Latent Semantic Sequence Coding Applied to Taxi Travel Time Estimation
Abstract
1. Introduction
- Most of the existing taxi travel time estimation methods based solely on OD data rarely consider the deep path propagation features. We treat the trip’s spatial autowave feature as implicitly semantic to mine the association between travel time and spatiotemporal context. This is the first application of the PCNN pulse to spatiotemporal propagation feature encoding in traffic forecasting.
- The coarse granularity of trips in the road network reduces the sensitivity to small path differences, which can be better characterized as a trip profile. By combining the autowave feature of pulse-coupled neural network, the propagation sequence on the graph is encoded, which strengthens the semantic features between ODs. It is verified in the experiments that the latent semantic sequence coding can well model the spatiotemporal correlation between the trips.
2. Related Work
3. Model Formulation
3.1. Symbols and Problem Definitions
3.2. Overview of LSPS-DNN
3.3. Latent Semantic Pulse Propagation Graph
| Algorithm 1: Graph Recursive Ignition Depth First Search (GRI-DFS) |
| Input: , , , |
| Output: |
| Initialize , of all neurons; |
| while do |
| if then |
| ; |
| return; |
| Initialize []; |
| while do |
| if and then |
| ; |
| Get descent rate of neuron ; |
| Update with Equation (3); |
| Update with Equation (4); |
| ; |
| Threshold descent update with Equation (6), get ; |
| if then |
| ; |
| ; |
| GRI-DFS (, , ,*); |
3.4. Recurrent Spatiotemporal Unified Encoding
3.5. Travel Time Estimation with Features Fusion
4. Experimental Results and Analysis
- (1)
- Multiple Linear Regression (MLR): The method considers modal features derived from OD latitude and longitude coordinates, Haversine distance, and pick-up time. The MLR uses the correlation between variables to make the estimation of travel time.
- (2)
- Multi-Layer Perceptron (MLP) [12]: The MLP is a deep neural network that comprises more than one perceptron. It consists of neurons that use the non-linear activation function. The dimension of the hidden layer of the MLP is 320 and the output layer is 512.
- (3)
- (4)
