The Effect of Edible Chitosan Coatings Incorporated with Thymus capitatus Essential Oil on the Shelf-Life of Strawberry (Fragaria x ananassa) during Cold Storage
Abstract
1. Introduction
2. Materials and Methods
2.1. Materials
2.1.1. Fruit samples
2.1.2. Essential oil of Thymus capitatus
2.2. Preparation of Edible Coatings
2.3. Physicochemical Analysis of CT-TCEO Dispersions
2.3.1. Particle size
2.3.2. Apparent viscosity measurements
2.3.3. Total solid content
2.3.4. Scanning Electron Microscopy (SEM) analysis of cross-sectional films
2.4. Application of Edible Coatings to the Strawberries
2.5. Physicochemical Measurements of Strawberries
2.5.1. pH and total soluble solids (TSS)
2.5.2. Titratable acidity
2.5.3. Maturation index
2.5.4. Weight loss
2.5.5. Decay index
2.5.6. CO2 production rate
2.6. Microbiological Quality
2.7. Antioxidant Activity
2.8. Sensorial Analysis
2.9. Statistical Analysis
3. Results and Discussion
3.1. Essential Oil Characterization
3.2. Physicochemical Characterization of Chitosan Emulsions
3.3. Morphological Analysis of CT-TCEO Films
3.4. Physicochemical Analysis and Antimicrobial Properties of Coatings on Strawberries
3.4.1. pH
3.4.2. Total soluble solids
3.4.3. Titratable acidity
3.4.4. Maturity index
3.4.5. Weight loss
3.4.6. Decay index
3.4.7. CO2 respiration rate
3.5. Microbial Quality
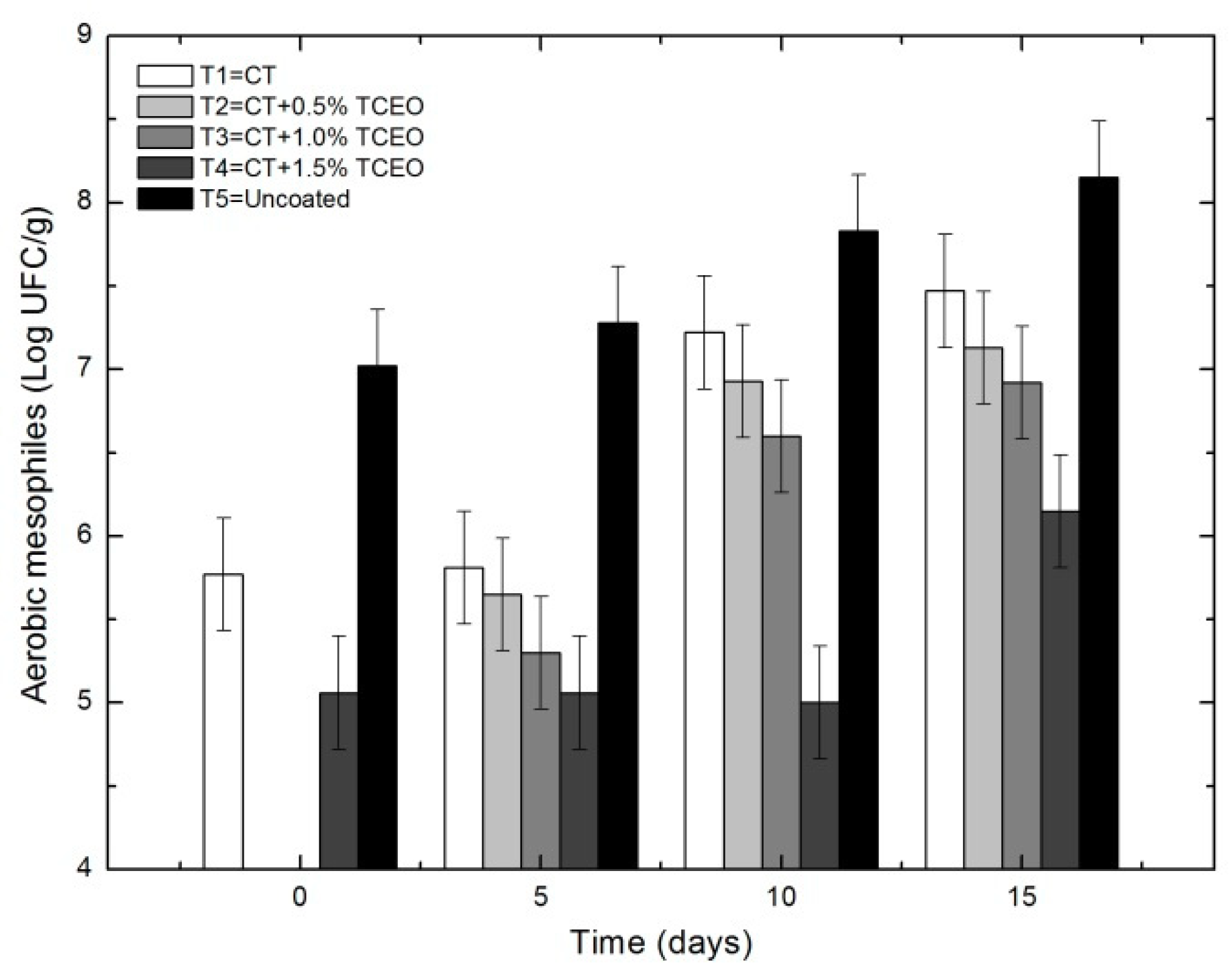
3.5.1. Aerobic mesophylls
3.5.2. Molds and yeasts
3.6. Antioxidant Activity
3.6.1. DPPH
3.6.2. ABTS
3.7. Sensory Properties
4. Conclusions
Author Contributions
Funding
Acknowledgments
Conflicts of Interest
References
- Barrufet, S.C. Contenido fenólico y capacidad antioxidante de fresa mínimamente procesada sometida a tratamientos de conservación por pulsos de luz de alta intensidad. Bachelor’s Thesis, Universidad de Lleida, Lleida, España, 2013. Available online: https://repositori.udl.cat/handle/10459.1/47159?show=full (accessed on 1 March 2018).
- DNP. Colombianos botan 9,76 millones de toneladas de comida al año; Departamento Nacional de Planeación, Ed: Bogotá, Colombia, 2006. [Google Scholar]
- Vu, K.D.; Hollingsworth, R.G.; Leroux, E.; Salmieri, S.; Lacroix, M. Development of edible bioactive coating based on modified chitosan for increasing the shelf life of strawberries. Food Res. Int. 2011, 44, 198–203. [Google Scholar] [CrossRef]
- Andersen, B.; Smedsgaard, J.; Frisvad, J.C. Penicillium expansum: consistent production of patulin, chaetoglobosins, and other secondary metabolites in culture and their natural occurrence in fruit products. J. Agric. Food. Chem. 2004, 52, 2421–2428. [Google Scholar] [CrossRef] [PubMed]
- Andersen, R.A.; Hamilton-Kemp, T.R.; Hildebrand, D.F.; McCracken, C.T., Jr.; Collins, R.W.; Fleming, P.D. Structure-antifungal activity relationships among volatile C6 and C9 aliphatic aldehydes, ketones, and alcohols. J. Agric. Food. Chem. 1994, 42, 1563–1568. [Google Scholar] [CrossRef]
- Silva-Espinoza, B.A.; Ortega-Ramírez, L.A.; González-Aguilar, G.A.; Olivas, I.; Ayala-Zavala, J.F. Antifungal protection and antioxidant enrichment of strawberry using cinnamon leaf oil. Rev. Fitotec. Mex. 2013, 36, 217–224. [Google Scholar]
