Sensitive and Facile Detection of Aloin via N,F-CD-Coated Test Strips Coupled with a Miniaturized Fluorimeter
Abstract
1. Introduction
2. Experimental Section
2.1. Materials and Reagents
2.2. Instruments
2.3. Synthesis of N,F-CDs
2.4. Fluorescence Sensing Detection
2.5. Stability and Anti-Interference of N,F-CDs
2.6. Analysis of Aloin in Real Samples
3. Results and Discussion
3.1. Characterization of N,F-CDs
3.2. Fluorescence Mechanism
3.3. Optimization of Determination Conditions
3.4. Linearity and Sensitivity of N,F-CD-Coated Test Strips
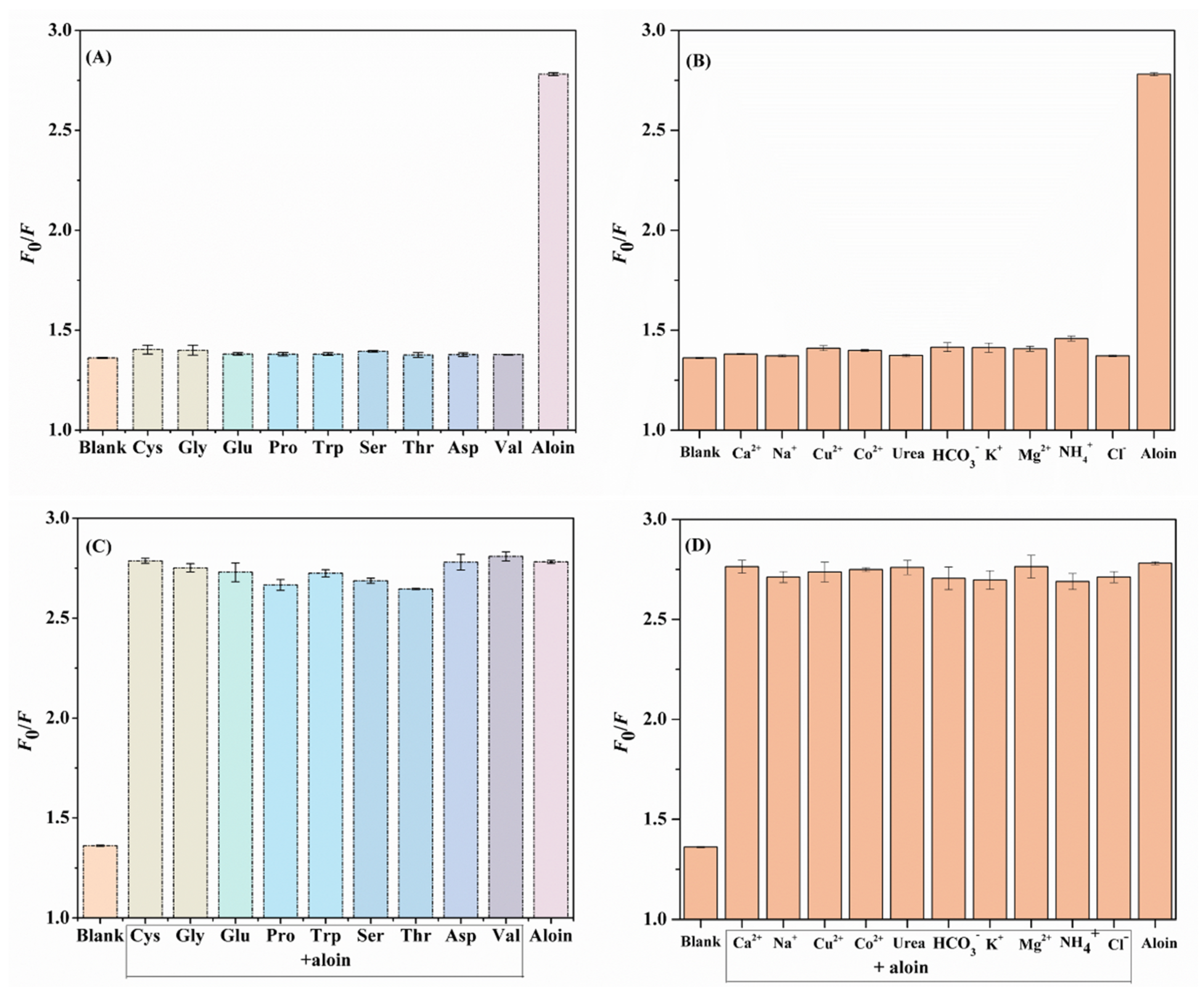
3.5. Selectivity, Stability, and Reproducibility
3.6. Analysis of Aloin in Bovine Serum Samples
4. Conclusions
Supplementary Materials
Author Contributions
Funding
Institutional Review Board Statement
Data Availability Statement
Acknowledgments
Conflicts of Interest
References
- Lazzara, S.; Carrubba, A.; Napoli, E.; Culmone, A.; Cangemi, A.C.; Giovino, A. Increased illumination levels enhance biosynthesis of aloenin A and aloin B in Aloe arborescens Mill., but lower their per-plant yield. Ind. Crops Prod. 2021, 164, 113379. [Google Scholar] [CrossRef]
- Li, L.J.; Gao, S.Q.; Peng, L.H.; Wang, X.R.; Zhang, Y.; Hu, Z.J.; Gao, J.Q. Evaluation of efficacy of aloin in treating acute trauma in vitro and in vivo. Biomed. Pharmacother. 2017, 88, 1211–1219. [Google Scholar] [CrossRef]
- Ng, Y.C.; Kim, Y.W.; Ryu, S.; Lee, A.; Lee, J.S.; Song, M.J. Suppression of norovirus by natural phytochemicals from Aloe vera and Eriobotryae Folium. Food Control 2017, 73, 1362–1370. [Google Scholar] [CrossRef]
- Wang, Z.Q.; Tang, T.; Wang, S.N.; Cai, T.Y.; Tao, H.; Zhang, Q.; Qi, S.M.; Qi, Z.L. Aloin inhibits the proliferation and migration of gastric cancer cells by regulating NOX2-ROS-mediated pro-survival signal pathways. Drug Des. Dev. Ther. 2020, 14, 145–155. [Google Scholar] [CrossRef]
- Kaparakou, E.H.; Kanakis, C.D.; Gerogianni, M.; Maniati, M.; Vekrellis, K.; Skotti, E.; Tarantilis, P.A. Quantitative determination of aloin, antioxidant activity, and toxicity of Aloe vera leaf gel products from Greece. J. Sci. Food Agric. 2021, 101, 414–423. [Google Scholar] [CrossRef]
- Girreser, U.; Ugolini, T.; Çiçek, S.S. Quality control of Aloe vera (Aloe barbadensis) and Aloe ferox using band-selective quantitative heteronuclear single quantum correlation spectroscopy (bs-qHSQC). Talanta 2019, 205, 120109. [Google Scholar] [CrossRef]
- Matos, F.L.; Duarte, E.L.; Muniz, G.S.V.; Milán-Garcés, E.A.; Coutinho, K.; Lamy, M.T.; da Cunha, A.R. Spectroscopic characterization of different protonation/deprotonation states of Barbaloin in aqueous solution. Spectrochim. Acta A 2023, 286, 122020. [Google Scholar] [CrossRef]
