Geospatial Least Squares Support Vector Regression Fused with Spatial Weight Matrix
Abstract
:1. Introduction
2. Methodology
2.1. Problem Description
2.2. Spatial Weight Matrix
2.3. Geospatial LS-SVR Model Based on Spatial Autocorrelation
3. Results
3.1. Dataset Description and Spatial Dependence Analysis
3.2. Experimental Results and Evaluation
3.2.1. Model Evaluation Index
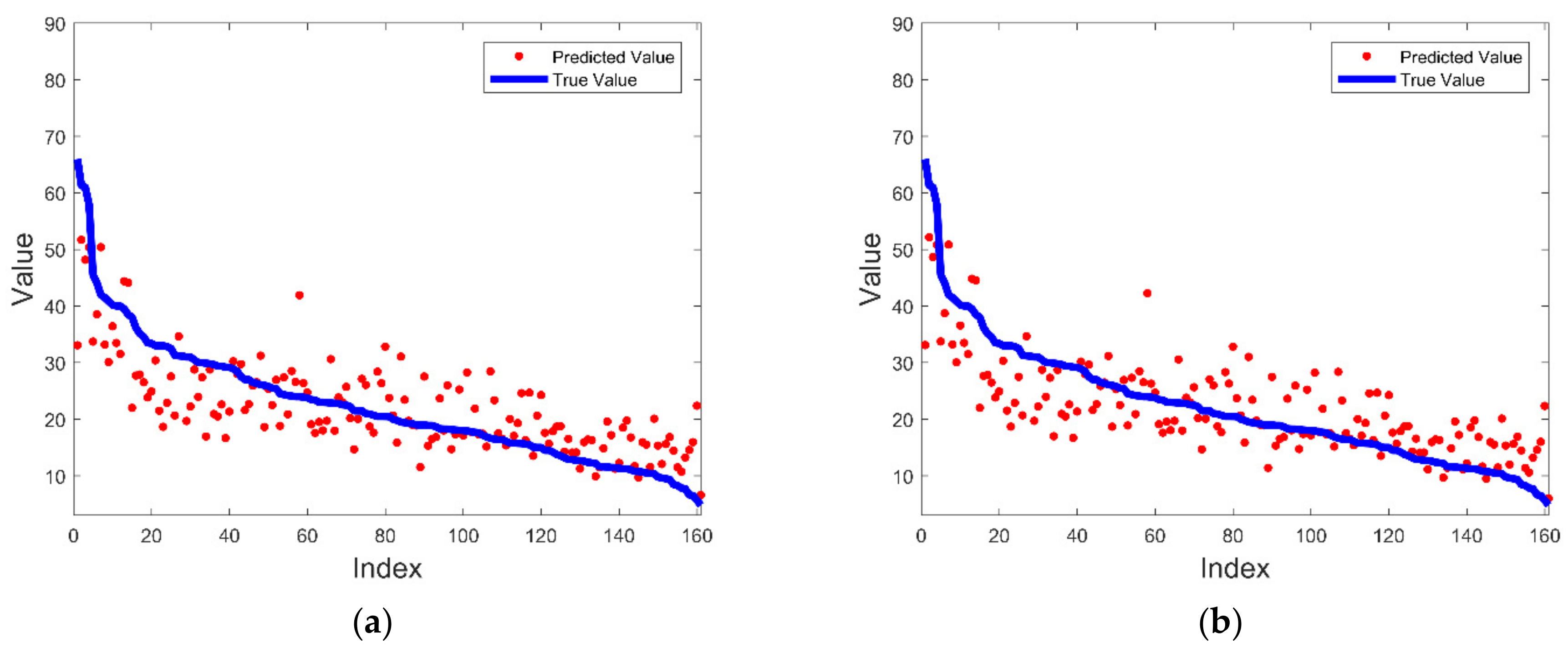
3.2.2. 0–1 Type Fusion Process and Result Analysis
3.2.3. Numerical Distance Type Fusion Process and Result Analysis
3.2.4. Comparison to Traditional Models and Result Analysis
- Linear regression: We calculated the correlation coefficients between 13 independent variables and the dependent variable, chose three variables with absolute values of the correlation coefficient with dependent variable medv greater than 0.5, i.e., RM, PTRATIO and LSTAT, and employed these three variables to perform linear regression.
- Ridge regression: Multivariate polynomial fitting with a degree of 3 was applied, and ridge regression was adopted as the regression method.
