Foliar Spray of Fe-Asp Confers Better Drought Tolerance in Sunflower as Compared with FeSO4: Yield Traits, Osmotic Adjustment, and Antioxidative Defense Mechanisms
Abstract
1. Introduction
2. Material and Methods
2.1. Study Area
2.2. Experimental Design
2.3. Physico-Chemical Properties of Experimental Soil
2.4. Preparation of Chelation
2.5. Leaf Area Estimation
2.6. Determination of Leaf Relative Water Content (LRWC)
2.7. Determination of Relative Membrane Permeability
2.8. Quantification of Leaf Photosynthetic Pigments
2.9. Quantification of Leaf Total Phenolic Content (TPC)
2.10. Quantification of Leaf Total Anthocyanin (T. Antho) Content
2.11. Quantification of Leaf Ascorbic Acid (AsA) Content
2.12. Quantification of Leaf Total Soluble Protein (TSP) and Activities of Antioxidant Enzymes
2.12.1. Extraction of TSP and Enzymes
2.12.2. Estimation of TSP
2.12.3. Determination of the Activity of Superoxide Dismutase (SOD)
2.12.4. Estimation of Peroxidase (POD) Activity
2.12.5. Determination of Catalase (CAT) and Ascorbte Peroxidase (APX) Activity
2.13. Estimation of Total Free Amino Acid (FAA) Content
2.14. Quantification of Leaf Reducing Sugars (RS)
2.15. Quantification of Total Soluble Sugars (TSS)
2.16. Quantification of Non-Reducing Sugars (NRS)
2.17. Quantification of Leaf Malondialdehyde (MDA) Content
2.18. Quantification of Leaf H2O2 Content
2.19. Quantification of Amino Acids
2.19.1. Quantification of Leaf Glycine Betain (GB) Content
2.19.2. Quantification of Proline (Pro) Content in Fresh Leaves
2.19.3. Quantification of Aspartate (Asp) Content in Leaves
2.19.4. Quantification of Glutamate (Glu) Content in Leaves
2.19.5. Quantification of Methionine (Meth) and Lysine (Lys) Contents in Leaves
2.20. Quantification of Reduced Glutathione (GSH) and Oxidized Glutathione (GSSG)
2.21. Determination of Yield Attributes
2.22. Quantification of Minerals in Shoots and Roots
2.23. Statistical Analysis
3. Results
3.1. Growth and Yield Attributes
3.2. Leaf Relative Water Content, Photosynthetic Pigments, Carotenoids, and Anthocyanin Contents
3.3. Contents of Different Amino Acids
3.4. LRMP, MDA, FAA, H2O2, and Activities of Different Antioxidant Enzymes
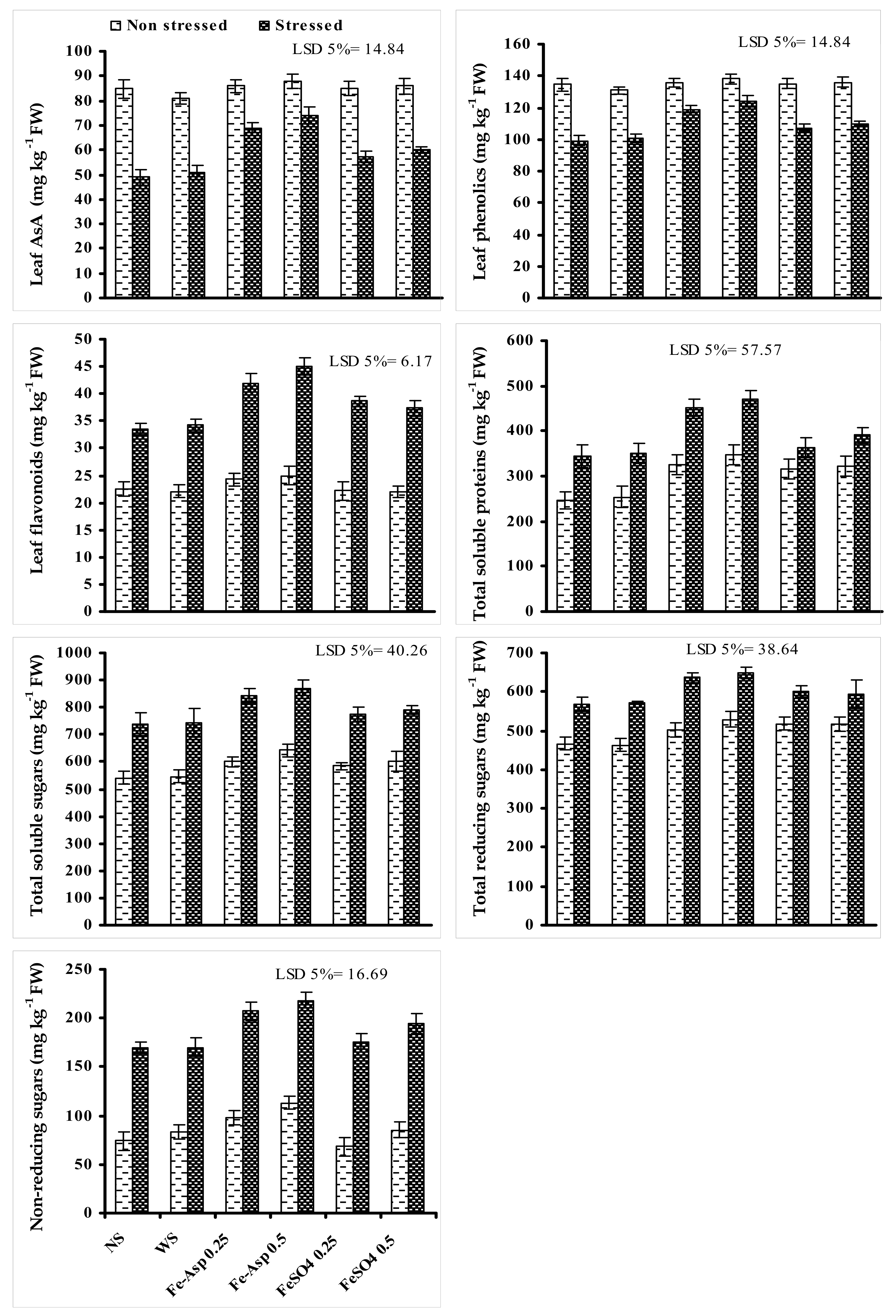
3.5. Contents of AsA, Phenolics, Flavonoids, Total Soluble Proteins, Total Soluble Sugars, Reducing Sugars, and Non-Reducing Sugars
3.6. Contents of Different Minerals in Shoot and Root
3.7. Correlations among the Attributes of Water Stressed Sunflower Plants
4. Discussion
4.1. Plant Growth and Seed Yield
4.2. Role of Leaf Photosynthetic Pigments
4.3. Maintenance of Plant Water Relations and Osmotic Adjustment
4.4. Improvement in Antioxidative Defense Mechanism
5. Conclusions
Author Contributions
Funding
Acknowledgments
Conflicts of Interest
Abbreviations
| RFW | root fresh weight |
| SFW | shoot fresh weight |
| PB | plant biomass |
| SL | shoot length |
| NOL | number of leaves |
| LA | leaf area |
| LRWC | leaf relative water content |
| C Dia | capitulum diameter |
| NOA | number of achenes per capitulum |
| 100 AW | 100 achene weight |
| Ach W | achene weight per capitulum |
| Chl. b | chlorophyll b |
| Chl. a | chlorophyll a |
| T Chl | total chlorophyll |
| Chl. a/b | chlorophyll a/b ratio |
| Car | carotenoids |
| LRMP | leaf relative membrane permeability |
| MDA | malondialdehyde |
| H2O2 | hydrogen peroxide |
| TPC | total phenolic content |
| AsA | ascorbic acid |
| Antho | anthocyanin |
| Flav | flavonoids |
| POD | peroxidase |
| SOD | superoxide dismutase |
| CAT | catalase |
| APX | ascorbate peroxidase |
| Gluta | glutathione |
| Meth | methionine |
| Lys | lysine |
| Asp | aspartate |
| GB | glycine betaine |
| Pro | proline |
| GSG | reduced glutathione |
| GSSG | oxidized glutathione |
| FAA | free amino acids |
| TSP | total soluble proteins |
| TSS | total soluble sugars |
| R Sug | redusing sugars |
| NRS | non-reducing sugars |
| KS | shoot K |
| Ca S | shoot Ca |
| Mg S | shoot Mg |
| NS | shoot N |
| PS | shoot P |
| N R | root N |
| Mg R | root Mg |
| K R | root K |
| Ca R | root Ca |
| P R | root P |
| Fe S | shoot Fe |
| Fe R | root Fe |
References
- Boudsocq, M.; Lauriere, C. Osmotic Signaling in Plants. Multiple Pathways Mediated by Emerging Kinase Families. Plant Physiol. 2005, 138, 1185–1194. [Google Scholar] [CrossRef] [PubMed]
- Kumar, V.; Parihar, R.D.; Sharma, A.; Bakshi, P.; Sidhu, G.P.S.; Bali, A.S.; Karaouzas, I.; Bhardwaj, R.; Thukral, A.K.; Gyasi-Agyei, Y.; et al. Global Evaluation of Heavy Metal Content in Surface Water Bodies: A Meta-Analysis Using Heavy Metal Pollution Indices and Multivariate Statistical Analyses. Chemosphere 2019, 236, 124364. [Google Scholar] [CrossRef] [PubMed]
- Yin, M.; Li, Y.; Xu, Y.; Zhou, C. Effects of mulches on water use in a winter wheat/summer maize rotation system in Loess Plateau, China. J. Arid Land 2018, 10, 277–291. [Google Scholar] [CrossRef]
- Lahmod, N.R.; Alkooranee, J.T.; Alshammary, A.A.G.; Rodrigo-Comino, J. Effect of Wheat Straw as a Cover Crop on the Chlorophyll, Seed, and Oilseed Yield of Trigonella foeunm graecum L under Water Deficiency and Weed Competition. Plants 2019, 8, 503. [Google Scholar] [CrossRef] [PubMed]
