Next Article in Journal
Cross-Attention-Guided Feature Alignment Network for Road Crack Detection
Previous Article in Journal
Assessing the Hazard Degree of Wadi Malham Basin in Saudi Arabia and Its Impact on North Train Railway Infrastructure
 
 
Font Type:
Arial Georgia Verdana
Font Size:
Aa Aa Aa
Line Spacing:
Column Width:
Background:
Article

A Wandering Detection Method Based on Processing GPS Trajectories Using the Wavelet Packet Decomposition Transform for People with Cognitive Impairment

by
Naghmeh Jafarpournaser
1,
Mahmoud Reza Delavar
2,* and
Maryam Noroozian
3
1
Department of GIS, School of Surveying and Geospatial Engineering, College of Engineering, University of Tehran, Tehran 14399-57131, Iran
2
Center of Excellence in Geomatic Engineering in Disaster Management and Land Administration in Smart City Lab., School of Surveying and Geospatial Engineering, College of Engineering, University of Tehran, Tehran 14399-57131, Iran
3
Department of Neuropsychiatry and Cognitive Neurology, Roozbeh Hospital, Tehran University of Medical Sciences, South Kargar Avenue, Tehran 13337-95914, Iran
*
Author to whom correspondence should be addressed.
ISPRS Int. J. Geo-Inf. 2023, 12(9), 379; https://doi.org/10.3390/ijgi12090379
Submission received: 24 June 2023 / Revised: 10 September 2023 / Accepted: 15 September 2023 / Published: 17 September 2023

Abstract

:
The increasing prevalence of cognitive disorders among the elderly is a significant consequence of the global aging phenomenon. Wandering stands out as the most prominent and challenging symptom in these patients, with potential irreversible consequences such as loss or even death. Thus, harnessing technological advancements to mitigate caregiving burdens and disease-related repercussions becomes paramount. Numerous studies have developed algorithms and smart healthcare and telemedicine systems for wandering detection. Broadly, these algorithms fall into two categories: those estimating path complexity and those relying on historical trajectory data. However, motion signal processing methods are rarely employed in this context. This paper proposes a motion-signal-processing-based algorithm utilizing the wavelet packet transform (WPT) with a fourth-order Coiflet mother wavelet. The algorithm identifies wandering patterns solely based on patients’ positional data on the current traversed path and variations in wavelet coefficients within the frequency–time spectrum of motion signals. The model’s independence from prior motion behavior data enhances its compatibility with the pronounced instability often seen in these patients. A performance assessment of the proposed algorithm using the Geolife open-source dataset achieved accuracy, precision, specificity, recall, and F-score metrics of 83.06%, 92.62%, 83.06%, 83.06%, and 87.58%, respectively. Timely wandering detection not only prevents irreversible consequences but also serves as a potential indicator of progression to severe Alzheimer’s in patients with mild cognitive impairment, enabling timely interventions for preventing disease progression. This underscores the importance of advancing wandering detection algorithms.

1. Introduction

In the last few decades, the increase in the growth rate of the world’s elderly population has become a serious public health concern [1]. At the same time, age-related diseases are challenges that require innovative solutions to maintain the quality of life of affected people and their caregivers [2]. Alzheimer’s disease (AD) is the fifth leading cause of death among people over 65 years of age, which is associated with irreparable mental and physical consequences for patients and their families [3]. In 2019, the population over 65 in the world was 702.9 million people, and out of that 50 million people were suffering from dementia. It is estimated that in 2050 these statistics will increase to 1548.9 million and 150 million, respectively [4]. In Iran, the population of elderly people is increasing exponentially, so that according to predictions, in 2050, it will constitute 30 million people of the country’s population, of which 2.4 million people will suffer from dementia [5].
Wandering is one of the first most progressive and most challenging symptoms of AD: 6 in 10 patients with AD suffer from wandering [6,7]. With the progress of the disease and the loss of spatial and temporal memory, wandering causes irreparable damages such as mental distress for the patient and his/her caregivers and relatives, getting lost, running away, severe physical injuries, accidents, and even death [8,9]. Therefore, wandering detection and helping in emergency situations by caregivers to prevent the occurrence of irreparable accidents is one of the most important challenges for patients, their families, and their caregivers [10].
Location-based technologies are trying to develop new support systems to maintain the quality of life of people living with cognitive impairment and physical disabilities. Therefore, taking advantage of technological advances can reduce the negative effects of incurable diseases such as AD [11]. In recent years, smart healthcare and telemedicine systems have worked well as support technologies in the field of establishing communication between medical and care service providers and patients by using information and wireless communication technologies such as Geospatial Information Systems (GISs) and sensors [12]. Many studies have focused on improving the diagnosis, care, and treatment of various diseases through the development of algorithms and intelligent remote care systems for patients with cognitive impairment and AD, some of which are seeking to provide new methods of wandering management.
In general, the common techniques for wandering detection in previous research can be divided into the following three general categories [13]:
I.
Event monitoring:
In this technique, the sequence of events is used to identify wandering behaviors. Usually, information is collected using a network of sensors. Opening and closing of doors and movement of the patient inside the rooms are examples of events in this technique.
II.
Trajectory tracking:
This technique is developed based on the identification of wandering movement patterns introduced by Martino-Saltzman in 1991 [14]. He showed that wandering often appears with three types of patterns in the movement of the patient (Figure 1):
  • Random: moving along a random path with consecutive and unusual direction changes.
  • Lapping: continuous rotating movement in the form of closed loops with at least three consecutive turns.
  • Pacing: continuous back-and-forth movement between two repetitive positions.
Among the above-mentioned wandering patterns, lapping and pacing are known as the most common wandering patterns.
III.
Localization combined with the geofence-based technique:
In this technique, by using the person’s locational data and defining the safe and risk zones, wandering behaviors are identified based on the patient’s entry into the risk zones or exiting from the safe zones. These zones can be defined dynamically or based on local properties of predefined ranges of boundaries.
Depending on whether the person has wandered in or out of the home or care facility, the technique will be different. Due to the dangerous consequences of wandering in an outdoor environment, such as getting lost and accidents, wandering detection in an outdoor environment is more important [8,10]. In outdoor scenarios, a patient’s locational data play the main role in the management of wandering. Collecting these data is one of the most important challenges in the development of algorithms and smart healthcare and telemedicine systems for patients with cognitive impairment, which is often performed using technologies such as the Global Navigation Satellite System (GNSS), Global Positioning System (GPS), and Geospatial Information System (GIS) [15].
The proposed algorithms in this field in previous studies are generally divided into two groups including algorithms based on path complexity estimation and algorithms based on the history of the patient’s movement paths. In the former group, it is assumed that the complexity of the patient’s movement path increases with the occurrence of wandering [16]. In these algorithms, parameters such as fractal dimension [16], the travel time between two points [17], and sharp changes in vector angles [18,19] are used to estimate the complexity of the paths. In one study, a model based on graph theory was developed to detect wandering by calculating the number of nodes and short loops in sub-graphs with algorithms such as Schwarcfiter and Lauer (JGraph from Java Library), the Java Matrix Package (JAMA), and the proximity matrix of trajectory nodes [20,21]. Another algorithm from this group was developed based on using a grid network and centrality measures of the nodes, as well as estimating the path efficiency [22,23], sub-path intersections, number of consecutive loops in the path, and the area enclosed within the loops [24].
The second category of algorithms typically extract features from the history of the patient’s mobility behavior, and the wandering detection is based on the changes in these features. Various techniques have been employed to develop algorithms in this field. One such approach involves using minimum boundary boxes to determine the weight of the patient’s trajectory based on the overlap of boxes. Wandering can be detected by analyzing changes in the weight of the trajectories [25]. Another approach utilizes an Adaptive Confidence Estimation Predictor to forecast the patient’s next location based on prior movements [26]. Machine learning algorithms, such as naïve Bayes, multi-layer perceptron, bagging, support vector machine (SVM), K-nearest neighbor (KNN), logistic regression (LR), pruned decision tree, and tree-based deterministic algorithms (e.g., random forest), have also been applied to detect wandering [17,23,27,28,29,30]. These algorithms are trained on a patient’s movement data and can accurately identify the occurrence of wandering.
Furthermore, some methods of this group involve analyzing changes in inertial sensor data, such as from accelerometers and magnetometers, for wandering detection [31,32,33]. Additionally, another algorithm detects wandering based on defining safe zones and implementing data mining [34]. Another promising method involves using wireless physiological sensors and wearable biosensors, including heart rate and blood pressure sensors, accelerometers, and gyroscopes, in conjunction with trajectory tracking techniques and machine learning algorithms such as deterministic tree-based algorithms to detect the occurrence of emotional arousal in the patient while wandering [35,36]. The use of advanced technologies such as the internet of things (IOT), Long-Short Term Memory (LSTM), neural networks, and the Gray model have also contributed to the accurate detection of wandering in another study of this group [37,38]. Furthermore, in [39], two time series processing techniques, the autocorrelation function and the partial autocorrelation function, used in conjunction with machine learning algorithms, were used to classify wandering patterns. Other studies from this group involve proposing techniques for wandering detection based on an LSTM-based deep classification method using off-the-shelf Wi-Fi devices [40], determining frequent locations between which movements occur by transforming GPS data into geohash sequences [41], and integrating a convolutional neural network (CNN) into the IoT architecture [42].
In [43], a pedestrian dead reckoning (PDR) method was proposed for tracking patients’ movement behaviors and walking pattern recognition using multi-head convolutional neural networks and the integration of IOT technology and ubiquitous location-based services. The advantage of this study lies in its capacity to operate independently, without reliance on external devices or historical training data. Furthermore, Ref. [44] has proposed an application called “WanDa” for monitoring people with neurodegenerative diseases and preventing wandering in real time, which guides them to a safe place and alerts caregivers or relatives in outdoor scenarios. Another recent study by this research group has focused on the development of location detection algorithms to identify wandering patterns based on frequency of visit, navigation, geofences, and movement patterns. The evaluation of these algorithms has shown that geofences offer the most effective solution for accurately detecting the locations of patients [45].
A number of applications have also been developed for wandering detection in patients with cognitive impairment, such as SingTRACeX [46], the position tracking system called NEMO with a combination of the LoRa protocol of communication [47], geofencing and adaptive GPS duty cycling strategies [48], and the SafeMove system based on a space–time convolutional neural network to identify and predict abnormal behaviors of elderly people [49].
Overall, all of the approaches mentioned above offer promising avenues for detecting wandering in healthcare settings, but they have some limitations. The history-based algorithms typically require a large database of movement data to be collected before the system can be activated. The algorithm relies on the history of the patient’s past mobility behaviors recorded in the database, and any new mobility behavior that deviates from the recorded data due to cognitive function weakening or spatio-temporal memory instability of the patient with Alzheimer’s disease can disrupt the system’s performance. Moreover, some algorithms require more information than just the patient’s location, such as sensor data and map information. While these additional data may improve the detection of wandering, it may also lead to problems such as loss of quick access to information, longer processing time, and increased data volume. Therefore, the main objective of this research is to develop a simple and efficient algorithm that can accurately and rapidly detect wandering using minimal information for any new path that the patient takes.
According to the previous research, the neural structures associated with spatial navigation in the human brain have significant overlap with regions affected by AD and dementia [50]. Therefore, the most prominent signs of cognitive impairment and wandering are observable in an individual’s motion signals. However, it seems that processing these signals could provide a pathway for extracting wandering-related features. There are several techniques available for processing non-stationary signals like motion signals. In our previous study [51], we developed an algorithm based on motion signal processing with the short-time Fourier transformation (STFT) to detect intervals of wandering using the variations in the frequency components of the signals. This approach has demonstrated acceptable performance of motion signal processing in detecting wandering. Nevertheless, given the manifestation of these features in motion signals, there exists the possibility of exploring the most suitable signal processing technique for more precise and expedited detection of wandering.
Here, a novel algorithm is proposed based on motion signal processing with wavelet packet decomposition transformation (WPD) for wandering detection in patients with cognitive impairment and Alzheimer’s disease. This method assumes access to the patient’s location data via GPS-enabled devices, and that their wandering behavior follows the most common patterns introduced by Martino-Saltzman [14], namely lapping and pacing. Variations in the signal spectrum at different scales and in the frequency–time domain during wandering and normal trajectories were studied using real trajectories from the Geolife open-source dataset. Then wandering features were extracted by analyzing the changes in the wavelet coefficients of the sub-signals during wandering. Finally, the proposed algorithm was evaluated and compared to existing methods. Figure 2 depicts the flowchart of the proposed algorithm, illustrating the step-by-step operation of the wandering detection model. The rest of this paper is organized as follows. Section 2 introduces materials and methods, i.e., the wavelet transform. In Section 3, a case study is used to illustrate the application of the proposed method. Section 4 incorporates the results, including the evaluation metrics. Finally, the conclusions and future directions are presented in Section 5.