- Decision tree regression [49]: A tree structure was used for regression. The decision process of the decision tree starts from the root node of the tree, the data were compared to feature nodes, and the next comparison branch was selected according to the comparison result until the leaf node providing the final decision result was obtained. RMSE was chosen as the criterion. The maximum depth was set to 9.
- K-nearest neighbor regression (KNN) [50]: A nonparametric model that only makes decisions on the regression values of the test samples with the help of the target values of K nearest training samples. We set the number of neighbors to 5 and the weight to the inverse distance weight.
- SVR: In the conventional SVR model, a Gaussian kernel was selected as the kernel function.
4. Discussion
Author Contributions
Funding
Institutional Review Board Statement
Informed Consent Statement
Data Availability Statement
Acknowledgments
Conflicts of Interest
References
- Cressie, N. Statistics for Spatial Data; Wiley Interscience: New York, USA, 2015; pp. 1–26. [Google Scholar]
- Vapnik, V.N.; Chervonenkis, A. A note on one class of perceptrons. Autom. Remote Control 1964, 25, 821–837. [Google Scholar]
- Vapnik, V. The Nature of Statistical Learning Theory; Springer: New York, NY, USA, 1995; Volume 6. [Google Scholar]
- Zhang, H.; Huang, B. Support Vector Regression-Based Downscaling for Intercalibration of Multiresolution Satellite Images. IEEE Trans. Geosci. Remote Sens. 2013, 51, 1114–1123. [Google Scholar] [CrossRef]
- Tan, X.; Wang, J.; Jin, S.; Meng, X. GA-SVR and pseudo-position-aided GPS/INS integration during GPS outage. J. Navig. 2015, 68, 1–19. [Google Scholar] [CrossRef] [Green Version]
- Shang, Q.; Yang, Z.; Gao, S.; Tan, D. An Imputation Method for Missing Traffic Data Based on FCM Optimized by PSO-SVR. J. Adv. Transp. 2018, 2018, 2935248. [Google Scholar] [CrossRef]
- Wei, G.; Yu, X.; Long, X. Novel approach for identifying Z-axis drift of RLG based on GA-SVR model. J. Syst. Eng. Electron. 2014, 25, 115–121. [Google Scholar] [CrossRef]
- Zhou, Z.; Li, Y.; Fu, C.; Rizos, C. Least-squares support vector machine based Kalman filtering for GNSS navigation with dynamic model real-time correction. IET Radar Sonar Navig. 2016, 11, 528–538. [Google Scholar] [CrossRef]
- Jin, S.; Su, Z.; Xu, Z.; Jia, Y.; Yan, Y.; Jiang, T. Chlorophyll Content Retrieval of Rice Canopy with Multi-spectral Inversion Based on LS-SVR Algorithm. J. Northeast. Agric. Univ. 2019, 26, 53–63. [Google Scholar]
- Li, Y.; Shao, X.; Cai, W. A consensus least squares support vector regression (LS-SVR) for analysis of near-infrared spectra of plant samples. Talanta 2007, 72, 217–222. [Google Scholar] [CrossRef] [PubMed]
- Wu, C.-H.; Ho, J.-M.; Lee, D. Travel-Time Prediction With Support Vector Regression. Intell. Transp. Syst. IEEE Trans. 2005, 5, 276–281. [Google Scholar] [CrossRef] [Green Version]
- Fu, G.; Han, G.Q.; Lu, F.; Xu, Z.X. Short-term traffic flow forecasting model based on support vector machine regression. J. South China Univ. Technol. Nat. Sci. 2013, 41, 71–76. [Google Scholar] [CrossRef]
- Ballabio, C. Spatial prediction of soil properties in temperate mountain regions using support vector regression. Geoderma 2009, 151, 338–350. [Google Scholar] [CrossRef]
- Jeong, G.; Oeverdieck, H.; Park, S.J.; Huwe, B.; Ließ, M. Spatial soil nutrients prediction using three supervised learning methods for assessment of land potentials in complex terrain. CATENA 2017, 154, 73–84. [Google Scholar] [CrossRef]
- Li, S.Q.; Liu, L.L.; Rong, J.; Zhou, W.; Liu, L.B. Atmospheric weighted mean temperature based on support vector regression. J. Guilin Univ. Technol. 2019, 39, 656–660. [Google Scholar]
