Jeong, S.Y.; Pham, T.N.M.; Nuankaew, W.; Kim, Y.H.; Castañeda, R.; Jeong, S.Y.; Park, M.S.; Lee, K.W. Avocado oil extract modulates auditory hair cell function through the regulation of amino acid biosynthesis genes. Nutrients 2019, 11, 113. [Google Scholar] [CrossRef] [PubMed]
- Shargorodsky, J.; Curhan, S.G.; Curhan, G.C.; Eavey, R. Change in prevalence of hearing loss in US adolescents. JAMA 2010, 304, 772–778. [Google Scholar] [CrossRef]
- D’Haese, P.S.; Van Rompaey, V.; De Bodt, M.; Van de Heyning, P. Severe hearing loss in the ageing population poses a global public health challenge. How can we better realise the Benefits of cochlear implantation to mitigate this crisis? Front. Public Health 2019, 7, 227. [Google Scholar] [CrossRef] [PubMed]
- Park, S.; Nam, Y.H.; Rodriguez, I.; Park, J.H.; Kwak, H.J.; Oh, Y.; Oh, M.; Park, M.S.; Lee, K.W.; Lee, J.S. Chemical constituents of leaves of Persea americana (avocado) and their protective effects against neomycin-induced hair cell damage. Rev. Bras. Farmacogn. 2019, 29, 739–743. [Google Scholar] [CrossRef]
- Di Stefano, V.; Avellone, G.; Bongiorno, D.; Indelicato, S.; Massenti, R.; Lo Bianco, R. Quantitative evaluation of the phenolic profile in fruits of six avocado (Persea americana) cultivars by ultra-high-performance liquid chromatography-heated electrospray-mass spectrometry. Int. J. Food Prop. 2017, 20, 1302–1312. [Google Scholar] [CrossRef]
- Tan, C.; Tan, S.; Tan, S. Influence of geographical origins on the physicochemical properties of Hass avocado oil. J. Am. Oil Chem. Soc. 2017, 94, 1431–1437. [Google Scholar] [CrossRef]
- de Oliveira, A.P.; Franco, E.D.; Rodrigues Barreto, R.; Cordeiro, D.P.; de Melo, R.G.; de Aquino, C.M.F.; de Medeiros, P.L.; da Silva, T.G.; Góes, A.J.; Maia, M.B. Effect of semisolid formulation of Persea americana Mill (avocado) oil on wound healing in rats. Evid.-Based Complement. Altern. Med. 2013, 2013, 472382. [Google Scholar] [CrossRef]
- Gopinath, B.; Flood, V.M.; Rochtchina, E.; McMahon, C.M.; Mitchell, P. Consumption of omega-3 fatty acids and fish and risk of age-related hearing loss. Am. J. Clin. Nutr. 2010, 92, 416–421. [Google Scholar] [CrossRef]
- Martínez-Vega, R.; Partearroyo, T.; Vallecillo, N.; Varela-Moreiras, G.; Pajares, M.A.; Varela-Nieto, I. Long-term omega-3 fatty acid supplementation prevents expression changes in cochlear homocysteine metabolism and ameliorates progressive hearing loss in C57BL/6J mice. J. Nutr. Biochem. 2015, 26, 1424–1433. [Google Scholar] [CrossRef]
- Abe, F.; Nagafuji, S.; Okawa, M.; Kinjo, J.; Akahane, H.; Ogura, T.; Martinez-Alfaro, M.A.; Reyes-Chilpa, R. Trypanocidal constituents in plants 5. Evaluation of some Mexican plants for their trypanocidal activity and active constituents in the seeds of Persea americana. Biol. Pharm. Bull. 2005, 28, 1314–1317. [Google Scholar] [CrossRef] [PubMed]
- Sugiyama, T.; Sato, A.; Yamashita, K. Synthesis of all four stereoisomers of antibacterial component of avocado. Agric. Biol. Chem. 1982, 46, 481–485. [Google Scholar] [CrossRef]
- Oberlies, N.H.; Rogers, L.L.; Martin, J.M.; McLaughlin, J.L. Cytotoxic and insecticidal constituents of the unripe fruit of Persea americana. J. Nat. Prod. 1998, 61, 781–785. [Google Scholar] [CrossRef] [PubMed]