2. Materials and Methods

Based on prior research, a significant hallmark of wandering in patients with cognitive impairments is the disruption in spatial and temporal orientation [50]. Consequently, analyzing their motion behavior can yield valuable insights for devising strategies to improve their quality of life and provide assistance in emergency situations. Signal processing is the science of obtaining additional information contained in the signal by applying a mathematical transformation that is unavailable in the raw signal [52]. Therefore, processing the movement signals of the patients with Alzheimer’s disease can provide useful information to extract patterns from their mobility behaviors [39]. However, one of the most significant challenges in signal processing is selecting the appropriate mathematical transformation based on the signal properties and the desired features to be extracted [53]. Therefore, careful consideration of the signal properties and studying the characteristics of mathematical functions of signal processing are essential in selecting the best approach to extract the required information [53].
From a signal processing perspective, human movement data can be viewed as a signal with three dimensions, X, Y, and time (t), which can be plotted in a three-dimensional and orthogonal space of XYt. Motion signals are inherently non-stationary because their characteristics, such as frequency, amplitude, and phase, undergo constant changes over time as the movement progresses [54]. Therefore, selecting a mathematical transformation that is compatible with the non-stationary nature of these signals is crucial, particularly when it comes to wandering detection. This is because detecting wandering requires capturing all changes in frequency components, which can only be accomplished through appropriate signal processing techniques.
The wavelet transform is an exceptionally powerful tool for measuring the frequency–time content of non-stationary signals, making it a well-suited choice for capturing signal variations in both time and frequency domains simultaneously [55]. Moreover, the wavelet transform is particularly adept at identifying transient features, which are frequently encountered during wandering [56]. It also enables the multi-resolution analysis of signals, allowing for a detailed examination of the signal’s behavior across different scales [55,57]. On the other hand, one of the most significant attributes of the wavelet transform is its resilience against noise and artifacts, which can be common in motion signals [58].

2.1. Wavelet Transform

Wavelet transformation is a mathematical tool that decomposes a signal into its constituent frequency components, enabling the accurate analysis of the signal’s characteristics over time through pointwise multiplication of the signal and the wavelet function [59]. Wavelet transformation’s high accuracy and precise mathematical foundation make it one of the most powerful tools in sensitive and critical areas of signal processing [59]. The wavelet transform of the function x(t), (wt(s,τ)) is defined using Equation (1) [60,61,62]:
w t s , τ = 1 s x ( t ) ψ * ( t τ s ) d t
where s is the scale factor of the wavelet, τ is the wavelet shift, t is the time, ψ is the mother wavelet function, and * denotes the complex conjugate. The wavelet transform is a powerful signal processing tool that offers high resolution in both the frequency and time domains [60,61]. It can accurately determine the frequencies present in a signal and their occurrence times through various wavelet transforms, such as the continuous wavelet transform (CWT), the discrete wavelet transform (DWT), the fast wavelet transform (FWT), wavelet packet decomposition (WPD), and the stationary wavelet transform (SWT) [63].
In this study, due to the discrete structure of the locational data, the discrete wavelet transform (DWT) (Figure 3) was utilized for analysis. The DWT has become increasingly popular in recent years due to its ability to analyze non-stationary signals, such as motion data [64]. It decomposes a signal into a series of sets, each representing the signal’s evolution in a corresponding frequency band, as described by wavelet coefficients [65]. This approach makes the DWT well suited for analyzing signals with varying frequencies over time [64].
The DWT involves filtering the signal to be analyzed through a sequence of low-pass (LP) and high-pass (HP) filters with varying cutoff frequencies at different scales, resulting in a filter bank that decomposes the signal into different sub-bands [66]. The lower frequency sub-bands provide good frequency resolution but have coarser time resolution compared to the higher-frequency sub-bands [66].
The output of the high-pass filter corresponds to the high-frequency details of the signal, represented by the detail coefficients. In contrast, the output of the low-pass filter contains low-frequency information and the identity characteristics of the signal, represented by the approximation coefficients [66]. These coefficients follow the original shape of the signal, enabling the reconstruction of the original signal with minimal loss of information [66].
One of the limitations of the DWT is that it ignores the high-frequency details of the signal or the part that passes through the high-pass filter in each step, as represented by the detail coefficients in Figure 3 [63]. However, in applications such as wandering pattern detection, all details of the motion signals are important. To address this issue, the wavelet packet decomposition (WPD) method has been developed, as shown in Figure 4. In WPD, the detail part is also decomposed into smaller sub-bands using filters, allowing for a more detailed analysis of the high-frequency components of the signal [67]. The number of WPD levels depends on the frequency characteristics of the signal being analyzed, as shown in Figure 5 [68].
Wavelet transformation is a method of extracting frequency and time information from a signal by measuring the similarity between the signal’s frequency content and a wavelet function at different scales [59]. The mother wavelets used in this transformation include Haar, Daubechies, Symlet, Coiflet, Gaussian, Morlet, Biorthogonal, Mexican hat, and Shannon wavelets [71]. Each of these wavelets is best suited for specific applications in signal processing, as they have different shapes, compressions, and smoothness levels (Figure 6) [72]. Wavelets also have subgroups based on the number of vanishing moments and the level of decomposition [59]. As the number of vanishing moments increases, the wavelet’s degree of approximation and smoothness also increase. Additionally, increasing the decomposition level leads to an increase in the number of samples used to express the wavelet [59].
The proper selection of an appropriate wavelet function with the number of vanishing moments and level of decomposition is a crucial aspect in wavelet signal processing [59]. The selection of the mother wavelet function is performed based on the type of time series and the specific features to be extracted from the signal using quantitative and qualitative methods [74]. In the qualitative method, the best mother wavelet function is selected based on its ability to fit the geometric shape of the time series curve, resulting in good mapping [74]. On the other hand, the quantitative method involves separating orthogonal wave functions that can be reconstructed from their decomposition coefficients. Then, the correlation of the mother wavelet functions with the processed signal is analyzed to identify the optimal wavelet function [74].

2.2. Evaluation Metrics

Evaluating the performance of an algorithm is a crucial aspect of research. In this study, several metrics have been utilized to evaluate the performance of the developed algorithm, including overall accuracy, precision, specificity, sensitivity (recall), and F-score. The overall accuracy quantifies the algorithm’s ability to correctly classify instances across all classes, providing an overarching measure of its general performance. Precision, specificity, and sensitivity (recall) metrics delve deeper into specific aspects of classification. Precision assesses the algorithm’s ability to minimize false-positive errors, specificity evaluates its capacity to correctly identify negative instances, and sensitivity (recall) gauges its effectiveness in capturing positive instances. The F-score is a harmonic mean of precision and sensitivity, offering a unified performance measure that is robust to imbalanced data. These metrics were calculated based on Equations (2)–(6), as described in [75].
a c c u r a c y = T P + T N P + N
p r e c i s i o n = T P T P + F P
s p e c i f i c i t y = T N N
r e c a l l = T P P
F s c o r e = 2 p r e c i s i o n r e c a l l p r e c i s i o n + r e c a l l
The terms TP, TN, FP, FN, P, and N are used to refer to the number of true-positive, true-negative, false-positive, false-negative, positive, and negative samples, respectively. True positives are the cases where the model correctly predicted the positive class. True negatives are the cases where the model correctly predicted the negative class. However, false negatives are the cases where the model predicted the negative class, but the actual class is positive, and false positives are the cases where the model predicted the positive class, but the actual class is negative. Furthermore, positives and negatives indicate the total number of positive and negative cases, respectively. These terms are often used to construct a confusion matrix, which is a tabular representation of the model’s predictions against the actual truth. These terms are represented in the confusion matrix illustrated in Table 1.
Overall, the evaluation metrics utilized in this study provide a comprehensive assessment of the developed algorithm’s performance. The obtained results will be crucial in determining the effectiveness of the algorithm and its potential for real-world applications.