- Wills, R.B.; Golding, J. Advances in postharvest fruit and vegetable technology; CRC press: Boca Raton, FL, USA, 2016. [Google Scholar]
- Phillips, D. Postharvest heat treatment of fresh fruits and vegetables for decay control. Plant Dis. 1991, 75, 1085–1089. [Google Scholar]
- Vicente, A.R.; Costa, M.L.; Martínez, G.A.; Chaves, A.R.; Civello, P.M. Effect of heat treatments on cell wall degradation and softening in strawberry fruit. Postharvest Biol. Technol. 2005, 38, 213–222. [Google Scholar] [CrossRef]
- Ismail, F.; Afifi, S. Control of postharvest decay in fruits and vegetables by irradiation. Food/Nahrung 1976, 20, 585–592. [Google Scholar] [CrossRef] [PubMed]
- Cia, P.; Pascholati, S.F.; Benato, E.A.; Camili, E.C.; Santos, C.A. Effects of gamma and UV-C irradiation on the postharvest control of papaya anthracnose. Postharvest Biol. Technol. 2007, 43, 366–373. [Google Scholar] [CrossRef]
- Fallanaj, F.; Sanzani, S.; Zavanella, C.; Ippolito, A. Salt addition improves the control of citrus postharvest diseases using electrolysis with conductive diamond electrodes. J. Plant Pathol. 2013, 373–383. [Google Scholar]
- Mari, M.; Bautista-Baños, S.; Sivakumar, D. Decay control in the postharvest system: Role of microbial and plant volatile organic compounds. Postharvest Biol. Technol. 2016, 122, 70–81. [Google Scholar] [CrossRef]
- Burt, S. Essential oils: their antibacterial properties and potential applications in foods—a review. Int. J. Food Microbiol. 2004, 94, 223–253. [Google Scholar] [CrossRef] [PubMed]
- Gol, N.B.; Patel, P.R.; Rao, T.R. Improvement of quality and shelf-life of strawberries with edible coatings enriched with chitosan. Postharvest Biol. Technol. 2013, 85, 185–195. [Google Scholar] [CrossRef]
- Harker, F.R.; Elgar, H.J.; Watkins, C.B.; Jackson, P.J.; Hallett, I.C. Physical and mechanical changes in strawberry fruit after high carbon dioxide treatments. Postharvest Biol. Technol. 2000, 19, 139–146. [Google Scholar] [CrossRef]
- Zhu, S.-h.; Zhou, J. Effect of nitric oxide on ethylene production in strawberry fruit during storage. Food Chem. 2007, 100, 1517–1522. [Google Scholar] [CrossRef]
- Castelló, M.; Fito, P.; Chiralt, A. Changes in respiration rate and physical properties of strawberries due to osmotic dehydration and storage. J. Food Eng. 2010, 97, 64–71. [Google Scholar] [CrossRef]
- Wszelaki, A.; Mitcham, E. Effects of superatmospheric oxygen on strawberry fruit quality and decay. Postharvest Biol. Technol. 2000, 20, 125–133. [Google Scholar] [CrossRef]
- Wang, S.Y.; Gao, H. Effect of chitosan-based edible coating on antioxidants, antioxidant enzyme system, and postharvest fruit quality of strawberries (Fragaria x aranassa Duch.). LWT-Food Sci. Technol. 2013, 52, 71–79. [Google Scholar] [CrossRef]
- Shiekh, R.A.; Malik, M.A.; Al-Thabaiti, S.A.; Shiekh, M.A. Chitosan as a novel edible coating for fresh fruits. Food Sci. Technol. Res. 2013, 19, 139–155. [Google Scholar] [CrossRef]
- Hernández-Muñoz, P.; Almenar, E.; Ocio, M.J.; Gavara, R. Effect of calcium dips and chitosan coatings on postharvest life of strawberries (Fragaria x ananassa). Postharvest Biol. Technol. 2006, 39, 247–253. [Google Scholar] [CrossRef]
