Exploring the Association Between Torquetenovirus Viral Load and Immunosuppressive Drug Exposure in Lung Transplantation
Abstract
1. Introduction
2. Materials and Methods
2.1. Study Design and Patients’ Information
2.2. Immunosuppressive Drugs Monitoring
2.3. TTV Measurement
2.4. Statistical Analysis
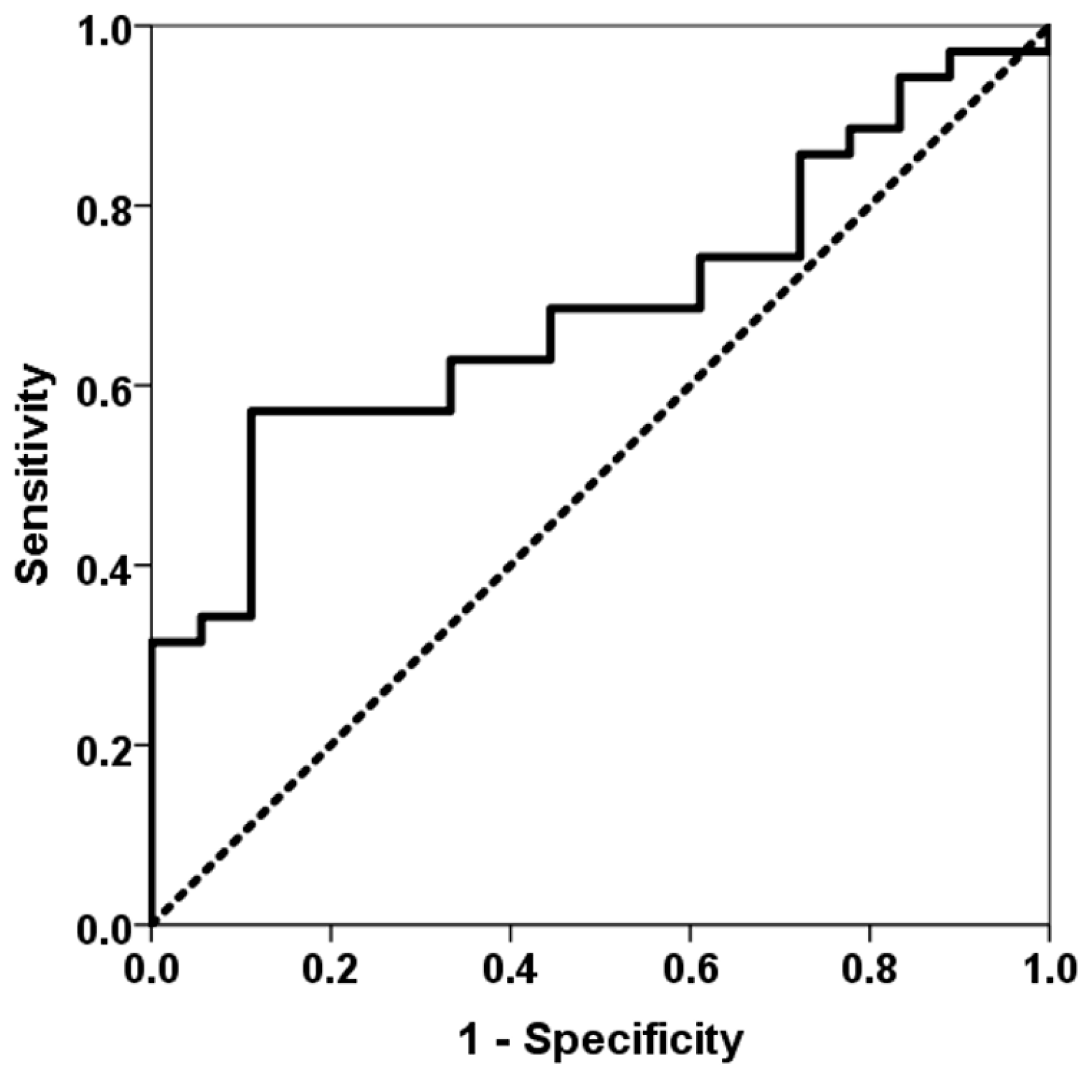
3. Results
4. Discussion
5. Conclusions
Author Contributions
Funding
Institutional Review Board Statement
Informed Consent Statement
Data Availability Statement
Acknowledgments
Conflicts of Interest
Abbreviations
| AUC | Area under the curve |
| BMI | Body mass index |
| CI | Confidence interval |
| CMV | Cytomegalovirus |
| CNI | Calcineurin inhibitors |
| COPD | Chronic obstructive pulmonary disease |
| CV | coefficient of variation |
| HLA | Human leukocyte antigens |
| IPF | Idiopathic pulmonary fibrosis |
| IQR | Interquartile range |
| ISHLT | International Society for Heart and Lung Transplantation |
| LAS | Lung Allocation Score |
| LungTx | Lung transplant recipients |
| MPA | Mycophenolic acid |
| OR | Odds ratio |
| PGD | Primary graft dysfunction |
| ROC | Receiver operating characteristic |
| TTR | Time in the therapeutic range |
| TTV Load | Torquetenovirus load |
| ΔLogTTV | Difference between the logarithm of TTV load at month 3 and at month 1 |
References
- Christie, J.D.; Van Raemdonck, D.; Fisher, A.J. Lung Transplantation. N. Engl. J. Med. 2024, 391, 1822–1836. [Google Scholar] [CrossRef] [PubMed]
- McCort, M.; MacKenzie, E.; Pursell, K.; Pitrak, D. Bacterial infections in lung transplantation. J. Thorac. Dis. 2021, 13, 6654–6672. [Google Scholar] [CrossRef] [PubMed]
- Napoli, C.; Benincasa, G.; Fiorelli, A.; Strozziero, M.G.; Costa, D.; Russo, F.; Grimaldi, V.; Hoetzenecker, K. Lung transplantation: Current insights and outcomes. Transpl. Immunol. 2024, 85, 102073. [Google Scholar] [CrossRef]
- Andrews, L.M.; Li, Y.; De Winter, B.C.M.; Shi, Y.Y.; Baan, C.C.; Van Gelder, T.; Hesselink, D.A. Pharmacokinetic considerations related to therapeutic drug monitoring of tacrolimus in kidney transplant patients. Expert Opin. Drug Metab. Toxicol. 2017, 13, 1225–1236. [Google Scholar] [CrossRef]
- De Vlaminck, I.; Khush, K.K.; Strehl, C.; Kohli, B.; Luikart, H.; Neff, N.F.; Okamoto, J.; Snyder, T.M.; Cornfield, D.N.; Nicolls, M.R.; et al. Temporal response of the human virome to immunosuppression and antiviral therapy. Cell 2013, 155, 1178–1187. [Google Scholar] [CrossRef]
- Görzer, I.; Haloschan, M.; Jaksch, P.; Klepetko, W.; Puchhammer-Stöckl, E. Plasma DNA levels of Torque teno virus and immunosuppression after lung transplantation. J. Heart Lung Transplant. 2014, 33, 320–323. [Google Scholar] [CrossRef]
- Jaksch, P.; Kundi, M.; Görzer, I.; Muraközy, G.; Lambers, C.; Benazzo, A.; Hoetzenecker, K.; Klepetko, W.; Puchhammer-Stöckl, E. Torque Teno Virus as a Novel Biomarker Targeting the Efficacy of Immunosuppression After Lung Transplantation. J. Infect. Dis. 2018, 218, 1922–1928. [Google Scholar] [CrossRef]