3. Implementation and Case Study

In this study, the modeling and evaluation of the wandering detection algorithm were conducted with the trajectory tracking method and movement data of the patients. However, the difficulty in obtaining real-world data from patients, due to privacy concerns and legal restrictions, posed a significant challenge. To overcome this issue, the Geolife (https://www.microsoft.com/en-us/research/publication/geolife-gps-trajectory-dataset-user-guide/ (accessed on 10 September 2023)) open-source dataset [76,77,78] was utilized, which was provided by Microsoft Research Asia over a period of five years (April 2007–August 2012) with a sampling rate of 1–5 s. The dataset covers over 30 cities in China, as well as some cities in the United States and Europe, and has been used extensively in mobility pattern mining research, such as wandering pattern detection. This dataset includes spatial–temporal information for 182 individuals, with each data file containing details about an individual’s geographic coordinates at distinct dates and times (as depicted in Table 2).
The Geolife open-source dataset contains a total of 69 files with an attached file containing individual transportation mode information (walking, cycling, bus, car, subway, train, plane, boat, running, and motorcycle). Table 3 displays a segment of the data contained in the attached file, illustrating an individual’s transportation mode data. Each row corresponds to a specific date and time interval. The “Transportation Mode” column indicates the mode of transportation associated with the individual’s recorded location information during each recorded instance. As the focus of this study was to identify wandering patterns of patients, the data labeled as “walking” were extracted for each individual, and evaluations were performed on this subset of the dataset.
The first step in the modeling phase was to pre-process the dataset. It was crucial to ensure that the overall shape of the raw data’s movement path remained unaltered, regardless of any samples added or removed. The first pre-processing phase involved segmenting the trajectories into episodes, each comprising both locomotion and non-locomotion phases. Each locomotion phase consisted of a sequential set of spatio-temporal data. A criterion of over 60 s between two consecutive data points was considered, allowing to distinguish between the locomotion and non-locomotion phases in each trajectory [79].
The precision of spatio-temporal data can be compromised by sensor noise and environmental factors, resulting in some deviant points when plotted as trajectories over a time series. To improve the accuracy of wandering detection and eliminate the impact of these outliers, the second stage of data pre-processing involved eliminating them from the data list. The approach involved using the significant changes in instantaneous velocity of the patient in each position as an index to identify erroneous points [79]. Initially, a moving window with a size of five points was selected, and for each point, two points before and after were included in the window. Subsequently, if the instantaneous velocity at any point exceeded the threshold limit value (four times the average instantaneous velocity of the points in the window, excluding the point itself), that point was recognized as an outlier and removed from the data list. Figure 7 provides an example of a corrected path after the removal of the outliers.
In order to ensure uniformity and enhance the accuracy of the analysis and modeling process, it was essential to address the variable sample rates present in the Geolife dataset, ranging from 1 to 5 s. Therefore, as a subsequent step in the pre-processing phase, the sample rates within each segment were adjusted through sample rate conversion using the upsampling method. This conversion procedure served to increase the sample rate to a consistent one sample per second throughout the dataset using interpolation. By harmonizing the sample rates, the data were standardized, facilitating a more precise and reliable analysis during subsequent stages of the research.
According to the research conducted by Martino-Saltzman [14], it has been identified that lapping and pacing are the most prevalent wandering patterns. Lapping is characterized by successive rotational movements, while pacing involves continuous back and forth motion between two points or positions (Figure 1). To ensure an accurate motion signal analysis and enable the identification of specific wandering features, a comprehensive set of motion paths was plotted and meticulously examined. Data files that encompass a significant volume of trajectories, wherein movement paths showcasing visual patterns reminiscent of wandering (lapping and pacing) are evident, were identified as abnormal trajectories and partitioned for the modeling and assessment of the proposed algorithm.
In order to ensure that the mobility behavior during each separated trajectory is unintentional, a thorough analysis was conducted on abnormal trajectories. Specifically, the average speed of movement was considered as a criterion to distinguish intentional from unintentional mobility. Given that cognitive impairment primarily affects the elderly population, it is crucial to ensure that the speed of movement during wandering does not significantly deviate from the average walking speed of older individuals. Any substantial deviation would indicate intentional movement similar to wandering rather than wandering itself.
To further validate the unintentionality of the wandering behavior, an analysis of the trajectory was performed by visualizing it on the global map provided by OpenStreetMap (OSM) (https://www.openstreetmap.org (accessed on 10 September 2023)), considering the person’s surrounding environment. Out of the available 69 data files, which included corresponding transportation label files, a subset of 10 data files was carefully chosen based on their validity under the aforementioned conditions for algorithm modeling and evaluation purposes.
In order to analyze signal properties during wandering by applying WPD, after following the required pre-processing steps, in the first place, motion signals were transferred from the three-dimensional XYt space to two orthogonal two-dimensional spaces, Xt and Yt. This transformation facilitates a more streamlined and effective analysis and processing of the motion signals. When implementing the wavelet transform, the selection of an appropriate mother wavelet function becomes crucial. Factors such as the desired number of vanishing moments and the desired decomposition level need to be meticulously taken into account in order to determine the optimal wavelet function. The wavelet function assumes a significant role in quantifying the similarity between the signal spectrum and the wavelet function across different scales. By carefully selecting the most suitable wavelet function, the algorithm can accurately capture and examine the motion patterns across diverse scales, thereby enabling efficient processing of the motion signals.
In this study, the selection of the most appropriate mother wavelet function and the application of wavelet packet decomposition (WPD) for extracting wandering features from motion signals were carried out using coding and the Wavelet Toolbox in the MATLAB software. It provides a comprehensive library of wavelet functions, allowing to choose from a variety of wavelet bases suitable for the specific signal processing task. By examining the behavior and characteristics of the motion signals under study, as well as the desired features for extraction, and through qualitative testing of various mother wavelets with different orders and levels of decomposition, the fourth-order Coiflet wavelet function was determined to be the most suitable choice.
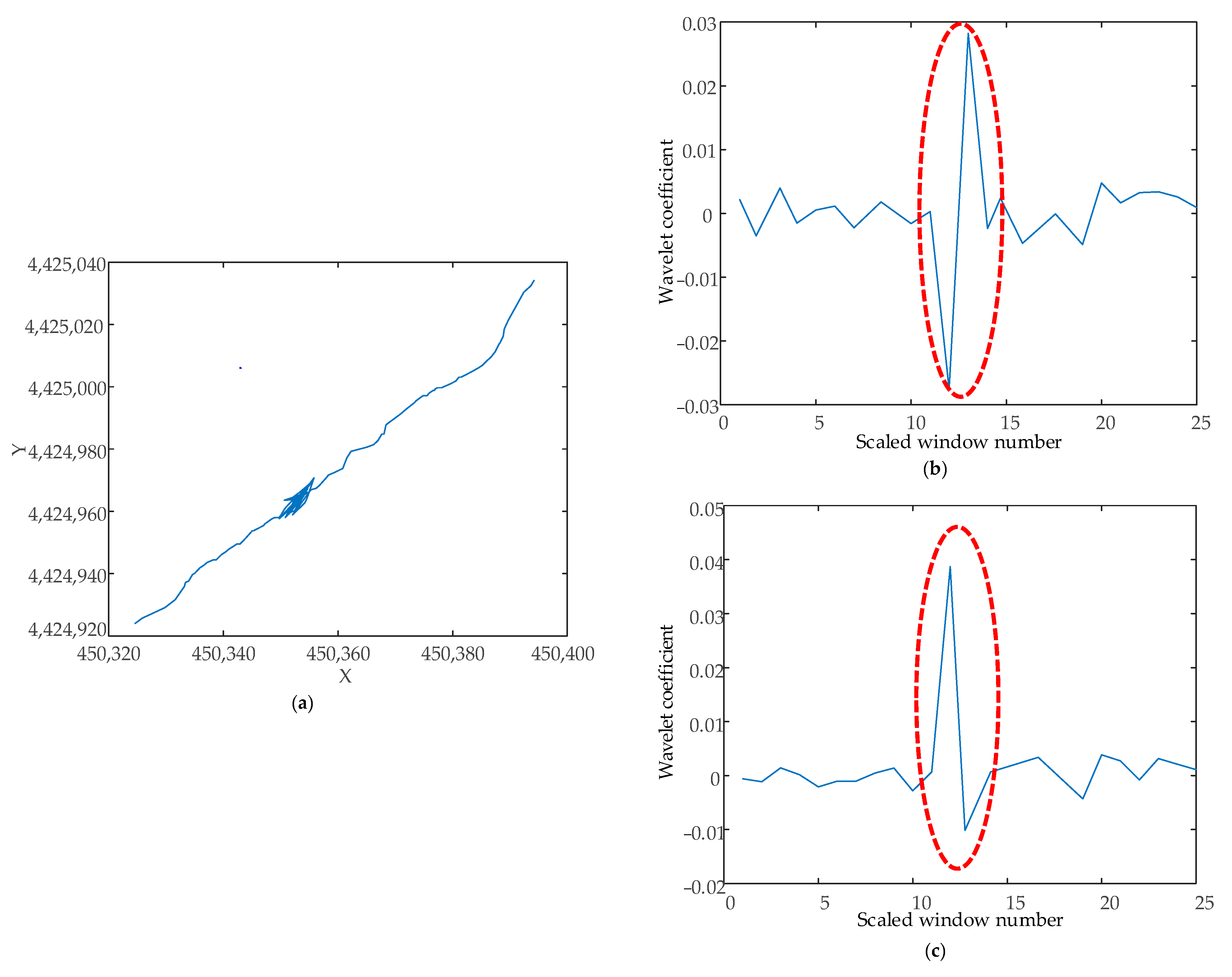
Once the mother wavelet function was selected, WPD was applied to the signal. WPD decomposed the motion signal into its constituent frequency components across different time scales. The decomposed signal was divided into sub-bands, each representing a specific range of frequencies. It provided a time–frequency representation of the motion signal, enabling the visualization of how different frequency components evolve over time. By analyzing the variations in the wavelet coefficients of various sub-bands obtained from the decomposition during wandering and normal motion, wandering features of the motion signal were extracted. Figure 8 and Figure 9 depict two examples of real trajectory data exhibiting wandering patterns from the Geolife dataset, along with the results of applying WPD.
In Figure 8a, the observed trajectory depicts a transition from a normal walking path to a pacing pattern associated with wandering behavior. An examination of the wavelet coefficients of sub-signals obtained through WPD reveals interesting insights. During the normal walking phase, the wavelet coefficients of the sub-signal in both Xt and Yt exhibit insignificance, oscillating around zero with a small amplitude. However, as the individual enters the wandering phase, significant fluctuations occur, leading to prominent high and low points in the wavelet coefficients (Figure 8b,c).
Similarly, Figure 9a illustrates a scenario where the person initially follows a normal path, then deviates into a lapping wandering pattern, and eventually returns to their normal path. During the normal path segment, the wavelet coefficients of the sub-signal in both Xt and Yt exhibit insignificance, fluctuating around zero with a smaller amplitude. However, when wandering occurs, the wavelet coefficients of the sub-signal experience pronounced fluctuations, characterized by distinct peaks and troughs. Eventually, as the person resumes their normal path, the wavelet coefficients fluctuate around zero, with a smaller amplitude (Figure 9b,c).
The outcomes obtained from the application of WPD on various motion signals revealed that when a person exhibits movement patterns resembling wandering, such as circular or back-and-forth motions, distinct changes occur in the wavelet coefficients of sub-signals, and they experience a dramatic fluctuation with peak and trough. These variations were considered as crucial indicators for identifying the onset of wandering using the algorithm. Given that changes in wavelet coefficients of the sub-signal appear at the onset of wandering, to ensure that these changes were not due to intentional and random movement, a wandering index was devised by considering the cumulative sum of the wavelet coefficients during the last 10 s of the motion. If this index experiences a significant increase, it signifies the initiation of wandering.
The proposed algorithm for wandering detection operates as follows: upon receiving a motion signal, it initially undergoes pre-processing steps encompassing episode segmentation, data cleaning, and sample rate conversion. Subsequently, the pre-processed signal undergoes processing through wavelet packet decomposition. WPD decomposes the motion signal into various sub-signals at multiple scales by recursively applying high-pass and low-pass filters to capture different frequency components. Then, it monitors the wavelet coefficients’ changes across different decomposition levels and sub-bands. If the coefficients of the sub-signal undergo significant changes according to the predetermined threshold, characterized by peaks and troughs, the algorithm detects the initiation of wandering.
An efficiency analysis was undertaken to assess the performance of the proposed algorithm, focusing on the evaluation of time complexity across each distinctive stage. The algorithm’s workflow is bifurcated into two fundamental steps: pre-processing and processing of motion signals. In the pre-processing phase, encompassing tasks such as episode segmentation, data cleaning, and sample rate conversion, the computational complexity for each of these operations adheres to a time complexity of O(n), where “n” symbolizes the number of samples within the signal. This signifies that the processing time scales linearly with the volume of data. Furthermore, the subsequent processing phase involves the application of wavelet packet decomposition. The computational complexity linked with this phase aligns with a time complexity of O(2n), with “n” signifying the number of decomposition levels. The exponential nature of this complexity indicates that the processing time increases significantly with higher levels of signal decomposition. The overarching computational complexity emerges as O(2n), primarily influenced by the wavelet packet decomposition stage. This comprehensive efficiency analysis underscores the intricate interplay of the algorithm’s stages, emphasizing their computational demands and revealing the core factors governing their execution times.

