Influential Factor Detection for Tourism on the Qinghai-Tibet Plateau Based on Social Media Data
Abstract
:1. Introduction
2. Related Works
2.1. Tourism Data
2.2. Tourism Impact Factor Analysis
3. Study Area and Materials
3.1. Study Area
3.2. Data
3.2.1. Tourism Data (Weibo)
3.2.2. Influential Factors
4. Research Framework and Methodology
4.1. Research Framework
4.2. Tourism Microblog Extraction
4.3. Factor and Interaction Detector
5. Results and Discussion
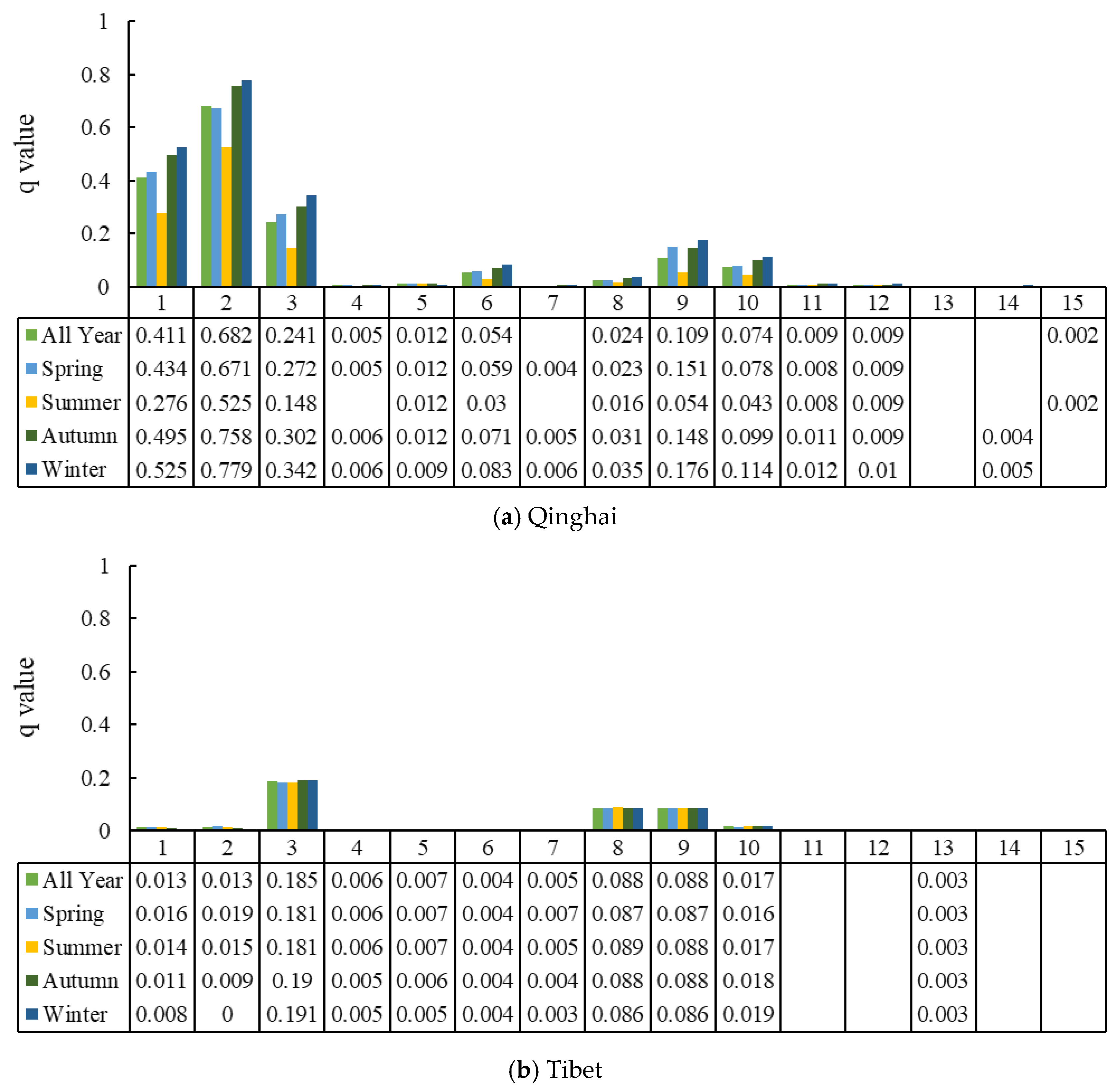
5.1. q-Statistics of Influential Factors
5.1.1. q-Statistics of Influential Factors in Qinghai
5.1.2. q-Statistics of Influential Factors in Tibet
5.1.3. Seasonal Changes of q-Statistics
5.2. Interactive q-Statistics of Influential Factors
5.2.1. Interactive q-Statistics of Influential Factors in Qinghai
5.2.2. Interactive q-Statistics of Influential Factors in Tibet
5.3. The Stratified Influence of Factors
5.4. Regional Heterogeneity of Factors
5.4.1. Factor Explanatory by City in Qinghai
5.4.2. Factor Explanatory by City in Tibet
5.5. Discussion
6. Conclusions
Author Contributions
Funding
Institutional Review Board Statement
Informed Consent Statement
Data Availability Statement
Acknowledgments
Conflicts of Interest
Appendix A
| Qinghai | Urbanization Rate | Population Density | Distance to Airport | Regional GDP in 2015 | Tourist Attraction | Hotel | Road Net Density | Altitude | Urban Area Proportion | Rural Area Proportion |
|---|---|---|---|---|---|---|---|---|---|---|
| Urbanization rate | 0.004 | |||||||||
| Population density | ** 0.144 | 0.054 | ||||||||
| Distance to airport | ** 0.015 | * 0.057 | 0.005 | |||||||
| Regional GDP in 2015 | ** 0.045 | ** 0.136 | * 0.03 | 0.024 | ||||||
| Tourist attraction | ** 0.476 | * 0.427 | * 0.416 | ** 0.477 | 0.411 | |||||
| Hotel | ** 0.733 | * 0.716 | * 0.687 | ** 0.763 | * 0.723 | 0.682 | ||||
| Road net density | ** 0.334 | ** 0.33 | * 0.246 | ** 0.291 | * 0.505 | * 0.744 | 0.241 | |||
| Altitude | ** 0.033 | ** 0.067 | * 0.016 | * 0.033 | * 0.417 | ** 0.703 | ** 0.257 | 0.012 | ||
| Urban area proportion | ** 0.126 | * 0.136 | * 0.11 | ** 0.135 | ** 0.627 | * 0.766 | ** 0.361 | * 0.12 | 0.109 | |
| Rural area proportion | ** 0.161 | * 0.078 | * 0.078 | ** 0.146 | ** 0.624 | * 0.733 | ** 0.349 | * 0.086 | * 0.161 | 0.074 |
| Tibet | Urbanization Rate | Population Density | Distance to Airport | Regional GDP in 2015 | Tourist Attraction | Hotel | Road Net Density | Altitude | Urban Area Proportion | Rural Area Proportion |
|---|---|---|---|---|---|---|---|---|---|---|
| Urbanization rate | 0.005 | |||||||||
| Population density | ** 0.017 | 0.004 | ||||||||
| Distance to airport | ** 0.016 | * 0.009 | 0.006 | |||||||
| Regional GDP in 2015 | * 0.09 | * 0.089 | * 0.09 | 0.088 | ||||||
| Tourist attraction | ** 0.045 | ** 0.018 | ** 0.023 | ** 0.146 | 0.013 | |||||
| Hotel | ** 0.023 | ** 0.023 | * 0.017 | * 0.101 | * 0.021 | 0.013 | ||||