- Monakhova; Burmistrova, N.A.; Krivets, O.O.; Monakhova, Y.B. UV spectroscopic determination of aloin in Aloe vera (A. vera) samples based on chemometric data processing. J. Anal. Chem. 2020, 75, 1137–1142. [Google Scholar] [CrossRef]
- Xiao, M.W.; Bai, X.L.; Liu, Y.M.; Yang, L.; Hu, Y.D.; Liao, X. Rapid quantification of aloin A and B in aloe plants and aloe-containing beverages, and pharmaceutical preparations by microchip capillary electrophoresis with laser induced fluorescence detection. J. Sep. Sci. 2018, 41, 3772–3781. [Google Scholar] [CrossRef]
- Behaiyn, S.; Ebrahimi, S.N.; Rahimi, M.; Behboudi, H. Response surface methodology optimization extraction of aloins from Aloe vera leaf skin by ultrasonic horn sonicator and cytotoxicity evaluation. Ind. Crops Prod. 2023, 202, 117043. [Google Scholar] [CrossRef]
- Bayram, S.; Kutlu, N.; Gerçek, Y.C.; Çelik, S.; Bayram, N.E. Bioactive compounds of deep eutectic solvents extracts of hypericum perforatum l.: Polyphenolic-organic acid profile by LC-MS/MS and pharmaceutical activity. Food Biosci. 2022, 49, 101926. [Google Scholar] [CrossRef]
- Lee, S.; Do, S.G.; Kim, S.Y.; Kim, J.; Jin, Y.; Lee, C.H. Mass spectrometry-based metabolite profiling and antioxidant activity of Aloe vera (Aloe barbadensis Miller) in different growth stages. J. Agric. Food Chem. 2012, 60, 11222–11228. [Google Scholar] [CrossRef] [PubMed]
- Solaberrieta, I.; Jiménez, A.; Garrigós, M.C. Valorization of Aloe vera skin by-products to obtain bioactive compounds by microwave-assisted extraction: Antioxidant activity and chemical composition. Antioxidants 2022, 11, 1058. [Google Scholar] [CrossRef] [PubMed]
- Shafi, Z.; Pandey, V.K.; Singh, R.; Rustagi, S. Carbon dots-nanosensors: Advancement in food traceability for a sustainable environmental development. Food Control 2024, 165, 110693. [Google Scholar] [CrossRef]
- Wang, R.; Xue, J.P.; Wei, G.; Zhang, Y.M.; Wang, C.L.; Li, J.H.; Geng, X.H.; Ostovan, A.; Chen, L.X.; Song, Z.H. Fast and sensitive detection of anti-SARS-CoV-2 IgG using SiO2@Au@CDs nanoparticle-based lateral flow immunoassay strip coupled with miniaturized fluorimeter. Biomolecules 2024, 14, 1568. [Google Scholar] [CrossRef]
- Li, C.Y.; Li, N.; Yang, L.; Liu, L.; Zhang, D.H. Synthesis of fluorescent carbon dots by B/P doping and application for Co2+ and methylene blue detection. Spectrochim. Acta A 2024, 309, 123824. [Google Scholar] [CrossRef]
- Ma, G.Z.; Li, X.Y.; Cai, J.H.; Wang, X.Y. Carbon dots-based fluorescent probe for detection of foodborne pathogens and its potential with microfluidics. Food Chem. 2024, 451, 139385. [Google Scholar] [CrossRef]