- Frye, B.C.; Bierbaum, S.; Falcone, V.; Köhler, T.C.; Gasplmayr, M.; Hettich, I.; Dürk, T.; Idzko, M.; Zissel, G.; Hengel, H.; et al. Kinetics of Torque Teno Virus-DNA Plasma Load Predict Rejection in Lung Transplant Recipients. Transplantation 2019, 103, 815–822. [Google Scholar] [PubMed]
- van Rijn, A.L.; Roos, R.; Dekker, F.W.; Rotmans, J.I.; Feltkamp, M. Torque teno virus load as marker of rejection and infection in solid organ transplantation—A systematic review and meta-analysis. Rev. Med. Virol. 2023, 33, e2393. [Google Scholar] [CrossRef]
- Schiemann, M.; Puchhammer-Stöckl, E.; Eskandary, F.; Kohlbeck, P.; Rasoul-Rockenschaub, S.; Heilos, A.; Kozakowski, N.; Görzer, I.; Kikić, Ž.; Herkner, H.; et al. Torque Teno Virus Load-Inverse Association With Antibody-Mediated Rejection After Kidney Transplantation. Transplantation 2017, 101, 360–367. [Google Scholar] [CrossRef]
- Burra, P.; Masier, A.; Boldrin, C.; Calistri, A.; Andreoli, E.; Senzolo, M.; Zorzi, M.; Sgarabotto, D.; Guido, M.; Cillo, U.; et al. Torque Teno Virus: Any pathological role in liver transplanted patients? Transpl. Int. 2008, 21, 972–979. [Google Scholar] [CrossRef] [PubMed]
- Focosi, D.; Macera, L.; Pistello, M.; Maggi, F. Torque Teno virus viremia correlates with intensity of maintenance immunosuppression in adult orthotopic liver transplant. J. Infect. Dis. 2014, 210, 667–668. [Google Scholar] [CrossRef] [PubMed]
- Strassl, R.; Doberer, K.; Rasoul-Rockenschaub, S.; Herkner, H.; Görzer, I.; Kläger, J.P.; Schmidt, R.; Haslacher, H.; Schiemann, M.; Eskandary, F.A.; et al. Torque Teno Virus for Risk Stratification of Acute Biopsy-Proven Alloreactivity in Kidney Transplant Recipients. J. Infect. Dis. 2019, 219, 1934–1939. [Google Scholar] [CrossRef]
- Strassl, R.; Schiemann, M.; Doberer, K.; Görzer, I.; Puchhammer-Stöckl, E.; Eskandary, F.; Kikic, Ž.; Gualdoni, G.A.; Vossen, M.G.; Rasoul-Rockenschaub, S.; et al. Quantification of Torque Teno Virus Viremia as a Prospective Biomarker for Infectious Disease in Kidney Allograft Recipients. J. Infect. Dis. 2018, 218, 1191–1199. [Google Scholar] [CrossRef] [PubMed]
- Solis, M.; Velay, A.; Gantner, P.; Bausson, J.; Filipputtu, A.; Freitag, R.; Moulin, B.; Caillard, S.; Fafi-Kremer, S. Torquetenovirus viremia for early prediction of graft rejection after kidney transplantation. J. Infect. 2019, 79, 56–60. [Google Scholar] [CrossRef]
- Ruiz, P.; Martínez-Picola, M.; Santana, M.; Muñoz, J.; Pérez-Del-Pulgar, S.; Koutsoudakis, G.; Sastre, L.; Colmenero, J.; Crespo, G.; Navasa, M. Torque Teno Virus Is Associated With the State of Immune Suppression Early After Liver Transplantation. Liver Transpl. 2019, 25, 302–310. [Google Scholar] [CrossRef]
- Görzer, I.; Jaksch, P.; Kundi, M.; Seitz, T.; Klepetko, W.; Puchhammer-Stöckl, E. Pre-transplant plasma Torque Teno virus load and increase dynamics after lung transplantation. PLoS ONE 2015, 10, e0122975. [Google Scholar] [CrossRef]