- Michelon, N.; Pennisi, G.; Myint, N.O.; Orsini, F.; Gianquinto, G. Strategies for Improved Water Use Efficiency (WUE) of Field-Grown Lettuce (Lactuca sativa L.) under a Semi-Arid Climate. Agronomy 2020, 10, 668–683. [Google Scholar] [CrossRef]
- El-Esawi, M.A.; Alaraidh, I.A.; Alsahli, A.A.; Alzahrani, S.M.; Ali, H.M.; Alayafi, A.A.; Ahmad, M. Serratia liquefaciens KM4 Improves Salt Stress Tolerance in Maize by Regulating Redox Potential, Ion Homeostasis, Leaf Gas Exchange and Stress-Related Gene Expression. Int. J. Mol. Sci. 2018, 19, 3310. [Google Scholar] [CrossRef]
- Vwioko, E.; Adinkwu, O.; El-Esawi, M.A. Comparative Physiological, Biochemical and Genetic Responses to Prolonged Waterlogging Stress in Okra and Maize Given Exogenous Ethylene Priming. Front. Physiol. 2017, 8, 632. [Google Scholar] [CrossRef]
- Ali, Q.; Ali, S.; Iqbal, N.; Javed, M.T.; Rizwan, M.; Khaliq, R.; Shahid, S.; Perveen, R.; Alamri, S.A.; Alyemeni, M.N.; et al. Alpha-tocopherol Fertigation Confers Growth Physio-Biochemical and Qualitative Yield Enhancement in Field Grown Water Deficit Wheat (Triticum aestivum L.). Sci. Rep. 2019, 9, 12924. [Google Scholar] [CrossRef]
- El-Esawi, M.A.; Germaine, K.; Bourke, P.; Malone, R. AFLP analysis of genetic diversity and phylogenetic relationships of Brassica oleracea in Ireland. C. R. Biol. 2016, 339, 163–170. [Google Scholar] [CrossRef]
- El-Esawi, M.A. Genetic diversity and evolution of Brassica genetic resources: From morphology to novel genomic technologies—A review. Plant Genet. Resour. 2017, 15, 388–399. [Google Scholar] [CrossRef]
- Bista, D.R.; Heckathorn, S.A.; Jayawardena, D.M.; Mishra, S.; Boldt, L.K. Effects of Drought on Nutrient Uptake and the Levels of Nutrient-Uptake Proteins in Roots of Drought-Sensitive and -Tolerant Grasses. Plants 2018, 7, 28–44. [Google Scholar] [CrossRef] [PubMed]
- Hussain, H.A.; Men, S.; Hussain, S.; Chen, Y.; Ali, S.; Zhang, S.; Zhang, K.; Li, Y.; Xu, Q.; Liao, C.; et al. Interactive Effects of Drought and Heat Stresses on Morpho-Physiological Attributes, Yield, Nutrient Uptake and Oxidative Status in Maize Hybrids. Sci. Rep. 2019, 9, 3890–3902. [Google Scholar] [CrossRef] [PubMed]
- Silva, E.C.; Nogueira, R.J.M.C.; da Silva, M.A.; de Albuquerque, M.B. Drought Stress and Plant Nutrition. Plant Stress 2011, 5, 32–41. [Google Scholar]
- Tripathi, D.K.; Singh, S.; Gaur, S.; Singh, S.; Yadav, V.; Liu, S.; Singh, V.P.; Sharma, S.; Srivastava, P.; Prasad, S.M.; et al. Acquisition and Homeostasis of Iron in Higher Plants and Their Probable Role in Abiotic Stress Tolerance. Front. Environ. Sci. 2018, 5, 86. [Google Scholar] [CrossRef]
- González, M.; Hailemichael, G.; Catalina, Á.; Martín, P. Combined Effects of Water Status and Iron Deficiency Chlorosis on Grape Composition in Non-irrigated Vineyards. Sci. Agric. 2019, 76, 473–480. [Google Scholar] [CrossRef]
- Kim, S.A.; Guerinot, M.L. Mining Iron: Iron Uptake and Transport in Plants. FEBS Lett. 2007, 581, 2273–2280. [Google Scholar] [CrossRef]
- Khobra, R.; Ahuja, S.; Singh, B. Chlorophyll Biosynthesis as the Basis of Iron Use Efficiency Under Iron Deficiency and its Relationship with the Phytosiderophore Synthesis and Release in Wheat. Ind. J. Plant Physiol. 2014, 19, 330–337. [Google Scholar] [CrossRef]
- Marschner, M.H. Mineral Nutrition of Higher Plants, 3rd ed.; Marschner, P., Ed.; Academic Press: Cambridge, MA, USA, 2011; p. 672. [Google Scholar]
- Kumar, P.; Tewari, R.K.; Sharma, P.N. Sodium Nitroprusside Mediated Alleviation of Iron Deficiency and Modulation of Antioxidant Responses in Maize Plants. AoB Plants 2010, 2, 1–11. [Google Scholar] [CrossRef]
- Pessarakli, M. Handbook of Plant and Crop Stress, 2nd ed.; Marcel Dekker: New York, NY, USA, 1999. [Google Scholar]
- Schmidt, W. Iron Stress-Induced Redox Reactions in Bean Roots. Physiol. Plant. 1993, 89, 448–452. [Google Scholar] [CrossRef]
- Ghorbani, S.; Khiabani, B.N.; Amini, I.; Ardakani, M.R.; Pirdashti, H.; Moakhar, S.R. Effect of Iron and Zinc on Yield and Yield Components of Mutant Line’s Wheat. Asian J. Biol. Sci. 2009, 2, 74–80. [Google Scholar]
- Rout, G.R.; Sahoo, S. Role of Iron in Plant Growth and Metabolism. Rev. Agric. Sci. 2015, 3, 1–24. [Google Scholar] [CrossRef]
- Zuo, Y.; Zhang, F. Soil and Crop Management Strategies to Prevent Iron Deficiency in Crops. Plant Soil 2011, 339, 83–95. [Google Scholar] [CrossRef]
- Martínez-Cuenca, M.; Quiñones, A.; Primo-Millo, E.; Forner-Giner, M.Á. Flooding Impairs Fe Uptake and Distribution in Citrus Due to the Strong Down-Regulation of Genes Involved in Strategy I Responses to Fe Deficiency in Roots. PLoS ONE 2015, 10, e123644. [Google Scholar] [CrossRef] [PubMed]
- Naranjo-Arcos, M.A.; Bauer, P. Iron Nutrition, Oxidative Stress, and Pathogen Defense. In Nutritional Deficiency; Erkekoglu, P., Kocer-Gumusel, B., Eds.; Intech Open: London, UK, 2016. [Google Scholar] [CrossRef]
- Guo, A.; Hu, Y.; Shi, M.; Wang, H.; Wu, Y.; Wang, Y. Effects of Iron Deficiency and Exogenous Sucrose on the Intermediates of Chlorophyll Biosynthesis in Malus halliana. PLoS ONE 2020, 15, e232694. [Google Scholar] [CrossRef]
- Ramezani, A.; Sajedi, N.A.; Yarahmadi, H.M. The Effect of Foliar Application of Iron, Zinc, and Selenium on Nutrient Uptake and Yield of Alfalfa. Int. Res. J. Appl. Basic Sci. 2019, 10, 557–562. [Google Scholar]