4. Results and Discussion

The evaluation of the proposed algorithm is a crucial aspect of any research study, as it provides valuable insights into its success and effectiveness. In this article, several performance evaluation measures were employed to assess the algorithm’s performance, including accuracy, precision, specificity, recall, and F-score [75]. These measures collectively validate the algorithm’s efficacy in accurately detecting wandering behaviors within the tested dataset and distinguishing between normal movement paths and those exhibiting wandering patterns. To evaluate the algorithm, a total of 3702 motion signals from 10 individuals in the Geolife open-source dataset were selected as test data. These signals were subjected to pre-processing and divided into two categories: 2663 normal movement paths and 1039 movement signals exhibiting wandering patterns.
Subsequently, the performance of the proposed algorithm in accurately classifying the test signals was meticulously analyzed by examining the changes in the sum of wavelet coefficients obtained through the application of WPD using the fourth-order Coiflet mother wavelet. The overall performance evaluation measures of the algorithm, calculated based on the contingency table data (Table 4), are reported in Table 5.
The proposed algorithm exhibited an accuracy rate of 83.063%, signifying its proficiency in accurately classifying various motion paths. Notably, the specificity and recall values were measured at 83.060% and 83.062%, respectively, underscoring the algorithm’s consistent performance in correctly identifying normal and wandering paths. Moreover, the algorithm’s high level of precision (92.629%) indicates its ability to discern between different types of movement paths with minimal instances of incorrect classification by the algorithm.
The analysis of wavelet coefficients resulting from the application of WPD with the Coiflet mother wavelet function on the investigated motion signals revealed distinctive patterns. During normal motion, the calculated coefficients exhibited insignificance, fluctuating around zero with a smaller amplitude in either the Xt or Yt dimension, or both dimensions. However, as wandering commenced, these coefficients underwent pronounced fluctuations, characterized by peaks and troughs. This discernible behavior serves as a reliable indicator for detecting the initiation of wandering, particularly in lapping and pacing patterns. The findings attest to the efficacy of the proposed algorithm in accurately identifying the onset of wandering behaviors based on the observed changes in wavelet coefficients. Consistent with these findings, Figure 10 visually demonstrates the outcomes of applying WPD to an additional set of real motion signals, further substantiating the claim.
To assess the impact of the pre-processing stage on the performance of the proposed wandering detection algorithm, an ablation study was conducted by selectively mitigating the data cleaning stage. This ablation scenario aimed to evaluate the significance of outlier removal in enhancing the algorithm’s robustness and accuracy in detecting wandering behaviors. The results of this study, which are reported in Table 6 and Table 7, provide insights into the pivotal role of outlier removal in the algorithm’s overall performance. As bolded in Table 7, the analysis of the elements within the confusion matrix and evaluation metrics demonstrates that the omission of the data cleaning stage has led to a decrease in overall accuracy, precision, recall, and F-score, while specificity has shown an increase. This implies that the presence of noise in the data significantly affects the algorithm’s overall performance in correctly identifying the type of motion signals (accuracy and F-score have markedly decreased). Furthermore, this omission has resulted in the algorithm incorrectly identifying a considerable number of normal motion signals as having wandering patterns (recall has undergone a noticeable decline). Consequently, the absence of this stage has somewhat mitigated the occurrence where signals with genuine wandering patterns were erroneously categorized as normal motion signals (specificity has slightly increased).
Due to the progressive deterioration in spatio-temporal memory, individuals affected by Alzheimer’s disease and dementia commonly exhibit heightened instability in their daily motion behaviors. Consequently, algorithms need to accurately identify wandering based on their current motion behavior without being compromised by their previous behaviors. This ensures that the algorithm’s performance remains unaffected when traversing any new path. Numerous wandering detection algorithms developed in previous studies [17,19,25,26,27,29,32,33,34,35,37,38,39,40,41,42], including machine-learning-based methods and next location prediction algorithms, rely on the patient’s historical motion behaviors. However, there exists a potential disruption in the algorithm’s performance when confronted with new behaviors that contradict the historical patterns.
Furthermore, an ideal wandering detection algorithm should be capable of operating affectively with minimal information, ensuring robust performance even in scenarios where additional data are not accessible. Some previous algorithms rely on additional data, such as historical movement paths, contextual information, maps, and physiological and inertial sensor data. Nevertheless, it is important to acknowledge that although the integration of the aforementioned information with locational information may improve the precision of wandering detection, it can present challenges in cases where sensor performance deficiencies during data collection not only compromise data accuracy but also disrupt the functionality of the algorithm.
The proposed algorithm presented in this study addresses these challenges by detecting wandering solely based on the locational information of the patient through the current trajectory. This is an advantage over previous algorithms, as it allows for real-time detection of wandering behavior without relying on extensive auxiliary data. Furthermore, the strength of the developed algorithm for wandering detection lies in its compatibility with unstable motion behaviors exhibited by cognitively impaired patients. Table 8 discusses the types of sensors utilized in previous studies and the proposed algorithms’ compatibility with the instability in the motion behaviors of the patients. A comparison between them and the algorithm in this study can be made from this perspective.
However, it is important to note that the algorithm only identifies the moment of wandering onset and does not offer insights into the duration of the wandering episode. To mitigate misdiagnosis of any intentional movements resembling wandering patterns as the initiation of wandering, the algorithm utilizes the cumulative sum of wavelet coefficients during the last 10 s of movement as a wandering indicator. While the algorithm demonstrates successful performance in detecting wandering behavior, its efficiency may be compromised if wandering occurs in atypical patterns beyond the common lapping and pacing behaviors.