- Kerch, G.; Sabovics, M.; Kruma, Z.; Kampuse, S.; Straumite, E. Effect of chitosan and chitooligosaccharide on vitamin C and polyphenols contents in cherries and strawberries during refrigerated storage. Eur. Food Res. Technol. 2011, 233, 351–358. [Google Scholar]
- Petriccione, M.; Mastrobuoni, F.; Pasquariello, M.S.; Zampella, L.; Nobis, E.; Capriolo, G.; Scortichini, M. Effect of chitosan coating on the postharvest quality and antioxidant enzyme system response of strawberry fruit during cold storage. Foods 2015, 4, 501–523. [Google Scholar] [CrossRef] [PubMed]
- Velickova, E.; Winkelhausen, E.; Kuzmanova, S.; Alves, V.D.; Moldão-Martins, M. Impact of chitosan-beeswax edible coatings on the quality of fresh strawberries (Fragaria ananassa cv Camarosa) under commercial storage conditions. LWT-Food Sci. Technol. 2013, 52, 80–92. [Google Scholar] [CrossRef]
- Gol, N.B.; Patel, P.R.; Rao, T.V.R. Improvement of quality and shelf-life of strawberries with edible coatings enriched with chitosan. Postharvest Biol. Technol. 2013, 85, 185–195. [Google Scholar] [CrossRef]
- Morales, M. Generalidades y aplicación de películas y recubrimientos comestibles en la cadena hortofrutícola. Bachelor’s Thesis, Food science and technology, Universidad Autónoma Agraria, Buenavista, México, 2011. URL: http://repositorio.uaaan.mx:8080/xmlui/bitstream/handle/123456789/474/61786s.pdf?sequence=1. [Google Scholar]
- Rodríguez, F.R. Estudio de la aplicación de recubrimientos comestibles de quitosano y su combinación con aceites esenciales sobre la vida útil del mango (Mangifera indica l.). Master’s Thesis, Universidad Nacional de Colombia, Bogotá, Colombia, 2013. [Google Scholar]
- Alvarado Hernández, A.M.; Barrera Necha, L.L.; Hernández Lauzardo, A.N.; Velázquez del Valle, M.G. Actividad antifúngica del quitosano y aceites esenciales sobre Rhizopus stolonifer (Ehrenb.: Fr.) Vuill., agente causal de la pudrición blanda del tomate. Rev. Colomb. Biotecnol. 2011, 13, 127–134. [Google Scholar]
- Yuan, G.-F.; Chen, X.; Li, D. Chitosan films and coatings containing essential oils: The antioxidant and antimicrobial activity, and application in food systems. Food Res. Int. 2016. [Google Scholar] [CrossRef] [PubMed]
- Friedman, M.; K Juneja, V. Review of Antimicrobial and Antioxidative Activities of Chitosans in Food. J. Food Prot. 2010, 73, 1737–1761. [Google Scholar] [CrossRef] [PubMed]
- Ballester-Costa, C.; Sendra, E.; Fernández-López, J.; Viuda-Martos, M. Evaluation of the antibacterial and antioxidant activities of chitosan edible films incorporated with organic essential oils obtained from four Thymus species. J. Food Sci. Technol. 2016, 53, 3374–3379. [Google Scholar] [CrossRef] [PubMed]
- Hazzit, M.; Baaliouamer, A.; Veríssimo, A.R.; Faleiro, M.L.; Miguel, M.G. Chemical composition and biological activities of Algerian Thymus oils. Food Chem. 2009, 116, 714–721. [Google Scholar] [CrossRef]
- Ballester-costa, C.; Sendra, E.; Viuda-martos, M. Assessment of Antioxidant and Antibacterial Properties on Meat Homogenates of Essential Oils Obtained from Four Thymus Species Achieved from Organic Growth. Foods 2017, 6, 59. [Google Scholar] [CrossRef] [PubMed]