- Pirzad, A.; Shokrani, F. Effects of Iron Application on Growth Characters and Flower Yield of Calendula officinalis L. Under Water Stress. World Appl. Sci. J. 2012, 18, 1203–1208. [Google Scholar]
- Parmar, K.A.; Prajapati, S.; Patel, R.; Dabhi, Y. Effective Use of Ferrous Sulfate and Alum as a Coagulant in Treatment of Dairy Industry Waste Water. ARPN J. Engin. Appl. Sci. 2011, 6, 42–45. [Google Scholar]
- Souri, M.K. Aminochelate Fertilizers: The New Approach to the Old Problem; a Review. Open Agric. 2016, 1, 118–123. [Google Scholar] [CrossRef]
- Rizwan, M.; Ali, S.; Hussain, A.; Ali, Q.; Shakoor, M.B.; Zia-ur-Rehman, M.; Farid, M.; Asma, M. Effect of Zinc-Lysine on Growth, Yield and Cadmium Uptake in Wheat (Triticum aestivum L.) and Health Risk Assessment. Chemosphere 2017, 187, 35–42. [Google Scholar] [CrossRef]
- Ali, Q.; Athar, H.B.; Haider, M.Z.; Shahid, S.; Aslam, N.; Shehzad, F.; Naseem, J.; Ashraf, R.; Ali, A.; Hussain, S.M. Role of Amino Acids in Improving Abiotic Stress Tolerance to Plants. In Plant Tolerance to Environmental Stress: Role of Phytoprotectants; Hasanuzzaman, M., Fujita, M., Oku, H., Islam, M.T., Eds.; CRC Press: Boca Raton, FL, USA, 2019; pp. 175–203. [Google Scholar]
- Rawia, A.E.; Lobna, S.T.; Soad, M.M.I. Alleviation of adverse effects of salinity on growth, and chemical constituents of marigold plants by using glutathione and ascorbate. J. Appl. Sci. Res. 2011, 7, 714–721. [Google Scholar]
- Azevedo, R.A.; Lancien, M.; Lea, P.J. The Aspartic Acid Metabolic Pathway, an Exciting and Essential Pathway in Plants. Amino Acids 2006, 30, 143–162. [Google Scholar] [CrossRef] [PubMed]
- Vijayakumar, M.; Vasudevan, D.M.; Sundaram, K.R.; Krishnan, S.; Vaidyanathan, K.; Nandakumar, S.; Chandrasekhar, R.; Mathew, N. A Randomized Study of Coconut Oil Versus Sunflower Oil on Cardiovascular Risk Factors in Patients with Stable Coronary Heart Disease. Ind. Heart J. 2016, 168, 498–506. [Google Scholar] [CrossRef] [PubMed]
- Anushree, S.; André, M.; Guillaume, D.; Frédéric, F. Stearic Sunflower Oil as a Sustainable and Healthy Alternative to Palm Oil. A review. Agron. Sustain. Dev. 2017, 37, 18–28. [Google Scholar] [CrossRef]
- Buriro, M.; Chachar, N.A.; Buriro, B.; Gandahi, A.W.; Mangan, T. Effect of Water Stress on Growth and Yield of Sunflower. J. Agric. Technol. 2015, 11, 1547–1563. [Google Scholar]
- Ismail, S.M.; El-Nakhlawy, F.S. Optimizing Water Productivity and Production of Sunflower Crop Under Arid Land Conditions. Water Supply 2018, 18, 1861–1868. [Google Scholar] [CrossRef]
- Kazmi, D.H.; Li, J.; Rasul, G.; Tong, J.; Ali, G.; Cheema, S.B.; Liu, L.; Gemmer, M.; Fisherr, T. Statistical Downscaling and Future Scenario Generation of Temperatures for Pakistan Region. Theor. Appl. Climatol. 2015, 120, 341–350. [Google Scholar] [CrossRef]
- Davis, J.; Freitas, F. Physical and Chemical Methods of Soil and Water Analysis. In Soil Bulletin 10; Food and Agricultural Organizations: Rome, Italy, 1970. [Google Scholar]
- Estefan, G.; Sommer, R.; Ryan, J. Methods of Soil, Plant, and Water Analysis: A Manual for the West Asia and North Africa Region, 3rd ed.; International Center for Agricultural Research in the Dry Areas: Beirut, Lebanon, 2013. [Google Scholar]
- Olsen, S.R.; Sommers, L.E. Phosphorous in Method of Soil Analysis, Part-2, Chemical and Microbiological Properties. In Agronomy Monograph Number 9, 2nd ed.; American Society of Agronomy, Inc.: Madison, WI, USA; Soil Science Society of America, Inc.: Madison, WI, USA, 1982. [Google Scholar]
- Nelson, D.W.; Bremner, J.M. Preservation of Soil Samples for Inorganic Nitrogen Analysis. Agron. J. 1972, 64, 196–199. [Google Scholar] [CrossRef]
- Page, A.L.; Miller, R.H.; Keeny, D.R. Organic Carbon in Methods of Soil Analysis, Chemical & Microbiological Properties; American Society of Agronomy, Inc.: Madison, WI, USA; Soil Science Society of America, Inc.: Madison, WI, USA, 1982; Volume 9, pp. 570–571. [Google Scholar]
- Knudsen, D.; Peterson, G.A.; Pratt, P.F. Lithium, Sodium and Potassium. In Methods of Soil Analysis—Chemical and Microbiological Properties, 2nd ed.; Number 9, (Part-2); American Society of Agronomy, Inc.: Madison, WI, USA; Soil Science Society of America, Inc.: Madison, WI, USA, 1982; Volume 13, pp. 238–241. [Google Scholar]
- Nelson, R.E. Carbonate and Gypsum. In Methods of Soil Analysis, Part-2; Page, A.L., Ed.; American Society of Agronomy, Inc.: Madison, WI, USA; Soil Science Society of America, Inc.: Madison, WI, USA, 1982; Volume 9, pp. 181–197. [Google Scholar]
- Leu, M. Metal Lysine Complexes and Method for Producing Metal Lysine Complexes. U.S. Patent Application No. 5,061,815, 29 October 1991. [Google Scholar]
- Kvet, J.; Marshall, J.K. Assessment of Leaf Area and Other Assimilating Plant Surfaces. In Plant Photosynthetic Production; Sestak, Z., Catsky, J., Jarvis, P.G., Eds.; Junk Publishers: The Hague, The Netherlands, 1971; pp. 517–555. [Google Scholar]
- Sade, N.; Galkin, E.; Moshelion, M. Measuring Arabidopsis, Tomato and Barley Leaf Relative Water Content (RWC). Bio-Protocol 2015, 5, 1451–1455. [Google Scholar] [CrossRef]
- Yang, X.J.; Ogryzko, V.V.; Nishikawa, J.I.; Howard, B.H.; Nakatani, Y. A p300/CBP-Associated Factor That Competes with the Adenoviral on Coprotein E1A. Nature 1996, 382, 319–324. [Google Scholar] [CrossRef]