- Cañamero, L.; Benito-Hernández, A.; González, E.; Escagedo, C.; Rodríguez-Vidriales, M.; García-Saiz, M.D.M.; Valero, R.; Belmar, L.; de Cos, M.A.; Francia, M.V.; et al. Torque Teno Virus Load Predicts Opportunistic Infections after Kidney Transplantation but Is Not Associated with Maintenance Immunosuppression Exposure. Biomedicines 2023, 11, 1410. [Google Scholar] [CrossRef]
- Regele, F.; Heinzel, A.; Hu, K.; Raab, L.; Eskandary, F.; Faé, I.; Zelzer, S.; Böhmig, G.A.; Bond, G.; Fischer, G.; et al. Stopping of Mycophenolic Acid in Kidney Transplant Recipients for 2 Weeks Peri-Vaccination Does Not Increase Response to SARS-CoV-2 Vaccination-A Non-randomized, Controlled Pilot Study. Front. Med. 2022, 9, 914424. [Google Scholar] [CrossRef]
- Benning, L.; Morath, C.; Kühn, T.; Bartenschlager, M.; Kim, H.; Beimler, J.; Buylaert, M.; Nusshag, C.; Kälble, F.; Reineke, M.; et al. Humoral response to SARS-CoV-2 mRNA vaccination in previous non-responder kidney transplant recipients after short-term withdrawal of mycophenolic acid. Front. Med. 2022, 9, 958293. [Google Scholar] [CrossRef]
- Snell, G.I.; Yusen, R.D.; Weill, D.; Strueber, M.; Garrity, E.; Reed, A.; Christie, J.D. Report of the ISHLT Working Group on Primary Lung Graft Dysfunction. part I: Definition and grading—A 2016 Consensus Group statement of the International Society for Heart and Lung Transplantation. J. Hear Lung Transplant. 2017, 36, 1097–1103. [Google Scholar] [CrossRef] [PubMed]
- Stewart, S.; Fishbein, M.C.; Snell, G.I.; Berry, G.J.; Boehler, A.; Burke, M.M.; Glanville, A.; Gould, F.K.; Magro, C.; Marboe, C.C.; et al. Revision of the 1996 working formulation for the standardization of nomenclature in the diagnosis of lung rejection. J. Heart Lung Transplant. 2007, 26, 1229–1242. [Google Scholar] [CrossRef] [PubMed]
- Rodrigo, E.; San Segundo, D.; Fernández-Fresnedo, G.; López-Hoyos, M.; Benito, A.; Ruiz, J.C.; de Cos, M.A.; Arias, M. Within-Patient Variability in Tacrolimus Blood Levels Predicts Kidney Graft Loss and Donor-Specific Antibody Development. Transplantation 2016, 100, 2479–2485. [Google Scholar] [CrossRef]
- Ensor, C.R.; Iasella, C.J.; Harrigan, K.M.; Morrell, M.R.; Moore, C.A.; Shigemura, N.; Zeevi, A.; McDyer, J.F.; Venkataramanan, R. Increasing tacrolimus time-in-therapeutic range is associated with superior one-year outcomes in lung transplant recipients. Am. J. Transpl. 2018, 18, 1527–1533. [Google Scholar] [CrossRef]
- Rodríguez-Perálvarez, M.; Colmenero, J.; González, A.; Gastaca, M.; Curell, A.; Caballero-Marcos, A.; Sánchez-Martínez, A.; Di Maira, T.; Herrero, J.I.; Almohalla, C.; et al. Chronic immunosuppression, cancer Spanish consortium. Cumulative exposure to tacrolimus and incidence of cancer after liver transplantation. Am. J. Transplant. 2022, 22, 1671–1682. [Google Scholar] [CrossRef] [PubMed]