- Ballester-Costa, C.; Sendra, E.; Fernández-López, J.; Pérez-Álvarez, J.A.; Viuda-Martos, M. Chemical composition and in vitro antibacterial properties of essential oils of four Thymus species from organic growth. Ind. Crops Prod. 2013, 50, 304–311. [Google Scholar] [CrossRef]
- Tabti, L.; Dib, M.E.A.; Gaouar, N.; Samira, B.; Tabti, B. Antioxidant and antifungal activity of extracts of the aerial parts of Thymus capitatus (L.) Hoffmanns against four phytopathogenic fungi of Citrus sinensis. Jundishapur J. Nat. Pharm. Prod. 2014, 9, 49. [Google Scholar] [CrossRef] [PubMed]
- Bounatirou, S.; Smiti, S.; Miguel, M.G.; Faleiro, L.; Rejeb, M.N.; Neffati, M.; Costa, M.; Figueiredo, A.; Barroso, J.; Pedro, L. Chemical composition, antioxidant and antibacterial activities of the essential oils isolated from Tunisian Thymus capitatus Hoff. et Link. Food Chem. 2007, 105, 146–155. [Google Scholar] [CrossRef]
- Dorman, H.; Deans, S.G. Antimicrobial agents from plants: antibacterial activity of plant volatile oils. J. Appl. Microbiol. 2000, 88, 308–316. [Google Scholar] [CrossRef] [PubMed]
- Iauk, L.; Acquaviva, R.; Mastrojeni, S.; Amodeo, A.; Pugliese, M.; Ragusa, M.; Loizzo, M.R.; Menichini, F.; Tundis, R. Antibacterial, antioxidant and hypoglycaemic effects of Thymus capitatus (L.) Hoffmanns. Et Link leaves’ fractions. J. Enzym. Inhib. Med. Chem. 2015, 30, 360–365. [Google Scholar] [CrossRef] [PubMed]
- Salah-Fatnassi, K.B.H.; Slim-Bannour, A.; Harzallah-Skhiri, F.; Mahjoub, M.A.; Mighri, Z.; Chaumont, J.-P.; Aouni, M. Activités antivirale et antioxydante in vitro d’huiles essentielles de Thymus capitatus (L.) Hoffmans. & Link de Tunisie. Acta Bot. Gallica 2010, 157, 433–444. [Google Scholar]
- Grande-Tovar, C.D.; Serio, A.; Delgado-Ospina, J.; Paparella, A.; Rossi, C.; Chaves-López, C. Chitosan films incorporated with Thymus capitatus essential oil: mechanical properties and antimicrobial activity against degradative bacterial species isolated from tuna (Thunnus sp.) and swordfish (Xiphias gladius). J. Food Sci. Technol. 2018, 55, 4256–4265. [Google Scholar] [CrossRef] [PubMed]
- Hosseini, M.; Razavi, S.; Mousavi, M. Antimicrobial, physical and mechanical properties of chitosan-based films incorporated with thyme, clove and cinnamon essential oils. J. Food Process. Preserv. 2009, 33, 727–743. [Google Scholar] [CrossRef]
- Restrepo, J.; Aristizábal, I. Conservación de fresa (fragaria x ananassa duch cv. camarosa) mediante la aplicación de recubrimientos comestibles de gel. Vitae 2010, 17, 252–263. [Google Scholar]
- Ospina, J.D.; Grande, C.; Menjivar, J.; Sanchez, M. Relación entre índice de refracción y la concentración de Timol en aceites esenciales de Lippia origanoides Kunth. Chil. J. Agric. Anim. Sci. Agro-Cienc. 2016, 32, 127–133. [Google Scholar]
- Sánchez-González, L.; Pastor, C.; Vargas, M.; Chiralt, A.; González-Martínez, C.; Cháfer, M. Effect of hydroxypropylmethylcellulose and chitosan coatings with and without bergamot essential oil on quality and safety of cold-stored grapes. Postharvest Biol. Technol. 2011, 60, 57–63. [Google Scholar] [CrossRef]
