Understanding the Representativeness of Mobile Phone Location Data in Characterizing Human Mobility Indicators
Abstract
:1. Introduction
2. Literature Review
2.1. Mobile Phone Location Data for Human Mobility Research
2.2. Representative Issues of Big Data
3. Study Area and Dataset
3.1. Study Area
3.2. Data
- (1)
- Making and receiving calls;
- (2)
- Sending and receiving text messages;
- (3)
- Regular location updates (triggered by moving from one cell phone tower to another), and
- (4)
- Periodic location update (triggered by tower pinging if a subscriber has no phone activities for a specified time period).
4. Methodology
4.1. Frequently used Human Mobility Indicators
4.2. Extracting Valid Subscribers
4.3. Random Rules
4.4. Evaluating the Aggregated Underestimation Coefficient
5. Results
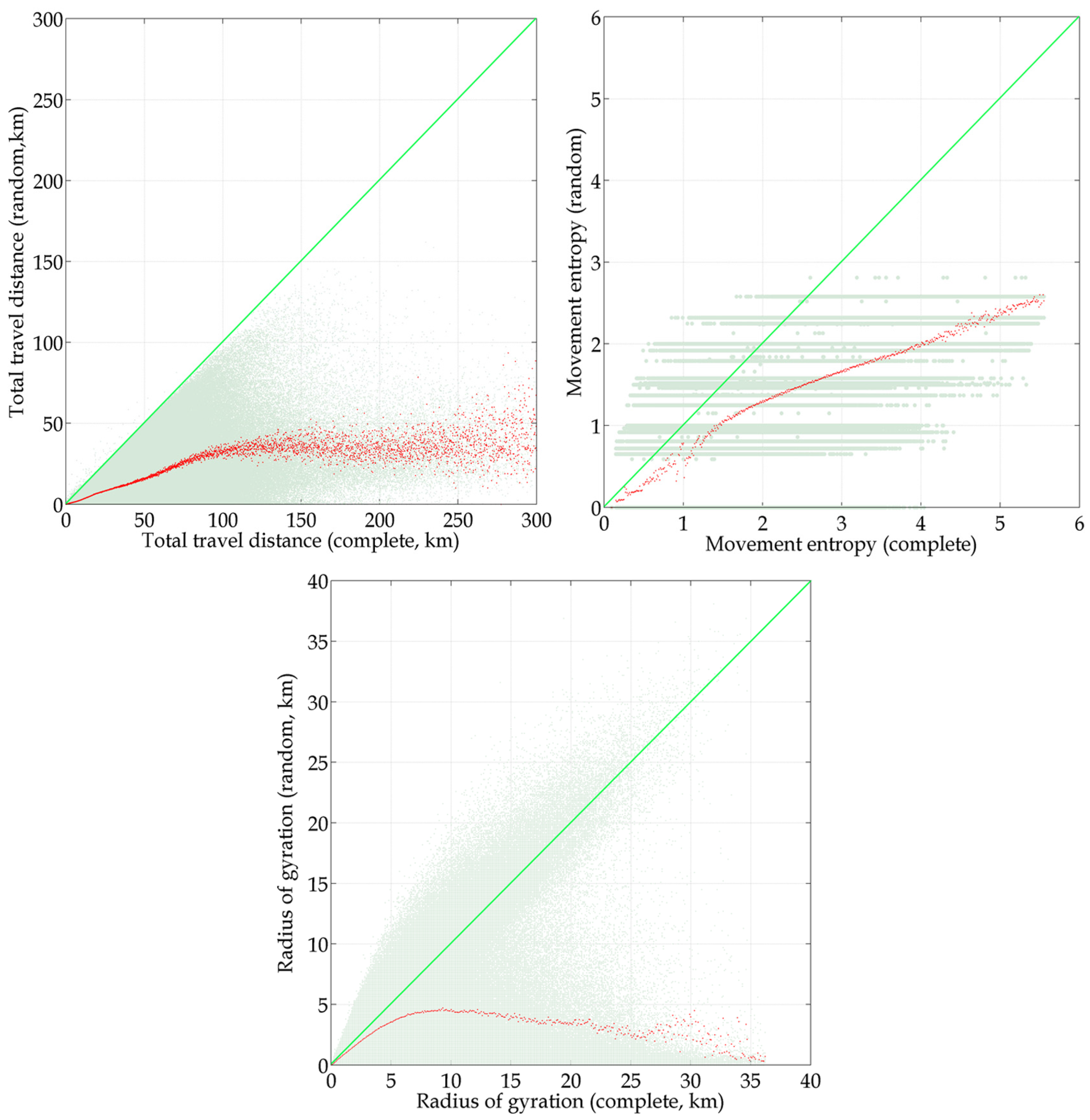
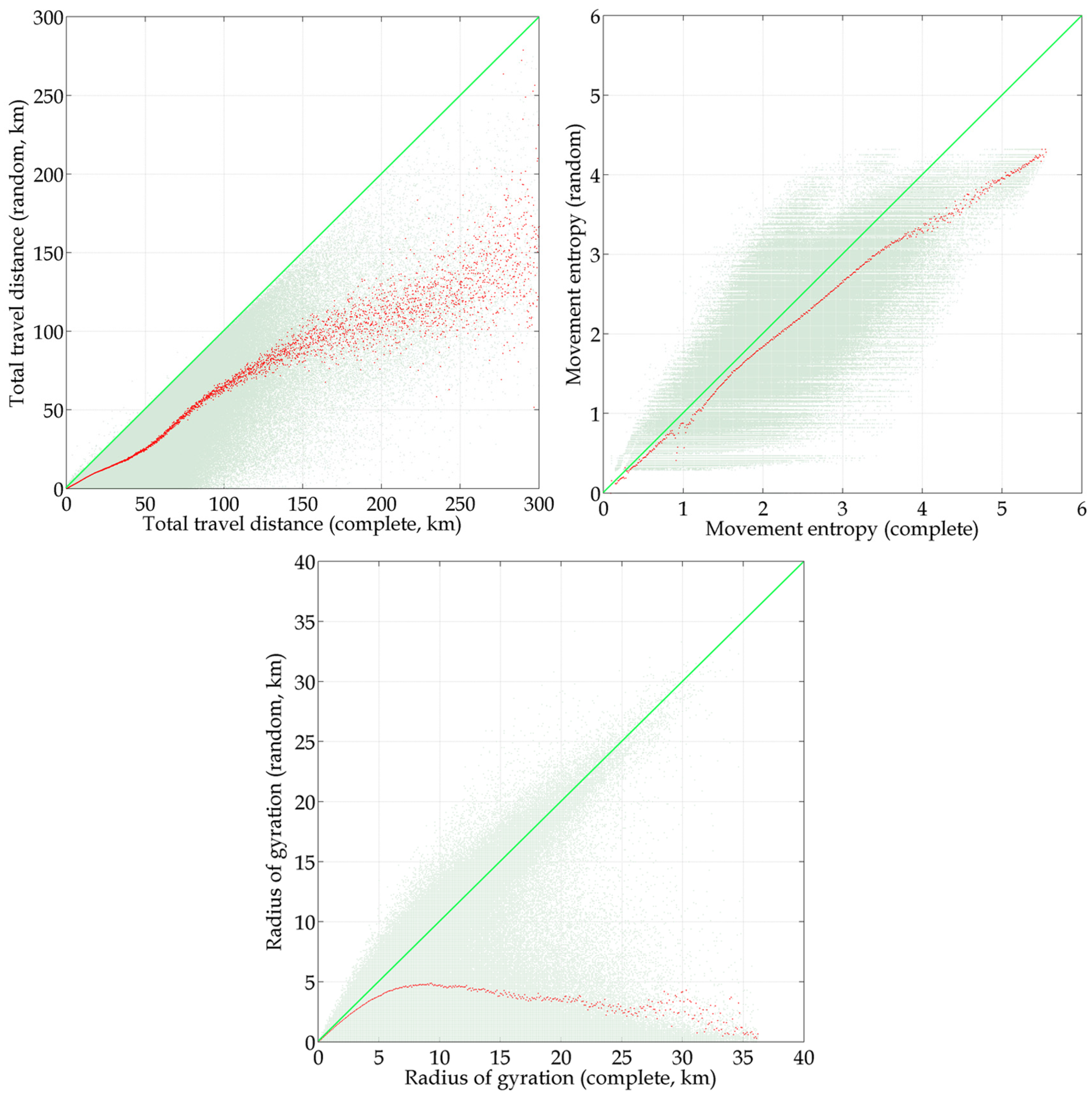
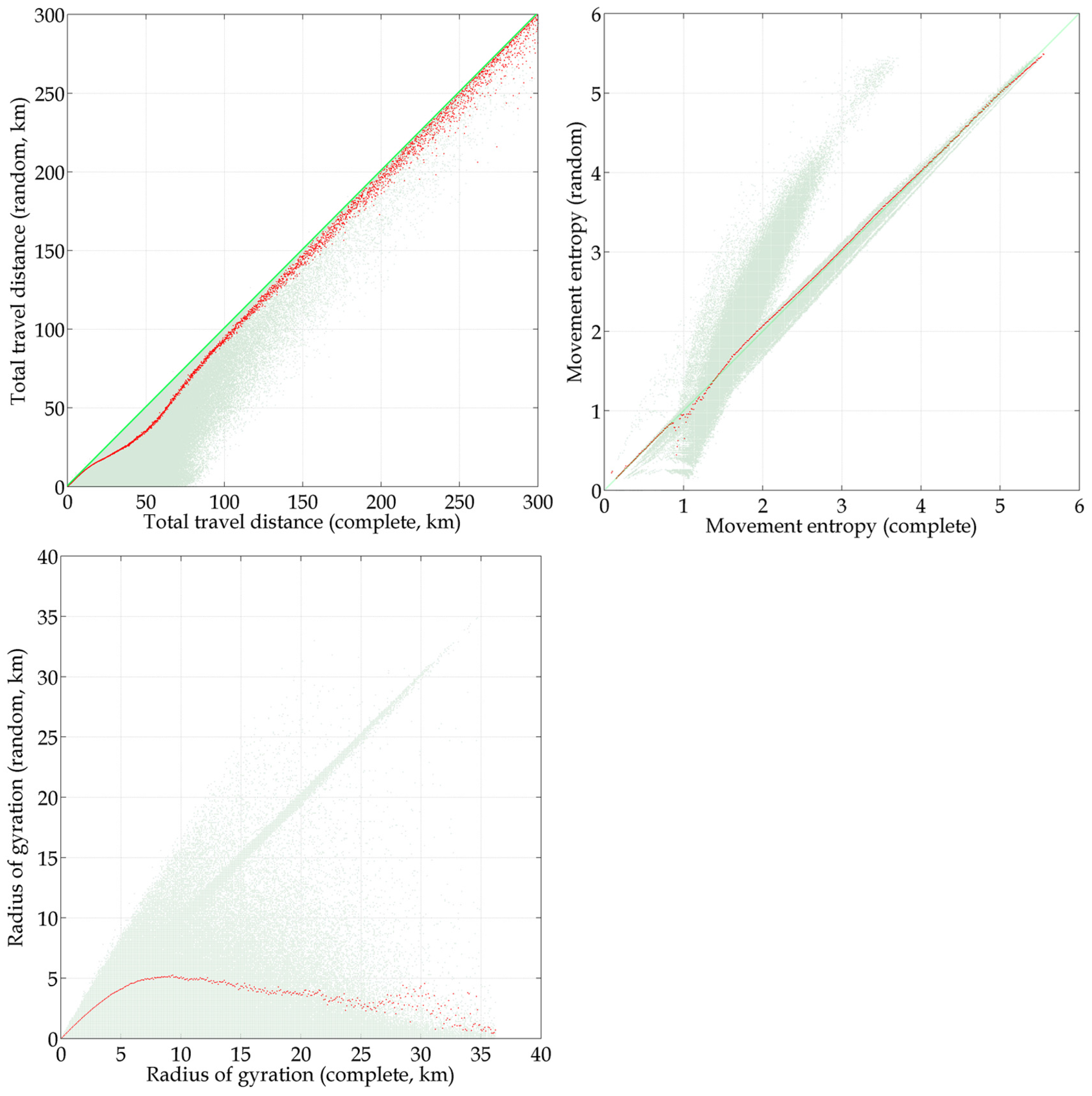
5.1. Measuring Mobility Indicators by Randomly Selecting Time Segments
5.1.1. Individual Perspective
5.1.2. Average Perspective
5.2. Quantitative Analysis of the Total Travel Distance Underestimation Coefficient
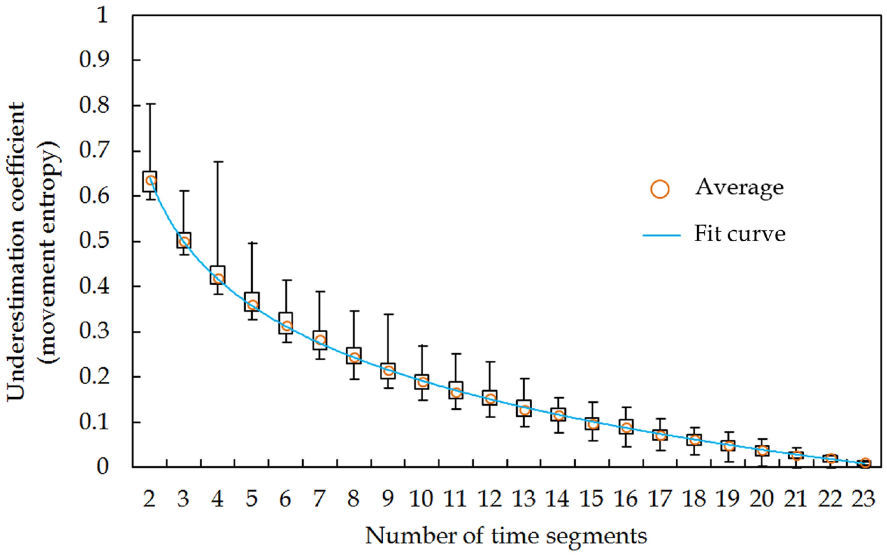
5.3. Quantitative Analysis of the Movement Entropy Underestimation Coefficient