- Pawinski, T.; Luszczynska, P.; Durlik, M.; Majchrzak, J.; Baczkowska, T.; Chrzanowska, M.; Sobiak, J.; Glyda, M.; Kuriata-Kordek, M.; Kaminska, D.; et al. Development and validation of limited sampling strategies for the estimation of mycophenolic acid area under the curve in adult kidney and liver transplant recipients receiving concomitant enteric-coated mycophenolate sodium and tacrolimus. Ther. Drug Monit. 2013, 35, 760–769. [Google Scholar] [CrossRef]
- Maggi, F.; Pifferi, M.; Fornai, C.; Andreoli, E.; Tempestini, E.; Vatteroni, M.; Presciuttini, S.; Marchi, S.; Pietrobelli, A.; Boner, A.; et al. TT virus in the nasal secretions of children with acute respiratory diseases: Relations to viremia and disease severity. J. Virol. 2003, 77, 2418–2425. [Google Scholar] [CrossRef]
- Maggi, F.; Fornai, C.; Vatteroni, M.L.; Siciliano, G.; Menichetti, F.; Tascini, C.; Specter, S.; Pistello, M.; Bendinelli, M. Low prevalence of TT virus in the cerebrospinal fluid of viremic patients with central nervous system disorders. J. Med. Virol. 2001, 65, 418–422. [Google Scholar] [CrossRef] [PubMed]
- Pistello, M.; Morrica, A.; Maggi, F.; Vatteroni, M.L.; Freer, G.; Fornai, C.; Casula, F.; Marchi, S.; Ciccorossi, P.; Rovero, P.; et al. TT virus levels in the plasma of infected individuals with different hepatic and extrahepatic pathology. J. Med. Virol. 2001, 63, 189–195. [Google Scholar] [CrossRef]
- Görzer, I.; Haupenthal, F.; Maggi, F.; Gelas, F.; Kulifaj, D.; Brossault, L.; Puchhammer-Stöckl, E.; Bond, G. Validation of plasma Torque Teno viral load applying a CE-certified PCR for risk stratification of rejection and infection post kidney transplantation. J. Clin. Virol. 2023, 158, 105348. [Google Scholar] [CrossRef]
- Doberer, K.; Schiemann, M.; Strassl, R.; Haupenthal, F.; Dermuth, F.; Görzer, I.; Eskandary, F.; Reindl-Schwaighofer, R.; Kikić, Ž.; Puchhammer-Stöckl, E.; et al. Torque teno virus for risk stratification of graft rejection and infection in kidney transplant recipients-A prospective observational trial. Am. J. Transplant. 2020, 20, 2081–2090. [Google Scholar] [CrossRef] [PubMed]
- van Rijn, A.L.; Wunderink, H.F.; Sidorov, I.A.; de Brouwer, C.S.; Kroes, A.C.; Putter, H.; de Vries, A.P.; Rotmans, J.I.; Feltkamp, M.C. Torque teno virus loads after kidney transplantation predict allograft rejection but not viral infection. J. Clin. Virol. 2021, 140, 104871. [Google Scholar] [CrossRef] [PubMed]
- Reineke, M.; Morath, C.; Speer, C.; Rudek, M.; Bundschuh, C.; Klein, J.A.F.; Mahler, C.F.; Kälble, F.; Nusshag, C.; Beimler, J.; et al. Dynamics of torque teno virus load in kidney transplant recipients with indication biopsy and therapeutic modifications of immunosuppression. Front. Med. 2024, 11, 1337367. [Google Scholar] [CrossRef]
- Takemoto, A.Y.; Okubo, P.; Saito, P.K.; Yamakawa, R.H.; Watanabe, M.A.; Veríssimo da Silva Junior, W.; Borelli, S.D.; Bedendo, J. Torque teno virus among dialysis and renal- transplant patients. Braz. J. Microbiol. 2015, 46, 307–311. [Google Scholar] [CrossRef]