- Arnon, D.I. Copper Enzymes in Isolated Chloroplasts. Polyphenoloxidase in Beta vulgaris. Plant Physiol. 1949, 24, 1–15. [Google Scholar] [CrossRef]
- Kirk, J.T.O.; Allen, R.L. Dependence of Chloroplast Pigment Synthesis on Protein Synthesis: Effect of Actidione. Biochem. Biophys. Res. Commun. 1965, 21, 523–530. [Google Scholar] [CrossRef]
- Julkenen-Titto, R. Phenolic Constituents in the Leaves of Northern Willows: Methods for the Analysis of Certain Phenolics. Agric. Food Chem. 1985, 3, 213–217. [Google Scholar] [CrossRef]
- Nakata, M.; Mitsuda, N.; Herde, M.; Koo, A.J.; Moreno, J.E.; Suzuki, K.; Howe, G.A.; Ohme-Takagi, M. A bHLH-type Transcription Factor, ABA-INDUCIBLE BHLH-TYPE TRANSCRIPTION FACTOR/JA-ASSOCIATED MYC2-LIKE1, Acts as a Repressor to Negatively Regulate Jasmonate Signaling in Arabidopsis. Plant Cell 2013, 25, 1641–1656. [Google Scholar] [CrossRef] [PubMed]
- Mukherjee, S.P.; Choudhuri, M.A. Implications of Water Stress-Induced Changes in the Levels of Endogenous Ascorbic Acid and Hydrogen Peroxide in Vigna Seedlings. Physiol. Plant. 1983, 58, 166–170. [Google Scholar] [CrossRef]
- Bradford, M.M. A Rapid and Sensitive Method for the Quantitation of Microgram Quantities of Protein Utilizing the Principle of Protein-Dye Binding. Anal. Biochem. 1976, 72, 248–254. [Google Scholar] [CrossRef]
- Giannopolitis, C.N.; Ries, S.K. Superoxide dismutases I. Occurrence in Higher Plants. Plant Physiol. 1977, 59, 309–314. [Google Scholar] [CrossRef]
- Chance, B.; Maehly, A.C. Assay of Catalases and Peroxidases. Methods Enzymol. 1955, 2, 764–775. [Google Scholar]
- Asada, K.; Takahashi, M. Production and Scavenging of Active Oxygen in Chloroplasts. In Photoinhibition; Kyle, D.J., Osmond, C.B., Arntzen, C.J., Eds.; Elsevier: Amsterdam, The Netherlands, 1987; pp. 227–287. [Google Scholar]
- Hamilton, P.B.; Van Slyke, D.D. The Gasometric Determination of Free Amino Acids in Blood Filtrates by the Ninhydrin-Carbon Dioxide Method. J. Biol. Chem. 1943, 150, 231–250. [Google Scholar]
- Wood, T.M.; Bhat, K.M. Methods for Measuring Cellulase Activities. Methods Enzymol. 1988, 160, 87–112. [Google Scholar]
- Cakmak, I.; Horst, W.J. Effect of Aluminium on Lipid Peroxidation, Superoxide Dismutase, Catalase, and Peroxidase Activities in Root Tips of Soybean (Glycine max). Physiol. Plant. 1991, 83, 463–468. [Google Scholar] [CrossRef]
- Velikova, V.; Yordanov, I.; Edreva, A. Oxidative Stress and Some Antioxidant Systems in Acid Rain-Treated Bean Plants: Protective Role of Exogenous Polyamines. Plant Sci. 2000, 151, 59–66. [Google Scholar] [CrossRef]
- Grieve, C.M.; Grattan, S.R. Rapid Assay for Determination of Water Soluble Quaternary Ammonium Compounds. Plant Soil 1983, 70, 303–307. [Google Scholar] [CrossRef]
- Bates, L.S.; Waldren, R.P.; Teare, I.D. Rapid Determination of Free Proline for Water-Stress Studies. Plant Soil 1973, 39, 205–207. [Google Scholar] [CrossRef]
- Pfleiderer, G.; Gruber, W.; Wieland, T. Enzymic Estimation of L-aspartic acid. Biochem. Ztschr. 1955, 326, 446–450. [Google Scholar]
- Beutler, H.O.; Michal, G. Methods of Enzymatic Analysis; Bergmeyer, H.U., Ed.; Academic Press: New York, NY, USA, 1974; pp. 1708–1713. [Google Scholar]
- Losak, T.; Hlusek, J.; Filipcik, R.; Pospisilova, L.; Manasek, J.; Prokes, K. Effect of Nitrogen Fertilization on Metabolism of Essential and Non-Essential Amino Acids Yield-Grown Grain Maize (Zea mays L). Plant Soil Environ. 2010, 56, 574–579. [Google Scholar] [CrossRef]
- Griffith, O.W. Determination of Glutathione and Glutathione Disulfide Using Glutathione Reductase and 2-vinylpyridine. Anal. Biochem. 1980, 106, 207–212. [Google Scholar] [CrossRef]
- Wolf, B. A Comprehensive System of Leaf Analyses and Its Use for Diagnosing Crop Nutrient Status. Commun. Soil Sci. Plant Anal. 1982, 13, 1035–1059. [Google Scholar] [CrossRef]
- Bremner, J.M.; Keeney, D.R. Steam Distillation Methods for the Determination of Ammonium, Nitrate, and Nitrite. Anal. Chim. Acta 1965, 32, 485–495. [Google Scholar] [CrossRef]
- Laan, P.; Smolders, A.J.P.; Blom, C.W.P.M. The Relative Importance of Anaerobiosis and High Iron Levels in Flood Tolerance of Rumex Species. Plant Soil 1991, 136, 153–161. [Google Scholar] [CrossRef]
- Akladious, S.A.; Abbas, S.M. Alleviation of Seawater Stress on Tomato by Foliar Application of Aspartic Acid and Glutathione. J. Stress Physiol. Biochem. 2013, 3, 282–298. [Google Scholar]
- Bertini, I.; Rosato, A. From Genes to Metalloproteins: A Bioinformatic Approach. Eur. J. Inorg. Chem. 2007, 18, 2546–2555. [Google Scholar] [CrossRef]
- Deswal, K.; Pandurangam, V. Morpho-physiological and Biochemical Studies on Foliar Application of Zinc, Iron and Boron in Maize (Zea mays L.). J. Pharmacogn. Phytochem. 2018, 7, 3515–3518. [Google Scholar]
- Babaeian, M.; Piri, I.; Tavassoli, A.; Esmaeilian, Y.; Gholami, H. Effect of Water Stress and Micronutrients (Fe, Zn and Mn) on Chlorophyll Fluorescence, Leaf Chlorophyll Content and Sunflower Nutrient Uptake in Sistan Region. Afr. J. Agric. Res. 2011, 6, 3526–3531. [Google Scholar]
- Incesu, M.; Yeşiloğlu, T.; Cimen, B.; Yilmaz, B. Influences of Different Iron Levels on Plant Growth and Photosynthesis of W. Murcott Mandarin Grafted on Two Rootstocks Under High pH Conditions. Turk. J. Agric. For. 2015, 39, 838–844. [Google Scholar] [CrossRef]
