Tailored Iron Oxide Nanoparticles as Potential Cannabinoid Carriers for Anti-Cancer Treatment
Abstract
1. Introduction
2. Materials and Methods
2.1. Chemicals
2.2. Synthesis of the Conjugates
2.2.1. Synthesis of SPIONs
2.2.2. Modification of SPIONs with Oleic Acid
2.2.3. Modification of SPIONs with TWEEN 80 and Cannabinoid
2.2.4. Modification of the Conjugate with Epirubicin
2.3. In Vitro Cytotoxicity Evaluation
2.4. Langmuir Technique
2.5. Techniques
2.6. Statistical Analysis
3. Results and Discussion
3.1. Morphology Studies
3.2. XPS Analysis
3.3. FT-IR Studies
3.4. Drug Content in Conjugates
3.4.1. Differential Scanning Calorimetry
3.4.2. Cyclic Voltammetry
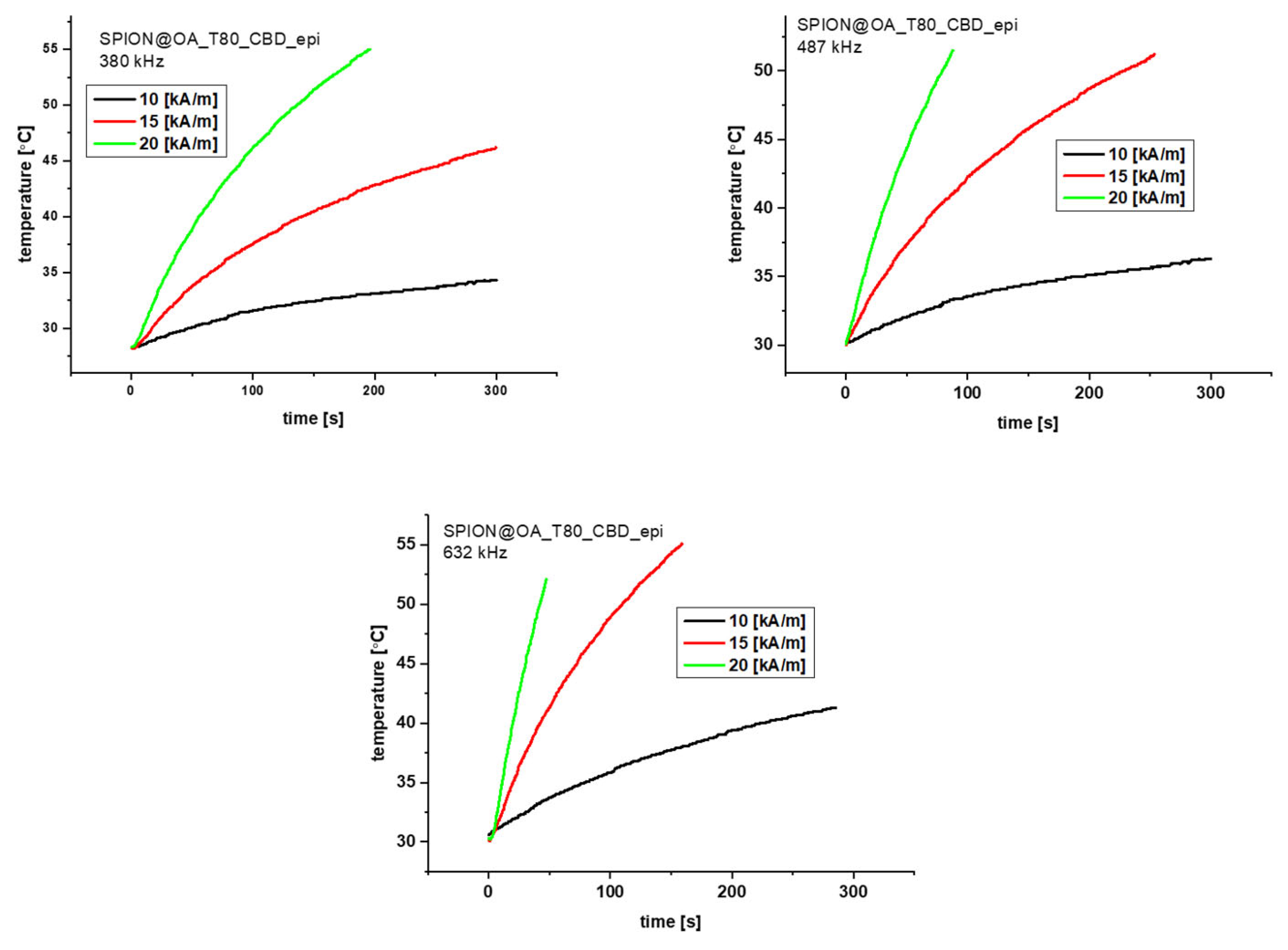
3.5. Magnetic Hyperthermia Studies
3.6. Langmuir Technique
3.7. Cytotoxicity Results
4. Conclusions
Supplementary Materials
Author Contributions
Funding
Institutional Review Board Statement
Informed Consent Statement
Data Availability Statement
Acknowledgments
Conflicts of Interest
References
- Krispin, M.; Ullrich, A.; Horn, S. Crystal Structure of Iron-Oxide Nanoparticles Synthesized from Ferritin. J. Nanoparticle Res. 2012, 14, 669. [Google Scholar] [CrossRef]
- Zhi, D.; Yang, T.; Yang, J.; Fu, S.; Zhang, S. Targeting Strategies for Superparamagnetic Iron Oxide Nanoparticles in Cancer Therapy. Acta Biomater. 2020, 102, 13–34. [Google Scholar] [CrossRef] [PubMed]
- Cho, S.-J.; Idrobo, J.-C.; Olamit, J.; Liu, K.; Browning, N.D.; Kauzlarich, S.M. Growth Mechanisms and Oxidation Resistance of Gold-Coated Iron Nanoparticles. Chem. Mater. 2005, 17, 3181–3186. [Google Scholar] [CrossRef]
- Baghdadi, Y.N.; Youssef, L.; Bouhadir, K.; Harb, M.; Mustapha, S.; Patra, D.; Tehrani Bagha, A.R. Thermal and mechanical properties of epoxy resin reinforced with modified iron oxide nanoparticles. J. Appl. Polym. Sci. 2021, 138, e50533. [Google Scholar] [CrossRef]
- Arora, J.; Tallman, T.N. Synergistic carbon nanotube + carbon-coated iron nanoparticle polymer composites: Electrical, magnetic, and mechanical properties. Compos. Part A Appl. Sci. Manuf. 2024, 187, 108439. [Google Scholar] [CrossRef]
- Piskin, E.; Cianciosi, D.; Gulec, S.; Tomas, M.; Capanoglu, E. Iron absorption: Factors, limitations, and improvement methods. ACS Omega 2022, 7, 20441–20456. [Google Scholar] [CrossRef]
- Davis, S.S. Biomédical Applications of Nanotechnology—Implications for Drug Targeting and Gene Therapy. Trends Biotechnol. 1997, 15, 217–224. [Google Scholar] [CrossRef]