- Doorenbos, C.S.E.; Jonker, J.; Hao, J.; Gore, E.J.; Kremer, D.; Knobbe, T.J.; de Joode, A.A.E.; Sanders, J.S.F.; Thaunat, O.; Niesters, H.G.M.; et al. Smoking, Alcohol Intake and Torque Teno Virus in Stable Kidney Transplant Recipients. Viruses 2023, 15, 2387. [Google Scholar] [CrossRef]
- Fernández-Ruiz, M.; Albert, E.; Giménez, E.; Ruiz-Merlo, T.; Parra, P.; López-Medrano, F.; San Juan, R.; Polanco, N.; Andrés, A.; Navarro, D.; et al. Monitoring of alphatorquevirus DNA levels for the prediction of immunosuppression-related complications after kidney transplantation. Am. J. Transplant. 2019, 19, 1139–1149. [Google Scholar] [CrossRef]
- Reineke, M.; Speer, C.; Bundschuh, C.; Klein, J.A.F.; Loi, L.; Sommerer, C.; Zeier, M.; Schnitzler, P.; Morath, C.; Benning, L. Impact of induction agents and maintenance immunosuppression on torque teno virus loads and year-one complications after kidney transplantation. Front. Immunol. 2024, 15, 1492611. [Google Scholar] [CrossRef]
- Gallagher, H.M.; Sarwar, G.; Tse, T.; Sladden, T.M.; Hii, E.; Yerkovich, S.T.; Hopkins, P.M.; Chambers, D.C. Erratic tacrolimus exposure, assessed using the standard deviation of trough blood levels, predicts chronic lung allograft dysfunction and survival. J. Heart Lung Transplant. 2015, 34, 1442–1448. [Google Scholar] [CrossRef]
- Regele, F.; Haupenthal, F.; Doberer, K.; Görzer, I.; Kapps, S.; Strassl, R.; Bond, G. The kinetics of Torque Teno virus plasma load following calcineurin inhibitor dose change in kidney transplant recipients. J. Med. Virol. 2024, 96, e29554. [Google Scholar] [CrossRef]
- Gottlieb, J.; Reuss, A.; Mayer, K.; Weide, K.; Schade-Brittinger, C.; Hoyer, S.; Jaksch, P. Viral load-guided immuno suppression after lung transplantation (VIGILung)-study protocol for a randomized controlled trial. Trials 2021, 22, 48. [Google Scholar]
- Haupenthal, F.; Rahn, J.; Maggi, F.; Gelas, F.; Bourgeois, P.; Hugo, C. A multicentre, patient- and assessor-blinded, non-inferiority, randomised and controlled phase II trial to compare standard and torque teno virus-guided immuno suppression in kidney transplant recipients in the first year after transplantation: TTVguideIT. Trials 2023, 24, 213. [Google Scholar]
- Kapps, S.; Haupenthal, F.; Bond, G. Torque Teno Virus-guided monitoring of immunosuppressive therapy. Nephrol. Dial. Transplant. 2024, 39, 1942–1944. [Google Scholar] [CrossRef]
- Yu, S.; Dangi, A.; Burnette, M.; Abecassis, M.M.; Thorp, E.B.; Luo, X. Acute murine cytomegalovirus disrupts established transplantation tolerance and causes recipient allo-sensitization. Am. J. Transplant. 2021, 21, 515–524. [Google Scholar] [CrossRef] [PubMed]
- Freeman, R.B., Jr. The ‘indirect’ effects of cytomegalovirus infection. Am. J. Transplant. 2009, 9, 2453–2458. [Google Scholar] [CrossRef] [PubMed]