5. Conclusions and Future Directions

The projected increase in Alzheimer’s disease and dementia cases due to the aging population highlights the importance of addressing symptoms such as wandering. Wandering poses significant risks, including loss and fatality, making its detection crucial in ensuring patient safety. The timely detection of wandering and the provision of assistance in emergency situations play a crucial role in averting irreparable incidents, as previously highlighted. Furthermore, given that the occurrence of wandering serves as a significant biomarker for disease progression in individuals with cognitive impairments, an increase in wandering incidents among those with mild cognitive impairment signifies a progression towards severe Alzheimer’s disease. By accurately identifying wandering behaviors through the precise modeling of mobility patterns, the algorithm proposed here offers a powerful tool for timely interventions and tailored caregiving strategies. The emphasis on leveraging the inherent connection between movement and cognitive states underscores the potential to delay disease progression and enhance the quality of life for affected individuals. This underscores the significance of the wandering detection models and the developed algorithm in this study. Extensive research has shown that the most prominent signs of wandering manifest in the way patients move. This provides an opportunity to extract and model these patterns based on their mobility behaviors to develop robust algorithms and methodologies for the accurate detection and monitoring of wandering episodes.
This study has made contributions to the field of wandering detection by developing a novel algorithm based on the wavelet packet decomposition (WPD) transform for motion signal processing. By analyzing the variations in wavelet coefficients of the sub-signals obtained from the application of WPD with the fourth-order Coiflet mother wavelet function during both wandering and normal trajectories, valuable insights into wandering behaviors were extracted from the frequency–time spectrum of motion signals. This detailed multi-resolution analysis enables the identification and characterization of wandering patterns.
One of the foremost challenges encountered in this research revolved around the unavailability of authentic motion data from individuals afflicted with cognitive impairment and Alzheimer’s disease. Preserving patient privacy, legal restrictions, and the families’ reluctance to participate hindered the collection of real-world patient motion data. Consequently, the proposed algorithm was rigorously evaluated using the Geolife open-source dataset, which has been used for motion pattern mining in previous studies. The obtained results demonstrate the algorithm’s acceptable performance, with accuracy reaching 83.06%, precision achieving 92.62%, specificity measuring 83.06%, recall scoring 83.06%, and an overall F-score of 87.58%. These metrics provide concrete evidence of the signal-processing-based algorithm’s effectiveness in detecting wandering behaviors, thus validating the research hypothesis.
Like our previous study, the proposed algorithm possesses the distinctive advantage of detecting wandering solely based on the patient’s positional information through the current path, rendering additional data unnecessary. This inherent capability renders it highly compatible with the heightened instability often witnessed in the mobility behaviors of elderly individuals afflicted with cognitive impairment, which constitutes a significant strength of this algorithm. On the other hand, one of the most notable advantages of signal processing utilizing WPD in the proposed algorithm is its robustness against artifacts.
A pivotal focus of this study has revolved around the identification of the prevailing wandering patterns, namely lapping and pacing. It is worth mentioning that the algorithm’s performance may be compromised in cases where wandering incidents manifest with movement patterns that significantly diverge from these established patterns. It is essential to emphasize that the proposed algorithm primarily focuses on detecting the initial onset of wandering. Despite our previous research findings, no discernible indications of the wandering period have been observed in the frequency–time spectrum of the motion signal. Consequently, to leverage the reliability of the detection, the variations in the sum of wavelet coefficients during the final 10 s of movement served as the wandering index. The algorithm’s computational complexity, while challenging with O(2n), opens avenues for the optimization and exploration of innovative approaches to enhance its feasibility and real-world applicability.
In light of the research findings presented in this study, there are several promising avenues for future investigations in the field of wandering management and detection in individuals with cognitive impairments. Firstly, the exploration of dynamic adaptation in wavelet packet decomposition, tailoring decomposition levels to match the signal’s nuances, holds potential for optimizing computational resources without compromising accuracy. Complementing this, delving into advanced feature selection and fusion techniques, potentially incorporating machine learning, offers a pathway to enhancing the algorithm’s precision and discriminatory power. Moreover, the concept of hybrid approaches presents an intriguing avenue, where the amalgamation of distinct signal processing methods like Fourier transform and wavelet packet decomposition could lead to an augmented performance. A pragmatic focus on real-time implementation strategies is paramount, enabling the algorithm to seamlessly operate on streaming data from wearable devices and empowering timely interventions. Adding depth to its functionality, the integration of contextual cues, such as environmental context and activity level, promises to enrich the algorithm’s ability to differentiate between wandering and normal movement.

Author Contributions

Conceptualization, Mahmoud Reza Delavar, Maryam Noroozian and Naghmeh Jafarpournaser; methodology, Mahmoud Reza Delavar, Maryam Noroozian and Naghmeh Jafarpournaser; software, Naghmeh Jafarpournaser; validation, Mahmoud Reza Delavar, Maryam Noroozian and Naghmeh Jafarpournaser; formal analysis, Mahmoud Reza Delavar and Naghmeh Jafarpournaser; investigation, Naghmeh Jafarpournaser and Mahmoud Reza Delavar; data curation, Naghmeh Jafarpournaser; writing—original draft preparation, Naghmeh Jafarpournaser and Mahmoud Reza Delavar; writing—review and editing, Mahmoud Reza Delavar, Maryam Noroozian and Naghmeh Jafarpournaser; visualization, Naghmeh Jafarpournaser; supervision, Mahmoud Reza Delavar and Maryam Noroozian. All authors have read and agreed to the published version of the manuscript.

Funding

This research received no external funding.

Data Availability Statement

The Geolife dataset used in this study was obtained from Microsoft Research Asia and is openly available at https://www.microsoft.com/en-us/research/publication/geolife-gps-trajectory-dataset-user-guide/ (accessed on 10 September 2023). OSM data were obtained from OpenStreetMap (https://www.openstreetmap.org/ (accessed on 10 September 2023).

Conflicts of Interest

The authors declare no conflict of interest.