5.4. Quantitative Analysis of the Radius of Gyration Underestimation Coefficient
6. Conclusions
- (1)
- The mobile phone usage habits; Figure 4 shows that the temporal coverage of subscribers’ records are mostly relatively low, which may be related to subscribers’ mobile phone usage habits. So the underestimation coefficient may be higher in non-random sampled mobile phone location data if the subscribers travel a lot but rarely take their mobile phones.
- (2)
Acknowledgments
Author Contributions
Conflicts of Interest
References
- Brockmann, D.; Hufnagel, L.; Geisel, T. The scaling laws of human travel. Nature 2006, 439, 462–465. [Google Scholar] [CrossRef] [PubMed]
- González, M.C.; Hidalgo, C.A.; Barabási, A.L. Understanding individual human mobility patterns. Nature 2008, 453, 779–782. [Google Scholar] [CrossRef] [PubMed]
- Noulas, A.; Scellato, S.; Lambiotte, R.; Pontil, M.; Mascolo, C. A tale of many cities: Universal patterns in human urban mobility. PLoS ONE 2011. [Google Scholar] [CrossRef]
- Simini, F.; González, M.C.; Maritan, A.; Barabási, A.L. A universal model for mobility and migration patterns. Nature 2012, 484, 96–100. [Google Scholar] [CrossRef] [PubMed]