- SGDR [27]: In gradient-free optimization dealing with multimodal functions, the restart technique is effective to improve the convergence speed of the algorithm. The implementation of the method is based on the open code (https://github.com/PaulEmmanuelSotir/NYC_TaxiTripDuration, accessed on 6 April 2022). The growth of the learning rate is 1.5.
- (5)
4.1. Performance Comparison
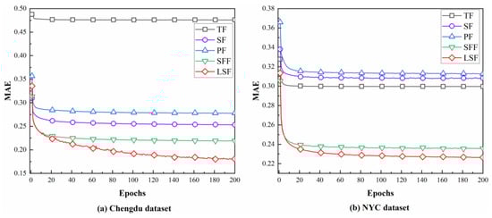
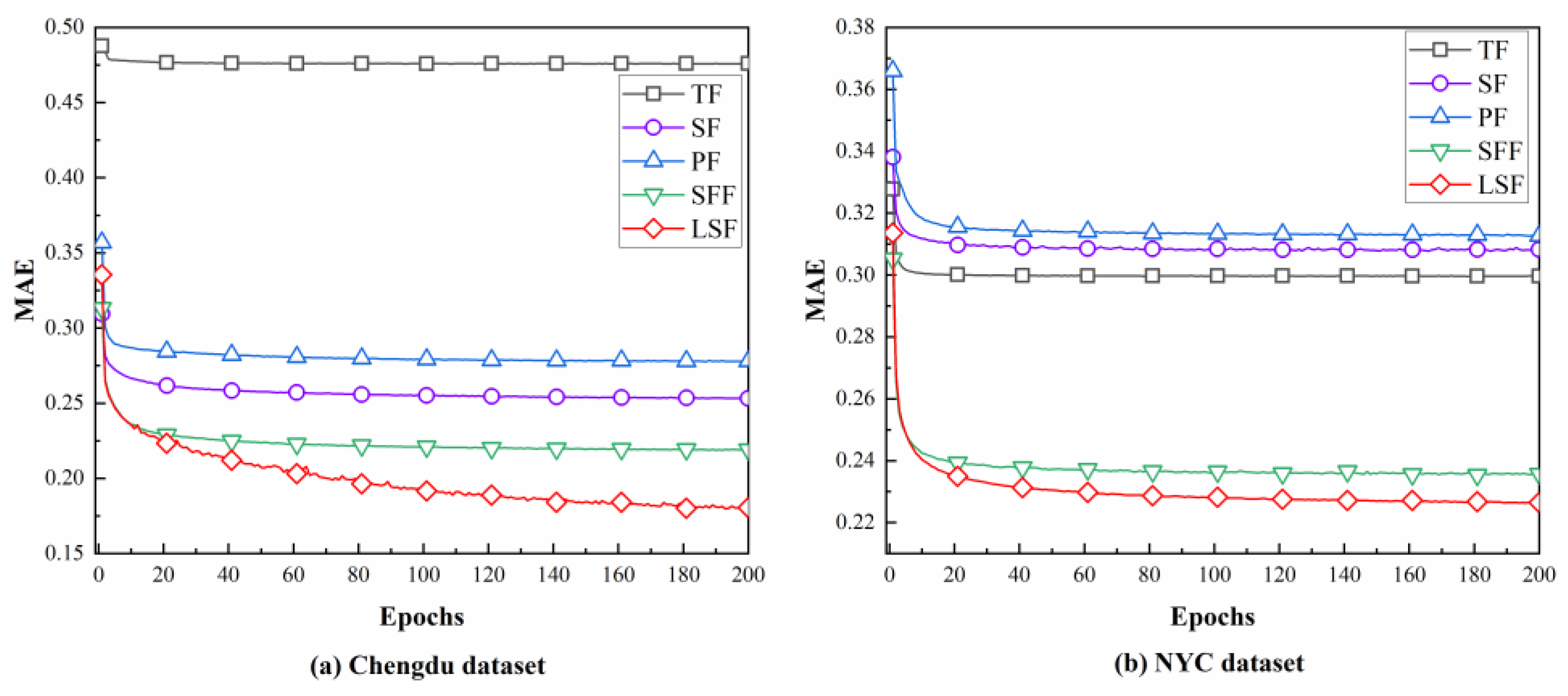
4.2. Correlation Verification of Latent Semantic Features
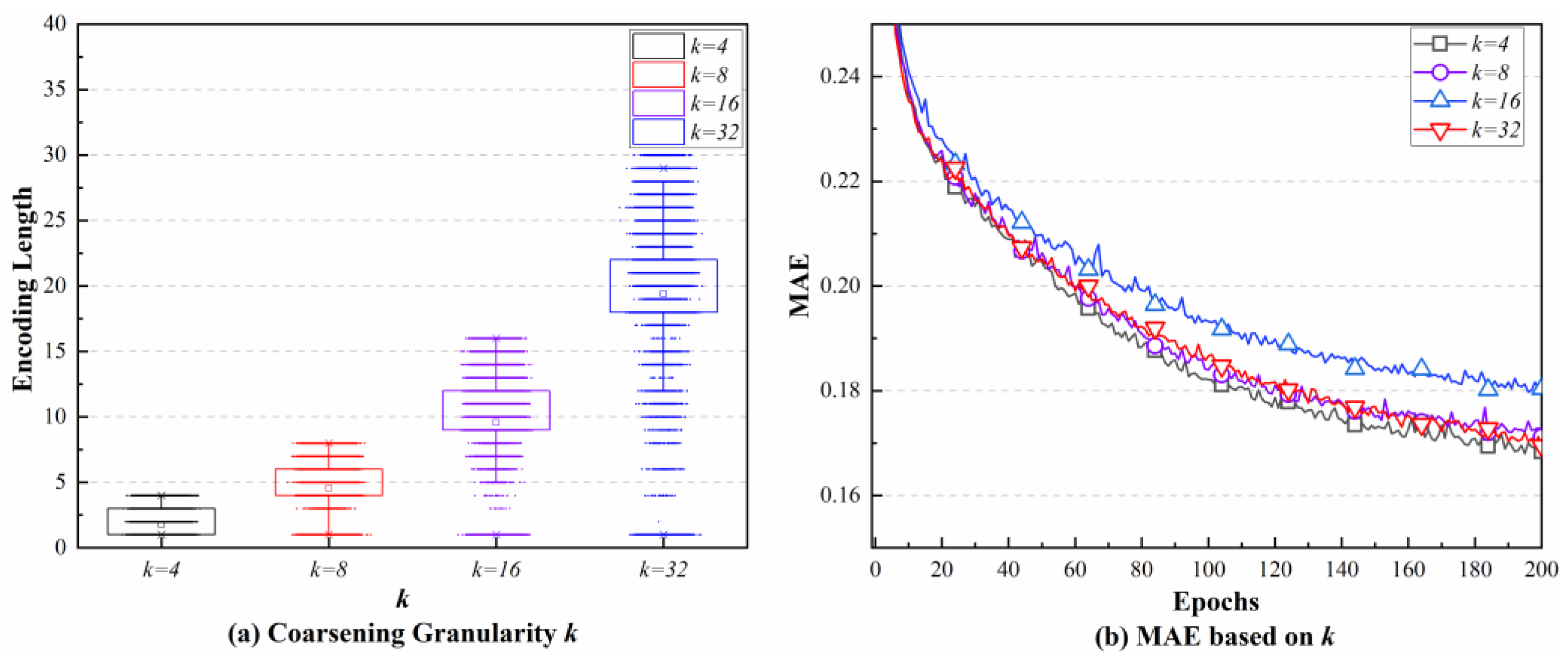
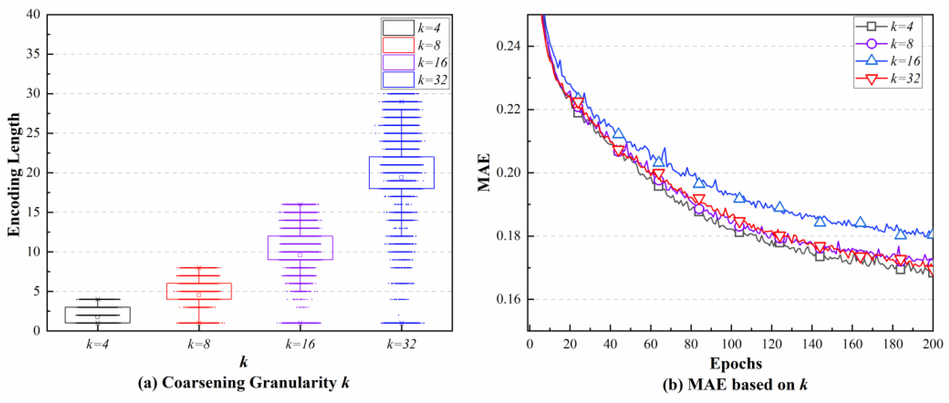
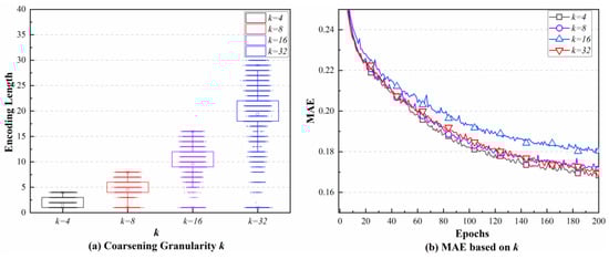
4.3. Discussion of LSPS-DNN Parameter Settings
5. Conclusions
Author Contributions
Funding
Data Availability Statement
Conflicts of Interest
References
- Gmira, M.; Gendreau, M.; Lodi, A.; Potvin, J.Y. Managing in real-time a vehicle routing plan with time-dependent travel times on a road network. Transp. Res. Part C: Emerg. Technol. 2021, 132, 103379. [Google Scholar] [CrossRef]
- Kankanamge, K.D.; Witharanage, Y.R.; Withanage, C.S.; Hansini, M.; Lakmal, D.; Thayasivam, U. Taxi trip travel time prediction with isolated XGBoost regression. In Proceedings of the 2019 Moratuwa Engineering Research Conference (MERCon), Moratuwa, Sri Lanka, 3–5 July 2019; IEEE: New York, NY, USA; pp. 54–59. [Google Scholar]
- de Araujo, A.C.; Etemad, A. Deep neural networks for predicting vehicle travel times. In Proceedings of the 2019 IEEE SENSORS, Montreal, QC, Canada, 27–30 October 2019; IEEE: New York, NY, USA; pp. 1–4. [Google Scholar]
- Chen, T.; Guestrin, C. Xgboost: A scalable tree boosting system. In Proceedings of the 22nd Acm Sigkdd International Conference on Knowledge Discovery and Data Mining, San Francisco, CA, USA, 13–17 August 2016; pp. 785–794. [Google Scholar]
- Roy, B.; Rout, D. Predicting Taxi Travel Time Using Machine Learning Techniques Considering Weekend and Holidays. In International Conference on Soft Computing and Pattern Recognition; Springer: Cham, Switzerland, 2021; pp. 258–267. [Google Scholar]
- Fu, T.; Lee, W.C. Deepist: Deep image-based spatio-temporal network for travel time estimation. In Proceedings of the 28th ACM International Conference on Information and Knowledge Management, Beijing, China, 3–7 November 2019; pp. 69–78. [Google Scholar]