- Altammar, K.A. A review on nanoparticles: Characteristics, synthesis, applications, and challenges. Front. Microbiol. 2023, 14, 1155622. [Google Scholar] [CrossRef] [PubMed] [PubMed Central]
- Shurin, M.R.; Kirichenko, V.A.; Shurin, G.V.; Lee, D.; Crane, C.; Kirichenko, A.V. Radiomodulating Properties of Superparamagnetic Iron Oxide Nanoparticle (SPION) Agent Ferumoxytol on Human Monocytes: Implications for MRI-Guided Liver Radiotherapy. Cancers 2024, 16, 1318. [Google Scholar] [CrossRef]
- Li, Z.; Wan, W.; Bai, Z.; Peng, B.; Wang, X.; Cui, L.; Liu, Z.; Lin, K.; Yang, J.; Hao, J.; et al. Construction of pH-responsive nanoplatform from stable magnetic nanoparticles for targeted drug delivery and intracellular imaging. Sens. Actuators B Chem. 2023, 375, 132869. [Google Scholar] [CrossRef]
- Liu, Z.; Wang, X.; Chen, X.; Cui, L.; Li, Z.; Bai, Z.; Lin, K.; Yang, J.; Tian, F. Construction of pH-responsive polydopamine coated magnetic layered hydroxide nanostructure for intracellular drug delivery. Eur. J. Pharm. Biopharm. 2023, 182, 12–20. [Google Scholar] [CrossRef] [PubMed]
- Cryer, A.M.; Thorley, A.J. Nanotechnology in the Diagnosis and Treatment of Lung Cancer. Pharmacol. Ther. 2019, 198, 189–205. [Google Scholar] [CrossRef] [PubMed]
- Samrot, A.V.; Sahithya, C.S.; Selvarani, A.J.; Purayil, S.K.; Ponnaiah, P. A Review on Synthesis, Characterization and Potential Biological Applications of Superparamagnetic Iron Oxide Nanoparticles. Curr. Res. Green. Sustain. Chem. 2021, 4, 100042. [Google Scholar] [CrossRef]
- Starowicz, K.; Finn, D.P. Cannabinoids and Pain: Sites and Mechanisms of Action. In Advances in Pharmacology; Elsevier: Amsterdam, The Netherlands, 2017; Volume 80, pp. 437–475. [Google Scholar] [CrossRef]
- Kendall, D.A.; Yudowski, G.A. Cannabinoid Receptors in the Central Nervous System: Their Signaling and Roles in Disease. Front. Cell. Neurosci. 2017, 10, 294. [Google Scholar] [CrossRef] [PubMed]
- Williamson, E.M.; Evans, F.J. Cannabinoids in Clinical Practice. Drugs 2000, 60, 1303–1314. [Google Scholar] [CrossRef] [PubMed]
- Stockings, E.; Zagic, D.; Campbell, G.; Weier, M.; Hall, W.D.; Nielsen, S.; Herkes, G.K.; Farrell, M.; Degenhardt, L. Evidence for Cannabis and Cannabinoids for Epilepsy: A Systematic Review of Controlled and Observational Evidence. J. Neurol. Neurosurg. Psychiatry 2018, 89, 741–753. [Google Scholar] [CrossRef]