| Road net density | ** 0.382 | ** 0.375 | ** 0.248 | ** 0.385 | ** 0.495 | ** 0.228 | 0.185 | |||
| Altitude | ** 0.023 | ** 0.012 | ** 0.019 | ** 0.372 | ** 0.027 | * 0.018 | ** 0.245 | 0.007 | ||
| Urban area proportion | ** 0.129 | * 0.089 | ** 0.105 | * 0.129 | ** 0.203 | ** 0.107 | ** 0.385 | ** 0.373 | 0.088 | |
| Rural area proportion | ** 0.094 | * 0.019 | ** 0.029 | ** 0.127 | ** 0.042 | ** 0.039 | ** 0.246 | ** 0.049 | * 0.089 | 0.017 |
References
- Zhong, L.S. Tourism Planning Case in Tibetan Plateau; China Travel and Tourism Press: Beijing, China, 2018. [Google Scholar]
- Su, M.M.; Wall, G. The Qinghai–Tibet railway and Tibetan tourism: Travelers’ perspectives. Tour. Manag. 2009, 30, 650–657. [Google Scholar] [CrossRef]
- Wang, Z.; Liang, L.; Chu, X.; Li, J. Examining the coordination effect and interactive stress between tourism economy and eco-environment in the Tibetan Plateau. J. Geo-Inf. Sci. 2019, 21, 1352–1366. [Google Scholar]
- Cao, W. Analysis of the influencing factors of tourism income based on grey correlation—Taking Qinghai province as an example. Bus. Econ. 2011, 33–34, 59. [Google Scholar]
- Qi, M.; Mi, Z. Grey-relation Analysis of Regional Economic System of Tibet Autonomous Region. Oper. Res. Manag. Sci. 2004, 13, 77–81. [Google Scholar]
- Liu, Y. Research on the Characteristic Tourism Development in the Qinghai-Tibet Plateau. Master’s Thesis, Northwest Minzu University, Lanzhou, China, 2009. [Google Scholar]
- Shen, R. Study on the Temporal-Spatial Behavior of Tourists Based on Geotagged Photo Metadata of the Qinghai-Tibet Plateau. Master’s Thesis, Lanzhou Jiaotong University, Lanzhou, China, 2020. [Google Scholar]
- Xu, J.; Xu, Y.; Hu, L.; Wang, Z. Discovering spatio-temporal patterns of human activity on the Qinghai-Tibet Plateau based on crowdsourcing positioning data. Acta Geogr. Sin. 2020, 75, 1406–1417. [Google Scholar]
- Wang, J.F.; Li, X.H.; Christakos, G.; Liao, Y.L.; Zhang, T.; Gu, X.; Zheng, X.Y. Geographical detectors-based health risk assessment and its application in the neural tube defects study of the Heshun Region, China. Int. J. Geogr. Inf. Sci. 2010, 24, 107–127. [Google Scholar] [CrossRef]
- Lewis, C.; D’Alessandro, S. Understanding why: Push-factors that drive rural tourism amongst senior travelers. Tour. Manag. Perspect. 2019, 32, 100574. [Google Scholar] [CrossRef]
- Liu, Y.; Shi, J.; Jian, M. Understanding visitors’ responses to intelligent transportation system in a tourist city with a mixed ranked logit model. J. Adv. Transp. 2017, 2017, 8652053. [Google Scholar] [CrossRef]
- Frechtling, D.C.; Hara, T. State of the world’s tourism statistics and what to do about it. Tour. Econ. 2015, 22, 995–1013. [Google Scholar] [CrossRef]
- Yang, X.; Wang, Q. Exploratory space-time analysis of inbound tourism flows to China cities. Int. J. Tour. Res. 2014, 16, 303–312. [Google Scholar]