- Vijeata, A.; Chaudhary, G.R.; Chaudhary, S.; Umar, A.; Akbar, S.; Baskoutas, S. Label free dual-mode sensing platform for trace level monitoring of ciprofloxacin using bio-derived carbon dots and evaluation of its antioxidant and antimicrobial potential. Microchim. Acta 2023, 190, 258. [Google Scholar] [CrossRef]
- Chen, Y.F.; Shen, A.Z.; Guo, J.Z.; Zhu, L.L.; Li, G.; Qin, Y.; Qu, X.W.; Wang, C.F.; Chen, S. Continuous productions of highly fluorescent carbon dots and enriched polymer nanofibers via microfluidic techniques. Chem. Eng. J. 2023, 471, 144444. [Google Scholar] [CrossRef]
- Li, G.M.; Liu, C.; Zhang, X.C.; Zhai, P.; Lai, X.Y.; Jiang, W.X. Low temperature synthesis of carbon dots in microfluidic chip and their application for sensing cefquinome residues in milk. Biosens. Bioelectron. 2023, 228, 115187. [Google Scholar] [CrossRef]
- Yan, W.; Wang, X.C.; Gao, X.; Zhao, L.S. A smart fluorescent colorimetric dual-response sensing for the determination of tetracycline antibiotics. J. Photochem. Photobiol. A 2024, 447, 115217. [Google Scholar] [CrossRef]
- Amjadi, M.; Abolghasemi-Fakhri, Z.; Hallaj, T. Carbon dots-silver nanoparticles fluorescence resonance energy transfer system as a novel turn-on fluorescent probe for selective determination of cysteine. J. Photochem. Photobiol. A 2015, 309, 8–14. [Google Scholar] [CrossRef]
- Zhang, X.; Fu, L.Z.; Hou, Y.J.; Long, N.; Zhu, G.Q.; Liao, X.F.; Zhou, L.D.; Lu, J.H.; Kong, W.J. A nitrogen-doped carbon dots based fluorescent nanosensor for sensitive assay of Fe3+ ions in dioscorea opposita thunb. Ind. Crops Prod. 2022, 177, 114439. [Google Scholar] [CrossRef]
- Jiang, L.; Ding, H.Z.; Lu, S.Y.; Geng, T.; Xiao, G.J.; Zou, B.; Bi, H. Photoactivated fluorescence enhancement in F,N-doped carbon dots with piezochromic behavior. Angew. Chem. Int. Edit. 2020, 59, 9986–9991. [Google Scholar] [CrossRef]
- Li, H.; Sun, C.M.; Zhang, M.L.; Yan, W.; Kang, Z.H. Multifunctional thermally activated delayed fluorescence carbon dots for temperature-responsive sensor, information encryption, and organelle imaging. Adv. Funct. Mater. 2024, 34, 2405669. [Google Scholar] [CrossRef]
- Chen, B.B.; Liu, M.L.; Li, C.M.; Huang, C.Z. Fluorescent carbon dots functionalization. Adv. Colloid Interfac. 2019, 270, 165–190. [Google Scholar] [CrossRef]
- Cai, R.Y.; Miao, C.F.; Zhang, L.; Zhou, Y.; Liu, Y.B.; Zheng, C.; Han, W.D.; Huang, Z.J.; Zhou, X.; Weng, S.H. Determination and the pharmacokinetic study of tigecycline by fluorescence strategy with F,N codoping carbon dots as probe. Sensor. Actuators B-chem. 2022, 361, 131721. [Google Scholar] [CrossRef]
- Zhou, J.L.; Zhao, R.X.; Liu, S.K.; Feng, L.L.; Li, W.T.; He, F.; Gai, S.L.; Yang, P.P. Europium doped silicon quantum dot as a novel FRET based dual detection probe: Sensitive detection of tetracycline, zinc, and cadmium. Small Methods 2021, 5, 2100812. [Google Scholar] [CrossRef]
