Efficient Estimation of Biomass from Residual Agroforestry
Abstract
1. Introduction
2. Materials and Methods
2.1. Study Area
2.2. Definition of the Sampling Populations
2.3. Auxiliary Variable from Remote Sensing
2.4. Sampling Design
2.5. Photo-Interpretation of Potential Residual Biomass Density in the Sample Plots
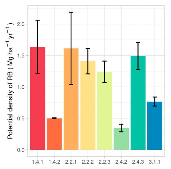
3. Results
4. Discussion
Author Contributions
Funding
Conflicts of Interest
References
- Xie, Y.; Sha, Z.; Yu, M. Remote sensing imagery in vegetation mapping: A review. J. Plant Ecol. 2008, 1, 9–23. [Google Scholar] [CrossRef]
 - Gallego, J. Use of remote sensing for the design of sampling frames. In Handbook of the Global Strategy to Improve Agricultural and Rural Statistics (GSARS); Delincé, J., Ed.; GSARS: Rome, Italy, 2017. [Google Scholar]
 - GSARS. Handbook on Remote Sensing for Agricultural Statistics; GSARS: Rome, Italy, 2017. [Google Scholar]
 - Gregoire, T.G.; Valentine, H.T. Ranked set sampling. In Sampling Strategies for Natural Resources and the Environment; Applied Environmental Statistics; Chapmann & Hall/CRC: New York, NY, USA, 2008; p. 474. [Google Scholar]
 - Bascietto, M.; De Cinti, B.; Matteucci, G.; Cescatti, A. Biometric assessment of aboveground carbon pools and fluxes in three European forests by Randomized Branch Sampling. For. Ecol. Manag. 2012, 267, 172–181. [Google Scholar] [CrossRef]
 - Chen, Z. The efficiency of ranked-set sampling relative to simple random sampling under multi-parameter families. Stat. Sin. 2000, 10, 247–263. [Google Scholar]
 - Anttila, P.; Vaario, L.-M.; Pulkkinen, P.; Asikainen, A.; Duan, J. Availability, supply technology and costs of residual forest biomass for energy—A case study in northern China. Biomass Bioenergy 2015, 83, 224–232. [Google Scholar] [CrossRef]
 - de Jong, S.; Hoefnagels, R.; Wetterlund, E.; Pettersson, K.; Faaij, A.; Junginger, M. Cost optimization of biofuel production—The impact of scale, integration, transport and supply chain configurations. Appl. Energy 2017, 195, 1055–1070. [Google Scholar] [CrossRef]
 - Bout, A.E.; Pfau, S.F.; Van Der Krabben, E.; Dankbaar, B. Residual Biomass from Dutch Riverine Areas—From Waste to Ecosystem Service. Sustain 2019, 11, 509. [Google Scholar] [CrossRef]
 - Evans, A.; Strezov, V.; Evans, T.J. Sustainability considerations for electricity generation from biomass. Renew. Sustain. Energy Rev. 2010, 14, 1419–1427. [Google Scholar] [CrossRef]
 - Pfau, S. Residual Biomass: A Silver Bullet to Ensure a Sustainable Bioeconomy? In Proceedings of the the European Conference on Sustainability, Energy & the Environment 2015, Brighton, UK, 9–12 July 2015; pp. 295–312. [Google Scholar]
 - Verani, S.; Sperandio, G.; Picchio, R.; Marchi, E.; Costa, C. Sustainability Assessment of a Self-Consumption Wood-Energy Chain on Small Scale for Heat Generation in Central Italy. Energies 2015, 8, 5182–5197. [Google Scholar] [CrossRef]
 - Schubert, R. (Ed.) Future Bioenergy and Sustainable Land Use; Earthscan: London, UK, 2010; ISBN 978-1-84407-841-7. [Google Scholar]
 - Caputo, A.C.; Palumbo, M.; Pelagagge, P.M.; Scacchia, F. Economics of biomass energy utilization in combustion and gasification plants: Effects of logistic variables. Biomass Bioenergy 2005, 28, 35–51. [Google Scholar] [CrossRef]