- Zuardi, A.W.; Shirakawa, I.; Finkelfarb, E.; Karniol, I.G. Action of Cannabidiol on the Anxiety and Other Effects Produced by? 9-THC in Normal Subjects. Psychopharmacology 1982, 76, 245–250. [Google Scholar] [CrossRef]
- Batalla, A.; Janssen, H.; Gangadin, S.S.; Bossong, M.G. The Potential of Cannabidiol as a Treatment for Psychosis and Addiction: Who Benefits Most? A Systematic Review. JCM 2019, 8, 1058. [Google Scholar] [CrossRef]
- Cuñetti, L.; Manzo, L.; Peyraube, R.; Arnaiz, J.; Curi, L.; Orihuela, S. Chronic Pain Treatment with Cannabidiol in Kidney Transplant Patients in Uruguay. Transplant. Proc. 2018, 50, 461–464. [Google Scholar] [CrossRef]
- Szczesniak, A.-M.; Maor, Y.; Robertson, H.; Hung, O.; Kelly, M.E.M. Nonpsychotropic Cannabinoids, Abnormal Cannabidiol and Canabigerol-Dimethyl Heptyl, Act at Novel Cannabinoid Receptors to Reduce Intraocular Pressure. J. Ocul. Pharmacol. Ther. 2011, 27, 427–435. [Google Scholar] [CrossRef]
- Seltzer, E.S.; Watters, A.K.; MacKenzie, D.; Granat, L.M.; Zhang, D. Cannabidiol (CBD) as a Promising Anti-Cancer Drug. Cancers 2020, 12, 3203. [Google Scholar] [CrossRef] [PubMed]
- Fraguas-Sánchez, A.I.; Fernández-Carballido, A.; Simancas-Herbada, R.; Martin-Sabroso, C.; Torres-Suárez, A.I. CBD Loaded Microparticles as a Potential Formulation to Improve Paclitaxel and Doxorubicin-Based Chemotherapy in Breast Cancer. Int. J. Pharm. 2020, 574, 118916. [Google Scholar] [CrossRef] [PubMed]
- Zhelyazkova, M.; Kirilov, B.; Momekov, G. The Pharmacological Basis for Application of Cannabidiol in Cancer Chemotherapy. PHAR 2020, 67, 239–252. [Google Scholar] [CrossRef]
- Palanisamy, S.; Wang, Y.-M. Superparamagnetic Iron Oxide Nanoparticulate System: Synthesis, Targeting, Drug Delivery and Therapy in Cancer. Dalton Trans. 2019, 48, 9490–9515. [Google Scholar] [CrossRef] [PubMed]
- Gupta, A.K.; Gupta, M. Synthesis and Surface Engineering of Iron Oxide Nanoparticles for Biomedical Applications. Biomaterials 2005, 26, 3995–4021. [Google Scholar] [CrossRef]
- Ravichandran, V.; Lee, M.; Nguyen Cao, T.G.; Shim, M.S. Polysorbate-Based Drug Formulations for Brain-Targeted Drug Delivery and Anticancer Therapy. Appl. Sci. 2021, 11, 9336. [Google Scholar] [CrossRef]
- Wang, Y.M.; Cao, X.; Liu, G.H.; Hong, R.Y.; Chen, Y.M.; Chen, X.F.; Li, H.Z.; Xu, B.; Wei, D.G. Synthesis of Fe3O4 Magnetic Fluid Used for Magnetic Resonance Imaging and Hyperthermia. J. Magn. Magn. Mater. 2011, 323, 2953–2959. [Google Scholar] [CrossRef]