- Li, H.; Xiong, S. Time-varying weight coefficients determination based on fuzzy soft set in combined prediction model for travel time. Expert Syst. Appl. 2022, 189, 115998. [Google Scholar] [CrossRef]
- Li, Y.; Yu, R.; Shahabi, C.; Liu, Y. Diffusion convolutional recurrent neural network: Da-ta-driven traffic forecasting. arXiv 2017, arXiv:1707.01926. [Google Scholar]
- Johnson, J.L.; Padgett, M.L. PCNN models and applications. IEEE Trans. Neural Netw. 1999, 10, 480–498. [Google Scholar] [CrossRef] [PubMed]
- Xu, X.; Sun, Y.; Bai, Y.; Zhang, K.; Liu, Y.; Zhao, X. Seq2Img-DRNET: A travel time index prediction algorithm for complex road network at regional level. Expert Syst. Appl. 2021, 185, 115554. [Google Scholar] [CrossRef]
- Li, J.; Xia, X.; Liu, X.; Zhao, L.; Wang, B. Travel time functions prediction for time-dependent networks. Cogn. Comput. 2019, 11, 145–158. [Google Scholar] [CrossRef]
- Poongodi, M.; Malviya, M.; Kumar, C.; Hamdi, M.; Vijayakumar, V.; Nebhen, J.; Alyamani, H. New York City taxi trip duration prediction using MLP and XGBoost. Int. J. Syst. Assur. Eng. Manag. 2022, 13, 16–27. [Google Scholar] [CrossRef]
- You, L.; Guan, Z.; Li, N.; Zhang, J.; Cui, H.; Claramunt, C.; Cao, R. A spatio-temporal schedule-based neural network for urban taxi waiting time prediction. ISPRS Int. J. Geo-Inf. 2021, 10, 703. [Google Scholar] [CrossRef]
- Zhan, X.; Ukkusuri, S.V.; Yang, C. A Bayesian mixture model for short-term average link travel time estimation using large-scale limited information trip-based data. Autom. Constr. 2016, 72, 237–246. [Google Scholar] [CrossRef]
- Jindal, I.; Chen, X.; Nokleby, M.; Ye, J. A unified neural network approach for estimating travel time and distance for a taxi trip. arXiv 2017, arXiv:1710.04350. [Google Scholar]
- Besse, P.C.; Guillouet, B.; Loubes, J.M.; Royer, F. Destination prediction by trajectory distribution-based model. IEEE Trans. Intell. Transp. Syst. 2017, 19, 2470–2481. [Google Scholar] [CrossRef]
- Huang, H.; Pouls, M.; Meyer, A.; Pauly, M. Travel time prediction using tree-based ensembles. In International Conference on Computational Logistics; Springer: Cham, Switzerland, 2020; pp. 412–427. [Google Scholar]