- Jones, R.M. Particle size analysis by laser diffraction: ISO 13320, standard operating procedures, and Mie theory. American Laboratory(USA) 2003, 35, 44–47. [Google Scholar]
- Barr, G., XXXI. The air-bubble viscometer. Lond. Edinb. Dublin Philos. Mag. J. Sci. 1926, 1, 395–405. [Google Scholar] [CrossRef]
- ASTM. ASTM D2196 - 99 Standard Test Methods for Rheological Properties of Non-Newtonian Materials by Rotational (Brookfield type) Viscometer; ASTM International: West Conshohocken, PA, USA, 1999. [Google Scholar]
- Instituto Colombiano de Normas Técnicas y Certificación (ICONTEC). NTC 4103 1997-04-16 Frutas frescas. Fresa variedad Chandler. Especificaciones; ICONTEC: Bogotá, Colombia, 1997. [Google Scholar]
- Perdones, A.; Escriche, I.; Chiralt, A.; Vargas, M. Effect of chitosan-lemon essential oil coatings on volatile profile of strawberries during storage. Food Chem. 2016, 197, 979–986. [Google Scholar] [CrossRef] [PubMed]
- Trejo-márquez, M.A.; Ramos-lópez, K.; Pérez, C. Effect of the application of gelatin edible coating on the quality of strawberry (fragaria vesca l.) stored at low temperature. V Congreso Iberoamericano de Tecnología Postcosecha y Agroexportaciones 2007, 2007, 230–239. [Google Scholar]
- Perdones, A.; Sánchez-González, L.; Chiralt, A.; Vargas, M. Effect of chitosan-lemon essential oil coatings on storage-keeping quality of strawberry. Postharvest Biol. Technol. 2012, 70, 32–41. [Google Scholar] [CrossRef]
- Xing, Y.; Li, X.; Xu, Q.; Yun, J.; Lu, Y.; Tang, Y. Effects of chitosan coating enriched with cinnamon oil on qualitative properties of sweet pepper (Capsicum annuum L.). Food Chem. 2011, 124, 1443–1450. [Google Scholar] [CrossRef]
- Cao, S.; Hu, Z.; Zheng, Y.; Yang, Z.; Lu, B. Effect of BTH on antioxidant enzymes, radical-scavenging activity and decay in strawberry fruit. Food Chem. 2011, 125, 145–149. [Google Scholar] [CrossRef]
- Instituto Colombiano de Normas Técnicas y Certificación (ICONTEC). NTC 3932 Análisis sensorial. Identificación y selección de descriptores para establecer un perfil sensorial por una aproximación multidimensional. ICONTEC: Bogotá, Colombia, 1996. [Google Scholar]
- Armaka, M.; Papanikolaou, E.; Sivropoulou, A.; Arsenakis, M. Antiviral properties of isoborneol, a potent inhibitor of herpes simplex virus type 1. Antivir. Res. 1999, 43, 79–92. [Google Scholar] [CrossRef]
- Kurita, N.; Miyaji, M.; Kurane, R.; Takahara, Y. Antifungal activity of components of essential oils. Agric. Biol. Chem. 1981, 45, 945–952. [Google Scholar] [CrossRef]
- Grande-Tovar, C.D.; Chaves-Lopez, C.; Serio, A.; Rossi, C.; Paparella, A. Chitosan coatings enriched with essential oils: Effects on fungi involve in fruit decay and mechanisms of action. Trends Food Sci. Technol. 2018, 78, 61–71. [Google Scholar] [CrossRef]
- Oh, Y.A.; Oh, Y.J.; Song, A.Y.; Won, J.S.; Song, K.B.; Min, S.C. Comparison of effectiveness of edible coatings using emulsions containing lemongrass oil of different size droplets on grape berry safety and preservation. LWT-Food Sci. Technol. 2017, 75, 742–750. [Google Scholar] [CrossRef]