- Biesinger, M.C. Accessing the robustness of adventitious carbon for charge referencing (correction) purposes in XPS analysis: Insights from a multi-user facility data review. Appl. Surf. Sci. 2022, 597, 153681. [Google Scholar]
- Chou, T.-C. Drug Combination Studies and Their Synergy Quantification Using the Chou-Talalay Method. Cancer Res. 2010, 70, 440–446. [Google Scholar] [CrossRef]
- Moulder, J.F.; Stickle, W.F.; Sobol, P.E.; Bomben, K.D. Handbook of X-Ray Photoelectron Spectroscopy: A Reference Book of Standard Spectra for Identification and Interpretation of XPS Data; Physical Electronics Division, Perkin-Elmer Corporation: Eden Prairie, MN, USA, 1992. [Google Scholar]
- Johansson, E.; Nyborg, L. XPS study of carboxylic acid layers on oxidized metals with reference to particulate materials. Surf. Interface Anal. 2003, 35, 375–381. [Google Scholar] [CrossRef]
- Beamson, G.; Briggs, D. High Resolution XPS of Organic Polymers: The Scienta ESCA300 Database. J. Chem. Educ. 1993, 70, A25. [Google Scholar] [CrossRef]
- Li, H.-J.; Zhang, A.-Q.; Hu, Y.; Sui, L.; Qian, D.-J.; Chen, M. Large-scale synthesis and self-organization of silver nanoparticles with Tween 80 as a reductant and stabilizer. Nanoscale Res. Lett. 2012, 7, 612. [Google Scholar] [CrossRef] [PubMed]
- Mohapatra, J.; Mitra, A.; Tyagi, H.; Bahadur, D.; Aslam, M. Iron oxide nanorods as high-performance magnetic resonance imaging contrast agents. Nanoscale 2015, 7, 9174–9184. [Google Scholar] [CrossRef] [PubMed]
- Talebniya, S.; Ibrahim, S.; Mohammad-Reza, S.; Doostmohammadi, A. Study of Cation Distribution and Magnetic Properties of MFe2O4 (M = Fe, Co, Zn, Mn, and Cu) Nanoparticles. J. Supercond. Nov. Magn. 2022, 35, 899–908. [Google Scholar] [CrossRef]
- Hajalilou, A.; Ferreira, L.P.; Jorge, M.E.M.; Reis, C.P.; Cruz, M.M. Surface-Modified Iron Oxide Nanoparticles with Natural Biopolymers for Magnetic Hyperthermia: Effect of Reducing Agents and Type of Biopolymers. J. Compos. Sci. 2024, 8, 425. [Google Scholar] [CrossRef]
- Noqta, O.A.; Sodipo, B.K.; Aziz, A.A. One-Pot Synthesis of Highly Magnetic and Stable Citrate Coated Superparamagnetic Iron Oxide Nanoparticles by Modified Coprecipitation Method. Funct. Compos. Struct. 2020, 2, 045005. [Google Scholar] [CrossRef]