References

  1. United Nations Department of Economic and Social Affairs, Population. World Population Ageing 2020: Highlights; United Nations: New York, NY, USA, 2021. [Google Scholar]
  2. Batista, E.; Casino, F.; Solanas, A. On wandering detection methods in context-aware scenarios. In Proceedings of the 2016 7th International Conference on Information, Intelligence, Systems & Applications (IISA), Chalkidiki, Greece, 13–15 July 2016; pp. 1–6. [Google Scholar]
  3. Baig, M.H.; Ahmad, K.; Rabbani, G.; Choi, I. Use of peptides for the management of Alzheimer’s disease: Diagnosis and inhibition. Front. Aging Neurosci. 2018, 10, 21. [Google Scholar] [CrossRef] [PubMed]
  4. Stavropoulos, T.G.; Papastergiou, A.; Mpaltadoros, L.; Nikolopoulos, S.; Kompatsiaris, I. IoT wearable sensors and devices in elderly care: A literature review. Sensors 2020, 20, 2826. [Google Scholar] [CrossRef] [PubMed]
  5. Noroozian, M.; Chan, K.Y.; Zendehbad, A.; Davoudkhani, M.; on behalf of the Global Dementia Prevention Program (GloDePP). The project of memory clinics in Iran: MCI initiative. J. Glob. Health Rep. 2020, 4, e2020005. [Google Scholar] [CrossRef]
  6. Pasand Mojdeh, H.; Alipour, F.; Borhani Haghighi, M. Alzheimer’s disease: Background, current and future aspects. Neurosci. J. Shefaye Khatam 2016, 4, 70–80. [Google Scholar] [CrossRef]
  7. Wandering. Alzheimer’s Disease and Dementia. Available online: https://www.alz.org/help-support/caregiving/stages-behaviors/wandering (accessed on 10 September 2023).
  8. Alzheimer’s Association. 2019 Alzheimer’s disease facts and figures. Alzheimer’s Dement. 2019, 15, 321–387. [Google Scholar] [CrossRef]
  9. Barnard-Brak, L.; Richman, D.M.; Owen, D.C. Assessing wandering risk among individuals with Alzheimer’s disease and dementia: A pilot study. Psychogeriatrics 2018, 18, 388–392. [Google Scholar] [CrossRef] [PubMed]
  10. Hassan, A.Z.; Khan, A. A survey on wandering behavior management systems for individuals with dementia. Int. J. Adv. Comput. Sci. Appl. 2019, 10, 531–545. [Google Scholar] [CrossRef]
  11. Rashidi, P.; Mihailidis, A. A survey on ambient-assisted living tools for older adults. IEEE J. Biomed. Health Inform. 2012, 17, 579–590. [Google Scholar] [CrossRef]
  12. Bossen, A.L.; Kim, H.; Williams, K.N.; Steinhoff, A.E.; Strieker, M. Emerging roles for telemedicine and smart technologies in dementia care. Smart Homecare Technol. Telehealth 2015, 3, 49–57. [Google Scholar] [CrossRef]
  13. Kamada, S.; Matsuo, Y.; Hara, S.; Abe, M. New monitoring scheme for persons with dementia through monitoring-area adaptation according to stage of disease. In Proceedings of the 1st ACM SIGSPATIAL Workshop on Recommendations for Location-based Services and Social Networks, Redondo Beach, CA, USA, 7–10 November 2017; p. 1. [Google Scholar]
  14. Martino-Saltzman, D.; Blasch, B.B.; Morris, R.D.; McNeal, L.W. Travel Behavior of Nursing Home Residents Perceived as Wanderers and Nonwanderers1. Gerontologist 1991, 31, 666–672. [Google Scholar] [CrossRef]
  15. Firouraghi, N.; Kiani, B.; Jafari, H.T.; Learnihan, V.; Salinas-Perez, J.A.; Raeesi, A.; Furst, M.; Salvador-Carulla, L.; Bagheri, N. The role of geographic information system and global positioning system in dementia care and research: A scoping review. Int. J. Health Geogr. 2022, 21, 8. [Google Scholar] [CrossRef] [PubMed]
  16. Kearns, W.D.; Nams, V.; Fozard, J.L. Tortuosity in movement paths is related to cognitive impairment. Methods Inf. Med. 2010, 49, 592–598. [Google Scholar] [PubMed]
  17. Vuong, N.K.; Chan, S.; Lau, C.T.; Lau, K. Feasibility study of a real-time wandering detection algorithm for dementia patients. In Proceedings of the First ACM MobiHoc Workshop on Pervasive Wireless Healthcare, Paris, France, 16 May 2011; pp. 1–4. [Google Scholar]
  18. Lin, Q.; Zhang, D.; Huang, X.; Ni, H.; Zhou, X. Detecting wandering behavior based on GPS traces for elders with dementia. In Proceedings of the 2012 12th International Conference on Control Automation Robotics & Vision (ICARCV), Guangzhou, China, 5–7 December 2012; pp. 672–677. [Google Scholar]
  19. Liu, T.-Y.; Tan, T.-H.; Huang, Y.-F.; Lin, H.-L.; Ma, S.-C.; Lee, M.-Y.; Liu, S.-H. Development of An POF-based Navigation System for People with Mild Cognitive Impairment Based on Wandering Detection. In Proceedings of the 2019 IEEE International Conference on Systems, Man and Cybernetics (SMC), Bari, Italy, 6–9 October 2019; pp. 2490–2495. [Google Scholar]
  20. Solanas, A.; Batista, E.; Borras, F.; Martínez-Ballesté, A.; Patsakis, C. Wandering analysis with mobile phones: On the relation between randomness and wandering. In Proceedings of the 2015 International Conference on Pervasive and Embedded Computing and Communication Systems (PECCS), Angers, France, 11–13 February 2015; pp. 168–173. [Google Scholar]
  21. Batista, E.; Borras, F.; Casino, F.; Solanas, A. A study on the detection of wandering patterns in human trajectories. In Proceedings of the 2015 6th International Conference on Information, Intelligence, Systems and Applications (IISA), Corfu, Greece, 6–8 July 2015; pp. 1–6. [Google Scholar]
  22. Estrada, E.; Rodriguez-Velazquez, J.A. Subgraph centrality in complex networks. Phys. Rev. E 2005, 71, 056103. [Google Scholar] [CrossRef] [PubMed]
  23. Batista, E.; Casino, F.; Solanas, A. Wandering detection methods in smart cities: Current and new approaches. In Proceedings of the 2015 IEEE First International Smart Cities Conference (ISC2), Guadalajara, Mexico, 25–28 October 2015; pp. 1–2. [Google Scholar]
  24. Kumar, A.; Lau, C.T.; Chan, S.; Ma, M.; Kearns, W.D. A unified grid-based wandering pattern detection algorithm. In Proceedings of the 2016 38th Annual International Conference of the IEEE Engineering in Medicine and Biology Society (EMBC), Orlando, FL, USA, 16–20 August 2016; pp. 5401–5404. [Google Scholar]
  25. Chang, Y.-J. Anomaly detection for travelling individuals with cognitive impairments. ACM SIGACCESS Access. Comput. 2010, 25–32. [Google Scholar] [CrossRef]
  26. Vuong, N.; Chan, S.; Lau, C.; Lau, K. A predictive location-aware algorithm for dementia care. In Proceedings of the 2011 IEEE 15th International Symposium on Consumer Electronics (ISCE), Singapore, 14–17 June 2011; pp. 339–342. [Google Scholar]
  27. Vuong, N.K.; Chan, S.; Lau, C.T. Automated detection of wandering patterns in people with dementia. Gerontechnology 2014, 12, 127–147. [Google Scholar] [CrossRef]
  28. Amrutesh, A.; Bhat, C.G.G.; Amruthamsh, A.; Rani, K.P.A.; Gowrishankar, S. Alzheimer’s Disease Prediction using Machine Learning and Transfer Learning Models. In Proceedings of the 2022 6th International Conference on Computation System and Information Technology for Sustainable Solutions (CSITSS), Bangalore, India, 21–23 December 2022; pp. 1–6. [Google Scholar]
  29. Greiner, C.; Makimoto, K.; Suzuki, M.; Yamakawa, M.; Ashida, N. Feasibility study of the integrated circuit tag monitoring system for dementia residents in Japan. Am. J. Alzheimer’s Dis. Other Dement. 2007, 22, 129–136. [Google Scholar] [CrossRef]
  30. Saha, J.; Chowdhury, C.; Biswas, S. Review of machine learning and deep learning based recommender systems for health informatics. In Deep Learning Techniques for Biomedical and Health Informatics; Springer: Cham, Switzerland, 2020; pp. 101–126. [Google Scholar]
  31. Vuong, N.K.; Chan, S.; Lau, C.T.; Chan, S.Y.W.; Yap, P.L.K.; Chen, A.S. Preliminary results of using inertial sensors to detect dementia-related wandering patterns. In Proceedings of the 2015 37th Annual International Conference of the IEEE Engineering in Medicine and Biology Society (EMBC), Milan, Italy, 25–29 August 2015; pp. 3703–3706. [Google Scholar]
  32. Rodrigues, D.; Luis-Ferreira, F.; Sarraipa, J.; Goncalves, R. Behavioural monitoring of alzheimer patients with smartwatch based system. In Proceedings of the 2018 International Conference on Intelligent Systems (IS), Funchal, Portugal, 25–27 September 2018; pp. 771–775. [Google Scholar]
  33. Rodrigues, D.J.L.F.d.V. Risk Assessment for Alzheimer Patients, using GPS and Accelerometers with a Machine Learning Approach. Doctoral Dissertation, Universidade Nova de Lisboa, Lisbon, Portugal, 2019. [Google Scholar]
  34. Lin, Q.; Liu, X.; Wang, W. GPS trajectories based personalized safe geofence for elders with dementia. In Proceedings of the 2018 IEEE SmartWorld, Ubiquitous Intelligence & Computing, Advanced & Trusted Computing, Scalable Computing & Communications, Cloud & Big Data Computing, Internet of People and Smart City Innovation (SmartWorld/SCALCOM/UIC/ATC/CBDCom/IOP/SCI), Guangzhou, China, 8–12 October 2018; pp. 505–514. [Google Scholar]
  35. Khan, A.; Hassan, A.Z. Framework to predict and identify wandering behavior in individuals with alzheimer’s using physiological and kinect sensors. In Intelligent Systems and Applications: Proceedings of the 2018 Intelligent Systems Conference (IntelliSys) Volume 2; Springer: Cham, Switzerland, 2019; pp. 387–398. [Google Scholar]
  36. Raed, M.W.; Yön, S.; Günes, A.; Kotenko, I.; Fedorchenko, E.; Polubaryeva, A. An RFID Based Localization and Mental Stress Recognition System Using Wearable Sensors. In Proceedings of the 16th International Joint Conference on Biomedical Engineering Systems and Technologies (BIOSTEC 2023), Volume 4: BIOSIGNALS, Lisbon, Portugal, 16–18 February 2023; pp. 325–331. [Google Scholar]
  37. Liu, Y.; Fang, X.; Lu, F.; Chen, X.; Huang, X. Indoor Positioning and Prediction in Smart Elderly Care: Model, System and Applications. In Proceedings of the Algorithms and Architectures for Parallel Processing: 20th International Conference, ICA3PP 2020, New York, NY, USA, 2–4 October 2020; Proceedings, Part III 20. pp. 537–548. [Google Scholar]
  38. Fang, X.; Lu, F.; Chen, X.; Huang, X. Accurate Indoor Positioning Prediction Using the LSTM and Grey Model. In Proceedings of the Web Information Systems Engineering–WISE 2020: 21st International Conference, Amsterdam, The Netherlands, 20–24 October 2020; Proceedings, Part I 21. pp. 357–368. [Google Scholar]
  39. Díaz-Ramírez, A.; Miranda-Vega, J.E.; Ramos-Rivera, D.; Rodríguez, D.A.; Flores-Fuentes, W.; Sergiyenko, O. Time series data processing for classifying wandering patterns in people with dementia. IEEE Sens. J. 2021, 22, 10196–10206. [Google Scholar] [CrossRef]
  40. Lin, Q.; Hao, Y.; Liu, C. Wi-Fi based non-invasive detection of indoor wandering using LSTM model. Front. Comput. Sci. 2021, 15, 156505. [Google Scholar] [CrossRef]
  41. Andersen, N.S.; Chiarandini, M.; Jänicke, S.; Tampakis, P.; Zimek, A. Detecting Wandering Behavior of People with Dementia. In Proceedings of the 2021 International Conference on Data Mining Workshops (ICDMW), Auckland, New Zealand, 7–10 December 2021; pp. 727–733. [Google Scholar]
  42. Oliveira, R.; Feres, R.; Barreto, F.; Abreu, R. CNN for Elderly Wandering Prediction in Indoor Scenarios. SN Comput. Sci. 2022, 3, 230. [Google Scholar] [CrossRef]
  43. Wang, Q.; Luo, H.; Xiong, H.; Men, A.; Zhao, F.; Xia, M.; Ou, C. Pedestrian dead reckoning based on walking pattern recognition and online magnetic fingerprint trajectory calibration. IEEE Internet Things J. 2020, 8, 2011–2026. [Google Scholar] [CrossRef]
  44. De Carolis, B.; Gattulli, V.; Impedovo, D.; Pirlo, G. WanDa: A Mobile Application to Prevent Wandering. In Proceedings of the Italian Workshop on Artificial Life and Evolutionary Computation, Gaeta, Italy, 14–16 September 2022; pp. 232–244. [Google Scholar]
  45. Arora, P.; Deswal, S. Location Tracking Mechanisms for Dementia Patients. Recent Pat. Eng. 2023, 17, 69–80. [Google Scholar] [CrossRef]
  46. Teo, W.J.; Yean, S.; Lim, B.Z.; Oh, H.L.; Lee, B.S. Singtracex: Navigation system to address wandering behavior for elders and their caregivers. Comput. Inform. 2022, 41, 646–664. [Google Scholar] [CrossRef]
  47. Hadwen, T.; Smallbon, V.; Zhang, Q.; D’Souza, M. Energy efficient LoRa GPS tracker for dementia patients. In Proceedings of the 2017 39th Annual International Conference of the IEEE Engineering in Medicine and Biology Society (EMBC), Jeju, Republic of Korea, 11–15 July 2017; pp. 771–774. [Google Scholar]
  48. Cheriyan, R.; Abraham, J.; Sree Sankar, E.; Narayanan, S.; Mathai, R.G. Nemo: Energy efficient location tracker for dementia patients using LoRaWAN and adaptive GPS duty cycling strategies. In Internet of Things and Its Applications; Springer: Cham, Switzerland, 2022; pp. 511–521. [Google Scholar]
  49. Al-Molegi, A.; Martínez-Ballesté, A. SafeMove: Monitoring seniors with mild cognitive impairments using deep learning and location prediction. Neural Comput. Appl. 2022, 34, 16785–16803. [Google Scholar] [CrossRef]
  50. Laczó, J.; Parizkova, M.; Moffat, S.D. Spatial navigation, aging and Alzheimer’s disease. Aging (Albany NY) 2018, 10, 3050. [Google Scholar] [CrossRef] [PubMed]
  51. Jafarpournaser, N.; Delavar, M.R.; Noroozian, M. A Novel Short-time Fourier Transform Based Algorithm for Detection of Wandering in the Patients with Alzheimer’s Disease. Geo-Spat. Inf. Sci. 2023; under review. [Google Scholar]
  52. Kay, S.M. Fundamentals of Statistical Signal Processing: Estimation Theory; Prentice-Hall, Inc.: Upper Saddle River, NJ, USA, 1993. [Google Scholar]
  53. Smith, S.W. The Scientist and Engineer’s Guide to Digital Signal Processing, 1st ed.; California Technical Publishing: San Diego, CA, USA, 1997. [Google Scholar]
  54. Klein, R.; Ingman, D.; Braun, S. Non-stationary signals: Phase-energy approach—Theory and simulations. Mech. Syst. Signal Process. 2001, 15, 1061–1089. [Google Scholar] [CrossRef]
  55. Rhif, M.; Ben Abbes, A.; Farah, I.R.; Martínez, B.; Sang, Y. Wavelet transform application for/in non-stationary time-series analysis: A review. Appl. Sci. 2019, 9, 1345. [Google Scholar] [CrossRef]
  56. Li, D.; Zhang, X.; Kang, Q. A Review of wavelet-based analysis for driving monitoring to detect local damage on bridges. J. Pharm. Negat. Results 2023, 14, 19–28. [Google Scholar]
  57. Chen, W.; Jiang, Y.; Zhang, L.; Zhang, Y. A new modulation recognition method based on wavelet transform and high-order cumulants. J. Phys. Conf. Ser. 2021, 1738, 012025. [Google Scholar] [CrossRef]
  58. Stalin, S.; Roy, V.; Shukla, P.K.; Zaguia, A.; Khan, M.M.; Shukla, P.K.; Jain, A. A machine learning-based big EEG data artifact detection and wavelet-based removal: An empirical approach. Math. Probl. Eng. 2021, 2021, 2942808. [Google Scholar] [CrossRef]
  59. Mallat, S. A Wavelet Tour of Signal Processing; Elsevier: Amsterdam, The Netherlands, 1999. [Google Scholar]
  60. Liu, C.-L. A Tutorial of the Wavelet Transform; NTUEE: Taiwan, China, 2010; Volume 21, p. 22. [Google Scholar]
  61. Chui, C.K. An Introduction to Wavelets; Academic press: Cambridge, MA, USA, 1992; Volume 1. [Google Scholar]
  62. Rioul, O.; Vetterli, M. Wavelets and signal processing. IEEE Signal Process. Mag. 1991, 8, 14–38. [Google Scholar] [CrossRef]