- Önder, I.; Koerbitz, W.; Hubmann-Haidvogel, A. Tracing tourists by their digital footprints: The case of Austria. J. Travel Res. 2014, 55, 566–573. [Google Scholar] [CrossRef]
- Volo, S. Tourism statistics, indicators and big data: A perspective article. Tour. Rev. 2019, 75, 304–309. [Google Scholar] [CrossRef]
- Hallo, J.C.; Beeco, J.A.; Goetcheus, C.; McGee, J.; McGehee, N.G.; Norman, W.C. GPS as a method for assessing spatial and temporal use distributions of nature-based tourists. J. Travel Res. 2012, 51, 591–606. [Google Scholar] [CrossRef]
- Li, J.; Xu, L.; Tang, L.; Wang, S.; Li, L. Big data in tourism research: A literature review. Tour. Manag. 2018, 68, 301–323. [Google Scholar] [CrossRef]
- Mou, N.; Yuan, R.; Yang, T.; Zhang, H.; Tang, J.; Makkonen, T. Exploring spatio-temporal changes of city inbound tourism flow: The case of Shanghai, China. Tour. Manag. 2020, 76, 103955. [Google Scholar] [CrossRef]
- Lupton, D. Twitter: Social communication in the digital age. Inf. Commun. Soc. 2014, 17, 644–646. [Google Scholar] [CrossRef]
- Mou, N.; Zheng, Y.; Makkonen, T.; Yang, T.; Tang, J.; Song, Y. Tourists’ digital footprint: The spatial patterns of tourist flows in Qingdao, China. Tour. Manag. 2020, 81, 104151. [Google Scholar] [CrossRef]
- Asakura, Y.; Iryo, T. Analysis of tourist behaviour based on the tracking data collected using a mobile communication instrument. Transp. Res. Part A Policy Pract. 2007, 41, 684–690. [Google Scholar] [CrossRef]
- Salas-Olmedo, M.H.; Moya-Gómez, B.; García-Palomares, J.C.; Gutiérrez, J. Tourists’ digital footprint in cities: Comparing Big Data sources. Tour. Manag. 2018, 66, 13–25. [Google Scholar] [CrossRef] [Green Version]
- Serrano-Estrada, L.; Martí Ciriquián, P.; Nolasco-Cirugeda, A.; Agryzkov, T. Reading the social preferences of tourist destinations through social media data. In Proceedings of the International Conference Virtual City and Territory—11th Congress Virtual City and Territory, Krakow, Poland, 6–8 July 2016. [Google Scholar]
- Encalada, L.; Boavida-Portugal, I.; Cardoso Ferreira, C.; Rocha, J. Identifying tourist places of interest based on digital imprints: Towards a sustainable smart city. Sustainability 2017, 9, 2317. [Google Scholar] [CrossRef] [Green Version]
- Peng, X.; Huang, Z. A novel popular tourist attraction discovering approach based on geo-tagged social media big data. ISPRS Int. J. Geo-Inf. 2017, 6, 216. [Google Scholar] [CrossRef] [Green Version]
- Kádár, B.; Gede, M. Tourism flows in large-scale destination systems. Ann. Tour. Res. 2021, 87, 103113. [Google Scholar] [CrossRef]
- Bassolas, A.; Lenormand, M.; Tugores, A.; Gonçalves, B.; Ramasco, J.J. Touristic site attractiveness seen through Twitter. EPJ Data Sci. 2016, 5, 12. [Google Scholar] [CrossRef] [Green Version]
- He, C.; Muhtar, P.; Zhu, Y.-F.; Xie, X. Spatial pattern and influencing factors of tourism informatization in five provinces of northwest China:a case of tourism sina micro-blogs. J. Inn. Mong. Norm. Univ. Nat. Sci. Ed. 2019, 48, 8–14. [Google Scholar]