- Ratti, C.; Frenchman, D.; Pulselli, R.M.; Williams, S. Mobile landscapes: Using location data from cell phones for urban analysis. Environ. Plan. B Plan. Des. 2006, 33, 727–748. [Google Scholar] [CrossRef]
- Gao, S.; Liu, Y.; Wang, Y.; Ma, X. Discovering spatial interaction communities from mobile phone data. Trans. GIS 2013, 17, 463–481. [Google Scholar] [CrossRef]
- Pei, T.; Sobolevsky, S.; Ratti, C.; Shaw, S.L.; Li, T.; Zhou, C. A new insight into land use classification based on aggregated mobile phone data. Int. J. Geogr. Inf. Sci. 2014, 28, 1988–2007. [Google Scholar] [CrossRef]
- Caceres, N.; Romero, L.M.; Benitez, F.G.; Del Castillo, J.M. Traffic flow estimation models using cellular phone data. IEEE Trans. Intell. Transp. Syst. 2012, 13, 1430–1441. [Google Scholar] [CrossRef]
- Gao, H.; Liu, F. Estimating freeway traffic measures from mobile phone location data. Eur. J. Oper. Res. 2013, 229, 252–260. [Google Scholar] [CrossRef]
- Dewulf, B.; Neutens, T.; Lefebvre, W.; Seynaeve, G.; Vanpoucke, C.; Beckx, C.; Weghe, N.V. Dynamic assessment of exposure to air pollution using mobile phone data. Int. J. Health Geogr. 2016, 15, 1–14. [Google Scholar] [CrossRef] [PubMed]