- Han, W.D.; Miao, C.F.; Zhang, X.T.; Lin, Y.N.; Hao, X.L.; Huang, Z.J.; Weng, S.H.; Lin, X.H.; Guo, X.Z.; Huang, J.Y. A signal-off fluorescent strategy for deferasirox effective detection using carbon dots as probe and Cu2+ as medium. Anal. Chim. Acta 2021, 1179, 338853. [Google Scholar] [CrossRef]
- Yan, Y.H.; Sun, J.; Zhang, K.; Zhu, H.J.; Yu, H.; Sun, M.T.; Huang, D.J.; Wang, S.H. Visualizing gaseous nitrogen dioxide by ratiometric fluorescence of carbon nanodots-quantum dots hybrid. Anal. Chem. 2015, 87, 2087–2093. [Google Scholar] [CrossRef]
- Zuo, G.C.; Xie, A.M.; Pan, X.H.; Su, T.; Li, J.J.; Dong, W. Fluorine-doped cationic carbon dots for efficient gene delivery. ACS Appl. Nano Mater. 2018, 1, 2376–2385. [Google Scholar] [CrossRef]
- Bogireddy, N.K.R.; Silva, R.C.; Valenzuela, M.A.; Agarwal, V. 4-nitrophenol optical sensing with N doped oxidized carbon dots. J. Hazard. Mater. 2020, 386, 121643. [Google Scholar] [CrossRef] [PubMed]
- Mohammadi, S.; Dorado, Z.N.; Sharifan, H. Nanoscale fluorinated carbon dots for the detection of perfluorooctanoic acid in aqueous systems: A fluorescence assay enhanced by fluorophilic interactions. ACS Appl. Nano Mater. 2024, 7, 21410–21419. [Google Scholar] [CrossRef]
- Tepliakov, N.V.; Kundelev, E.V.; Khavlyuk, P.D.; Xiong, Y.; Leonov, M.Y.; Zhu, W.R.; Baranov, A.V.; Fedorov, A.V.; Rogach, A.L.; Rukhlenko, I.D. Sp2-Sp3-hybridized atomic domains determine optical features of carbon dots. ACS Nano 2019, 13, 10737–10744. [Google Scholar] [CrossRef]
- Chen, W.J.; Lin, H.; Wu, Y.Y.; Yang, M.; Zhang, X.J.; Zhu, S.H.; He, M.T.; Xie, J.X.; Shi, Z.J. Fluorescent probe of nitrogen-doped carbon dots derived from biomass for the sensing of MnO4− in polluted water based on inner filter effect. Adv. Compos. Hybrid Mater. 2022, 5, 2378–2386. [Google Scholar] [CrossRef]
- Zhang, Y.L.; Hassan, M.M.; Rong, Y.W.; Liu, R.; Li, H.H.; Ouyang, Q.; Chen, Q.S. A solid-phase capture probe based on upconvertion nanoparticles and inner filter effect for the determination of ampicillin in food. Food Chem. 2022, 386, 132739. [Google Scholar] [CrossRef]
- Conceicao, P.; Barata, J.F.B.; Hernandez-Rodriguez, M.A.; Lacerda, P.S.S.; Neves, M.G.P.M.S.; Carlos, L.D.; Trindade, T. Ratiometric nanothermometry via porphyrin inner filter effect applied to colloidal ZnS quantum dots. Sensor. Actuators A-Phys. 2023, 357, 114382. [Google Scholar] [CrossRef]
- Wu, W.W.; Ahmad, W.; Hassan, M.M.; Wu, J.Z.; Ouyang, Q.; Chen, Q.S. An upconversion biosensor based on inner filter effect for dual-role recognition of sulfadimethoxine in aquatic samples. Food Chem. 2024, 437, 137832. [Google Scholar] [CrossRef]