- Bide, Y.; Fashapoyeh, M.A.; Shokrollahzadeh, S. Structural Investigation and Application of Tween 80-Choline Chloride Self-Assemblies as Osmotic Agent for Water Desalination. Sci. Rep. 2021, 11, 17068. [Google Scholar] [CrossRef]
- Li, H.; Chang, S.-L.; Chang, T.-R.; You, Y.; Wang, X.-D.; Wang, L.-W.; Yuan, X.-F.; Tan, M.-H.; Wang, P.-D.; Xu, P.-W.; et al. Inclusion Complexes of Cannabidiol with β-Cyclodextrin and Its Derivative: Physicochemical Properties, Water Solubility, and Antioxidant Activity. J. Mol. Liq. 2021, 334, 116070. [Google Scholar] [CrossRef]
- Nieciecka, D.; Celej, J.; Żuk, M.; Majkowska-Pilip, A.; Żelechowska-Matysiak, K.; Lis, A.; Osial, M. Hybrid System for Local Drug Delivery and Magnetic Hyperthermia Based on SPIONs Loaded with Doxorubicin and Epirubicin. Pharmaceutics 2021, 13, 480. [Google Scholar] [CrossRef]
- Bonilla, L.G.P.; Orozco, G.A.; Chaves, I.D.G.; Niño, G.R. Experimental Solubility of Cannabidiol (CBD) in Different Organic Solvents. Ind. Eng. Chem. Res. 2023, 62, 12356–12364. [Google Scholar] [CrossRef]
- Jastrząb, A.; Jarocka-Karpowicz, I.; Skrzydlewska, E. The Origin and Biomedical Relevance of Cannabigerol. Int. J. Mol. Sci. 2022, 23, 7929. [Google Scholar] [CrossRef] [PubMed]
- Cui, S.; Bahraminia, M.; Rouabhia, M.; Semlali, A.; Béland, F.; Zhang, Z. Design, characterization, and release profile of a cannabidiol (CBD)-rich polyvinyl alcohol hydrogel. Mater. Adv. 2024, 5, 7244–7255. [Google Scholar] [CrossRef]
- Bavandpour, R.; Rajabi, M.; Asghari, A. Electrochemical determination of epirubicin in the presence of topotecan as essential anti-cancer compounds using paste electrode amplified with Pt/SWCNT nanocomposite and a deep eutectic solvent. Chemosphere 2022, 289, 133060. [Google Scholar] [CrossRef] [PubMed]
- Garaio, E.; Sandre, O.; Collantes, J.M.; Garcia, J.A.; Mornet, S.; Plazaola, F. Specific absorption rate dependence on temperature in magnetic field hyperthermia measured by dynamic hysteresis losses (ac magnetometry). Nanotechnology 2015, 26, 015704. [Google Scholar] [CrossRef] [PubMed]












| Carrier | Average Diameter [nm] | Average Zeta Potential [mV] |
|---|---|---|
| SPION@OA_T80 | 65 (±3) | 0.7 (±0.2) |
| SPION@OA_T80_CBD | 90 (±2) | −12 (±4) |
| SPION@OA_T80_CBG | 87 (±4) | −13 (±5) |
| SPION@OA_T80_CBD_epi | 98 (±5) | −2.7 (±1.2) |
| SPION@OA_T80_CBG_epi | 102 (±3) | −3.9 (±1) |
| Sample | %C | %O | %Si | %Fe | Cl |
|---|---|---|---|---|---|