 - Dornburg, V.; Faaij, A.P.C. Effciency and economy of wood-fired biomass energy systems in relation to scale regarding heat and power generation using combustion and gasification technologies. Biomass Bioenergy 2001, 21, 91–108. [Google Scholar] [CrossRef]
 - Kanzian, C.; Kühmaier, M.; Zazgornik, J.; Stampfer, K. Design of forest energy supply networks using multi-objective optimization. Biomass Bioenergy 2013, 58, 294–302. [Google Scholar] [CrossRef]
 - Galidaki, G.; Zianis, D.; Gitas, I.; Radoglou, K.; Karathanassi, V.; Tsakiri–Strati, M.; Woodhouse, I.; Mallinis, G. Vegetation biomass estimation with remote sensing: Focus on forest and other wooded land over the Mediterranean ecosystem. Int. J. Remote Sens. 2017, 38, 1940–1966. [Google Scholar] [CrossRef]
 - Fayad, I.; Baghdadi, N.; Guitet, S.; Bailly, J.-S.; Hérault, B.; Gond, V.; Hajj, M.E.; Minh, D.H.T. Aboveground biomass mapping in French Guiana by combining remote sensing, forest inventories and environmental data. Int. J. Appl. Earth Obs. Geoinf. 2016, 52, 502–514. [Google Scholar] [CrossRef]
 - Otgonbayar, M.; Atzberger, C.; Chambers, J.; Damdinsuren, A. Mapping pasture biomass in Mongolia using Partial Least Squares, Random Forest regression and Landsat 8 imagery. Int. J. Remote Sens. 2019, 40, 3204–3226. [Google Scholar] [CrossRef]
 - Kasampalis, D.; Alexandridis, T.; Deva, C.; Challinor, A.; Moshou, D.; Zalidis, G. Contribution of Remote Sensing on Crop Models: A Review. J. Imaging 2018, 4, 52. [Google Scholar] [CrossRef]
 - Ginaldi, F.; Bajocco, S.; Bregaglio, S.; Cappelli, G. Spatializing Crop Models for Sustainable Agriculture. In Innovations in Sustainable Agriculture; Farooq, M., Pisante, M., Eds.; Springer International Publishing: Cham, The Netherlands, 2019; pp. 599–619. ISBN 978-3-030-23169-9. [Google Scholar]
 - Latifi, H.; Fassnacht, F.E.; Hartig, F.; Berger, C.; Hernández, J.; Corvalán, P.; Koch, B. Stratified aboveground forest biomass estimation by remote sensing data. Int. J. Appl. Earth Obs. Geoinf. 2015, 38, 229–241. [Google Scholar] [CrossRef]
 - Yadav, B.K.V.; Nandy, S. Mapping aboveground woody biomass using forest inventory, remote sensing and geostatistical techniques. Environ. Monit. Assess. 2015, 187, 308. [Google Scholar] [CrossRef]
 - Chen, Z.; Bai, Z.; Sinha, B.K. Ranked Set Sampling: Theory and Applications; Lecture Notes in Statistics; Springer: New York, NY, USA, 2003; Volume 176. [Google Scholar]
 - Galluzzo, N. Analisi Economica, Indagini di Marketing e Prospettive Operative Dell’olivicoltura Nelle Zone Interne Della Regione Lazio: Un Caso di Studio Nell’area di Produzione Dell’olio Sabina DOP; Aracne: Roma, Italy, 2009; ISBN 978-88-548-1694-7. [Google Scholar]
 - Lepre, S. Gli Archivi Dell’agricoltura Del Territorio di Roma e Del Lazio; Pubblicazioni Degli Archivi di Stato; Ministero Per i Beni e le Attività Culturali, Direzione Generale Per Gli Archivi: Roma, Italy, 2009; Volume 96.
 - Luxen, D.; Vetter, C. Real-time routing with OpenStreetMap data. In Proceedings of the 19th ACM SIGSPATIAL International Conference on Advances in Geographic Information Systems, Chicago, IL, USA, 1–4 November 2011; ACM: New York, NY, USA, 2011; pp. 513–516. [Google Scholar]
 - Copernicus Land Monitoring Service Corine Land Cover 2018. Available online: https://land.copernicus.eu/pan-european/corine-land-cover/clc2018 (accessed on 4 July 2019).