- Wang, X.; Qiao, Q. Solving the shortest path routing problems by integrating a fast searching strategy into a hysteretic neural network with transient chaos. In Proceedings of the 6th International Conference on Natural Computation (ICNC), Yantai, China, 10–12 August 2010; pp. 598–602. [Google Scholar]
- Huang, W.; Yan, C.; Wang, J.; Wang, W. A time-delay neural network for solving time-dependent shortest path problem. Neural Netw. 2017, 90, 21–28. [Google Scholar] [CrossRef] [PubMed]
- Wang, Z.; Wang, S.; Guo, L. Novel multi-focus image fusion based on PCNN and random walks. Neural Comput. Appl. 2018, 29, 1101–1114. [Google Scholar] [CrossRef]
- Yang, Z.; Lian, J.; Guo, Y.; Li, S.; Wang, D.; Sun, W.; Ma, Y. An overview of PCNN model’s development and its application in image processing. Arch. Comput. Methods Eng. 2019, 26, 491–505. [Google Scholar] [CrossRef]
- Deng, X.; Yan, C.; Ma, Y. PCNN mechanism and its parameter settings. IEEE Trans. Neural Netw. Learn. Syst. 2019, 31, 488–501. [Google Scholar] [CrossRef] [PubMed]
- Shuman, D.I.; Narang, S.K.; Frossard, P.; Ortega, A.; Vandergheynst, P. The emerging field of signal processing on graphs: Extending high-dimensional data analysis to networks and other irregular domains. IEEE Signal Process. Mag. 2013, 30, 83–98. [Google Scholar] [CrossRef]
- Fradkin, D.; Mörchen, F. Mining sequential patterns for classification. Knowl. Inf. Syst. 2015, 45, 731–749. [Google Scholar] [CrossRef]
- Nguyen, D.; Luo, W.; Nguyen, T.D.; Venkatesh, S.; Phung, D. Sqn2vec: Learning sequence representation via sequential patterns with a gap constraint. In Joint European Conference on Machine Learning and Knowledge Discovery in Databases; Springer: Cham, Switzerland, 2018; pp. 569–584. [Google Scholar]
- Mikolov, T.; Sutskever, I.; Chen, K.; Corrado, G.S.; Dean, J. Distributed representations of words and phrases and their compositionality. arXiv 2013, arXiv:1310.4546. [Google Scholar]
- Loshchilov, I.; Hutter, F. Sgdr: Stochastic gradient descent with warm restarts. arXiv 2016, arXiv:1608.03983. [Google Scholar]







| Symbol | Definition |
|---|---|
| Adjacency matrix of . | |
| Adjacency matrix between clustering centers . | |
| Time period in which the trip lies. | |
| A given taxi trip. | |
| Node with pulse ignition at . | |
| The pick-up and drop-off latitude and longitude. | |