  63. Addison, P.S. The Illustrated Wavelet Transform Handbook: Introductory Theory and Applications in Science, Engineering, Medicine and Finance; CRC Press: Boca Raton, FL, USA, 2017. [Google Scholar]
  64. Olkkonen, J.T. Discrete Wavelet Transforms: Theory and Applications; IntechOpen: London, UK, 2011. [Google Scholar]
  65. Li, Z.; Fei, F.; Zhang, G. Edge-to-Cloud IIoT for Condition Monitoring in Manufacturing Systems with Ubiquitous Smart Sensors. Sensors 2022, 22, 5901. [Google Scholar] [CrossRef] [PubMed]
  66. Vetterli, M.; Herley, C. Wavelets and filter banks: Theory and design. IEEE Trans. Signal Process. 1992, 40, 2207–2232. [Google Scholar] [CrossRef]
  67. Albaqami, H.; Hassan, G.M.; Subasi, A.; Datta, A. Automatic detection of abnormal EEG signals using wavelet feature extraction and gradient boosting decision tree. Biomed. Signal Process. Control 2021, 70, 102957. [Google Scholar] [CrossRef]
  68. Moumene, I.; Ouelaa, N. Gears and bearings combined faults detection using optimized wavelet packet transform and pattern recognition neural networks. Int. J. Adv. Manuf. Technol. 2022, 120, 4335–4354. [Google Scholar] [CrossRef]
  69. Gao, R.X.; Yan, R.; Gao, R.X.; Yan, R. Wavelet packet transform. In Wavelets: Theory and Applications for Manufacturing; Springer: New York, NY, USA, 2011; pp. 69–81. [Google Scholar]
  70. Kumar, M.S.; Ramanathan, R.; Jayakumar, M.; Yadav, D.K. Physical layer secret key generation using discrete wavelet packet transform. Ad Hoc Netw. 2021, 118, 102523. [Google Scholar] [CrossRef]
  71. Graps, A. An introduction to wavelets. IEEE Comput. Sci. Eng. 1995, 2, 50–61. [Google Scholar] [CrossRef]
  72. Akujuobi, C.M. Wavelets and Wavelet Transform Systems and Their Applications; Springer: Berlin/Heidelberg, Germany, 2022. [Google Scholar]
  73. Enamamu, T.; Otebolaku, A.; Marchang, J.; Dany, J. Continuous m-Health data authentication using wavelet decomposition for feature extraction. Sensors 2020, 20, 5690. [Google Scholar] [CrossRef]
  74. Ngui, W.K.; Leong, M.S.; Hee, L.M.; Abdelrhman, A.M. Wavelet analysis: Mother wavelet selection methods. Appl. Mech. Mater. 2013, 393, 953–958. [Google Scholar] [CrossRef]
  75. Raveu, N.; Baudrand, H.; Titaouine, M. The Wave Concept in Electromagnetism and Circuits: Theory and Applications; John Wiley & Sons: Hoboken, NJ, USA, 2016. [Google Scholar]
  76. Zheng, Y.; Zhang, L.; Xie, X.; Ma, W.-Y. Mining interesting locations and travel sequences from GPS trajectories. In Proceedings of the 18th International Conference on World Wide Web, Madrid, Spain, 20–24 April 2009; pp. 791–800. [Google Scholar]
  77. Zheng, Y.; Li, Q.; Chen, Y.; Xie, X.; Ma, W.-Y. Understanding mobility based on GPS data. In Proceedings of the 10th International Conference on Ubiquitous Computing, Seoul, Republic of Korea, 21–24 September 2008; pp. 312–321. [Google Scholar]
  78. Zheng, Y.; Xie, X.; Ma, W.-Y. GeoLife: A collaborative social networking service among user, location and trajectory. IEEE Data Eng. Bull. 2010, 33, 32–39. [Google Scholar]
  79. Kumar, A. A longitudinal study on identification of wandering patterns and their trends in elders with dementia residing in assisted living facilities. Ph.D. Dissertation, Nanyang Technological University, Singapore, 2018. [Google Scholar]
Figure 1. Wandering patterns [14]: (a) random; (b) lapping; (c) pacing.
Figure 1. Wandering patterns [14]: (a) random; (b) lapping; (c) pacing.
Ijgi 12 00379 g001
Figure 2. Flowchart of the proposed methodology.
Figure 2. Flowchart of the proposed methodology.
Ijgi 12 00379 g002
Figure 3. Signal classification using DWT (http://ataspinar.com/2018/12/21/a-guide-for-using-the-wavelet-transform-in-machine-learning (accessed on 10 September 2023)).
Figure 3. Signal classification using DWT (http://ataspinar.com/2018/12/21/a-guide-for-using-the-wavelet-transform-in-machine-learning (accessed on 10 September 2023)).
Ijgi 12 00379 g003
Figure 4. Scale 4 decomposition procedure by DWT. H represents the low-pass filter and G the high-pass filter [69].
Figure 4. Scale 4 decomposition procedure by DWT. H represents the low-pass filter and G the high-pass filter [69].
Ijgi 12 00379 g004
Figure 5. Wavelet decomposition tree [70].
Figure 5. Wavelet decomposition tree [70].
Ijgi 12 00379 g005
Figure 6. Types of discrete wavelet function [73].
Figure 6. Types of discrete wavelet function [73].
Ijgi 12 00379 g006
Figure 7. Cleaned trajectory by removing outliers [51].
Figure 7. Cleaned trajectory by removing outliers [51].
Ijgi 12 00379 g007
Figure 8. The result of applying WPD to the real motion signal: (a) real motion signal with pacing pattern; (b) changes in wavelet coefficients in Xt; (c) changes in wavelet coefficients in Yt (red circle: onset of wandering).
Figure 8. The result of applying WPD to the real motion signal: (a) real motion signal with pacing pattern; (b) changes in wavelet coefficients in Xt; (c) changes in wavelet coefficients in Yt (red circle: onset of wandering).
Ijgi 12 00379 g008
Figure 9. The result of applying WPD to the real motion signal: (a) real motion signal with lapping pattern; (b) changes in wavelet coefficients in Xt; (c) changes in wavelet coefficients in Yt (red circle: onset of wandering).
Figure 9. The result of applying WPD to the real motion signal: (a) real motion signal with lapping pattern; (b) changes in wavelet coefficients in Xt; (c) changes in wavelet coefficients in Yt (red circle: onset of wandering).
Ijgi 12 00379 g009
Figure 10. The result of applying WPD to the real motion signal: (a) an example of a real motion signal; (b) changes in wavelet coefficients in Xt; (c) changes in wavelet coefficients in Yt (red circle: onset of wandering).
Figure 10. The result of applying WPD to the real motion signal: (a) an example of a real motion signal; (b) changes in wavelet coefficients in Xt; (c) changes in wavelet coefficients in Yt (red circle: onset of wandering).
Ijgi 12 00379 g010
Table 1. The confusion matrix, shown with totals for positive and negative instances [75].
Table 1. The confusion matrix, shown with totals for positive and negative instances [75].
Predicted Class
Actual class Yes No Total
Yes TPFNP
No FPTNN
Total P’N’P + N
Table 2. An illustrative instance of the data contained within a data file in the Geolife dataset.
Table 2. An illustrative instance of the data contained within a data file in the Geolife dataset.
Person IDLatitude (DD)Longitude (DD)Altitude (ft)DateTime
01042.018427123.506192484 August 2007
42.018712123.5061532464 August 2007
42.018998123.506112464 August 2007
Table 3. A section of the information contained in one of the attached files reveals the transportation mode details.
Table 3. A section of the information contained in one of the attached files reveals the transportation mode details.
Person IDStart DateStart TimeEnd DateEnd TimeTransportation Mode
01026 June 200711:32:2926 June 200711:40:29bus
28 March 200814:52:5428 March 200815:59:59train
31 March 200816:00:0831 March 200816:09:01taxi
1 April 200801:00:221 April 200801:08:13walk
18 June 200804:46:1018 June 200804:54:59subway
1 August 200805:20:071 August 200807:03:51airplane
27 September 200811:42:1327 September 200812:29:29car
Table 4. The confusion matrix resulting from the evaluation of the proposed algorithm.
Table 4. The confusion matrix resulting from the evaluation of the proposed algorithm.
Actual Class/Predicted ClassNormalWandering
Normal2212451
Wandering176863
Table 5. Evaluation measures of the proposed algorithm.
Table 5. Evaluation measures of the proposed algorithm.
Accuracy
(%)
Precision
(%)
Specificity
(%)
Recall
(%)
F-Score
(%)
83.06392.62983.06083.06487.586
Table 6. The confusion matrix resulting from the ablation study of the outlier removal on the proposed algorithm’s performance.
Table 6. The confusion matrix resulting from the ablation study of the outlier removal on the proposed algorithm’s performance.
Actual Class/Predicted ClassNormalWandering
Normal1938725
Wandering165874
Table 7. Evaluation measures of the proposed algorithm and the ablation study of the outlier removal.
Table 7. Evaluation measures of the proposed algorithm and the ablation study of the outlier removal.
Accuracy
(%)
Precision
(%)
Specificity
(%)
Recall
(%)
F-Score
(%)
Proposed algorithm83.06392.62983.06083.06487.586
Ablation study of the data cleaning75.9592.1584.1172.7781.32
Table 8. Algorithms developed for wandering detection.
Table 8. Algorithms developed for wandering detection.
YearSensorAlgorithmEvaluationCompatibility with the Instability
[16]2010An ultra-wideband sensor network using wireless transpondersPath tortuosity measurement using fractal dimensionMovement path tortuosity was significantly and negatively correlated with cognitive status as measured by the Mini Mental State ExaminationYes
[17]2011GPSDetection and classification of wandering patterns using traveling time between two known locations-No
[18]2012GPSWandering behavior detection method called Ө_WD for detecting loop-like traces using sharp changes in vector angleAUC > 0.99, detection rate 90% at the false alarm rate of less than 5%Yes
[19]2019GPSOptimal path planning, POF-based navigation, wandering detection, and remote route tracking with A* algorithm which introduced the θ_WD approachAccuracy (91.7%)No
[20]2015GPSWandering detection technique based on the analysis of randomness by counting the number of Eulerian cycles and their lengths-Yes
[21]2015GPSWandering
detection by calculating the number of nodes and short loops in sub-graphs with algorithms such as Schwarcfiter and Lauer (JGraph from Java Library), Java Matrix Package (JAMA), and proximity matrix of trajectory nodes
-Yes
[23]2015GPSWandering detection based on using grid network and centrality measure of the nodes, as well as estimating the path efficiency-Yes
[24]2016Indoor: Ubisense, Inc. Ultra-wideband (UWB) radio research pack with wrist-worn transponders and 4 wall-mounted sensors. Outdoor: GPSWandering pattern detection based on sub-path intersections, number of consecutive loops in the path, and area enclosed within the loopsAccuracy (90%), recall (direct 94%, random 92%, lapping 88%, and pacing 86%), and precision (direct 98%, random 85%, lapping 90%, and pacing 88%)Yes
[25]2010GPSReal-time deviation or anomaly detection with Box trajectory; movement behavior learningPrecision (90%) and recall (95%)No
[26]2011GPSState predictors with confidence counter (CC), Adaptive Confidence Estimation, movement behavior learning, next location prediction, and anomaly detectionAccuracy (88%)No
[27]2014RFIDMovement pattern detection, machine learning, and ad hoc approachesRF: sensitivity (92.3%), specificity (92.3%), precision (92.2%), recall (92.3%), and F1 measure (92.2%)
Deterministic algorithm:
sensitivity (98.2%), specificity (98.1%), precision (98.2%), recall (98.2%), and F1 measure (98.2%)
No
[29]2007RFIDMovement pattern detection using integrated circuit (IC) tags-No
[31]2015Wearable inertial monitor (Opal) from APDM (Inc.)Wandering pattern detection using inertial sensorsSensitivity (83.44%), latency at least 40 and 350 times faster than othersYes
[32]2018GPS and accelerometerUse tensorflow as a machine learning tool for fall detection and wandering detection by geofence strategy-No
[33]2019Accelerometer, gyroscope, and GPSFall detection using machine learning techniques and wandering detection by geofence strategyTheoretical accuracy (100%)No
[34]2018GPSA data-mining-based approach to construct a personalized safe geofence-No
[35]2018Heart rate, blood pressure sensors, kinects, and wireless spatial inertial and RFID sensorsWandering prediction and identification with trajectory tracking techniques and machine learning algorithms, such as deterministic tree-based algorithms-No
[36]2023RFID and wearable biosensorsReal-time monitoring of mental stress, depression,
and wandering detection of elderly using a localization system called Sirit RFID robust reader
-Yes
[37,38]2020IoT sensorsWandering detection and prediction using internet of things (IOT), Long-Short Term Memory (LSTM), neural network, and the Gray modelRSME for the next day and the next week: 63.39% and 54.86%No
[39]2021-Two time series techniques, the autocorrelation function and the partial autocorrelation function, used in conjunction with the machine learning algorithms, were evaluated to classify wandering patternsAccuracy greater than 90%No
[40]2021Off-the-shelf Wi-Fi devicesAn LSTM-based deep classification method for differentiating the
wandering-caused Wi-Fi signal change from the others
Accuracy (92.86%), precision (96.18%), recall (96.34%), and F1 score (96.19%)No
[41]2022GPSWandering detection based on determining frequent locations between which movement occurs and a step that transforms GPS data into geohash sequencesAUC = 0.99No
[42]2022Non-intrusive ultrasonic sensorsMovement pattern identification using the integration of the proposed CNN with the IoT architectureF1 score (75%), recall (60%), and precision (100%)No
[43]2020Smartphone-embedded sensorsWalking pattern recognition using PDR method
by multi-head
convolutional neural networks
75th
percentile localization accuracy of the three scenarios is 1.06 m,
1.08 m, and 1.22 m, respectively
Yes
[44]2022SmartphoneWandering detection with 2 modules:
1. Module with knowledge: using similarity between real path and ideal path
2. Module without knowledge: using the morphology of the path and the θ_WD approach
The accuracy of the wandering detection algorithm (96%) and the user experience (questionnaire)No
[45]2023 Location detection algorithm has been proposed for wandering pattern identification based upon frequency of visit, navigation, geofences, and movement patternsGeofence-based algorithm (95% detection rate, 95% accuracy, less than 3% false alarm rate, and less than 1 ms latency), navigation-based algorithm (85% detection rate, 95% accuracy, less than 2% false alarm rate, and less than 10 s latency), and movement-pattern-based algorithm (90% detection rate, 90% accuracy, 5% false alarm rate, and 12 s latency).No
[51]2023GPSWandering detection using motion signal processing with Fourier transformAccuracy (96.38%), precision (94.89%), specificity (96.36%), recall (96.36%), and F-score (95.58%)Yes
Proposed algorithm in this paper2023GPSWandering detection using motion signal processing with wavelet packet decomposition transformAccuracy (83.06%), precision (92.62%), specificity (83.06%), recall (83.06%), and F-score (87.58%)Yes
Disclaimer/Publisher’s Note: The statements, opinions and data contained in all publications are solely those of the individual author(s) and contributor(s) and not of MDPI and/or the editor(s). MDPI and/or the editor(s) disclaim responsibility for any injury to people or property resulting from any ideas, methods, instructions or products referred to in the content.