- Bonilla, J.; Atarés, L.; Vargas, M.; Chiralt, A. Effect of essential oils and homogenization conditions on properties of chitosan-based films. Food Hydrocoll. 2012, 26, 9–16. [Google Scholar] [CrossRef]
- Sánchez González, L.; Vargas, M.; Gonzalez-Martinez, C.; Chiralt, A.; Cháfer, M. Use of Essential Oils in Bioactive Edible Coatings: A Review. Food Engineering Reviews 2011, 3, 1–16. [Google Scholar] [CrossRef]
- Sangsuwan, J.; Pongsapakworawat, T.; Bangmo, P.; Sutthasupa, S. Effect of chitosan beads incorporated with lavender or red thyme essential oils in inhibiting Botrytis cinerea and their application in strawberry packaging system. LWT-Food Sci. Technol. 2016, 74, 14–20. [Google Scholar] [CrossRef]
- Duan, J.; Wu, R.; Strik, B.C.; Zhao, Y. Effect of edible coatings on the quality of fresh blueberries (Duke and Elliott) under commercial storage conditions. Postharvest Biol. Technol. 2011, 59, 71–79. [Google Scholar] [CrossRef]
- Aranda-Martinez, A.; Lopez-Moya, F.; Lopez-Llorca, L.V. Cell wall composition plays a key role on sensitivity of filamentous fungi to chitosan. J. Basic Microbiol. 2016, 56, 1059–1070. [Google Scholar] [CrossRef] [PubMed]
- Elsabee, M.; Morsi, R.; Fathy, M. Chitosan-Oregano Essential Oil Blends Use as Antimicrobial Packaging Material. In Antimicrobial Food Packaging; Elsevier: Amsterdam, The Netherlands, 2016; pp. 539–551. [Google Scholar]
- Jackson, S.; Heath, I. Roles of calcium ions in hyphal tip growth. Microbiol. Rev. 1993, 57, 367–382. [Google Scholar] [PubMed]
- El Ghaouth, A.; Arul, J.; Grenier, J.; Asselin, A. Effect of chitosan and other polyions on chitin deacetylase inRhizopus stolonifer. Exp. Mycol. 1992, 16, 173–177. [Google Scholar] [CrossRef]
- Serio, A.; Chiarini, M.; Tettamanti, E.; Paparella, A. Electronic paramagnetic resonance investigation of the activity of Origanum vulgare L. essential oil on the Listeria monocytogenes membrane. Lett. Appl. Microbiol. 2010, 51, 149–157. [Google Scholar] [CrossRef] [PubMed]
- Nazzaro, F.; Fratianni, F.; Coppola, R.; Feo, V.D. Essential oils and antifungal activity. Pharmaceuticals 2017, 10, 86. [Google Scholar] [CrossRef] [PubMed]
- Chaves-López, C.; Martin-Sanchez, A.M.; Fuentes-Zaragoza, E.; Viuda-Martos, M.; Fernandez-Lopez, J.; Sendra, E.; Sayas, E.; Pérez Álvarez, J.Á. Role of oregano (Origanum vulgare) essential oil as a surface fungus inhibitor on fermented sausages: evaluation of its effect on microbial and physicochemical characteristics. J. Food Prot. 2012, 75, 104–111. [Google Scholar] [CrossRef] [PubMed]
- Mohammadi, A.; Hashemi, M.; Hosseini, S.M. Nanoencapsulation of Zataria multiflora essential oil preparation and characterization with enhanced antifungal activity for controlling Botrytis cinerea, the causal agent of gray mould disease. Innov. Food Sci. Emerg. Technol. 2015, 28, 73–80. [Google Scholar] [CrossRef]
- Kanetis, L.; Exarchou, V.; Charalambous, Z.; Goulas, V. Edible coating composed of chitosan and Salvia fruticosa Mill. extract for the control of grey mould of table grapes. J. Sci. Food Agric. 2017, 97, 452–460. [Google Scholar] [CrossRef] [PubMed]