 - Tucker, C.J. Red and photographic infrared linear combinations for monitoring vegetation. Remote Sens. Environ. 1979, 8, 127–150. [Google Scholar] [CrossRef]
 - Myneni, R.B.; Hall, F.G.; Sellers, P.J.; Marshak, A.L. The Interpretation of Spectral Vegetation Indexes. Trans. Geosci. Remote Sens. 1995, 33, 481–486. [Google Scholar] [CrossRef]
 - Sellers, P.J. Canopy reflectance, photosynthesis and transpiration. Int. J. Remote Sens. 1985, 6, 1335–1372. [Google Scholar] [CrossRef]
 - Wang, J.; Rich, P.M.; Price, K.P.; Kettle, W.D. Relations between NDVI and tree productivity in the central Great Plains. Int. J. Remote Sens. 2004, 25, 3127–3138. [Google Scholar] [CrossRef]
 - Drusch, M.; Del Bello, U.; Carlier, S.; Colin, O.; Fernandez, V.; Gascon, F.; Hoersch, B.; Isola, C.; Laberinti, P.; Martimort, P.; et al. Sentinel-2: ESA’s Optical High-Resolution Mission for GMES Operational Services. Remote Sens. Environ. 2012, 120, 25–36. [Google Scholar] [CrossRef]
 - Puletti, N.; Bascietto, M. Towards a Tool for Early Detection and Estimation of Forest Cuttings by Remotely Sensed Data. Land 2019, 8, 58. [Google Scholar] [CrossRef]
 - Gorelick, N.; Hancher, M.; Dixon, M.; Ilyushchenko, S.; Thau, D.; Moore, R. Google Earth Engine: Planetary-scale geospatial analysis for everyone. Remote Sens. Environ. 2017, 202, 18–27. [Google Scholar] [CrossRef]
 - McIntyre, G.A. A Method for Unbiased Selective Sampling, Using Ranked Sets. Aust. J. Agric. Res. 1952, 3, 385–390. [Google Scholar] [CrossRef]
 - Martin, W.L.; Shank, T.L.; Oderwald, R.G.; Smith, D.W. Evaluation of Ranked Set Sampling for Estimating Shrub Phytomass in Appalachian Oak Forest; School of Forestry and Widlife Resources VPI&SU: Blacksburg, VA, USA, 1980. [Google Scholar]
 - Gilbert, R.O.; Eberhardt, L.L. An evaluation of double sampling for estimating plutonium inventory in surface soil. In Radioecology and Energy Sources; Dowden, Hutchinson and Ross: Stroudsburg, PA, USA, 1976; pp. 157–163. [Google Scholar]
 - Chen, Z. Adaptive ranked set sampling scheme with multiple concomitant variables: An effective way to observational economy. Bernoulli 2002, 8, 313–322. [Google Scholar]
 - Silva, P.L.D.N.; Skinner, C.J. Variable selection for regression estimation in finite population. Surv. Methodol. 1997, 23, 23–32. [Google Scholar]
 - Risch, N.; Zhang, H. Extreme discordant sib pairs for mapping quantitative trait loci in humans. Science 1995, 268, 1584–1589. [Google Scholar] [CrossRef]
 - Jeelani, M.I.; Bouza, C.N.; Sautto, J.M. Efficiency of Ranked Set Sampling in Horticultural Surveys. Cadernos do IME-Série Estatística 2015, 38, 37. [Google Scholar] [CrossRef]
 - Uribeetxebarria, A.; Martínez-Casasnovas, J.A.; Tisseyre, B.; Guillaume, S.; Escolà, A.; Rosell-Polo, J.R.; Arnó, J. Assessing ranked set sampling and ancillary data to improve fruit load estimates in peach orchards. Comput. Electron. Agric. 2019, 164, 104931. [Google Scholar] [CrossRef]
 - Spinelli, R.; Picchi, G. Industrial harvesting of olive tree pruning residue for energy biomass. Bioresour. Technol. 2010, 730–735. [Google Scholar] [CrossRef] [PubMed]
