Interactive Visualization and Representation Analysis Applied to Glacier Segmentation
Abstract
:1. Introduction
2. Background
2.1. Interactive Visualization
2.2. U-Net Model
2.3. Representation Analysis
3. Data Preprocessing and Modeling
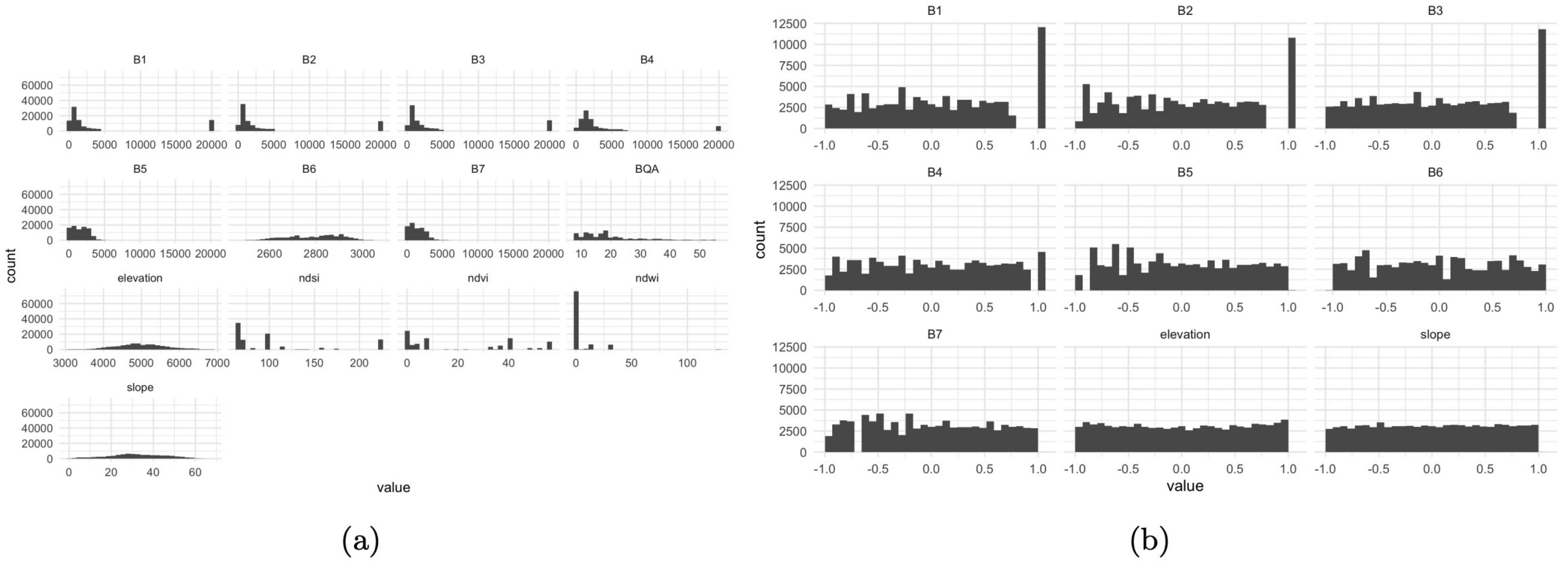
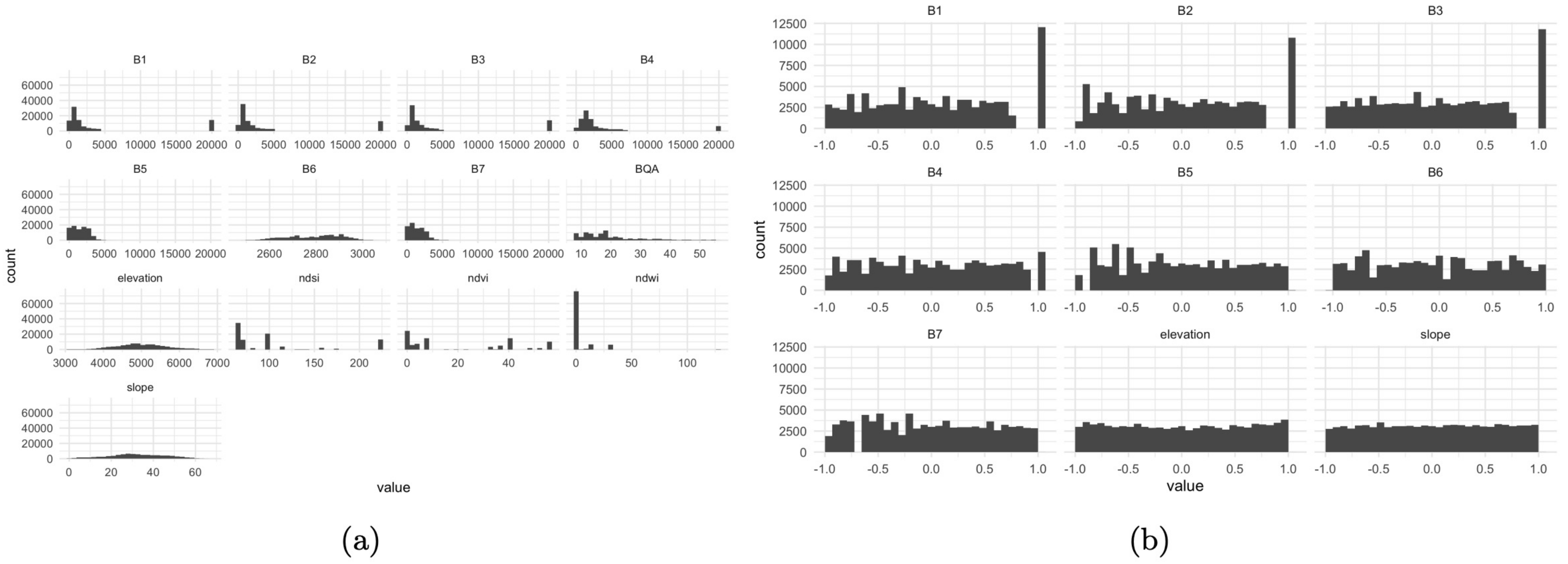
3.1. Data Preprocessing
3.2. Modeling
4. Representation Analysis
5. Error Analysis of Prediction Results
5.1. Interactive Interface Introduction
5.2. Error Analysis Discussion
6. Conclusions
Author Contributions
Funding
Institutional Review Board Statement
Informed Consent Statement
Data Availability Statement
Acknowledgments
Conflicts of Interest
Appendix A

Appendix B

References
- The Status of Glaciers in the Hindu Kush-Himalayan Region; International Centre for Integrated Mountain Development (ICIMOD): Patan, Nepal, 2011.
- Chang, W.; Cheng, J.; Allaire, J.; Sievert, C.; Schloerke, B.; Xie, Y.; Allen, J.; McPherson, J.; Dipert, A.; Borges, B. Shiny: Web Application Framework for R. R Package Version 1.7.1. 2021. Available online: https://rdrr.io/cran/shiny/ (accessed on 26 March 2022).
- Buja, A.; McDonald, J.A.; Michalak, J.; Stuetzle, W. Interactive data visualization using focusing and linking. In Proceedings of the second Conference on Visualization’91, San Diego, CA, USA, 22–25 October 1991; pp. 156–163. [Google Scholar]