- Giacconi, R.; Piacenza, F.; Maggi, F.; Bürkle, A.; Moreno-Villanueva, M.; Mancinelli, L.; Spezia, P.G.; Novazzi, F.; Drago Ferrante, F.; Minosse, C.; et al. Association Between TTV Viremia, Chronic Inflammation, and Ischemic Heart Disease Risk: Insights From MARK-AGE and Report-Age Projects. J. Gerontol. A Biol. Sci. Med. Sci. 2024, 79, glae228. [Google Scholar] [CrossRef]
- Giacconi, R.; Laffon, B.; Costa, S.; Teixeira-Gomes, A.; Maggi, F.; Macera, L.; Spezia, P.G.; Piacenza, F.; Bürkle, A.; Moreno-Villanueva, M.; et al. Association of Torquetenovirus Viremia with Physical Frailty and Cognitive Impairment in Three Independent European Cohorts. Gerontology 2023, 69, 684–693. [Google Scholar] [CrossRef]
- Kulifaj, D.; Durgueil-Lariviere, B.; Meynier, F.; Munteanu, E.; Pichon, N.; Dubé, M.; Joannes, M.; Essig, M.; Hantz, S.; Barranger, C.; et al. Development of a standardized real time PCR for Torque teno viruses (TTV) viral load detection and quantification: A new tool for immune monitoring. J. Clin. Virol. 2018, 105, 118–127. [Google Scholar] [CrossRef]






| Main Patient Characteristics | |
|---|---|
| Number of patients | 53 |
| Recipient age (years) | 59.5 ± 8.3 |
| Recipient gender (male) | 45.3% |
| BMI (kg/m2) | 24.4 ± 2.9 |
| Underlying disease | |
| IPF | 39.6% |
| COPD | 50.9% |
| Previous smoking habit | 75.5% |
| Pretransplant Diabetes | 9.4% |
| Pretransplant Hypertension | 32.1% |
| Serum creatinine (mg/dL) | 0.71 ± 0.15 |
| Donor age ≥ 60 years | 34.0% |
| Lung Allocation Score | 34.0 ± 3.4 |
| HLA-ABCDRDQ mismatch | 54 ± 17 |
| Donor/Recipient CMV Serologic Mismatch | 18.9% |
| Second lung ischemia time (min) | 376 ± 78 |
| Pulmonary Graft Dysfunction 2/3 | 9.4% |
| Third week: acute rejection | 18 (34.0%) |
| Third week Prednisone dose (mg) | 22.4 ± 4.2 |
| TTR 12–15 ng/mL at the third week (%) | 28 ± 19% |
| Mean tacrolimus level at third week (ng/mL) | 19.1 ± 34.8 |
| Coefficient of variability at third week | 52.0 ± 9.3 |
| Mean MPA level at third week (mg/L) | 2.9 ± 1.6 |
| Third month Prednisone dose (mg) | 19.7 ± 1.2 |
| TTR 12–15 ng/mL at third month (%) | 38 ± 17% |
| Mean tacrolimus level at third month (ng/mL) | 12.4 ± 2.4 |
| Coefficient of variability at third month | 42.8 ± 8.0 |
| Tacrolimus cumulative exposure at third month (ng∙day/mL) | 1092 ± 105 |
| Mean MPA level at third month (mg/L) | 3.0 ± 1.7 |
| AUC-MPA at third month (µg·h/mL) | 58.2 ± 23.2 |
| rho | p | |
|---|---|---|
| Recipient age (years) | 0.098 | 0.485 |
| BMI (kg/m2) | −0.090 | 0.524 |
| Serum creatinine (mg/dL) | 0.005 | 0.971 |
| Lung Allocation Score | 0.002 | 0.991 |
| HLA-ABCDRDQ eplet mismatches | −0.216 | 0.120 |
| third week Prednisone dose (mg) | −0.194 | 0.163 |
| TTR 12–15 ng/mL at third week (%) | 0.067 | 0.632 |
| Mean tacrolimus levels up to month 1 | 0.090 | 0.520 |
| Mean tacrolimus level at third week (ng/mL) | 0.043 | 0.758 |