- Bill, M.; Sivakumar, D.; Korsten, L.; Thompson, A.K. The efficacy of combined application of edible coatings and thyme oil in inducing resistance components in avocado (Persea americana Mill.) against anthracnose during post-harvest storage. Crop Prot. 2014, 64, 159–167. [Google Scholar] [CrossRef]
- Correa-Pacheco, Z.N.; Bautista-Baños, S.; Valle-Marquina, M.Á.; Hernández-López, M. The Effect of Nanostructured Chitosan and Chitosan-thyme Essential Oil Coatings on Colletotrichum gloeosporioides Growth in vitro and on cv Hass Avocado and Fruit Quality. J. Phytopathol. 2017, 165, 297–305. [Google Scholar] [CrossRef]
- Lin, D.; Zhao, Y. Innovations in the development and application of edible coatings for fresh and minimally processed fruits and vegetables. Compr. Rev. Food Sci. Food Saf. 2007, 6, 60–75. [Google Scholar] [CrossRef]
- Hafsa, J.; Smach, M.A.; Ben Khedher, M.R.; Charfeddine, B.; Limem, K.; Majdoub, H.; Rouatbi, S. Physical, antioxidant and antimicrobial properties of chitosan films containing Eucalyptus globulus essential oil. LWT-Food Sci. Technol. 2016, 68, 356–364. [Google Scholar] [CrossRef]
- Kuskoski, E.M.; Asuero, A.G.; García-Parilla, M.C.; Troncoso, A.M.; Fett, R. Actividad antioxidante de pigmentos antociánicos. Ciênc. Tecnol. Aliment. 2004, 24, 691–693. [Google Scholar] [CrossRef]
- Kuskoski, E.M.; Asuero, A.G.; Troncoso, A.M.; Mancini-Filho, J.; Fett, R. Aplicación de diversos métodos químicos para determinar actividad antioxidante en pulpa de frutos. Ciênc. Tecnol. Aliment. 2005, 25, 726–732. [Google Scholar] [CrossRef]
- Viuda-Martos, M.; Ruiz Navajas, Y.; Sánchez Zapata, E.; Fernández-López, J.; Pérez-Álvarez, J.A. Antioxidant activity of essential oils of five spice plants widely used in a Mediterranean diet. Flavour Fragr. J. 2010, 25, 13–19. [Google Scholar] [CrossRef]
- Adorjan, B.; Buchbauer, G. Biological properties of essential oils: an updated review. Flavour Fragr. J. 2010, 25, 407–426. [Google Scholar] [CrossRef]
- Amorati, R.; Foti, M.C.; Valgimigli, L. Antioxidant activity of essential oils. J. Agric. Food. Chem. 2013, 61, 10835–10847. [Google Scholar] [CrossRef] [PubMed]
- Roginsky, V.; Lissi, E.A. Review of methods to determine chain-breaking antioxidant activity in food. Food Chem. 2005, 92, 235–254. [Google Scholar] [CrossRef]
- Ruiz-Navajas, Y.; Viuda-Martos, M.; Sendra, E.; Perez-Alvarez, J.; Fernández-López, J. In vitro antibacterial and antioxidant properties of chitosan edible films incorporated with Thymus moroderi or Thymus piperella essential oils. Food Control 2013, 30, 386–392. [Google Scholar] [CrossRef]
- Kulisic, T.; Radonic, A.; Milos, M. Inhibition of lard oxidation by fractions of different essential oils. GRASAS Y ACEITES-SEVILLA- 2005, 56, 284. [Google Scholar] [CrossRef]
- Lagouri, V.; Boskou, D. Nutrient antioxidants in oregano. Int. J. Food Sci. Nutr. 1996, 47, 493–497. [Google Scholar] [CrossRef] [PubMed]
- Kulisic, T.; Radonic, A.; Katalinic, V.; Milos, M. Use of different methods for testing antioxidative activity of oregano essential oil. Food Chem. 2004, 85, 633–640. [Google Scholar] [CrossRef]
- Altiok, D.; Altiok, E.; Tihminlioglu, F. Physical, antibacterial and antioxidant properties of chitosan films incorporated with thyme oil for potential wound healing applications. J. Mater. Sci. Mater. Med. 2010, 21, 2227–2236. [Google Scholar] [CrossRef] [PubMed]