- Anselin, L.; Syabri, I.; Smirnov, O. Visualizing multivariate spatial correlation with dynamically linked windows. In Proceedings of the CSISS Workshop on New Tools for Spatial Data Analysis, Santa Barbara, CA, USA, 20–23 March 2002. [Google Scholar]
- Anselin, L. Interactive Techniques and Exploratory Spatial Data Analysis. 1996. Available online: https://researchrepository.wvu.edu/rri_pubs/200/ (accessed on 26 March 2022).
- Hibbard, W.; Santek, D. Visualizing large data sets in the earth sciences. Computer 1989, 22, 53–57. [Google Scholar] [CrossRef]
- Tasnim, J.; Mondal, D. Data Reduction and Deep-Learning Based Recovery for Geospatial Visualization and Satellite Imagery. In Proceedings of the 2020 IEEE International Conference on Big Data (Big Data), Atlanta, GA, USA, 10–13 December 2020; pp. 5276–5285. [Google Scholar]
- Keim, D.A.; Panse, C.; Schneidewind, J.; Sips, M.; Hao, M.C.; Dayal, U. Pushing the Limit in Visual Data Exploration: Techniques and Applications. In KI 2003: Advances in Artificial Intelligence; Günter, A., Kruse, R., Neumann, B., Eds.; Springer: Berlin/Heidelberg, Germany, 2003; pp. 37–51. [Google Scholar]
- Keim, D.; Panse, C.; Sips, M.; North, S. Visual data mining in large geospatial point sets. IEEE Comput. Graph. Appl. 2004, 24, 36–44. [Google Scholar] [CrossRef] [PubMed]
- Janik, A.; Sankaran, K.; Ortiz, A. Interpreting Black-Box Semantic Segmentation Models in Remote Sensing Applications. 2019. Available online: https://diglib.eg.org/handle/10.2312/mlvis20191158 (accessed on 26 March 2022).