- Lu, T.; Guo, X.; Xu, B.; Zhao, L.; Peng, Y.; Yang, H. Next Big Thing in Big Data: The Security of the ICT Supply Chain. Int. Conf. Soc. Comput. 2013, 10, 1066–1073. [Google Scholar]
- Järv, O.; Ahas, R.; Witlox, F. Understanding monthly variability in human activity spaces: A twelve-month study using mobile phone call detail records. Trans. Res. Part C: Emerg. Technol. 2014, 38, 122–135. [Google Scholar] [CrossRef]
- Liu, Y.; Sui, Z.; Kang, C.; Gao, Y. Uncovering patterns of inter-urban trip and spatial interaction from social media check-in data. PLoS ONE 2014. [Google Scholar] [CrossRef] [PubMed]
- Zhong, C.; Batty, M.; Manley, E.; Wang, J.; Wang, Z.; Chen, F.; Schmitt, G. Variability in regularity: Mining temporal mobility patterns in London, Singapore and Beijing using smart-card data. PLoS ONE 2016. [Google Scholar] [CrossRef] [PubMed]
- Lenormand, M.; Louail, T.; Cantúros, O.G.; Picornell, M.; Herranz, R.; Arias, J.M.; Barthelemy, M.; Miguel, M.S.; Ramasco, J.J. Corrigendum: Influence of sociodemographic characteristics on human mobility. Sci. Rep. 2014. [Google Scholar] [CrossRef] [PubMed]
- Zheng, Y.; Li, Q.; Chen, Y.; Xie, X.; Ma, W.Y. Understanding mobility based on GPS data. In Proceedings of the 10th International Conference on Ubiquitous Computing, Seoul, Korea, 21–24 September 2008.