| Coefficient of variability at the third week | 0.043 | 0.761 |
| Mean MPA level at third week (mg/L) | 0.023 | 0.872 |
| rho | p | |
|---|---|---|
| Recipient age (years) | −0.014 | 0.919 |
| BMI (kg/m2) | −0.007 | 0.958 |
| Serum creatinine (mg/dL) | 0.111 | 0.429 |
| Lung Allocation Score | 0.020 | 0.887 |
| HLA-ABCDRDQ eplet mismatches | 0.051 | 0.718 |
| third month Prednisone dose (mg) | 0.000 | 1.000 |
| TTR 12–15 ng/mL at third month (%) | −0.151 | 0.281 |
| Mean tacrolimus levels up to month 3 | 0.169 | 0.226 |
| Mean tacrolimus level at third month (ng/mL) | 0.283 | 0.040 |
| Coefficient of variability at third month | 0.059 | 0.676 |
| Tacrolimus cumulative exposure at third month (ng∙day/mL) | 0.201 | 0.152 |
| Mean MPA level at third month (mg/L) | 0.060 | 0.668 |
| AUC-MPA at third month (µg·h/mL) | −0.082 | 0.578 |
Disclaimer/Publisher’s Note: The statements, opinions and data contained in all publications are solely those of the individual author(s) and contributor(s) and not of MDPI and/or the editor(s). MDPI and/or the editor(s) disclaim responsibility for any injury to people or property resulting from any ideas, methods, instructions or products referred to in the content. |
© 2025 by the authors. Licensee MDPI, Basel, Switzerland. This article is an open access article distributed under the terms and conditions of the Creative Commons Attribution (CC BY) license (https://creativecommons.org/licenses/by/4.0/).
Share and Cite
Mora, V.M.; Rodrigo, E.; Iturbe-Fernández, D.; Izquierdo, S.; Tello, S.; Benito-Hernández, A.; García-Saiz, M.M.; San Segundo, D.; Francia, M.V.; Cifrián, J.M. Exploring the Association Between Torquetenovirus Viral Load and Immunosuppressive Drug Exposure in Lung Transplantation. Biomolecules 2025, 15, 494. https://doi.org/10.3390/biom15040494
Mora VM, Rodrigo E, Iturbe-Fernández D, Izquierdo S, Tello S, Benito-Hernández A, García-Saiz MM, San Segundo D, Francia MV, Cifrián JM. Exploring the Association Between Torquetenovirus Viral Load and Immunosuppressive Drug Exposure in Lung Transplantation. Biomolecules. 2025; 15(4):494. https://doi.org/10.3390/biom15040494
Chicago/Turabian StyleMora, Victor M., Emilio Rodrigo, David Iturbe-Fernández, Sheila Izquierdo, Sandra Tello, Adalberto Benito-Hernández, Maria Mar García-Saiz, David San Segundo, María Victoria Francia, and Jose M. Cifrián. 2025. "Exploring the Association Between Torquetenovirus Viral Load and Immunosuppressive Drug Exposure in Lung Transplantation" Biomolecules 15, no. 4: 494. https://doi.org/10.3390/biom15040494
APA StyleMora, V. M., Rodrigo, E., Iturbe-Fernández, D., Izquierdo, S., Tello, S., Benito-Hernández, A., García-Saiz, M. M., San Segundo, D., Francia, M. V., & Cifrián, J. M. (2025). Exploring the Association Between Torquetenovirus Viral Load and Immunosuppressive Drug Exposure in Lung Transplantation. Biomolecules, 15(4), 494. https://doi.org/10.3390/biom15040494