- Sadak, M.S.H.; Abdelhamid, M.T.; Schmidhalter, U. Effect of Foliar Application of Amino Acids on Plant Yield and Some Physiological Parameters in Bean Plants Irrigated with Seawater. Acta Biol. Colomb. 2015, 20, 141–152. [Google Scholar]
- Taize, L.; Zeiger, E.; Moller, I.M.; Murphy, A. Plant Physiology and Development, 6th ed.; Sinauer Associates: Sunderland, MA, USA, 2015. [Google Scholar]
- El-Esawi, M.A.; Al-Ghamdi, A.A.; Ali, H.M.; Ahmad, M. Overexpression of AtWRKY30 Transcription Factor Enhances Heat and Drought Stress Tolerance in Wheat (Triticum aestivum L.). Genes 2019, 10, 163–176. [Google Scholar] [CrossRef]
- Yadavi, A.; Aboueshaghi, R.S.; Dehnavi, M.M.; Balouchi, H. Effect of Micronutrients Foliar Application on Grain Qualitative Characteristics and Some Physiological Traits of Bean (Phaseolus vulgaris L.) Under Drought Stress. Indian J. Fundam. Appl. Life Sci. 2014, 4, 124–131. [Google Scholar]
- Ashraf, M.; Foolad, M. Roles of Glycine Betaine and Proline in Improving Plant Abiotic Stress Resistance. Environ. Exp. Bot. 2007, 59, 206–216. [Google Scholar] [CrossRef]
- Jamil, S.; Ali, Q.; Iqbal, M.; Javed, M.T.; Iftikhar, W.; Shahzad, F.; Perveen, R. Modulations in Plant Water Relations and Tissue-Specific Osmoregulation by Foliar-Applied Ascorbic Acid and the Induction of Salt Tolerance in Maize Plants. Braz. J. Bot. 2015, 38, 527–538. [Google Scholar] [CrossRef]
- Hussen, M.M.; Lobna, S.; Taha, L.; Rawia, A.E.; Soad, M.M.I. Responses of Photosynthetic Pigments and Amino Acids Content of Moringa Plants to Salicylic Acid and Salinity. J. Appl. Sci. Res. 2013, 9, 4889–4895. [Google Scholar]
- Ali, Q.; Ashraf, M. Induction of Drought Tolerance in Maize (Zea mays L.) Due to Exogenous Application of Trehalose: Growth, Photosynthesis, Water Relations and Oxidative Defence Mechanism. J. Agron. Crop Sci. 2011, 197, 258–271. [Google Scholar] [CrossRef]
- El-Esawi, M.A.; Alayafi, A.A. Overexpression of rice Rab7 gene improves drought and heat tolerance and increases grain yield in rice (Oryza sativa L.). Genes 2019, 10, 56–72. [Google Scholar] [CrossRef] [PubMed]
- El-Esawi, M.A.; Alaraidh, I.A.; Alsahli, A.A.; Ali, H.M.; Alayafi, A.A.; Witczak, J.; Ahmad, M. Genetic variation and alleviation of salinity stress in barley (Hordeum vulgare L.). Molecules 2018, 23, 2488–2505. [Google Scholar] [CrossRef] [PubMed]
- El-Esawi, M.A.; Elkelish, A.; Elansary, H.O.; Ali, H.M.; Elshikh, M.; Witczak, J.; Ahmad, M. Genetic transformation and hairy root induction enhance the antioxidant potential of Lactuca serriola L. Oxid. Med. Cell. Longev. 2017, 2017, 5604746. [Google Scholar] [CrossRef]
- El-Esawi, M.A.; Al-Ghamdi, A.A.; Ali, H.M.; Alayafi, A.A.; Witczak, J.; Ahmad, M. Analysis of Genetic Variation and Enhancement of Salt Tolerance in French Pea (Pisum Sativum L.). Int. J. Mol. Sci. 2018, 19, 2433–2447. [Google Scholar] [CrossRef]
- El-Esawi, M.A.; Al-Ghamdi, A.A.; Ali, H.M.; Alayafi, A.A. Azospirillum lipoferum FK1 confers improved salt tolerance in chickpea (Cicer arietinum L.) by modulating osmolytes, antioxidant machinery and stress-related genes expression. Environ. Exp. Bot. 2019, 159, 55–65. [Google Scholar] [CrossRef]
- Elkelish, A.A.; Soliman, M.H.; Alhaithloul, H.A.; El-Esawi, M.A. Selenium protects wheat seedlings against salt stress-mediated oxidative damage by up-regulating antioxidants and osmolytes metabolism. Plant. Physiol. Biochem. 2019, 137, 144–153. [Google Scholar] [CrossRef]
- Ali, Q.; Daud, M.K.; Haider, M.Z.; Ali, S.; Rizwan, M.; Aslam, N.; Ali, N.; Iqbal, N.; Shahzad, F.; Deeba, F.; et al. Seed Priming by Sodium Nitroprusside Improves Salt Tolerance in Wheat (Triticum aestivum L.) by Enhancing Physiological and Biochemical Parameters. Plant. Physiol. Biochem. 2017, 119, 50–58. [Google Scholar] [CrossRef]
- Ali, Q.; Javed, M.T.; Noman, A.; Haider, M.Z.; Waseem, M.; Iqbal, N.; Wasim, M.; Shah, M.S.; Shahzad, F.; Perveen, R. Assessment of Drought Tolerance in Mung Bean Cultivars/Lines as Depicted by the Activities of Germination Enzymes, Seedling’s Antioxidative Potential and Nutrient Acquisition. Arch. Agron. Soil Sci. 2018, 64, 84–102. [Google Scholar] [CrossRef]






| Treatment | SFW (g Plant−1) | RFW (g Plant−1) | PDW (g Plant−1) | SL (cm) | LA (cm2) | Achene wt./Capitulum (g) | ||||||
| Non-Stressed | Water-Stressed | Non-Stressed | Water-Stressed | Non-Stressed | Water-Stressed | Non-Stressed | Water-Stressed | Non-Stressed | Water-Stressed | Non-Stressed | Water-Stressed | |
| NS | 536 ± 9.82 c,d | 392 ± 34.0 c | 99 ± 3.46 a,b | 65 ± 4.33 b | 170 ± 1.53 b | 125 ± 5.40 b | 50.5 ± 0.87 e | 41 ± 1.44 d | 1326 ± 26 c | 825 ± 64 b | 0.61 ± 0.02 c | 0.41 ± 0.02 d |
| WS | 527 ± 14.0 d | 385 ± 14.0 c | 101 ± 4.62 a,b | 68 ± 6.64 b | 168 ± 6.52 b | 127 ± 6.60 b | 51.5 ± 0.87 d | 42 ± 1.04 c | 1354 ± 30 b,c | 856 ± 22 b | 0.64 ± 0.01 b | 0.44 ± 0.01 c,b |
| Fe-Asp 0.25% | 572 ± 12.0 a,b | 457 ± 5.20 a | 103 ± 1.23 a,b | 76 ± 1.73 a | 181 ± 5.31 a | 147 ± 8.50 a | 54.0 ± 1.15 b | 44 ± 0.58 b | 1450 ± 11 a | 981 ± 45 a | 0.68 ± 0.02 a | 0.49 ± 0.02 b |
| Fe-Asp 0.5% | 584 ± 7.51 a | 468 ± 31.4 a | 105 ± 2.31 a | 78 ± 2.88 a | 186 ± 3.75 a | 145 ± 1.76 a | 55.0 ± 1.15 a | 45 ± 2.02 a | 1432 ± 32 a | 988 ± 33 a | 0.69 ± 0.04 a | 0.52 ± 0.02 a |