 - Manzanares, P.; Ruiz, E.; Ballesteros, M.; Negro, M.J.; Gallego, F.J.; López-Linares, J.C.; Castro, E. Residual biomass potential in olive tree cultivation and olive oil industry in Spain: Valorization proposal in a biorefinery context. Span. J. Agric. Res. 2017, 15, e0206. [Google Scholar] [CrossRef]
 - Romero-García, J.M.; Niño, L.; Martínez-Patiño, C.; Álvarez, C.; Castro, E.; Negro, M.J. Biorefinery based on olive biomass. State of the art and future trends. Bioresour. Technol. 2014, 159, 421–432. [Google Scholar] [CrossRef] [PubMed]
 - Dipartimento Tutela ambientale e del Verde—Protezione Civile. Natura e Verde Pubblico. Relazione Sullo Stato Dell’ambiente; Roma Capitale: Rome, Italy, 2012. [Google Scholar]
 - Di Blasi, C.; Tanzi, V.; Lanzetta, M. A study on the production of agricultural residues in Italy. Biomass Bioenergy 1997, 12, 321–331. [Google Scholar] [CrossRef]
 - Manzone, M.; Paravidino, E.; Bonifacino, G.; Balsari, P. Biomass availability and quality produced by vineyard management during a period of 15 years. Renew. Energy 2016, 99, 465–471. [Google Scholar] [CrossRef]
 - Quatrini, V.; Mattioli, W.; Romano, R.; Corona, P. Caratteristiche produttive e gestione dei cedui in Italia. Ital. For. Mont. 2017, 273–313. [Google Scholar] [CrossRef][Green Version]
 - Alam, B. Road Network Optimization Model for Supplying Woody Biomass Feedstock for Energy Production in Northwestern Ontario. Open For. Sci. J. 2012, 5, 1–14. [Google Scholar] [CrossRef][Green Version]
 - Velazquez-Marti, B.; Fernandez-Gonzalez, E. Mathematical algorithms to locate factories to transform biomass in bioenergy focused on logistic network construction. Renew. Energy 2010, 35, 2136–2142. [Google Scholar] [CrossRef]
 - Dell, T.R.; Clutter, J.L. Ranked set sampling theory with order statistics background. Biometrics 1972, 28, 545–555. [Google Scholar] [CrossRef]
 - Okello, C.; Pindozzi, S.; Faugno, S.; Boccia, L. Bioenergy potential of agricultural and forest residues in Uganda. Biomass Bioenergy 2013, 56, 515–525. [Google Scholar] [CrossRef]
 - Beringer, T.; Lucht, W.; Schaphoff, S. Bioenergy production potential of global biomass plantations under environmental and agricultural constraints. GCB Bioenergy 2011, 3, 299–312. [Google Scholar] [CrossRef]
 - Palomo, I.; Willemen, L.; Drakou, E.; Burkhard, B.; Crossman, N.; Bellamy, C.; Burkhard, K.; Campagne, C.S.; Dangol, A.; Franke, J.; et al. Practical solutions for bottlenecks in ecosystem services mapping. One Ecosyst. 2018, 3, e20713. [Google Scholar] [CrossRef]
 









| Ring Code | Min Time | Max Time | Area | 
|---|---|---|---|
| IR1 | 50 | 60 | 821 | 
| IR2 | 40 | 50 | 542 | 
| IR3 | 30 | 40 | 433 | 
| IR4 | 20 | 30 | 354 | 
| IR5 | 0 | 20 | 126 | 
| All IRs | 2276 | 
| CLC Class | Land Cover Typology | CLC Label | Area | 
|---|---|---|---|
| 1.4.1 | Urban | Green urban areas | 8.32 | 
| 1.4.2 | Urban | Sport and leisure facilities | 13.3 | 