| SPION@OA | 90.7 | 8.2 | 1 | 0.1 | |
| SPION@OA_T80 | 74.7 | 21.3 | 1.2 | 2.23 | 0.6 |
| SPION@OA_T80_CBD | 86 | 13.4 | 0.6 | ||
| SPION@OA_T80_CBD_epi | 85 | 14.4 | 0.6 |
| SPION@OA_T80_CBD_epi | 10 [kA/m] | 15 [kA/m] | 20 [kA/m] |
| 380 [kHz] | 27 [W/g] | 61 [W/g] | 91 [W/g] |
| 487 [kHz] | 36 [W/g] | 77 [W/g] | 132 [W/g] |
| 633 [kHz] | 60 [W/g] | 82 [W/g] | 152 [W/g] |
| SPION@OA_T80_CBG_epi | 10 [kA/m] | 15 [kA/m] | 20 [kA/m] |
| 380 [kHz] | 31 [W/g] | 60 [W/g] | 96 [W/g] |
| 487 [kHz] | 37 [W/g] | 78 [W/g] | 143 [W/g] |
| 633 [kHz] | 62 [W/g] | 83 [W/g] | 160 [W/g] |
Disclaimer/Publisher’s Note: The statements, opinions and data contained in all publications are solely those of the individual author(s) and contributor(s) and not of MDPI and/or the editor(s). MDPI and/or the editor(s) disclaim responsibility for any injury to people or property resulting from any ideas, methods, instructions or products referred to in the content. |
© 2025 by the authors. Licensee MDPI, Basel, Switzerland. This article is an open access article distributed under the terms and conditions of the Creative Commons Attribution (CC BY) license (https://creativecommons.org/licenses/by/4.0/).
Share and Cite
Taudul, J.; Celej, J.; Żelechowska-Matysiak, K.; Kępińska, D.; Majkowska-Pilip, A.; Strawski, M.; Krysiński, P.; Nieciecka, D. Tailored Iron Oxide Nanoparticles as Potential Cannabinoid Carriers for Anti-Cancer Treatment. Biomolecules 2025, 15, 230. https://doi.org/10.3390/biom15020230
Taudul J, Celej J, Żelechowska-Matysiak K, Kępińska D, Majkowska-Pilip A, Strawski M, Krysiński P, Nieciecka D. Tailored Iron Oxide Nanoparticles as Potential Cannabinoid Carriers for Anti-Cancer Treatment. Biomolecules. 2025; 15(2):230. https://doi.org/10.3390/biom15020230
Chicago/Turabian StyleTaudul, Jan, Joanna Celej, Kinga Żelechowska-Matysiak, Daria Kępińska, Agnieszka Majkowska-Pilip, Marcin Strawski, Paweł Krysiński, and Dorota Nieciecka. 2025. "Tailored Iron Oxide Nanoparticles as Potential Cannabinoid Carriers for Anti-Cancer Treatment" Biomolecules 15, no. 2: 230. https://doi.org/10.3390/biom15020230
APA StyleTaudul, J., Celej, J., Żelechowska-Matysiak, K., Kępińska, D., Majkowska-Pilip, A., Strawski, M., Krysiński, P., & Nieciecka, D. (2025). Tailored Iron Oxide Nanoparticles as Potential Cannabinoid Carriers for Anti-Cancer Treatment. Biomolecules, 15(2), 230. https://doi.org/10.3390/biom15020230