- Humer, C.; Elharty, M.; Hinterreiter, A.; Streit, M. Interactive Attribution-based Explanations for Image Segmentation; Johannes Kepler University Linz: Linz, Austria, 2022. [Google Scholar]
- Ronneberger, O.; Fischer, P.; Brox, T. U-net: Convolutional networks for biomedical image segmentation. In International Conference on Medical Image Computing and Computer-Assisted Intervention; Springer: Berlin/Heidelberg, Germany, 2015; pp. 234–241. [Google Scholar]
- Siddique, N.; Paheding, S.; Elkin, C.P.; Devabhaktuni, V. U-Net and Its Variants for Medical Image Segmentation: A Review of Theory and Applications. IEEE Access 2021, 9, 82031–82057. [Google Scholar] [CrossRef]
- Zhou, Z.; Rahman Siddiquee, M.M.; Tajbakhsh, N.; Liang, J. Unet++: A nested u-net architecture for medical image segmentation. In Deep Learning in Medical Image Analysis and Multimodal Learning for Clinical Decision Support; Springer: Berlin/Heidelberg, Germany, 2018; pp. 3–11. [Google Scholar]
- Pan, Z.; Xu, J.; Guo, Y.; Hu, Y.; Wang, G. Deep learning segmentation and classification for urban village using a worldview satellite image based on U-Net. Remote Sens. 2020, 12, 1574. [Google Scholar] [CrossRef]
- Bai, Y.; Mas, E.; Koshimura, S. Towards operational satellite-based damage-mapping using u-net convolutional network: A case study of 2011 tohoku earthquake-tsunami. Remote Sens. 2018, 10, 1626. [Google Scholar] [CrossRef] [Green Version]
- Freudenberg, M.; Nölke, N.; Agostini, A.; Urban, K.; Wörgötter, F.; Kleinn, C. Large scale palm tree detection in high resolution satellite images using U-Net. Remote Sens. 2019, 11, 312. [Google Scholar] [CrossRef] [Green Version]
- Gonzalez, J.; Sankaran, K.; Ayma, V.; Beltran, C. Application of semantic segmentation with few labels in the detection of water bodies from perusat-1 satellite’s images. In Proceedings of the 2020 IEEE Latin American GRSS & ISPRS Remote Sensing Conference (LAGIRS), Santiago, Chile, 21–26 March 2020; pp. 483–487. [Google Scholar]
- He, Q.; Zhang, Z.; Ma, G.; Wu, J. Glacier Identification from Landsat8 Oli Imagery Using Deep U-Net. ISPRS Ann. Photogramm. Remote Sens. Spat. Inf. Sci. 2020, 5, 381–386. [Google Scholar] [CrossRef]
- Baraka, S.; Akera, B.; Aryal, B.; Sherpa, T.; Shresta, F.; Ortiz, A.; Sankaran, K.; Ferres, J.L.; Matin, M.; Bengio, Y. Machine Learning for Glacier Monitoring in the Hindu Kush Himalaya. arXiv 2020, arXiv:2012.05013. [Google Scholar]
- Holzmann, M.; Davari, A.; Seehaus, T.; Braun, M.; Maier, A.; Christlein, V. Glacier Calving Front Segmentation Using Attention U-Net. arXiv 2021, arXiv:2101.03247. [Google Scholar]
- Yosinski, J.; Clune, J.; Nguyen, A.; Fuchs, T.; Lipson, H. Understanding neural networks through deep visualization. arXiv 2015, arXiv:1506.06579. [Google Scholar]
- Mahendran, A.; Vedaldi, A. Understanding deep image representations by inverting them. In Proceedings of the IEEE Conference on Computer Vision and Pattern Recognition, Boston, MA, USA, 7–12 June 2015; pp. 5188–5196. [Google Scholar]
- Erhan, D.; Courville, A.; Bengio, Y.; Vincent, P. Why does unsupervised pre-training help deep learning? In Proceedings of the Thirteenth International Conference on Artificial Intelligence and Statistics, JMLR Workshop and Conference Proceedings, Sardinia, Italy, 13–15 May 2010; pp. 201–208. [Google Scholar]