- Abdel-Hakim, A.; Belal, F.; Hammad, M.A.; Elgaml, A.; El-Maghrabey, M. Aliphatic substrates-mediated unique rapid room temperature synthesis of carbon quantum dots for fenofibrate versatile analysis. Anal. Chim. Acta 2025, 1337, 343539. [Google Scholar] [CrossRef]
- Cai, Z.F.; Deng, C.H.; Wang, J.; Zuo, Y.; Wu, J.L.; Wang, X.P.; Lv, T.Z.; Wang, Y.Y.; Feng, D.Y.; Zhao, J.; et al. Sensitive and selective determination of aloin with highly stable histidine-capped silver nanoclusters based on the inner filter effect. Colloids Surf. A. 2021, 627, 127224. [Google Scholar] [CrossRef]
- Hu, Y.; Wang, Y.T.; Wang, R.; Zhang, W.; Hua, R.N. Designing stimuli-responsive upconversion nanoparticles based on an inner filter effect mimetic immunoassay for phenylketonuria accuracy diagnosis. Colloids Surf. B. 2022, 217, 112642. [Google Scholar] [CrossRef] [PubMed]
- Wang, F.Y.; Feng, C.C.; Lu, L.L.; Xu, Z.A.; Zhang, W. A ratiometric fluorescent probe for rapid and sensitive detection of biothiols in fetal bovine serum. Talanta 2017, 169, 149–155. [Google Scholar] [CrossRef] [PubMed]
- Sánchez-Machado, D.I.; López-Cervantes, J.; Mariscal-Domínguez, M.F.; Cruz-Flores, P.; Campas-Baypoli, O.N.; Cantú-Soto, E.U.; Sanches-Silva, A. An HPLC procedure for the quantification of aloin in latex and gel from Aloe barbadensis leaves. J. Chromatogr. Sci. 2017, 55, 251–257. [Google Scholar] [CrossRef] [PubMed]
- Sibhat, G.; Kahsay, G.; Van Schepdael, A.; Adams, E. Evaluation of aloins, pH and moisture in aloe leaf gel-based personal care products. Int. J. Cosmet. Sci. 2022, 44, 74–81. [Google Scholar] [CrossRef]
- Zhang, J.J.; An, J.; Han, Y.Q.; Fang, J.A.; Liu, Y.F. Spermine induced in-situ synthesis of polychromatic carbon nanodots towards smartphone-readable ratiometric fluorescence sensing of multiple catecholamines. Talanta 2025, 285, 127292. [Google Scholar] [CrossRef]
- Liu, X.Q.; Wang, T.; Wang, Y.Q. Selective and ratiometric fluorescence sensing of bisphenol A in canned food based on portable fluorescent test strips. Anal. Chim. Acta 2023, 1240, 340728. [Google Scholar] [CrossRef]
- Li, Y.X.; Min, Q.; Wang, Y.F.; Zhuang, X.M.; Hao, X.W.; Tian, C.Y.; Fu, X.L.; Luan, F. A portable visual coffee ring based on carbon dot sensitized lanthanide complex coordination to detect bisphenol A in water. RSC Adv. 2022, 12, 7306–7312. [Google Scholar] [CrossRef]
- Bu, X.N.; Fu, Y.X.; Jiang, X.W.; Jin, H.; Gui, R.J. Self-assembly of DNA-templated copper nanoclusters and carbon dots for ratiometric fluorometric and visual determination of arginine and acetaminophen with a logic-gate operation. Microchim. Acta 2020, 187, 154. [Google Scholar] [CrossRef]







| Methods | Samples | Spiked (µM, n = 3) | Measured Signals (n = 3) | Detected (µM, n = 3) | RSD (%, n = 3) | Recovery (%) |
|---|---|---|---|---|---|---|