- Liu, D.; Hu, J.; Cheng, S.; Chen, J.; Zhang, Q. Spatial Pattern and Influencing Factors of Tourism Micro-blogs in China: A Case of Tourism Sina Micro-blogs. Sci. Geogr. Sin. 2015, 35, 717–724. [Google Scholar]
- Encalada-Abarca, L.; Ferreira, C.C.; Rocha, J. Measuring tourism intensification in urban destinations: An approach based on fractal analysis. J. Travel Res. 2021. [Google Scholar] [CrossRef]
- Arbel, A.; Pizam, A. Some determinants of urban hotel location: The tourists’ inclinations. J. Travel Res. 1977, 15, 18–22. [Google Scholar] [CrossRef]
- Barkauskas, V.; Barkauskienė, K.; Jasinskas, E. Analysis of macro environmental factors influencing the development of rural tourism: Lithuanian case. Procedia-Soc. Behav. Sci. 2015, 213, 167–172. [Google Scholar] [CrossRef] [Green Version]
- Eryiğit, M.; Kotil, E.; Eryiğit, R. Factors affecting international tourism flows to Turkey: A gravity model approach. Tour. Econ. 2010, 16, 585–595. [Google Scholar] [CrossRef]
- Jarvis, D.; Stoeckl, N.; Liu, H.-B. The impact of economic, social and environmental factors on trip satisfaction and the likelihood of visitors returning. Tour. Manag. 2016, 52, 1–18. [Google Scholar] [CrossRef] [Green Version]
- Shuai, M.; Pingping, C. Evaluation and analysis of the factors influencing the choice of travel destinations—A case of Xuzhou. In Proceedings of the 2011 International Conference on E-Business and E-Government (ICEE), Shanghai, China, 6–8 May 2011. [Google Scholar]
- Teye, V. Geographic factors affecting tourism in Zambia. Ann. Tour. Res. 1988, 15, 487–503. [Google Scholar] [CrossRef]
- Var, T.; Mohammad, G.; Icoz, O. Factors affecting international tourism demand for Turkey. Ann. Tour. Res. 1990, 17, 606–610. [Google Scholar] [CrossRef]
- Zadeh Bazargani, R.H.; Kiliç, H. Tourism competitiveness and tourism sector performance: Empirical insights from new data. J. Hosp. Tour. Manag. 2021, 46, 73–82. [Google Scholar] [CrossRef]
- Yeesoontes, W.; Wu, K. Factors Influencing Chinese Tourists to Travel to Thailand. In Proceedings of the International Conference on Education, Business and Management (ICEBM), Bali, Indonesia, 8–9 January 2017. [Google Scholar]
- Gutiérrez, J.; García-Palomares, J.C.; Romanillos, G.; Salas-Olmedo, M.H. The eruption of Airbnb in tourist cities: Comparing spatial patterns of hotels and peer-to-peer accommodation in Barcelona. Tour. Manag. 2017, 62, 278–291. [Google Scholar] [CrossRef] [Green Version]
- Cockerell, N. Factors Affecting Tourism. In Horwath Book of Tourism; Quest, M., Ed.; Palgrave Macmillan UK: London, UK, 1990; pp. 128–135. [Google Scholar] [CrossRef]
- Prideaux, B. Factors affecting bilateral tourism flows. Ann. Tour. Res. 2005, 32, 780–801. [Google Scholar] [CrossRef] [PubMed]