- Gallotti, R.; Bazzani, A.; Rambaldi, S.; Barthelemy, M. A stochastic model of randomly accelerated walkers for human mobility. Nat. Commun. 2016. [Google Scholar] [CrossRef] [PubMed]
- Wind, D.K.; Sapiezynski, P.; Furman, M.A.; Lehmann, S. Inferring Stop-Locations from WiFi. PLoS ONE 2016. [Google Scholar] [CrossRef] [PubMed]
- Wesolowski, A.; Eagle, N.; Noor, A.M.; Snow, R.W.; Buckee, C.O. Heterogeneous mobile phone ownership and usage patterns in Kenya. PLoS ONE 2011. [Google Scholar] [CrossRef] [PubMed]
- Wesolowski, A.; Eagle, N.; Noor, A.M.; Snow, R.W.; Buckee, C.O. The impact of biases in mobile phone ownership on estimates of human mobility. J. R. Soc. Interface 2013. [CrossRef] [PubMed]
- Mislove, A.; Lehmann, S.; Ahn, Y.Y.; Onnela, J.P.; Rosenquist, J.N. Understanding the demography of Twitter users. In Proceedings of the Fifth International AAAI Conference on Weblogs and Social Media, Barcelona, Spain, 17–21 July 2011.
- Hecht, B.; Stephens, M. A tale of cities: Urban biases in volunteered geographic information. In Proceedings of the Eighth International AAAI conference on Weblogs and Social Media, Ann Arbor, MI, USA, 2–4 June 2014.
