Tryptophan Kynurenine Pathway-Based Imaging Agents for Brain Disorders and Oncology—From Bench to Bedside
Abstract
1. Introduction
2. Methods
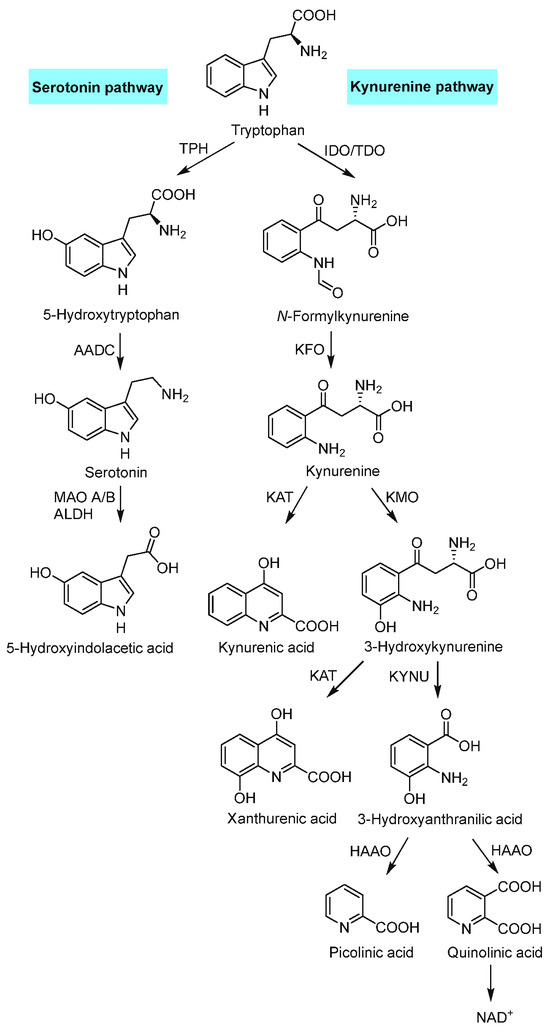
3. Trp Metabolism
4. Tracer Types
4.1. α-11C-Methyl-L-Tryptophan ([11C]AMT), 5-18F-α-Methyl-L-Tryptophan (5-[18F]F-AMT), 6-18F-α-Methyl-L-Tryptophan (6-[18F]F-AMT), and 5-[124I]I-α-Methyl-Tryptophan (5-[124I]I-AMT)
4.2. 11C-5-Hydroxy-Typtophan ([11C]HTP)
4.3. [18F]Fluoroalkoxy-Tryptophan
4.3.1. L-5-(2-18F Fluorethoxy)-Tryptophan (5-18FEHTP)
4.3.2. D,L-4,6,7-(2-[18F]Fluorethoxy)-Tryptophan (4,6,7-18F-FEHTrp)
4.3.3. 5-(3-[18F]Fluoropropyloxy)-L-Tryptophan ([18F]-L-FPTP)
4.4. [18F]Fluoroalkyl-Tryptophan
4.4.1. 1-(2-[18F]Fluoroethyl)-L-Tryptophan (18F-FETrp)
4.4.2. 2-(3-[18F]Fluoropropyl)-DL-Tryptophan ([18F]2-FPTRP) and 5-(3-[18F]Fluoropropyl)-DL-Tryptophan ([18F]5-FPTRP)
4.4.3. 5-Hydroxy-2-(3-[18F]Fluoropropyl)-DL-Tryptophan (5-OH-2-[18F]FPTRP) and 5-Hydroxy-2-(2-[18F]Fluoroethyl)-DL-Tryptophan (5-OH-2-[18F]FETRP)
4.5. [18F]Flourotryptophan
5. Discussion
6. Conclusions
Author Contributions
Funding
Data Availability Statement
Conflicts of Interest
References
- Xue, C.; Li, G.; Zheng, Q.; Gu, X.; Shi, Q.; Su, Y.; Chu, Q.; Yuan, X.; Bao, Z.; Lu, J.; et al. Tryptophan metabolism in health and disease. Cell Metab. 2023, 35, 1304–1326. [Google Scholar] [CrossRef] [PubMed]
- Liu, X.H.; Zhai, X.Y. Role of tryptophan metabolism in cancers and therapeutic implications. Biochimie 2021, 182, 131–139. [Google Scholar] [CrossRef] [PubMed]
- Shankar, A.; Bomanji, J.; Hyare, H. Hybrid PET-MRI Imaging in Paediatric and TYA Brain Tumours: Clinical Applications and Challenges. J. Pers. Med. 2020, 10, 218. [Google Scholar] [CrossRef] [PubMed]
- Juhasz, C.; Dwivedi, S.; Kamson, D.O.; Michelhaugh, S.K.; Mittal, S. Comparison of amino acid positron emission tomographic radiotracers for molecular imaging of primary and metastatic brain tumors. Mol. Imaging 2014, 13, 1–16. [Google Scholar] [CrossRef]
- Sun, T.; Tang, G.; Tian, H.; Wang, X.; Chen, X.; Chen, Z.; Wang, S. Radiosynthesis of 1-[18F]fluoroethyl-L-tryptophan as a novel potential amino acid PET tracer. Appl. Radiat. Isot. 2012, 70, 676–680. [Google Scholar] [CrossRef]
- Jiang, H.; Guo, Y.; Cai, H.; Viola, N.; Shields, A.F.; Muzik, O.; Juhasz, C. Automated radiosynthesis of 1-(2-[(18) F]fluoroethyl)-L-tryptophan ([(18) F]FETrp) for positron emission tomography (PET) imaging of cancer in humans. J. Labelled Comp. Radiopharm. 2023, 66, 180–188. [Google Scholar] [CrossRef]