- Lu, Y.-C.; Chang, H.-S.; Peng, C.-F.; Lin, C.-H.; Chen, I.-S. Secondary metabolites from the unripe pulp of Persea americana and their antimycobacterial activities. Food Chem. 2012, 135, 2904–2909. [Google Scholar] [CrossRef]
- Coleman, B.E.; Cwynar, V.; Hart, D.J.; Havas, F.; Mohan, J.M.; Patterson, S.; Ridenour, S.; Schmidt, M.; Smith, E.; Wells, A.J. Modular approach to the synthesis of unsaturated 1-monoacyl glycerols. Synlett 2004, 2004, 1339–1342. [Google Scholar] [CrossRef]
- Batchelor, J.G.; Cushley, R.J.; Prestegard, J.H. Carbon-13 Fourier transform nuclear magnetic resonance. VIII. Role of steric and electric field effects in fatty acid spectra. J. Org. Chem. 1974, 39, 1698–1705. [Google Scholar] [CrossRef]
- Marwah, R.G.; Fatope, M.O.; Deadman, M.L.; Al-Maqbali, Y.M.; Husband, J. Musanahol: A new aureonitol-related metabolite from a Chaetomium sp. Tetrahedron 2007, 63, 8174–8180. [Google Scholar] [CrossRef]
- Lee, S.O.; Choi, S.Z.; Choi, S.U.; Ryu, S.Y.; Lee, K.R. Phytochemical constituents of the aerial parts from Aster hispidus. Nat. Prod. Sci. 2004, 10, 335–340. [Google Scholar]
- Degenhardt, A.G.; Hofmann, T. Bitter-tasting and kokumi-enhancing molecules in thermally processed avocado (Persea americana Mill.). J. Agric. Food Chem. 2010, 58, 12906–12915. [Google Scholar] [CrossRef]
- Lee, T.H.; Tsai, Y.F.; Huang, T.T.; Chen, P.Y.; Liang, W.L.; Lee, C.K. Heptadecanols from the leaves of Persea americana var. americana. Food Chem. 2012, 132, 921–924. [Google Scholar] [CrossRef]
- Kim, O.K.; Murakami, A.; Nakamura, Y.; Takeda, N.; Yoshizumi, H.; Ohigashi, H. Novel nitric oxide and superoxide generation inhibitors, persenone A and B, from avocado fruit. J. Agric. Food Chem. 2000, 48, 1557–1563. [Google Scholar] [CrossRef] [PubMed]
- Kashman, Y.; Neeman, I.; Lifshitz, A. New compounds from avocado pear. Tetrahedron 1969, 25, 4617–4631. [Google Scholar] [CrossRef]
- Kawagishi, H.; Fukumoto, Y.; Hatakeyama, M.; He, P.; Arimoto, H.; Matsuzawa, T.; Arimoto, Y.; Suganuma, H.; Inakuma, T.; Sugiyama, K. Liver injury suppressing compounds from avocado (Persea americana). J. Agric. Food Chem. 2001, 49, 2215–2221. [Google Scholar] [CrossRef] [PubMed]
- Fritzsch, B. The amphibian octavo-lateralis system and its regressive and progressive evolution. Acta Biol. Hung. 1988, 39, 305–322. [Google Scholar]
- Kornblum, H.I.; Corwin, J.T.; Trevarrow, B. Selective labeling of sensory hair cells and neurons in auditory, vestibular, and lateral line systems by a monoclonal antibody. J. Comp. Neurol. 1990, 301, 162–170. [Google Scholar] [CrossRef]
- Higgs, D.M.; Souza, M.J.; Wilkins, H.R.; Presson, J.C.; Popper, A.N. Age-and size-related changes in the inner ear and hearing ability of the adult zebrafish (Danio rerio). J. Assoc. Res. Otolaryngol. 2002, 3, 174–184. [Google Scholar] [CrossRef]
- Higgs, D.M.; Rollo, A.K.; Souza, M.J.; Popper, A.N. Development of form and function in peripheral auditory structures of the zebrafish (Danio rerio). J. Acoust. Soc. Am. 2003, 113, 1145–1154. [Google Scholar] [CrossRef]
- Williams, J.A.; Holder, N. Cell turnover in neuromasts of zebrafish larvae. Hear. Res. 2000, 143, 171–181. [Google Scholar] [CrossRef]
- Murakami, S.L.; Cunningham, L.L.; Werner, L.A.; Bauer, E.; Pujol, R.; Raible, D.W.; Rubel, E.W. Developmental differences in susceptibility to neomycin-induced hair cell death in the lateral line neuromasts of zebrafish (Danio rerio). Hear. Res. 2003, 186, 47–56. [Google Scholar] [CrossRef]