- Fang, Z.; Shaw, S.L.; Tu, W.; Li, Q.; Li, Y. Spatiotemporal analysis of critical transportation links based on time geographic concepts: A case study of critical bridges in Wuhan, China. J. Trans. Geogr. 2012, 23, 44–59. [Google Scholar] [CrossRef]
- Becker, R.; Cáceres, R.; Hanson, K.; Isaacman, S.; Ji, M.L.; Martonosi, M.; Rowland, J.; Urbanek, S.; Varshavsky, A.; Volinsky, C. Human mobility characterization from cellular network data. Commun. ACM 2013, 56, 74–82. [Google Scholar] [CrossRef]
- Ranjan, G.; Zang, H.; Zhang, Z.L.; Bolot, J. Are call detail records biased for sampling human mobility? ACM Sigmobile Mob. Comput. Commun. Rev. 2012, 16, 33–44. [Google Scholar] [CrossRef]
- Zhao, Z.; Shaw, S.L.; Xu, Y.; Lu, F.; Chen, J.; Yin, L. Understanding the bias of call detail records in human mobility research. Int. J. Geogr. Inf. Sci. 2016, 30, 1738–1762. [Google Scholar] [CrossRef]
- Sagarra, O.; Szell, M.; Santi, P.; Díaz-Guilera, A.; Ratti, C. Supersampling and network reconstruction of urban mobility. PLoS ONE 2015. [Google Scholar] [CrossRef] [PubMed]
- Xu, Y.; Shaw, S.L.; Zhao, Z.; Yin, L.; Fang, Z.; Li, Q. Understanding aggregate human mobility patterns using passive mobile phone location data: A home-based approach. Transportation 2015, 42, 625–646. [Google Scholar] [CrossRef]
- Wesolowski, A.; Eagle, N.; Tatem, A.J.; Smith, D.L.; Noor, A.M.; Snow, R.W.; Buckee, C.O. Quantifying the impact of human mobility on malaria. Science 2012, 338, 267–270. [Google Scholar] [CrossRef] [PubMed]
- Calabrese, F.; Mi, D.; Lorenzo, G.D.; Ferreira, J.; Ratti, C. Understanding individual mobility patterns from urban sensing data: A mobile phone trace example. Transp. Res. Part C Emerg. Technol. 2013, 26, 301–313. [Google Scholar] [CrossRef]
- Kung, K.S.; Greco, K.; Sobolevsky, S.; Ratti, C. Exploring universal patterns in human home-work commuting from mobile phone data. PLoS ONE 2013. [Google Scholar] [CrossRef] [PubMed]
- Diao, M.; Zhu, Y.; Ferreira, J.; Ratti, C. Inferring individual daily activities from mobile phone traces: A Boston example. Environ. Plan. B Plan. Des. 2015, 43, 1–25. [Google Scholar] [CrossRef]
- Yang, X.; Fang, Z.; Xu, Y.; Shaw, S.L.; Zhao, Z.; Yin, L.; Zhang, T.; Lin, Y. Understanding spatiotemporal patterns of human convergence and divergence using mobile phone location data. ISPRS Int. J. Geo-Inf. 2016. [Google Scholar] [CrossRef]
- Xu, Y.; Shaw, S.L.; Fang, Z.; Ling, Y. Estimating potential demand of bicycle trips from mobile phone data—An anchor-point based approach. ISPRS Int. J. Geo-Inf. 2016. [Google Scholar] [CrossRef]
- Calabrese, F.; Lorenzo, G.D.; Liu, L.; Ratti, C. Estimating origin-destination flows using opportunistically collected mobile phone location data from one million users in Boston metropolitan area. IEEE Pervasive Comput. 2011, 10, 36–44. [Google Scholar] [CrossRef]
- Xu, Y.; Shaw, S.L.; Zhao, Z.; Yin, L.; Lu, F.; Chen, J.; Fang, Z.; Li, Q. Another tale of two cities: Understanding human activity space using actively tracked cellphone location data. Ann. Assoc. Am. Geogr. 2016, 106, 489–502. [Google Scholar]
- Yuan, Y.; Raubal, M.; Liu, Y. Correlating mobile phone usage and travel behavior—A case study of Harbin, china. Comput. Environ. Urban Syst. 2012, 36, 118–130. [Google Scholar] [CrossRef]