- Henrottin, J.; Lemaire, C.; Egrise, D.; Zervosen, A.; Van den Eynde, B.; Plenevaux, A.; Franci, X.; Goldman, S.; Luxen, A. Fully automated radiosynthesis of N(1)-[(18)F]fluoroethyl-tryptophan and study of its biological activity as a new potential substrate for indoleamine 2,3-dioxygenase PET imaging. Nucl. Med. Biol. 2016, 43, 379–389. [Google Scholar] [CrossRef]
- Koopmans, K.P.; Neels, O.N.; Kema, I.P.; Elsinga, P.H.; Links, T.P.; de Vries, E.G.; Jager, P.L. Molecular imaging in neuroendocrine tumors: Molecular uptake mechanisms and clinical results. Crit. Rev. Oncol. Hematol. 2009, 71, 199–213. [Google Scholar] [CrossRef] [PubMed]
- Saito, Y.; Soga, T. Amino acid transporters as emerging therapeutic targets in cancer. Cancer Sci. 2021, 112, 2958–2965. [Google Scholar] [CrossRef] [PubMed]
- Wang, Q.; Holst, J. L-type amino acid transport and cancer: Targeting the mTORC1 pathway to inhibit neoplasia. Am. J. Cancer Res. 2015, 5, 1281–1294. [Google Scholar] [PubMed]
- Vumma, R.; Johansson, J.; Lewander, T.; Venizelos, N. Tryptophan transport in human fibroblast cells-a functional characterization. Int. J. Tryptophan Res. 2011, 4, 19–27. [Google Scholar] [CrossRef] [PubMed]
- Tronel, C.; Largeau, B.; Santiago Ribeiro, M.J.; Guilloteau, D.; Dupont, A.C.; Arlicot, N. Molecular Targets for PET Imaging of Activated Microglia: The Current Situation and Future Expectations. Int. J. Mol. Sci. 2017, 18, 802. [Google Scholar] [CrossRef] [PubMed]
- Chen, Y.; Zhang, J.; Yang, Y.; Xiang, K.; Li, H.; Sun, D.; Chen, L. Kynurenine-3-monooxygenase (KMO): From its biological functions to therapeutic effect in diseases progression. J. Cell Physiol. 2022, 237, 4339–4355. [Google Scholar] [CrossRef] [PubMed]
- Braidy, N.; Grant, R.; Brew, B.J.; Adams, S.; Jayasena, T.; Guillemin, G.J. Effects of Kynurenine Pathway Metabolites on Intracellular NAD Synthesis and Cell Death in Human Primary Astrocytes and Neurons. Int. J. Tryptophan Res. 2009, 2, 61–69. [Google Scholar] [CrossRef]
- Goud, N.S.; Bhattacharya, A.; Joshi, R.K.; Nagaraj, C.; Bharath, R.D.; Kumar, P. Carbon-11: Radiochemistry and Target-Based PET Molecular Imaging Applications in Oncology, Cardiology, and Neurology. J. Med. Chem. 2021, 64, 1223–1259. [Google Scholar] [CrossRef]
- Weiss, P.S.; Ermert, J.; Castillo Melean, J.; Schafer, D.; Coenen, H.H. Radiosynthesis of 4-[(18)F]fluoro-L-tryptophan by isotopic exchange on carbonyl-activated precursors. Bioorg Med. Chem. 2015, 23, 5856–5869. [Google Scholar] [CrossRef]
- Shih, I.H.; Duan, X.D.; Kong, F.L.; Williams, M.D.; Yang, K.; Zhang, Y.H.; Yang, D.J. Automated synthesis of 18F-fluoropropoxytryptophan for amino acid transporter system imaging. Biomed. Res. Int. 2014, 2014, 492545. [Google Scholar] [CrossRef] [PubMed]