| Haversine distance calculated by . | |
| Sigmoid activation function. | |
| Weight matrix for any network . | |
| Bias for any network . |
| Datasets | Chengdu | NYC | ||||||
|---|---|---|---|---|---|---|---|---|
| Models/Metrics | MAE | RMSE | MAPE | R2 | MAE | RMSE | MAPE | R2 |
| MLR | 0.3193 | 0.4411 | 4.73% | 0.50 | 0.3852 | 0.5492 | 6.45% | 0.52 |
| MLP | 0.2594 | 0.3631 | 3.83% | 0.66 | 0.3049 | 0.4501 | 5.15% | 0.68 |
| Random Forest | 0.2534 | 0.3551 | 3.75% | 0.67 | 0.3039 | 0.4535 | 5.03% | 0.67 |
| SGDR | 0.2488 | 0.3514 | 3.71% | 0.68 | 0.2354 | 0.3874 | 3.92% | 0.76 |
| XgBoost | 0.2390 | 0.3426 | 3.48% | 0.70 | 0.2347 | 0.3838 | 3.89% | 0.76 |
| LSPS-DNN | 0.2195 | 0.3230 | 3.25% | 0.73 | 0.2273 | 0.3824 | 3.80% | 0.77 |
Disclaimer/Publisher’s Note: The statements, opinions and data contained in all publications are solely those of the individual author(s) and contributor(s) and not of MDPI and/or the editor(s). MDPI and/or the editor(s) disclaim responsibility for any injury to people or property resulting from any ideas, methods, instructions or products referred to in the content. |
© 2023 by the authors. Licensee MDPI, Basel, Switzerland. This article is an open access article distributed under the terms and conditions of the Creative Commons Attribution (CC BY) license (https://creativecommons.org/licenses/by/4.0/).
Share and Cite
Zhao, Z.; Chi, Y.; Ding, Z.; Chang, M.; Cai, Z. Latent Semantic Sequence Coding Applied to Taxi Travel Time Estimation. ISPRS Int. J. Geo-Inf. 2023, 12, 44. https://doi.org/10.3390/ijgi12020044
Zhao Z, Chi Y, Ding Z, Chang M, Cai Z. Latent Semantic Sequence Coding Applied to Taxi Travel Time Estimation. ISPRS International Journal of Geo-Information. 2023; 12(2):44. https://doi.org/10.3390/ijgi12020044
Chicago/Turabian StyleZhao, Zilin, Yuanying Chi, Zhiming Ding, Mengmeng Chang, and Zhi Cai. 2023. "Latent Semantic Sequence Coding Applied to Taxi Travel Time Estimation" ISPRS International Journal of Geo-Information 12, no. 2: 44. https://doi.org/10.3390/ijgi12020044
APA StyleZhao, Z., Chi, Y., Ding, Z., Chang, M., & Cai, Z. (2023). Latent Semantic Sequence Coding Applied to Taxi Travel Time Estimation. ISPRS International Journal of Geo-Information, 12(2), 44. https://doi.org/10.3390/ijgi12020044