- Song, C.; Koren, T.; Wang, P.; Barabási, A.L. Modelling the scaling properties of human mobility. Nat. Phys. 2010, 6, 818–823. [Google Scholar] [CrossRef]
- Song, C.; Barabási, A.L. Limits of predictability in human mobility. Science 2010, 327, 1018–1021. [Google Scholar] [CrossRef] [PubMed]
- Gallotti, R.; Bazzani, A.; Degli Esposti, M.; Rambaldi, S. Entropic measures of individual mobility patterns. J. Stat. Mech. Theory Exp. 2013. [Google Scholar] [CrossRef]
- Cuttone, A.; Lehmann, S.; González, M.C. Understanding predictability and exploration in human mobility. e-Print: arXiv 2016. [Google Scholar]
- Tene, O. Privacy in the age of big data: A time for big decisions. Stanf. Law Rev. Online 2012, 20, 42–56. [Google Scholar]
- Smith, M.; Szongott, C.; Henne, B.; Von Voigt, G. Big data privacy issues in public social media. IEEE Int. Conf. Digit. Ecosyst. Technol. 2012. [Google Scholar] [CrossRef]
- Yin, L.; Wang, Q.; Shaw, S.L.; Fang, Z.; Hu, J.; Tao, Y.; Wang, W. Re-identification risk versus data utility for aggregated mobility research using mobile phone location data. PLoS ONE 2015. [Google Scholar] [CrossRef] [PubMed]
- Haklay, M. How good is volunteered geographical information? A comparative study of Openstreetmap and ordnance survey datasets. Environ. Plan. B Plan. Des. 2010, 93, 3–11. [Google Scholar] [CrossRef]
- Goodchild, M.F.; Li, L. Assuring the quality of volunteered geographic information. Spat. Stat. 2012, 1, 110–120. [Google Scholar] [CrossRef]
- Fu, K.; Chau, M. Reality check for the Chinese microblog space: A random sampling approach. PLoS ONE 2013. [Google Scholar] [CrossRef] [PubMed]
- Haklay, M.; Basiouka, S.; Antoniou, V.; Ather, A. How many volunteers does it take to map an area well? The validity of Linus’ law to volunteered geographic information. Cartogr. J. 2013, 47, 315–322. [Google Scholar] [CrossRef]
- Arai, A.; Fan, Z.; Matekenya, D.; Shibasaki, R. Comparative perspective of human behavior patterns to uncover ownership bias among mobile phone users. ISPRS Int. J. Geo-Inf. 2016. [Google Scholar] [CrossRef]
- Liu, H.X.; Danczyk, A.; Brewer, R.; Starr, R. Evaluation of cell phone traffic data in Minnesota. Transp. Res. Rec. 2008, 11, 1–7. [Google Scholar] [CrossRef]
- Chen, B.Y.; Shi, C.; Zhang, J.; Lam, W.H.; Li, Q.; Xiang, S. Most reliable path-finding algorithm for maximizing on-time arrival probability. Transp. B Transp. Dyn. 2016. [Google Scholar] [CrossRef]
- Goodchild, M.F. The quality of big (geo) data. Dialogues Hum. Geogr. 2013, 3, 280–284. [Google Scholar] [CrossRef]
- Goodchild, M.F.; Gopal, S. Accuracy of Spatial Databases; Taylor and Francis: London, UK, 1989. [Google Scholar]
- Zhang, J.; Goodchild, M. Uncertainty in Geographic Information; CRC Press: New York, NY, USA, 2002. [Google Scholar]
- Jacquez, G. A research agenda: Does geocoding positional error matter in health GIS studies? Spat. Spatio-Temporal Epidemiol. 2012, 3, 7–16. [Google Scholar] [CrossRef] [PubMed]
- Lu, S.; Fang, Z.; Shaw, S.L.; Zhang, X.; Yin, L. Quantitative analysis of the effects of spatial scales on intra-urban human mobility. Geomat. Inf. Sci. Wuhan Univ. 2016, 41, 1199–1204. [Google Scholar]
- Jacobs, A. The pathologies of big data. Commun. ACM 2009, 52, 36–44. [Google Scholar] [CrossRef]
- Shenzhen Statistical Yearbook 2012. Available online: http://www.sztj.gov.cn/nj2012/indexeh.htm (accessed on 12 September 2016).