- Basran, J.; Rafice, S.A.; Chauhan, N.; Efimov, I.; Cheesman, M.R.; Ghamsari, L.; Raven, E.L. A kinetic, spectroscopic, and redox study of human tryptophan 2,3-dioxygenase. Biochemistry 2008, 47, 4752–4760. [Google Scholar] [CrossRef]
- Chehardoli, G.; Bahmani, A. Synthetic strategies, SAR studies, and computer modeling of indole 2 and 3-carboxamides as the strong enzyme inhibitors: A review. Mol. Divers. 2021, 25, 535–550. [Google Scholar] [CrossRef] [PubMed]
- Chugani, D.C.; Muzik, O. Alpha[C-11]methyl-L-tryptophan PET maps brain serotonin synthesis and kynurenine pathway metabolism. J. Cereb. Blood Flow. Metab. 2000, 20, 2–9. [Google Scholar] [CrossRef]
- Rosa-Neto, P.; Diksic, M.; Leyton, M.; Mzengeza, S.; Benkelfat, C. Stability of alpha-[11C]methyl-L-tryptophan brain trapping in healthy male volunteers. Eur. J. Nucl. Med. Mol. Imaging 2005, 32, 1199–1204. [Google Scholar] [CrossRef] [PubMed]
- Rosa-Neto, P.; Benkelfat, C.; Sakai, Y.; Leyton, M.; Morais, J.A.; Diksic, M. Brain regional alpha-[11C]methyl-L-tryptophan trapping, used as an index of 5-HT synthesis, in healthy adults: Absence of an age effect. Eur. J. Nucl. Med. Mol. Imaging 2007, 34, 1254–1264. [Google Scholar] [CrossRef] [PubMed]
- Juhasz, C.; Bosnyak, E. PET and SPECT studies in children with hemispheric low-grade gliomas. Childs Nerv. Syst. 2016, 32, 1823–1832. [Google Scholar] [CrossRef]
- Rosa-Neto, P.; Diksic, M.; Okazawa, H.; Leyton, M.; Ghadirian, N.; Mzengeza, S.; Nakai, A.; Debonnel, G.; Blier, P.; Benkelfat, C. Measurement of brain regional alpha-[11C]methyl-L-tryptophan trapping as a measure of serotonin synthesis in medication-free patients with major depression. Arch. Gen. Psychiatry 2004, 61, 556–563. [Google Scholar] [CrossRef] [PubMed]
- Berney, A.; Nishikawa, M.; Benkelfat, C.; Debonnel, G.; Gobbi, G.; Diksic, M. An index of 5-HT synthesis changes during early antidepressant treatment: Alpha-[11C]methyl-L-tryptophan PET study. Neurochem. Int. 2008, 52, 701–708. [Google Scholar] [CrossRef] [PubMed]
- Okazawa, H.; Nishizawa, S.; Tsuchida, T.; Yonekura, Y.; Diksic, M. A simplified autoradiographic method with alpha-[14C]methyl-tryptophan to measure serotonin synthesis rate in the rat brain. Nucl. Med. Biol. 2004, 31, 1013–1019. [Google Scholar] [CrossRef] [PubMed]
- Sakai, Y.; Nishikawa, M.; Leyton, M.; Benkelfat, C.; Young, S.N.; Diksic, M. Cortical trapping of alpha-[(11)C]methyl-l-tryptophan, an index of serotonin synthesis, is lower in females than males. Neuroimage 2006, 33, 815–824. [Google Scholar] [CrossRef]