- Ao, R.; Wei, Y. A study on the regional tourism resources and the unbalanced development of the tourism industry in China. J. Financ. Econ. 2006, 32, 32–43. [Google Scholar]
- Batista e Silva, F.; Barranco, R.; Proietti, P.; Pigaiani, C.; Lavalle, C. A new European regional tourism typology based on hotel location patterns and geographical criteria. Ann. Tour. Res. 2020, 89, 103077. [Google Scholar] [CrossRef]
- Huang, H.; Zhong, W.; Lai, Q.; Qiu, Y.; Jiang, H. The spatial distribution, influencing factors, and development path of inbound tourism in China—An empirical analysis of market segments based on travel motivation. Sustainability 2020, 12, 2508. [Google Scholar] [CrossRef] [Green Version]
- Hernández, J.M.; Santana-Jiménez, Y.; González-Martel, C. Factors influencing the co-occurrence of visits to attractions: The case of Madrid, Spain. Tour. Manag. 2021, 83, 104236. [Google Scholar] [CrossRef]
- Sun, Y.; Wang, S.; Li, Y.; Feng, S.; Chen, X.; Zhang, H.; Tian, X.; Zhu, D.; Tian, H.; Wu, H. Ernie: Enhanced representation through knowledge integration. arXiv 2019, arXiv:1904.09223. [Google Scholar]
- Devlin, J.; Chang, M.-W.; Lee, K.; Toutanova, K. Bert: Pre-training of deep bidirectional transformers for language understanding. arXiv 2019, arXiv:1810.04805. [Google Scholar]
- Jenks, G.F. The data model concept in statistical mapping. Int. Yearb. Cartogr. 1967, 7, 186–190. [Google Scholar]
- He, Y. A research of impacting Xinjiang tourism economic factors based on gray correlative analysis. Ecol. Environ. 2012, 160–162, 170. [Google Scholar]
- Meng, X.; Jin, H.; Liu, J. An application of grey correlative analysis in the research of impacting Baoding Tourism economic factors. J. Hebei Univ. Technol. 2009, 38, 98–102. [Google Scholar]













| Data | Year | Source | Type | Resolution |
|---|---|---|---|---|
| Tourist attraction | 2020 | Amap | Point | – |
| Hotels | 2020 | Amap | Point | – |
| Road network density | 2020 | Amap | Line | – |
| Airport | 2020 | Amap | Point | – |
| DEM | – | SRTM 90 | TIFF | 90 m |
| Land use type | 2015 | CCI | TIFF | 300 m |
| Regional GDP | 2015 | County Economic Statistics Yearbook | Statistics | – |
| Population density | 2015 | sixth nationwide population census | Statistics | – |
| Urbanization rate | 2015 | sixth nationwide population census | Statistics | – |
| Location | All | Spring | Summer | Autumn | Winter |
|---|---|---|---|---|---|
| Qinghai | 56,914 | 7097 | 27,951 | 15,841 | 6025 |
| Tibet | 69,992 | 15,866 | 29,152 | 19,087 | 5887 |
| Type of Interaction | Description |
|---|---|
| Nonlinear reduction | q(X1 ∩ X2) < Min(q(X1), q(X2)) |
| Single factor nonlinear reduction | Min(q(X1), q(X2)) < q(X1 ∩ X2) < Max(q(X1)), q(X2)) |
| Binary enhancement | q(X1 ∩ X2) > Max(q(X1), q(X2)) |
| Independent | q(X1 ∩ X2) = q(X1) + q(X2) |
| Nonlinear enhancement | q(X1 ∩ X2) > q(X1) + q(X2) |
| Stratum | 1 | 2 | 3 | 4 | 5 |
|---|---|---|---|---|---|