- Whitepaper of Urban Planning, Land & Resources Commission of Shenzhen Municipality 2015. Available online: http://www.szfdc.gov.cn/xxgk/ghjh/td/201508/t20150813_108651.html (accessed on 3 December 2016).
- Fotheringham, A.S.; O’Kelly, M.E. Spatial Interaction Models: Formulations and Applications; Kluwer Academic Publishers: Boston, MA, USA, 1989. [Google Scholar]
- Lemeshow, S.; Hosmer, D.W. A review of goodness of fit statistics for use in the development of logistic regression models. Am. J. Epidemiol. 1982, 116, 92–106. [Google Scholar]












| User ID | Date | Time | Longitude | Latitude |
|---|---|---|---|---|
| User 1 | 2012/**/** | 05:28:37 | 114. ***** | 22. ***** |
| User 1 | 2012/**/** | 11:07:52 | 114. ***** | 22. ***** |
| User 1 | 2012/**/** | 13:51:12 | 114. ***** | 22. ***** |
| … | … | … | … | … |
| User 2 | 2012/**/** | 02:28:16 | 114. ***** | 22. ***** |
| … | … | … | … | … |
| Time Segments | Total Travel Distance | Movement Entropy | Radius of Gyration | |
|---|---|---|---|---|
| 3 (#2, #14, #20) | Overestimation | 0% | 11.67% | 17.16% |
| Underestimation | 100% | 88.33% | 82.84% | |
| Aggregated uc | 0.86 | 0.49 | 0.48 (within 9 km) | |
| R2 (uc) | 0.291 | 0.943 | 0.901 | |
| 10 (#5, #6, #7, #9, #11, #12, #14, #16, #17, #19) | Overestimation | 0% | 32.79% | 19.42% |
| Underestimation | 100% | 67.21% | 80.58% | |
| Aggregated uc | 0.52 | 0.18 | 0.34 (within 9 km) | |
| R2 (uc) | 0.894 | 0.986 | 0.882 | |
| 23 (except #5) | Overestimation | 0% | 59.28% | 8.94% |
| Underestimation | 100% | 40.72% | 91.06% | |
| Aggregated uc | 0.05 | 0.01 | 0.29 (within 9 km) | |
| R2 (uc) | 0.995 | 0.999 | 0.882 |
© 2017 by the authors; licensee MDPI, Basel, Switzerland. This article is an open access article distributed under the terms and conditions of the Creative Commons Attribution (CC-BY) license (http://creativecommons.org/licenses/by/4.0/).
Share and Cite
Lu, S.; Fang, Z.; Zhang, X.; Shaw, S.-L.; Yin, L.; Zhao, Z.; Yang, X. Understanding the Representativeness of Mobile Phone Location Data in Characterizing Human Mobility Indicators. ISPRS Int. J. Geo-Inf. 2017, 6, 7. https://doi.org/10.3390/ijgi6010007
Lu S, Fang Z, Zhang X, Shaw S-L, Yin L, Zhao Z, Yang X. Understanding the Representativeness of Mobile Phone Location Data in Characterizing Human Mobility Indicators. ISPRS International Journal of Geo-Information. 2017; 6(1):7. https://doi.org/10.3390/ijgi6010007
Chicago/Turabian StyleLu, Shiwei, Zhixiang Fang, Xirui Zhang, Shih-Lung Shaw, Ling Yin, Zhiyuan Zhao, and Xiping Yang. 2017. "Understanding the Representativeness of Mobile Phone Location Data in Characterizing Human Mobility Indicators" ISPRS International Journal of Geo-Information 6, no. 1: 7. https://doi.org/10.3390/ijgi6010007
APA StyleLu, S., Fang, Z., Zhang, X., Shaw, S.-L., Yin, L., Zhao, Z., & Yang, X. (2017). Understanding the Representativeness of Mobile Phone Location Data in Characterizing Human Mobility Indicators. ISPRS International Journal of Geo-Information, 6(1), 7. https://doi.org/10.3390/ijgi6010007