- Kumakura, Y.; Natsume, J.; Toussaint, P.J.; Nakai, A.; Rosa-Neto, P.; Meyer, E.; Diksic, M. Generation of Functional Images of The Brain Trapping Constant for alpha-[11C]Methyl-L-Tryptophan Using Constrained Linear Regression. Open J. Med. Imaging 2011, 5, 14–25. [Google Scholar] [CrossRef]
- Frey, B.N.; Skelin, I.; Sakai, Y.; Nishikawa, M.; Diksic, M. Gender differences in alpha-[(11)C]MTrp brain trapping, an index of serotonin synthesis, in medication-free individuals with major depressive disorder: A positron emission tomography study. Psychiatry Res. 2010, 183, 157–166. [Google Scholar] [CrossRef]
- Nishikawa, M.; Diksic, M.; Sakai, Y.; Kumano, H.; Charney, D.; Palacios-Boix, J.; Negrete, J.; Gill, K. Alterations in brain serotonin synthesis in male alcoholics measured using positron emission tomography. Alcohol. Clin. Exp. Res. 2009, 33, 233–239. [Google Scholar] [CrossRef]
- Leyton, M.; Paquette, V.; Gravel, P.; Rosa-Neto, P.; Weston, F.; Diksic, M.; Benkelfat, C. alpha-[11C]Methyl-L-tryptophan trapping in the orbital and ventral medial prefrontal cortex of suicide attempters. Eur. Neuropsychopharmacol. 2006, 16, 220–223. [Google Scholar] [CrossRef] [PubMed]
- Rintahaka, P.J.; Chugani, H.T. Clinical role of positron emission tomography in children with tuberous sclerosis complex. J. Child. Neurol. 1997, 12, 42–52. [Google Scholar] [CrossRef] [PubMed]
- Kumar, A.; Asano, E.; Chugani, H.T. alpha-[(1)(1)C]-methyl-L-tryptophan PET for tracer localization of epileptogenic brain regions: Clinical studies. Biomark. Med. 2011, 5, 577–584. [Google Scholar] [CrossRef]
- Luat, A.F.; Makki, M.; Chugani, H.T. Neuroimaging in tuberous sclerosis complex. Curr. Opin. Neurol. 2007, 20, 142–150. [Google Scholar] [CrossRef] [PubMed]
- Rubi, S.; Costes, N.; Heckemann, R.A.; Bouvard, S.; Hammers, A.; Marti Fuster, B.; Ostrowsky, K.; Montavont, A.; Jung, J.; Setoain, X.; et al. Positron emission tomography with alpha-[11C]methyl-L-tryptophan in tuberous sclerosis complex-related epilepsy. Epilepsia 2013, 54, 2143–2150. [Google Scholar] [CrossRef]
- Chugani, H.T.; Juhasz, C.; Chugani, D.C.; Lawrenson, L.; Muzik, O.; Chakraborty, P.K.; Sood, S. Increased striatal serotonin synthesis following cortical resection in children with intractable epilepsy. Epilepsy Res. 2008, 78, 124–130. [Google Scholar] [CrossRef][Green Version]
- Kumar, A.; Chugani, H.T. The Role of Radionuclide Imaging in Epilepsy, Part 2: Epilepsy Syndromes. J. Nucl. Med. Technol. 2017, 45, 22–29. [Google Scholar] [CrossRef] [PubMed]