| FeSO4 0.25% | 544 ± 7.22 c,d | 417 ± 13.0 b | 98 ± 1.16 b | 68 ± 1.73 b | 165 ± 7.25 b | 132 ± 2.02 b | 51.0 ± 0.29 d | 42 ± 1.15 c | 1356 ± 60 b,c | 861 ± 54 b | 0.63 ± 0.02 b,c | 0.44 ± 0.02 c |
| FeSO4 0.5% | 550 ± 8.66 b,c | 421 ± 14.4 b | 99 ± 1.73 a,b | 67 ± 2.63 b | 168 ± 8.11 b | 133 ± 7.80 b | 52.0 ± 0.29 c | 42 ± 0.58 c | 1375 ± 66 b | 863 ± 34 b | 0.64 ± 0.03 b | 0.45 ± 0.01 c |
| LSD | 22.2 | 5.48 | 8.96 | 0.74 | 45.84 | 0.41 | ||||||
| Treatment | Capitulum dia. (cm) | Achenes per capitulum | 100 grain wt. (g) | GSSG | GSG | |||||||
| Non-Stressed | Water-Stressed | Non-Stressed | Water-Stressed | Non-Stressed | Water-Stressed | Non-Stressed | Water-Stressed | Non-Stressed | Water-Stressed | |||
| NS | 13.33 ± 1.18 b | 10.00 ± 0.99 c | 270 ± 13 b,a | 237 ± 13 d | 0.32 ± 0.011 a,b | 0.18 ± 0.01 b | 6.23 ± 0.41 c | 14.33 ± 0.88 b | 0.21 ± 0.011 b | 0.41 ± 0.015 b | ||
| WS | 13.87 ± 1.20 a,b | 10.33 ± 1.19 b,c | 280 ± 14 b,c | 238 ± 16 d | 0.31 ± 0.012 b | 0.19 ± 0.02 b | 6.89 ± 0.48 b,c | 14.63 ± 0.98 b | 0.22 ± 0.010 b | 0.43 ± 0.013 b | ||
| Fe-Asp 0.25% | 14.26 ± 0.87 a | 11.85 ± 0.98 a | 300 ± 14 a | 263 ± 10 b | 0.35 ± 0.010 a | 0.23 ± 0.02 a | 7.45 ± 0.23 a,b | 17.62 ± 1.10 a | 0.33 ± 0.011 a | 0.56 ± 0.011 a | ||
| Fe-Asp 0.5% | 14.63 ± 0.89 a | 11.03 ± 0.63 a,b | 305 ± 16 a | 270 ± 13 a | 0.34 ± 0.013 a,b | 0.24 ± 0.02 a | 8.36 ± 0.55 a | 17.71 ± 1.15 a | 0.35 ± 0.011 a | 0.64 ± 0.012 a | ||
| FeSO4 0.25% | 14.00 ± 0.97 a,b | 11.33 ± 0.76 a | 279 ± 13 c | 239 ± 15 d | 0.31 ± 0.011 b | 0.21 ± 0.01 a,b | 7.51 ± 0.35 a,b | 14.10 ± 0.89 b | 0.25 ± 0.012 a,b | 0.41 ± 0.011 b | ||
| FeSO4 0.5% | 14.30 ± 0.95 a | 10.13 ± 1.03 c | 285 ± 10 b | 246 ± 10 c | 0.31 ± 0.012 b | 0.21 ± 0.01 a,b | 7.70 ± 0.56 a,b | 14.77 ± 1.12 b | 0.28 ± 0.013 a,b | 0.42 ± 0.013 b | ||
| LSD | 2.35 | 1.32 | 0.19 | 1.00 | 0.11 | |||||||
| Treatment | LRWC (%) | Chl. a (mg g−1 FW) | Chl. b (mg g−1 FW) | Chl. a/b | ||||
| Non-Stressed | Water-Stressed | Non-Stressed | Water-Stressed | Non-Stress | Water-Stressed | Non-Stress | Water-Stressed | |
| NS | 81 ± 4.00 c | 68 ± 3.18 c | 0.75 ± 0.06 c | 0.95 ± 0.03 c | 0.41 ± 0.04 c | 0.65 ± 0.04 b | 1.82 ± 0.07 b | 1.46 ± 0.02 c |
| WS | 80 ± 3.61 c | 67 ± 1.19 c | 0.82 ± 0.03 c | 0.98 ± 0.02 c | 0.45 ± 0.03 c | 0.66 ± 0.02 b | 1.82 ± 0.05 b | 1.48 ± 0.03 c |
| Fe-Asp 0.25% | 88 ± 4.50 a | 76 ± 3.41 a | 1.34 ± 0.04 a | 1.57 ± 0.02 a | 0.62 ± 0.01 a | 0.82 ± 0.02 a | 2.16 ± 0.03 a | 1.91 ± 0.04 a,b |
| Fe-Asp 0.50% | 89 ± 4.00 a | 75 ± 3.61 a | 1.31 ± 0.01 a | 1.61 ± 0.04 a | 0.66 ± 0.01 a | 0.83 ± 0.03 a | 1.98 ± 0.02 a | 1.95 ± 0.03 a |
| FeSO4 0.25% | 83 ± 2.78 b | 71 ± 3.81 b | 1.02 ± 0.08 b | 1.25 ± 0.03 b | 0.53 ± 0.03 b | 0.70 ± 0.02 b | 1.92 ± 0.03 b | 1.79 ± 0.02 a,b |
| FeSO4 0.50% | 84 ± 1.24 b | 72 ± 3.37 b | 1.07 ± 0.01 b | 1.21 ± 0.05 b | 0.56 ± 0.03 b | 0.71 ± 0.04 b | 1.91 ± 0.02 b | 1.70 ± 0.01 b |
| LSD | 1.48 | 0.10 | 0.06 | 0.22 | ||||
| Treatment | Total Chl. (mg g−1 FW) | Carotenoids (mg g−1 FW) | Anthocyanin (mg kg−1 FW) | |||||
| Non-Stressed | Water-Stressed | Non-Stressed | Water-Stressed | Non-Stressed | Water-Stressed | |||
| NS | 1.16 ± 0.07 c,d | 1.60 ± 0.02 d | 0.14 ± 0.07 d | 0.22 ± 0.02 d | 2.28 ± 0.03 d | 3.50 ± 0.13 d | ||
| WS | 1.27 ± 0.01 c,d | 1.64 ± 0.04 c,d | 0.15 ± 0.02 c,d | 0.25 ± 0.04 c | 2.40 ± 0.12 c | 3.60 ± 0.02 c,d | ||
| Fe-Asp 0.25% | 1.96 ± 0.02 a | 2.39 ± 0.04 a | 0.21 ± 0.21 a | 0.33 ± 0.04 a | 3.00 ± 0.11 a | 4.10 ± 0.12 a | ||
| Fe-Asp 0.50% | 1.97 ± 0.02 a | 2.44 ± 0.02 a | 0.22 ± 0.02 a | 0.34 ± 0.02 a | 3.10 ± 0.12 a | 4.20 ± 0.06 a | ||
| FeSO4 0.25% | 1.55 ± 0.01 b,c | 1.95 ± 0.03 b,c | 0.17 ± 0.01 b,c | 0.27 ± 0.02 b,c | 2.50 ± 0.07 b,c | 3.70 ± 0.13 b,c | ||
| FeSO4 0.50% | 1.63 ± 0.05 b | 1.92 ± 0.02 b,c,d | 0.18 ± 0.05 b | 0.28 ± 0.03 b | 2.60 ± 0.09 b | 3.80 ± 0.12 b | ||
| LSD | 0.32 | 0.02 | 0.10 | |||||
| Treatment | K S (mg g−1 DW) | Ca S (mg g−1 DW) | Mg S (mg g−1 DW) | P S (mg g−1 DW) | N S (mg g−1 DW) | Fe S (mg g−1 DW) | ||||||
| Non-Stressed | Water-Stressed | Non-Stressed | Water-Stressed | Non-Stressed | Water-Stressed | Non-Stressed | Water-Stressed | Non-Stressed | Water-Stressed | Non-Stressed | Water-Stressed | |
| NS | 37 ± 0.50 a | 21 ± 0.76 c | 10.0 ± 0.26 d | 6.1 ± 0.29 c | 2.91 ± 0.26 c | 0.72 ± 0.33 c | 5.91 ± 0.27 c | 3.72 ± 0.33 c | 43.5 ± 0.50 b | 29.5 ± 0.76 b,c | 22.00 ± 0.85 d | 15.00 ± 0.35 d |
| WS | 37 ± 0.67 a | 22 ± 1.80 c | 10.3 ± 0.36 c,d | 6.0 ± 0.49 c | 3.07 ± 0.08 c | 0.90 ± 0.11 c | 6.07 ± 0.08 c | 3.90 ± 0.11 b,c | 44.0 ± 0.66 b | 28.5 ± 1.80 c | 23.00 ± 0.63 d | 16.00 ± 0.27 d |
| Fe-Asp 0.25 | 38 ± 2.14 a | 28 ± 1.52 a,b | 11.0 ± 0.28 b | 7.9 ± 0.35 a | 4.10 ± 0.05 a | 2.18 ± 0.11 a | 7.10 ± 0.05 a | 5.18 ± 0.11 a | 47.0 ± 2.14 a | 33.0 ± 1.52 a | 37.17 ± 0.95 b | 25.43 ± 0.47 b,c |
| Fe-Asp 0.5 | 39 ± 1.30 a | 29 ± 0.50 a | 12.0 ± 0.26 a | 8.3 ± 0.41 a | 4.47 ± 0.14 a | 2.10 ± 0.17 a | 7.47 ± 0.14 a | 5.10 ± 0.17 a | 48.0 ± 1.30 a | 34.5 ± 0.50 a | 42.50 ± 1.35 a | 28.00 ± 0.53 a |
| FeSO4 0.25 | 39 ± 1.69 a | 23 ± 2.12 b,c | 11.0 ± 0.28 b,c | 7.0 ± 0.36 b | 3.51 ± 0.17 b | 1.06 ± 0.13 b,c | 6.51 ± 0.17 b | 4.10 ± 0.13 b | 43.2 ± 1.69 b | 30.0 ± 2.12 b | 34.00 ± 1.01 c | 23.00 ± 0.49 c |
| FeSO4 0.5 | 40 ± 0.34 a | 24 ± 0.35 a,b,c | 11.3 ± 0.42 b,c | 7.1 ± 0.42 b | 3.75 ± 0.29 b | 1.18 ± 0.13 b | 6.75 ± 0.29 b | 4.18 ± 0.13 b | 44.3 ± 0.34 b | 31.0 ± 0.35 b | 36.83 ± 0.98 b | 25.00 ± 0.37 b,c |