| 2.2.1 | Agriculture | Vineyards | 0.165 | 
| 2.2.2 | Agriculture | Fruit trees and berry plantations | 18.2 | 
| 2.2.3 | Agriculture | Olive groves | 355 | 
| 2.4.2 | Agriculture | Complex cultivation patterns | 187 | 
| 2.4.3 | Agriculture | Land principally occupied by agriculture | 303 | 
| 3.1.1 | Forest | Broad-leaved forest | 415 | 
| All CLCs | 1296 | 
| CLC Class | k | n | RP Upper Bound | Random Sample | Ranked Set Sample | Discarded Sample | 
|---|---|---|---|---|---|---|
| 1.4.1 Green urban area | 3 | 3 | 2.0 | 27 | 9 | 18 | 
| 1.4.2 Sport and leisure facilities | 3 | 3 | 2.0 | 27 | 9 | 18 | 
| 2.2.1 Vineyards | 2 | 2 | 1.5 | 8 | 4 | 4 | 
| 2.2.2 Fruit trees and berry plantations | 4 | 3 | 2.0 | 36 | 12 | 24 | 
| 2.2.3 Olive groves | 7 | 5 | 4.0 | 180 | 35 | 145 | 
| 2.4.2 Complex cultivation patterns | 7 | 5 | 4.0 | 180 | 35 | 145 | 
| 2.4.3 Land principally occupied by agriculture | 5 | 4 | 3.0 | 80 | 20 | 60 | 
| 3.1.1 Broad-leaved forest | 3 | 5 | 2.0 | 75 | 15 | 60 | 
| Total | 745 | 139 | 606 | 
| CLC Class | RB Per Tree, bc (Mg tree−1) | Tree Density, dc (Tree ha−1) | Time between Operations, y (Year) | RB Per Ha, bcdc (Mg ha−1) | Bc (Mg ha−1 yr−1) | References | 
|---|---|---|---|---|---|---|
| 1.4.1 Green urban area | 0.4/0.3/0.2 | 80 | 8 | 4.0/3.0/2.0 | [47] | |
| 1.4.2 Sport and leisure facilities | 0.4/0.3/0.2 | 50 | 8 | 2.5/1.9/1.3 | [47] | |
| 2.2.1 Vineyards | 0.00075/0.00075/0.00070 | 4000/3400/3000 | 1 | 3.0/2.6/2.1 | [44,48,49] | |
| 2.2.2 Fruit trees and berry plantations | 0.007/0.0055/0.005 | 500/500/400 | 1 | 3.5/2.8/2.0 | [48] | |
| 2.2.3 Olive groves | 0.027/0.025/0.020 | 300/230/180 | 2 | 4.0/2.9/1.8 | [44,45,46] | |
| 2.4.2 Complex cultivation patterns | 0.015 | 260/200/130 | 2 | 2.0/1.5/1.0 | [48] | |
| 2.4.3 Land principally occupied by agriculture use | 0.007/0.0055/0.005 | 500/500/400 | 1 | 3.5/2.8/2.0 | [48] | |
| 3.1.1 Broad-leaved forests | 25 | 26/23/19 | 1.1/0.90/0.75 | [50] | 
© 2020 by the authors. Licensee MDPI, Basel, Switzerland. This article is an open access article distributed under the terms and conditions of the Creative Commons Attribution (CC BY) license (http://creativecommons.org/licenses/by/4.0/).
Share and Cite
Bascietto, M.; Sperandio, G.; Bajocco, S. Efficient Estimation of Biomass from Residual Agroforestry. ISPRS Int. J. Geo-Inf. 2020, 9, 21. https://doi.org/10.3390/ijgi9010021
Bascietto M, Sperandio G, Bajocco S. Efficient Estimation of Biomass from Residual Agroforestry. ISPRS International Journal of Geo-Information. 2020; 9(1):21. https://doi.org/10.3390/ijgi9010021
Chicago/Turabian StyleBascietto, Marco, Giulio Sperandio, and Sofia Bajocco. 2020. "Efficient Estimation of Biomass from Residual Agroforestry" ISPRS International Journal of Geo-Information 9, no. 1: 21. https://doi.org/10.3390/ijgi9010021
APA StyleBascietto, M., Sperandio, G., & Bajocco, S. (2020). Efficient Estimation of Biomass from Residual Agroforestry. ISPRS International Journal of Geo-Information, 9(1), 21. https://doi.org/10.3390/ijgi9010021
        