- Luo, W.; Li, Y.; Urtasun, R.; Zemel, R. Understanding the effective receptive field in deep convolutional neural networks. In Proceedings of the 30th International Conference on Neural Information Processing Systems, Barcelona, Spain, 5–10 December 2016; pp. 4905–4913. [Google Scholar]
- Olah, C.; Mordvintsev, A.; Schubert, L. Feature visualization. Distill 2017, 2, e7. [Google Scholar] [CrossRef]
- Erhan, D.; Bengio, Y.; Courville, A.; Vincent, P. Visualizing Higher-Layer Features of a Deep Network. Univ. Montr. 2009, 1341, 1. [Google Scholar]
- Simonyan, K.; Vedaldi, A.; Zisserman, A. Deep inside convolutional networks: Visualising image classification models and saliency maps. arXiv 2013, arXiv:1312.6034. [Google Scholar]
- Raghu, M.; Gilmer, J.; Yosinski, J.; Sohl-Dickstein, J. Svcca: Singular vector canonical correlation analysis for deep learning dynamics and interpretability. arXiv 2017, arXiv:1706.05806. [Google Scholar]
- Qin, Z.; Yu, F.; Liu, C.; Chen, X. How convolutional neural network see the world-A survey of convolutional neural network visualization methods. arXiv 2018, arXiv:1804.11191. [Google Scholar] [CrossRef] [Green Version]
- Hohman, F.; Kahng, M.; Pienta, R.; Chau, D.H. Visual analytics in deep learning: An interrogative survey for the next frontiers. IEEE Trans. Vis. Comput. Graph. 2018, 25, 2674–2693. [Google Scholar] [CrossRef] [PubMed]
- Williams, M.W. The Status of Glaciers in the Hindu Kush–Himalayan Region. Mt. Res. Dev. 2013, 33, 114–115. [Google Scholar] [CrossRef]
- Malkin, N.; Ortiz, A.; Jojic, N. Mining self-similarity: Label super-resolution with epitomic representations. In European Conference on Computer Vision; Springer: Berlin/Heidelberg, Germany, 2020; pp. 531–547. [Google Scholar]
- Gurung, D.R.; Giriraj, A.; Aung, K.S.; Shrestha, B.R.; Kulkarni, A.V. Snow-Cover Mapping and Monitoring in the Hindu Kush-Himalayas; Technical Report; International Centre for Integrated Mountain Development (ICIMOD): Patan, Nepal, 2011. [Google Scholar]
- Gertler, C.G.; Puppala, S.P.; Panday, A.; Stumm, D.; Shea, J. Black carbon and the Himalayan cryosphere: A review. Atmos. Environ. 2016, 125, 404–417. [Google Scholar] [CrossRef]









Publisher’s Note: MDPI stays neutral with regard to jurisdictional claims in published maps and institutional affiliations. |
© 2022 by the authors. Licensee MDPI, Basel, Switzerland. This article is an open access article distributed under the terms and conditions of the Creative Commons Attribution (CC BY) license (https://creativecommons.org/licenses/by/4.0/).
Share and Cite
Zheng, M.; Miao, X.; Sankaran, K. Interactive Visualization and Representation Analysis Applied to Glacier Segmentation. ISPRS Int. J. Geo-Inf. 2022, 11, 415. https://doi.org/10.3390/ijgi11080415
Zheng M, Miao X, Sankaran K. Interactive Visualization and Representation Analysis Applied to Glacier Segmentation. ISPRS International Journal of Geo-Information. 2022; 11(8):415. https://doi.org/10.3390/ijgi11080415
Chicago/Turabian StyleZheng, Minxing, Xinran Miao, and Kris Sankaran. 2022. "Interactive Visualization and Representation Analysis Applied to Glacier Segmentation" ISPRS International Journal of Geo-Information 11, no. 8: 415. https://doi.org/10.3390/ijgi11080415
APA StyleZheng, M., Miao, X., & Sankaran, K. (2022). Interactive Visualization and Representation Analysis Applied to Glacier Segmentation. ISPRS International Journal of Geo-Information, 11(8), 415. https://doi.org/10.3390/ijgi11080415