- Al Fugara, A.K.; Mabdeh, A.; Ahmadlou, M.; Pourghasemi, H.; Al-Adamat, R.; Pradhan, B.; Al-Shabeeb, A. Wildland Fire Susceptibility Mapping Using Support Vector Regression and Adaptive Neuro-Fuzzy Inference System-Based Whale Optimization Algorithm and Simulated Annealing. Int. J. Geo-Inf. 2021, 10, 382. [Google Scholar] [CrossRef]
- Suykens, J.; Vandewalle, J. Least Squares Support Vector Machine Classifiers. Neural Process. Lett. 1999, 9, 293–300. [Google Scholar] [CrossRef]
- Liu, F.; Wei, Z.; Huang, Z.; Lu, Y.; Hu, X.; Shi, L. A Multi-Grouped LS-SVM Method for Short-Term Urban Traffic Flow Prediction. In Proceedings of the 2019 IEEE Global Communications Conference (GLOBECOM), Waikoloa Village, HI, USA, 9–13 December 2019; pp. 1–6. [Google Scholar]
- Yao, Y.; Xu, X. A RLS-SVM aided fusion methodology for INS during GPS outages. Sensors 2017, 17, 432. [Google Scholar] [CrossRef] [PubMed] [Green Version]
- Liu, W.; Zhang, D.; Wang, A. Research of Spatial Data Interpolation Algorithm Based on SVR Optimization by GA; Springer: Berlin/Heidelberg, Germany, 2010; Volume 107, pp. 137–145. [Google Scholar]
- Ding, S.; Chen, L. Classification of Hyperspectral Remote Sensing Images with Support Vector Machines and Particle Swarm Optimization. Proc. Int. Conf. Inf. Eng. Comput. Sci. 2009, 1–5. [Google Scholar] [CrossRef]
- Huang, W. Using tuned LS-SVR to derive normal height from GPS height. In Proceedings of the 2011 IEEE International Conference on Spatial Data Mining and Geographical Knowledge Services, Fuzhou, China, 29 June–1 July 2011; pp. 511–514. [Google Scholar]
- Moosavi, V.; Talebi, A.; Mokhtari, M.; Hadian, M.R. Estimation of spatially enhanced soil moisture combining remote sensing and artificial intelligence approaches. Int. J. Remote Sens. 2016, 37, 5605–5631. [Google Scholar] [CrossRef]
- Zhao, J.; Wu, H.; Chen, L. Road Surface State Recognition Based on SVM Optimization and Image Segmentation Processing. J. Adv. Transp. 2017, 2017. [Google Scholar] [CrossRef]
- Guermoui, M.; Gairaa, K.; Toufik, A.; Boland, J. A Novel Hybrid Model for Solar Radiation Forecasting Using Support Vector Machine and Bee Colony Optimization Algorithm: Review and Case Study. J. Sol. Energy Eng. 2020, 143, 1–53. [Google Scholar] [CrossRef]
- Tobler, W.R. A Computer Movie Simulating Urban Growth in the Detroit Region. Econ. Geogr. 1970, 46, 234–240. [Google Scholar] [CrossRef]
- Li, X.; Peng, L.; Hu, Y.; Shao, J.; Chi, T. Deep learning architecture for air quality predictions. Environ. Sci. Pollut. Res. 2016, 23, 22408–22417. [Google Scholar] [CrossRef] [PubMed]
- Test, T.; Schultz, R.; Constable, R.; Staib, L. Nonlinear Estimation and Modeling of fMRI Data Using Spatio-temporal Support Vector Regression; Springer: Berlin/Heidelberg, Germany, 2003; Volume 18, pp. 647–659. [Google Scholar]
- Wang, J.; Cheng, T.; Li, X. Nonlinear Integration of Spatial and Temporal Forecasting by Support Vector Machines. In Proceedings of the Fourth International Conference on Fuzzy Systems and Knowledge Discovery (FSKD 2007), Haikou, China, 24–27 August 2007; pp. 61–66. [Google Scholar]
- Xu, Y.; Wang, B.; Kong, Q.-J.; Liu, Y.; Wang, F.-Y.; Xu, Y.; Wang, F. Spatio-temporal variable selection based support vector regression for urban traffic flow prediction. In Proceedings of the 93rd Annual Meeting of the Transportation Research Board, Washington, DC, USA, 14 January–16 January 2014. [Google Scholar]
- Rahman, K.; Anggorowati, M.A.; Andiojaya, A. Prediction and Simulation Spatio-Temporal Support Vector Regression for Nonlinear Data. Int. J. Inf. Commun. Technol. 2020, 6, 31. [Google Scholar] [CrossRef]
- Anselin, L. Spatial Econometrics: Methods and Models; Springer: Dordrecht, The Netherlands, 1988. [Google Scholar]