Share and Cite

MDPI and ACS Style

Jafarpournaser, N.; Delavar, M.R.; Noroozian, M. A Wandering Detection Method Based on Processing GPS Trajectories Using the Wavelet Packet Decomposition Transform for People with Cognitive Impairment. ISPRS Int. J. Geo-Inf. 2023, 12, 379. https://doi.org/10.3390/ijgi12090379

AMA Style

Jafarpournaser N, Delavar MR, Noroozian M. A Wandering Detection Method Based on Processing GPS Trajectories Using the Wavelet Packet Decomposition Transform for People with Cognitive Impairment. ISPRS International Journal of Geo-Information. 2023; 12(9):379. https://doi.org/10.3390/ijgi12090379

Chicago/Turabian Style

Jafarpournaser, Naghmeh, Mahmoud Reza Delavar, and Maryam Noroozian. 2023. "A Wandering Detection Method Based on Processing GPS Trajectories Using the Wavelet Packet Decomposition Transform for People with Cognitive Impairment" ISPRS International Journal of Geo-Information 12, no. 9: 379. https://doi.org/10.3390/ijgi12090379

APA Style

Jafarpournaser, N., Delavar, M. R., & Noroozian, M. (2023). A Wandering Detection Method Based on Processing GPS Trajectories Using the Wavelet Packet Decomposition Transform for People with Cognitive Impairment. ISPRS International Journal of Geo-Information, 12(9), 379. https://doi.org/10.3390/ijgi12090379

Note that from the first issue of 2016, this journal uses article numbers instead of page numbers. See further details here.

Article Metrics

Back to TopTop