| LSD | 5.37 | 0.81 | 0.42 | 0.41 | 1.54 | 2.65 | ||||||
| Treatment | K R (mg g−1 DW) | Ca R (mg g−1 DW) | Mg R (mg g−1 DW) | P R (mg g−1 DW) | N R (mg g−1 DW) | Fe R (mg g−1 DW) | ||||||
| Non-Stressed | Water-Stressed | Non-Stressed | Water-Stressed | Non-Stressed | Water-Stressed | Non-Stressed | Water-Stressed | Non-Stressed | Water-Stressed | Non-Stressed | Water-Stressed | |
| NS | 30.5 ± 0.50 b | 18.5 ± 0.76 b | 7.97 ± 0.16 b | 5.63 ± 0.29 b,c | 2.08 ± 0.03 c,e | 1.28 ± 0.04 b | 4.41 ± 0.26 d | 2.22 ± 0.13 c | 37.5 ± 0.5 b | 25.5 ± 0.76 c,b | 20.25 ± 0.38 d | 14.50 ± 0.25 c |
| WS | 31.3 ± 0.67 b | 19.0 ± 1.80 b | 8.33 ± 0.11 a,b | 5.43 ± 0.49 c | 2.06 ± 0.08 c,e | 1.30 ± 0.01 b | 4.57 ± 0.08 d | 2.40 ± 0.11 b,c | 36.0 ± 0.6 b | 24.5 ± 1.80 c | 21.25 ± 0.53 d | 15.50 ± 0.28 c |
| Fe-Asp 0.25 | 33.7 ± 2.14 a | 24.0 ± 1.52 a | 9.00 ± 0.28 a,b | 6.93 ± 0.35 a,b | 2.50 ± 0.06 b | 1.69 ± 0.01 a | 5.60 ± 0.05 a,b | 3.68 ± 0.12 a | 40.0 ± 1.1 a | 30.0 ± 1.52 a | 31.17 ± 0.78 a,b | 20.00 ± 0.33 a,b |
| Fe-Asp 0.5 | 34.3 ± 1.30 a | 25.0 ± 0.50 a | 9.50 ± 0.36 a | 7.27 ± 0.41 a | 2.75 ± 0.02 a | 1.71 ± 0.02 a | 5.97 ± 0.14 a | 3.60 ± 0.17 a | 41.0 ± 1.3 a | 31.0 ± 0.50 a | 33.00 ± 0.58 a | 21.50 ± 0.35 a |
| FeSO4 0.25 | 30.2 ± 1.69 b | 20.0 ± 2.12 b | 9.00 ± 0.28 a,b | 6.06 ± 0.16 a,b,c | 2.17 ± 0.02 c | 1.38 ± 0.01 b | 5.01 ± 0.17 c | 2.60 ± 0.13 b,c | 37.2 ± 1.6 b | 26.0 ± 2.12 b,c | 26.73 ± 0.45 c | 19.43 ± 0.58 b |
| FeSO4 0.5 | 31.3 ± 0.34 b | 21.7 ± 0.35 b | 9.50 ± 0.42 a | 6.18 ± 0.38 a,b,c | 2.13 ± 0.03 c | 1.36 ± 0.02 b | 5.25 ± 0.12 b,c | 2.68 ± 0.18 b | 37.3 ± 0.3 b | 27.0 ± 0.35 b | 30.83 ± 0.35 b | 19.50 ± 0.41 a,b |
| LSD | 2.35 | 1.32 | 0.19 | 0.41 | 1.53 | 2.35 | ||||||
| Variables | SFW | RFW | PB | NOL | LA | LRWC | C Dia | NOA | 100 AW | Ach W |
|---|---|---|---|---|---|---|---|---|---|---|
| SFW | 1 | 0.980 *** | 0.990 *** | 0.974 *** | 0.982 *** | 0.988 *** | 0.985 *** | 0.966 *** | 0.989 *** | 0.989 *** |
| RFW | 0.980 *** | 1 | 0.980 *** | 0.977 *** | 0.996 *** | 0.946 *** | 0.992 *** | 0.930 *** | 0.989 *** | 0.992 *** |
| PB | 0.990 *** | 0.980 *** | 1 | 0.978 *** | 0.977 *** | 0.981 *** | 0.973 *** | 0.966 *** | 0.990 *** | 0.987 *** |
| SL | 0.984 *** | 0.991 *** | 0.987 *** | 0.968 *** | 0.992 *** | 0.968 *** | 0.989 *** | 0.956 *** | 0.988 *** | 0.997 *** |
| NOL | 0.974 *** | 0.977 *** | 0.978 *** | 1 | 0.967 *** | 0.947 *** | 0.963 *** | 0.952 *** | 0.973 *** | 0.973 *** |
| LA | 0.982 *** | 0.996 *** | 0.977 *** | 0.967 *** | 1 | 0.955 *** | 0.993 *** | 0.931 *** | 0.990 *** | 0.992 *** |
| LRWC | 0.988 *** | 0.946 *** | 0.981 *** | 0.947 *** | 0.955 *** | 1 | 0.959 *** | 0.974 *** | 0.970 *** | 0.969 *** |
| C Dia | 0.985 *** | 0.992 *** | 0.973 *** | 0.963 *** | 0.993 *** | 0.959 *** | 1 | 0.942 *** | 0.981 *** | 0.993 *** |
| NOA | 0.966 *** | 0.930 *** | 0.966 *** | 0.952 *** | 0.931 *** | 0.974 *** | 0.942 *** | 1 | 0.946 *** | 0.962 *** |
| 100 AW | 0.989 *** | 0.989 *** | 0.990 *** | 0.973 *** | 0.990 *** | 0.970 *** | 0.981 *** | 0.946 *** | 1 | 0.992 *** |
| Ach W | 0.989 *** | 0.992 *** | 0.987 *** | 0.973 *** | 0.992 *** | 0.969 *** | 0.993 *** | 0.962 *** | 0.992 *** | 1 |
| Chl. a | −0.046 ns | −0.204 ns | −0.057 ns | −0.088 ns | −0.200 ns | 0.055 ns | −0.143 ns | 0.139 | −0.130 | −0.109 ns |
| Chl. b | −0.491** | −0.619 *** | −0.494** | −0.512 *** | −0.616 *** | −0.393* | −0.567 *** | −0.302** | −0.567 *** | −0.538 *** |
| T Chl. | −0.194 ns | −0.346** | −0.202 ns | −0.230 ns | −0.343** | −0.091 ns | −0.286** | −0.003 ns | −0.278 ns | −0.254 ns |
| Chl. a/b | 0.811 *** | 0.713 *** | 0.790 *** | 0.751 *** | 0.720 *** | 0.846 *** | 0.748 *** | 0.847 *** | 0.774 *** | 0.765 *** |
| Car | −0.552 *** | −0.667 *** | −0.550 *** | −0.564 *** | −0.674 *** | −0.471** | −0.624 *** | −0.379** | −0.612 *** | −0.595 *** |
| LRMP | −0.989 *** | −0.967 *** | −0.984 *** | −0.964 *** | −0.966 *** | −0.983 *** | −0.979 *** | −0.971 *** | −0.970 *** | −0.980 *** |
| MDA | −0.947 *** | −0.949 *** | −0.924 *** | −0.890 *** | −0.953 *** | −0.915 *** | −0.958 *** | −0.853 *** | −0.950 *** | −0.944 *** |
| H2O2 | −0.948 *** | −0.927 *** | −0.923 *** | −0.904 *** | −0.920 *** | −0.921 *** | −0.946 *** | −0.899 *** | −0.929 *** | −0.935 *** |
| TPC | 0.980 *** | 0.956 *** | 0.960 *** | 0.957 *** | 0.950 *** | 0.955 *** | 0.965 *** | 0.941 *** | 0.965 *** | 0.964 *** |
| AsA | 0.980 *** | 0.956 *** | 0.960 *** | 0.957 *** | 0.950 *** | 0.955 *** | 0.965 *** | 0.941 *** | 0.965 *** | 0.964 *** |
| Antho | −0.688 *** | −0.786 *** | −0.678 *** | −0.689 *** | −0.790 *** | −0.607 *** | −0.755 *** | −0.520 *** | −0.738 *** | −0.723 *** |
| F antho | −0.760 *** | −0.838 *** | −0.761 *** | −0.741 *** | −0.854 *** | −0.714 *** | −0.818 *** | −0.633 *** | −0.804 *** | −0.800 *** |
| Flav | −0.742 *** | −0.824 *** | −0.740 *** | −0.728 *** | −0.840 *** | −0.692 *** | −0.801 *** | −0.614 *** | −0.786 *** | −0.782 *** |
| CAT | −0.690 *** | −0.777 *** | −0.707 *** | −0.686 *** | −0.784 *** | −0.634 *** | −0.731 *** | −0.541 *** | −0.754 *** | −0.728 *** |
| POD | −0.681 *** | −0.778 *** | −0.702 *** | −0.680 *** | −0.784 *** | −0.625 *** | −0.735 *** | −0.547 *** | −0.745 *** | −0.730 *** |