| Fluorescence method | Bovine serum | 0 | 828,971.50 | NA | -- | -- |
| 5 | 718,723.50 | 5.10 | 2.8 | 102.0 | ||
| 15 | 584,154.50 | 15.91 | 0.7 | 106.1 | ||
| 30 | 477,703.47 | 29.08 | 3.2 | 96.9 | ||
| Orange juice | 0 | 824,364.00 | NA | -- | -- | |
| 5 | 733,779.33 | 5.03 | 3.9 | 100.6 | ||
| 15 | 586,502.33 | 15.15 | 3.7 | 101.0 | ||
| 30 | 477,792.00 | 29.96 | 3.4 | 99.9 | ||
| Urine | 0 | 846,196.67 | NA | -- | -- | |
| 5 | 729,600.33 | 4.91 | 1.7 | 98.2 | ||
| 15 | 577,194.67 | 15.88 | 2.8 | 105.9 | ||
| 30 | 481,820.33 | 29.84 | 3.8 | 99.5 | ||
| UV method | Bovine serum | 0 | 0 | NA | -- | -- |
| 5 | 0.05 | 4.73 | 2.4 | 94.7 | ||
| 15 | 0.15 | 14.47 | 1.1 | 96.4 | ||
| 30 | 0.30 | 29.63 | 0.7 | 98.8 | ||
| Orange juice | 0 | 0 | NA | -- | -- | |
| 5 | 0.04 | 4.54 | 1.4 | 98.8 | ||
| 15 | 0.14 | 15.15 | 0.7 | 101.0 | ||
| 30 | 0.28 | 30.96 | 0.3 | 103.2 | ||
| Urine | 0 | 0 | NA | -- | -- | |
| 5 | 0.04 | 4.25 | 1.4 | 85.0 | ||
| 15 | 0.15 | 15.74 | 0.8 | 104.9 | ||
| 30 | 0.28 | 30.17 | 0.2 | 100.6 |
Disclaimer/Publisher’s Note: The statements, opinions and data contained in all publications are solely those of the individual author(s) and contributor(s) and not of MDPI and/or the editor(s). MDPI and/or the editor(s) disclaim responsibility for any injury to people or property resulting from any ideas, methods, instructions or products referred to in the content. |
© 2025 by the authors. Licensee MDPI, Basel, Switzerland. This article is an open access article distributed under the terms and conditions of the Creative Commons Attribution (CC BY) license (https://creativecommons.org/licenses/by/4.0/).
Share and Cite
Wei, G.; Wang, C.; Wang, R.; Zhang, P.; Geng, X.; Li, J.; Ostovan, A.; Chen, L.; Song, Z. Sensitive and Facile Detection of Aloin via N,F-CD-Coated Test Strips Coupled with a Miniaturized Fluorimeter. Biomolecules 2025, 15, 1052. https://doi.org/10.3390/biom15071052
Wei G, Wang C, Wang R, Zhang P, Geng X, Li J, Ostovan A, Chen L, Song Z. Sensitive and Facile Detection of Aloin via N,F-CD-Coated Test Strips Coupled with a Miniaturized Fluorimeter. Biomolecules. 2025; 15(7):1052. https://doi.org/10.3390/biom15071052
Chicago/Turabian StyleWei, Guo, Chuanliang Wang, Rui Wang, Peng Zhang, Xuhui Geng, Jinhua Li, Abbas Ostovan, Lingxin Chen, and Zhihua Song. 2025. "Sensitive and Facile Detection of Aloin via N,F-CD-Coated Test Strips Coupled with a Miniaturized Fluorimeter" Biomolecules 15, no. 7: 1052. https://doi.org/10.3390/biom15071052
APA StyleWei, G., Wang, C., Wang, R., Zhang, P., Geng, X., Li, J., Ostovan, A., Chen, L., & Song, Z. (2025). Sensitive and Facile Detection of Aloin via N,F-CD-Coated Test Strips Coupled with a Miniaturized Fluorimeter. Biomolecules, 15(7), 1052. https://doi.org/10.3390/biom15071052