- Collins, K.; Babyak, C.; Moloney, J. Treatment of Spatial Autocorrelation in Geocoded Crime Data. Proc. Am. Stat. Assoc. Sect. Surv. Res. Methods 2006, 2864–2871. [Google Scholar]
- Cliff, A.; Ord, K. Spatial Autocorrelation; Pion: London, UK, 1973. [Google Scholar]
- Dacey, M. A Review on Measures of Contiguity for Two and k-Color Maps. Spat. Anal. A Read. Stat. Geogr. 1965, 41, 479–495. [Google Scholar]
- Lin, C.F.; Wang, S.D. Fuzzy Support Vector Machines. IEEE Trans. Neural Netw. 2002, 13, 464–471. [Google Scholar] [CrossRef]
- Getis, A.; Aldstadt, J. Constructing the Spatial Weights Matrix Using a Local Statistic; Springer: Berlin/Heidelberg, Germany, 2010; Volume 36, pp. 147–163. [Google Scholar]
- Rincke, J. A Commuting-Based Refinement of the Contiguity Matrix for Spatial Models, and an Application to Local Police Expenditures. Reg. Sci. Urban Econ. 2010, 40, 324–330. [Google Scholar] [CrossRef]
- Tianming, H.U.; Sam Yuan, S. Data Fusion in Radial Basis Function Networks for Spatial Regression. Neural Process. Lett. 2005, 21, 81–93. [Google Scholar] [CrossRef]
- Harrison, D.; Rubinfeld, D. Hedonic housing prices and the demand for clean air. J. Environ. Econ. Manag. 1978, 5, 81–102. [Google Scholar] [CrossRef] [Green Version]
- Hallac, D.; Leskovec, J.; Boyd, S. Network Lasso: Clustering and Optimization in Large Graphs. In Proceedings of the KDD International Conference on Knowledge Discovery & Data Mining, Sydney, Australia, 10–13 August 2015. [Google Scholar] [CrossRef] [Green Version]
- Pace, R.; Barry, R. Quick Computation of Spatial Autoregressive Estimates. Geogr. Anal. 2010, 29, 232–247. [Google Scholar] [CrossRef]
- Cliff, A.D.; Ord, J.K. Spatial Processes: Models & Applications. Q. Rev. Biol. 1982, 59, 322–325. [Google Scholar] [CrossRef]
- Luc, A. Local indicators of spatial association—LISA. Geogr. Anal. 1995, 27, 93–115. [Google Scholar]
- Pohjankukka, J.; Pahikkala, T.; Nevalainen, P.; Heikkonen, J. Estimating the prediction performance of spatial models via spatial k-fold cross validation. Int. J. Geogr. Inf. Sci. 2017, 31, 2001–2019. [Google Scholar] [CrossRef]
- Majid, J. Geostatistical modeling to simulate daily rainfall variability in Iran. Cogent. Geosci. 2017, 3, 1416877. [Google Scholar] [CrossRef]
- Chen, J.M. An Introduction to Machine Learning for Panel Data. Int. Adv. Econ. Res. 2021, 27, 1–16. [Google Scholar] [CrossRef]
- Wang, J.; Yan, X. Mutual Information-Weighted Principle Components Identified From the Depth Features of Stacked Autoencoders and Original Variables for Oil Dry Point Soft Sensor. IEEE Access 2019, 7, 1981–1990. [Google Scholar] [CrossRef]
- Trendowicz, A.; Jeffery, R. Classification and Regression Trees. In Software Project Effort Estimation: Foundations and Best Practice Guidelines for Success; Trendowicz, A., Jeffery, R., Eds.; Springer International Publishing: Cham, Switzerland, 2014; pp. 295–304. [Google Scholar]
- Maltamo, M.; Kangas, A. Methods based on k-nearest neighbor regression in the prediction of basal area diameter distribution. Can. J. For. Res. 2011, 28, 1107–1115. [Google Scholar] [CrossRef]












| Boston Housing Dataset (N = 506) | Real Estate Transactions Dataset (N = 806) | Election Dataset (N = 3107) | ||||
|---|---|---|---|---|---|---|
| Variable Type | Variable Name | Variable Meaning | Variable Name | Variable Meaning | Variable Name | Variable Meaning |
| Dependent variable | medv | Median value of owner-occupied homes in USD 1000 | price | Home sales price in USD 10,000 | Vote casting ratio | Population-wide cast votes/population over age 19 eligible to vote |