| APX | −0.571 *** | −0.689 *** | −0.570 *** | −0.579 *** | −0.698 *** | −0.494** | −0.650 *** | −0.418** | −0.637 *** | −0.628 *** |
| SOD | −0.769 *** | −0.837 *** | −0.760 *** | −0.739 *** | −0.851 *** | −0.716 *** | −0.816 *** | −0.622 *** | −0.812 *** | −0.798 *** |
| Gluta | −0.699 *** | −0.795 *** | −0.682 *** | −0.695 *** | −0.802 *** | −0.620 *** | −0.772 *** | −0.540 *** | −0.744 *** | −0.736 *** |
| Asp | 0.134 ns | 0.167 ns | 0.185 ns | 0.270 ns | 0.124 ns | 0.090 ns | 0.100 ns | 0.116 ns | 0.144 ns | 0.098 ns |
| Lys | −0.496** | −0.593 *** | −0.480** | −0.445** | −0.616 *** | −0.436** | −0.575 *** | −0.320** | −0.549 *** | −0.539 *** |
| Meth | −0.882 *** | −0.945 *** | −0.884 *** | −0.922 *** | −0.944 *** | −0.829 *** | −0.923 *** | −0.813 *** | −0.906 *** | −0.910 *** |
| Pro | −0.128 ns | −0.119 ns | −0.173 ns | −0.104 ns | −0.113 ns | −0.153 ns | −0.097 ns | −0.250 ns | −0.148 ns | −0.162 ns |
| GB | −0.748 *** | −0.832 *** | −0.734 *** | −0.729 *** | −0.844 *** | −0.684 *** | −0.815 *** | −0.599 *** | −0.790 *** | −0.784 *** |
| GSSG | −0.804 *** | −0.871 *** | −0.803 *** | −0.781 *** | −0.882 *** | −0.752 *** | −0.846 *** | −0.668 *** | −0.849 *** | −0.834 *** |
| GSG | −0.559 *** | −0.657 *** | −0.558 *** | −0.530 *** | −0.671 *** | −0.496** | −0.624 *** | −0.374** | −0.619 *** | −0.595 *** |
| FAA | −0.993 *** | −0.986 *** | −0.979 *** | −0.964 *** | −0.991 *** | −0.976 *** | −0.996 *** | −0.951 *** | −0.986 *** | −0.992 *** |
| TSP | −0.439** | −0.571 *** | −0.461** | −0.455** | −0.573 *** | −0.359** | −0.513 *** | −0.263 ns | −0.523 *** | −0.494 *** |
| TSS | −0.725 *** | −0.821 *** | −0.730 *** | −0.727 *** | −0.828 *** | −0.659 *** | −0.784 *** | −0.581 *** | −0.783 *** | −0.767 *** |
| R. Sug | −0.662 *** | −0.771 *** | −0.682 *** | −0.676 *** | −0.775 *** | −0.593 *** | −0.720 *** | −0.523 *** | −0.734 *** | −0.713 *** |
| NRS | −0.774 *** | −0.852 *** | −0.762 *** | −0.763 *** | −0.864 *** | −0.713 *** | −0.833 *** | −0.627 *** | −0.815 *** | −0.805 *** |
| KS | 0.980 *** | 0.983 *** | 0.959 *** | 0.957 *** | 0.984 *** | 0.948 *** | 0.993 *** | 0.926 *** | 0.973 *** | 0.980 *** |
| Ca S | 0.991 *** | 0.973 *** | 0.972 *** | 0.952 *** | 0.976 *** | 0.977 *** | 0.989 *** | 0.953 *** | 0.972 *** | 0.983 *** |
| Mg S | 0.988 *** | 0.962 *** | 0.980 *** | 0.959 *** | 0.968 *** | 0.990 *** | 0.977 *** | 0.982 *** | 0.969 *** | 0.982 *** |
| NS | 0.989 *** | 0.992 *** | 0.987 *** | 0.974 *** | 0.994 *** | 0.968 *** | 0.987 *** | 0.948 *** | 0.993 *** | 0.994 *** |
| PS | 0.988 *** | 0.962 *** | 0.981 *** | 0.959 *** | 0.968 *** | 0.991 *** | 0.977 *** | 0.982 *** | 0.969 *** | 0.982 *** |
| K R | 0.993 *** | 0.986 *** | 0.993 *** | 0.975 *** | 0.984 *** | 0.977 *** | 0.984 *** | 0.969 *** | 0.993 *** | 0.995 *** |
| Ca R | 0.955 *** | 0.912 *** | 0.954 *** | 0.916 *** | 0.925 *** | 0.980 *** | 0.928 *** | 0.975 *** | 0.935 *** | 0.948 *** |
| Mg R | 0.975 *** | 0.951 *** | 0.985 *** | 0.964 *** | 0.952 *** | 0.982 *** | 0.953 *** | 0.977 *** | 0.963 *** | 0.971 *** |
| N R | 0.997 *** | 0.982 *** | 0.992 *** | 0.985 *** | 0.983 *** | 0.983 *** | 0.980 *** | 0.964 *** | 0.992 *** | 0.989 *** |
| P R | 0.988 *** | 0.962 *** | 0.981 *** | 0.959 *** | 0.968 *** | 0.991 *** | 0.977 *** | 0.982 *** | 0.969 *** | 0.982 *** |
| Fe S | 0.918 *** | 0.866 *** | 0.894 *** | 0.846 *** | 0.890 *** | 0.946 *** | 0.903 *** | 0.921 *** | 0.884 *** | 0.908 *** |
| Fe R | 0.817 *** | 0.721 *** | 0.807 | 0.739 *** | 0.741 *** | 0.882 *** | 0.760 *** | 0.871 *** | 0.774 *** | 0.792 *** |
© 2020 by the authors. Licensee MDPI, Basel, Switzerland. This article is an open access article distributed under the terms and conditions of the Creative Commons Attribution (CC BY) license (http://creativecommons.org/licenses/by/4.0/).
Share and Cite
Ali, Q.; Ali, S.; El-Esawi, M.A.; Rizwan, M.; Azeem, M.; Hussain, A.I.; Perveen, R.; El-Sheikh, M.A.; Alyemeni, M.N.; Wijaya, L. Foliar Spray of Fe-Asp Confers Better Drought Tolerance in Sunflower as Compared with FeSO4: Yield Traits, Osmotic Adjustment, and Antioxidative Defense Mechanisms. Biomolecules 2020, 10, 1217. https://doi.org/10.3390/biom10091217
Ali Q, Ali S, El-Esawi MA, Rizwan M, Azeem M, Hussain AI, Perveen R, El-Sheikh MA, Alyemeni MN, Wijaya L. Foliar Spray of Fe-Asp Confers Better Drought Tolerance in Sunflower as Compared with FeSO4: Yield Traits, Osmotic Adjustment, and Antioxidative Defense Mechanisms. Biomolecules. 2020; 10(9):1217. https://doi.org/10.3390/biom10091217
Chicago/Turabian StyleAli, Qasim, Shafaqat Ali, Mohamed A. El-Esawi, Muhammad Rizwan, Muhammad Azeem, Abdullah Ijaz Hussain, Rashida Perveen, Mohamed A. El-Sheikh, Mohammed Nasser Alyemeni, and Leonard Wijaya. 2020. "Foliar Spray of Fe-Asp Confers Better Drought Tolerance in Sunflower as Compared with FeSO4: Yield Traits, Osmotic Adjustment, and Antioxidative Defense Mechanisms" Biomolecules 10, no. 9: 1217. https://doi.org/10.3390/biom10091217
APA StyleAli, Q., Ali, S., El-Esawi, M. A., Rizwan, M., Azeem, M., Hussain, A. I., Perveen, R., El-Sheikh, M. A., Alyemeni, M. N., & Wijaya, L. (2020). Foliar Spray of Fe-Asp Confers Better Drought Tolerance in Sunflower as Compared with FeSO4: Yield Traits, Osmotic Adjustment, and Antioxidative Defense Mechanisms. Biomolecules, 10(9), 1217. https://doi.org/10.3390/biom10091217