| Tourist attractions | 0–1 | 2–12 | 13–42 | 43–117 | >117 |
| Hotels | 0–31 | 31–133 | 134–323 | 324–670 | >670 |
| Road network density (km/km2) | 0–17 | 18–51 | 52–110 | 111–297 | >297 |
| Distance to airport (km) | <100 | 100–200 | 201–300 | 301–400 | >400 |
| Altitude (m) | <2000 | 2000–3500 | 3501–4500 | 4501–5000 | >5000 |
| Regional GDP (ten thousand yuan) | <950 | 950–2658 | 2659–6830 | 6831–19,690 | >19,690 |
| Population density (person/km2) | 0–1 | 2–25 | 26–100 | >100 | - |
| Urbanization rate (%) | <10 | 10–21 | 22–37 | 38–64 | >64 |
| Urban area proportion (%) | <0.03 | 0.03–0.13 | 0.14–0.40 | 0.41–1.64 | >1.64 |
| Province | City | Tourists (×10,000) | Tourism Income (Million RMB) | Tourist Attractions | Hotels | |
|---|---|---|---|---|---|---|
| Qinghai | Xining | 2138.29 | 25,097 | 21,076 | 479 | 3097 |
| Haixi | 1375.20 | 8590 | 12,913 | 324 | 1114 | |
| Haidong | 1161.37 | 4469 | 3077 | 279 | 463 | |
| Hainan | 779.00 | 2056 | 12,446 | 188 | 878 | |
| Haibei | 862.72 | 2662 | 4566 | 189 | 1033 | |
| Huangnan | 557.10 | 1607 | 503 | 85 | 195 | |
| Yushu | 88.49 | 575 | 1462 | 182 | 164 | |
| Golog | 55.38 | 402 | 871 | 86 | 165 | |
| All | 7017.55 | 45,458 | 56,764 | 1812 | 7109 | |
| Tibet | Lhasa | 1600.00 | 24,567 | 32,362 | 435 | 1456 |
| Shigatse | 510.00 | 4100 | 7179 | 308 | 402 | |
| Changdu | 168.00 | 1642 | 6722 | 212 | 466 | |
| Nyingchi | 528.00 | 4500 | 12,330 | 189 | 570 | |
| Shannan | 1300.00 | 5498 | 6322 | 133 | 105 | |
| Naqu | 140.00 | 270 | 2308 | 237 | 167 | |
| Ngari | 72.51 | 940 | 2769 | 116 | 147 | |
| All | 4318.51 | 41,517 | 69,907 | 1630 | 3313 |
Publisher’s Note: MDPI stays neutral with regard to jurisdictional claims in published maps and institutional affiliations. |
© 2021 by the authors. Licensee MDPI, Basel, Switzerland. This article is an open access article distributed under the terms and conditions of the Creative Commons Attribution (CC BY) license (https://creativecommons.org/licenses/by/4.0/).
Share and Cite
Hu, L.; Xu, J.; Bao, C.; Pei, T. Influential Factor Detection for Tourism on the Qinghai-Tibet Plateau Based on Social Media Data. ISPRS Int. J. Geo-Inf. 2021, 10, 579. https://doi.org/10.3390/ijgi10090579
Hu L, Xu J, Bao C, Pei T. Influential Factor Detection for Tourism on the Qinghai-Tibet Plateau Based on Social Media Data. ISPRS International Journal of Geo-Information. 2021; 10(9):579. https://doi.org/10.3390/ijgi10090579
Chicago/Turabian StyleHu, Lei, Jun Xu, Chao Bao, and Tao Pei. 2021. "Influential Factor Detection for Tourism on the Qinghai-Tibet Plateau Based on Social Media Data" ISPRS International Journal of Geo-Information 10, no. 9: 579. https://doi.org/10.3390/ijgi10090579
APA StyleHu, L., Xu, J., Bao, C., & Pei, T. (2021). Influential Factor Detection for Tourism on the Qinghai-Tibet Plateau Based on Social Media Data. ISPRS International Journal of Geo-Information, 10(9), 579. https://doi.org/10.3390/ijgi10090579