| Explanatory variable | Crim | Per capita crime rate by town | beds | Number of bedrooms | College degree ratio | Population with college degrees/population over age 19 eligible to vote |
| Zn | Proportion of residential land zoned for lots larger than 25,000 sq. ft | |||||
| indus | Proportion of nonretail business acreage per town | |||||
| Chas | Charles River dummy variable (=1 if the tract bounds the river; 0 otherwise) | |||||
| Nox | Nitric oxide concentration (parts per 10 million) | |||||
| Rm | Average number of rooms per dwelling | baths | Number of bathrooms | Homeownership ratio | Homeownership/population over age 19 eligible to vote | |
| Age | Proportion of owner-occupied units built prior to 1940 | |||||
| Dis | Weighted distances to five Boston employment centers | |||||
| Rad | Index of accessibility to radial highways | |||||
| Tax | Full-value property-tax rate per USD 10,000 | sq_ft | Square footage | Per capita income | Income/population over age 19 eligible to vote | |
| Ptratio | Pupil-teacher ratio by town | |||||
| B | 1000 (Bk-0.63)^2, where Bk is the proportion of African Americans by town | |||||
| Lstat | Percentage of the population with a lower status | |||||
| Evaluation Index | Model | Boston Housing Dataset | Real Estate Transactions Dataset | Election Dataset |
|---|---|---|---|---|
| MAE | Conventional LS-SVR | 3.2196 | 6.1166 | 0.0653 |
| Geo LS-SVR | 1.7617 | 5.7292 | 0.0576 | |
| RMSE | Conventional LS-SVR | 4.9076 | 8.4198 | 0.0837 |
| Geo LS-SVR | 2.5676 | 7.9413 | 0.0735 | |
| Conventional LS-SVR | 0.7138 | 0.5220 | 0.3982 | |
| Geo LS-SVR | 0.9216 | 0.5748 | 0.5383 |
| Evaluation Index | Model | Boston Housing Dataset | Real Estate Transactions Dataset | Election Dataset |
|---|---|---|---|---|
| MAE | LS-SVR | 2.0317 | 5.2165 | 0.0595 |
| Geo LS-SVR | 1.2250 | 5.2072 | 0.0587 | |
| RMSE | LS-SVR | 2.8182 | 6.8265 | 0.0748 |
| Geo LS-SVR | 1.8205 | 6.8179 | 0.0735 | |
| LS-SVR | 0.8676 | 0.6091 | 0.5178 | |
| Geo LS-SVR | 0.9448 | 0.6101 | 0.5351 |
| Model | MAE | RMSE | |
|---|---|---|---|
| Linear regression | 3.7668 | 5.4849 | 0.6550 |
| Ridge regression | 2.7778 | 4.3512 | 0.7829 |
| Decision tree regression | 1.2753 | 2.4832 | 0.9288 |
| KNN regression | 0.77034 | 2.3486 | 0.9367 |
| SVR | 2.4802 | 3.1604 | 0.8846 |
| LS-SVR | 2.0317 | 2.8182 | 0.8676 |
| Geo LS-SVR | 1.2250 | 1.8205 | 0.9448 |
Publisher’s Note: MDPI stays neutral with regard to jurisdictional claims in published maps and institutional affiliations. |
© 2021 by the authors. Licensee MDPI, Basel, Switzerland. This article is an open access article distributed under the terms and conditions of the Creative Commons Attribution (CC BY) license (https://creativecommons.org/licenses/by/4.0/).
Share and Cite
Wang, H.; Li, L.; Che, L.; Kong, H.; Wang, Q.; Wang, Z.; Xu, J. Geospatial Least Squares Support Vector Regression Fused with Spatial Weight Matrix. ISPRS Int. J. Geo-Inf. 2021, 10, 714. https://doi.org/10.3390/ijgi10110714
Wang H, Li L, Che L, Kong H, Wang Q, Wang Z, Xu J. Geospatial Least Squares Support Vector Regression Fused with Spatial Weight Matrix. ISPRS International Journal of Geo-Information. 2021; 10(11):714. https://doi.org/10.3390/ijgi10110714
Chicago/Turabian StyleWang, Haiqi, Liuke Li, Lei Che, Haoran Kong, Qiong Wang, Zhihai Wang, and Jianbo Xu. 2021. "Geospatial Least Squares Support Vector Regression Fused with Spatial Weight Matrix" ISPRS International Journal of Geo-Information 10, no. 11: 714. https://doi.org/10.3390/ijgi10110714
APA StyleWang, H., Li, L., Che, L., Kong, H., Wang, Q., Wang, Z., & Xu, J. (2021). Geospatial Least Squares Support Vector Regression Fused with Spatial Weight Matrix. ISPRS International Journal of Geo-Information, 10(11), 714. https://doi.org/10.3390/ijgi10110714