- Matsui, J.I.; Cotanche, D.A. Sensory hair cell death and regeneration: Two halves of the same equation. Curr. Opin. Otolaryngol. Head Neck Surg. 2004, 12, 418–425. [Google Scholar] [CrossRef]
- Inohara, N.; Nunez, G. Genes with homology to mammalian apoptosis regulators identified in zebrafish. Cell Death Differ. 2000, 7, 509–510. [Google Scholar] [CrossRef] [PubMed][Green Version]
- Ton, C.; Parng, C. The use of zebrafish for assessing ototoxic and otoprotective agents. Hear. Res. 2005, 208, 79–88. [Google Scholar] [CrossRef] [PubMed]



| 1 | 2 | |||
|---|---|---|---|---|
| Pos. | δC a, b | δH a, c (J in Hz) | δC a, b | δH a, c (J in Hz) |
| 1 | 67.2 | 3.52 (dd, 5.3, 14.3) | 67.2 | 3.50 (dd, 5.3, 14.3) |
| 2 | 72.1 | 3.85 (ddt, 2.4, 4.4, 9.2) | 72.1 | 3.82 (m) |
| 3 | 41.2 | 1.55 (m) 1.69 (m) | 41.2 | 1.54* 1.68 (dt, 4.5, 14.2) |
| 4 | 71.2 | 3.81 (dt, 4.1, 8.2) | 71.2 | 3.78 (m) |
| 5 | 26.5 | 5.39 (m) | 38.5 | 1.47 * |
| 6 | 129.1 | 5.38 (m) | (C-6–C-12) 30.3, 30.4, 30.6, 30.7, 30.8, 30.8, 30.9 | (H-6–H-12) 1.31 * |
| 7 | 130.9 | 2.11 (m) | ||
| 8 | 28.2 | 1.34 * | ||
| 9 | 32.6 | 1.37* | ||
| 10 | (C-10–C-16) 30.2, 30.4, 30.5, 30.7, 30.8, 30.8, 30.9, | (H-10–H-16) 1.36 * | ||
| 11 | ||||
| 12 | ||||
| 13 | 33.6 | 2.1 (qd, 1.6, 7.1) | ||
| 14 | 136.2 | 5.71 (dt, 7.1, 15.2) | ||
| 15 | 132.4 | 6.06 (dd, 10.3, 15.2) | ||
| 16 | 138.7 | 6.32 (dt, 10.3, 17.0) | ||
| 17 | 32.7 | 1.34 * | 114.9 | 4.93 (dd, 1.8, 10.3) 5.07 (dd, 1.8, 17.0) |
| 18 | 23.6 | 1.40 * | ||
| 19 | 14.5 | 0.95 (t) | ||
Publisher’s Note: MDPI stays neutral with regard to jurisdictional claims in published maps and institutional affiliations. |
© 2021 by the authors. Licensee MDPI, Basel, Switzerland. This article is an open access article distributed under the terms and conditions of the Creative Commons Attribution (CC BY) license (http://creativecommons.org/licenses/by/4.0/).
Share and Cite
Park, S.; Jeong, S.Y.; Nam, Y.H.; Park, J.H.; Rodriguez, I.; Shim, J.H.; Yasmin, T.; Kwak, H.J.; Oh, Y.; Oh, M.; et al. Fatty Acid Derivatives Isolated from the Oil of Persea americana (Avocado) Protects against Neomycin-Induced Hair Cell Damage. Plants 2021, 10, 171. https://doi.org/10.3390/plants10010171
Park S, Jeong SY, Nam YH, Park JH, Rodriguez I, Shim JH, Yasmin T, Kwak HJ, Oh Y, Oh M, et al. Fatty Acid Derivatives Isolated from the Oil of Persea americana (Avocado) Protects against Neomycin-Induced Hair Cell Damage. Plants. 2021; 10(1):171. https://doi.org/10.3390/plants10010171
Chicago/Turabian StylePark, SeonJu, Seo Yule Jeong, Youn Hee Nam, Jun Hyung Park, Isabel Rodriguez, Ji Heon Shim, Tamanna Yasmin, Hee Jae Kwak, Youngse Oh, Mira Oh, and et al. 2021. "Fatty Acid Derivatives Isolated from the Oil of Persea americana (Avocado) Protects against Neomycin-Induced Hair Cell Damage" Plants 10, no. 1: 171. https://doi.org/10.3390/plants10010171
APA StylePark, S., Jeong, S. Y., Nam, Y. H., Park, J. H., Rodriguez, I., Shim, J. H., Yasmin, T., Kwak, H. J., Oh, Y., Oh, M., Lee, K. W., Lee, J. S., Kim, D. H., Park, Y. H., Moon, I. S., Choung, S.-Y., Jeong, K. W., Hong, B. N., Kim, S. H., & Kang, T. H. (2021). Fatty Acid Derivatives Isolated from the Oil of Persea americana (Avocado) Protects against Neomycin-Induced Hair Cell Damage. Plants, 10(1), 171. https://doi.org/10.3390/plants10010171