| Compound | RT | Amount Relative (%) | *KI | |
|---|---|---|---|---|
| Monoterpenes hydrocarbons | Tricyclene | 17.15 | <0.1 | 920 |
| α-Thujene | 17.26 | 0.1 | 923 | |
| α-Pinene | 17.65 | 1.5 | 935 | |
| α-Fenchene | 18.43 | 0.3 | 951 | |
| β-Pinene | 19.67 | 0.3 | 981 | |
| β-Myrcene | 20.03 | 2.0 | 991 | |
| p-Mentha-1(7),8-diene | 20.78 | 0.1 | 992 | |
| α-Phellandrene | 20.88 | 0.2 | 1005 | |
| δ−3−Carene | 20.99 | <0.1 | 1012 | |
| 1,4-Cineole | 21.23 | <0.1 | 1014 | |
| α-Terpinene | 21.34 | 1.5 | 1018 | |
| p-Cymene | 21.74 | 13.2 | 1026 | |
| Limonene | 21.89 | 0.4 | 1033 | |
| 1,8-cineole | 22.05 | 0.4 | 1033 | |
| γ-Terpinene | 23.13 | 8.7 | 1064 | |
| N.I. (M + 154) | 23.63 | 0.1 | ||
| Monoterpenes oxygenated | Terpinolene | 24.24 | 0.2 | 1078 |
| Linalool | 24.73 | 1.9 | 1100 | |
| Borneol | 27.87 | 0.3 | 1165 | |
| Terpinen-4-ol | 28.15 | 0.6 | 1190 | |
| α-Terpineol | 28.79 | 0.1 | 1200 | |
| Thymol | 32.07 | 6.4 | 1266 | |
| Carvacrol | 32.63 | 59.3 | 1278 | |
| trans-β-Caryophyllene | 37.34 | 2.2 | 1424 | |
| Sesquiterpenes oxygenated | Caryophyllene oxide | 42.50 | 0.2 | 1581 |
| Essential Oil (%) | Gardner Viscosity * (Scale) | Apparent Viscosity (cP) | Solids (%) | Particle Size (μm) |
|---|---|---|---|---|
| 0.5 | E | 125 | 2.70 ± 0.01 | 1.23 ± 0.25 |
| 1.0 | C | 85 | 2.76 ± 0.02 | 1.14 ± 0.32 |
| 1.5 | B | 65 | 3.27 ± 0.02 | 1.13 ± 0.12 |
© 2018 by the authors. Licensee MDPI, Basel, Switzerland. This article is an open access article distributed under the terms and conditions of the Creative Commons Attribution (CC BY) license (http://creativecommons.org/licenses/by/4.0/).
Share and Cite
Martínez, K.; Ortiz, M.; Albis, A.; Gilma Gutiérrez Castañeda, C.; Valencia, M.E.; Grande Tovar, C.D. The Effect of Edible Chitosan Coatings Incorporated with Thymus capitatus Essential Oil on the Shelf-Life of Strawberry (Fragaria x ananassa) during Cold Storage. Biomolecules 2018, 8, 155. https://doi.org/10.3390/biom8040155
Martínez K, Ortiz M, Albis A, Gilma Gutiérrez Castañeda C, Valencia ME, Grande Tovar CD. The Effect of Edible Chitosan Coatings Incorporated with Thymus capitatus Essential Oil on the Shelf-Life of Strawberry (Fragaria x ananassa) during Cold Storage. Biomolecules. 2018; 8(4):155. https://doi.org/10.3390/biom8040155
Chicago/Turabian StyleMartínez, Keydis, Marta Ortiz, Alberto Albis, Clara Gilma Gutiérrez Castañeda, Mayra Eliana Valencia, and Carlos David Grande Tovar. 2018. "The Effect of Edible Chitosan Coatings Incorporated with Thymus capitatus Essential Oil on the Shelf-Life of Strawberry (Fragaria x ananassa) during Cold Storage" Biomolecules 8, no. 4: 155. https://doi.org/10.3390/biom8040155
APA StyleMartínez, K., Ortiz, M., Albis, A., Gilma Gutiérrez Castañeda, C., Valencia, M. E., & Grande Tovar, C. D. (2018). The Effect of Edible Chitosan Coatings Incorporated with Thymus capitatus Essential Oil on the Shelf-Life of Strawberry (Fragaria x ananassa) during Cold Storage. Biomolecules, 8(4), 155. https://doi.org/10.3390/biom8040155