- Juhasz, C.; Chugani, H.T. Imaging the epileptic brain with positron emission tomography. Neuroimaging Clin. N. Am. 2003, 13, 705–716. [Google Scholar] [CrossRef] [PubMed]
- Juhasz, C.; Chugani, D.C.; Muzik, O.; Shah, A.; Asano, E.; Mangner, T.J.; Chakraborty, P.K.; Sood, S.; Chugani, H.T. Alpha-methyl-L-tryptophan PET detects epileptogenic cortex in children with intractable epilepsy. Neurology 2003, 60, 960–968. [Google Scholar] [CrossRef]
- Chugani, H.T.; Luat, A.F.; Kumar, A.; Govindan, R.; Pawlik, K.; Asano, E. alpha-[11C]-Methyl-L-tryptophan--PET in 191 patients with tuberous sclerosis complex. Neurology 2013, 81, 674–680. [Google Scholar] [CrossRef]
- Wakamoto, H.; Chugani, D.C.; Juhasz, C.; Muzik, O.; Kupsky, W.J.; Chugani, H.T. Alpha-methyl-l-tryptophan positron emission tomography in epilepsy with cortical developmental malformations. Pediatr. Neurol. 2008, 39, 181–188. [Google Scholar] [CrossRef] [PubMed]
- Fedi, M.; Reutens, D.C.; Andermann, F.; Okazawa, H.; Boling, W.; White, C.; Dubeau, F.; Nakai, A.; Gross, D.W.; Andermann, E.; et al. alpha-[11C]-Methyl-L-tryptophan PET identifies the epileptogenic tuber and correlates with interictal spike frequency. Epilepsy Res. 2003, 52, 203–213. [Google Scholar] [CrossRef] [PubMed]
- Bosnyak, E.; Barger, G.R.; Michelhaugh, S.K.; Robinette, N.L.; Amit-Yousif, A.; Mittal, S.; Juhasz, C. Amino Acid PET Imaging of the Early Metabolic Response During Tumor-Treating Fields (TTFields) Therapy in Recurrent Glioblastoma. Clin. Nucl. Med. 2018, 43, 176–179. [Google Scholar] [CrossRef]
- Juhasz, C.; Chugani, D.C.; Muzik, O.; Wu, D.; Sloan, A.E.; Barger, G.; Watson, C.; Shah, A.K.; Sood, S.; Ergun, E.L.; et al. In vivo uptake and metabolism of alpha-[11C]methyl-L-tryptophan in human brain tumors. J. Cereb. Blood Flow. Metab. 2006, 26, 345–357. [Google Scholar] [CrossRef]
- Juhasz, C.; Muzik, O.; Chugani, D.C.; Chugani, H.T.; Sood, S.; Chakraborty, P.K.; Barger, G.R.; Mittal, S. Differential kinetics of alpha-[(1)(1)C]methyl-L-tryptophan on PET in low-grade brain tumors. J. Neurooncol 2011, 102, 409–415. [Google Scholar] [CrossRef] [PubMed]
- Kamson, D.O.; Juhasz, C.; Buth, A.; Kupsky, W.J.; Barger, G.R.; Chakraborty, P.K.; Muzik, O.; Mittal, S. Tryptophan PET in pretreatment delineation of newly-diagnosed gliomas: MRI and histopathologic correlates. J. Neurooncol 2013, 112, 121–132. [Google Scholar] [CrossRef] [PubMed]
- Kamson, D.O.; Mittal, S.; Robinette, N.L.; Muzik, O.; Kupsky, W.J.; Barger, G.R.; Juhasz, C. Increased tryptophan uptake on PET has strong independent prognostic value in patients with a previously treated high-grade glioma. Neuro Oncol. 2014, 16, 1373–1383. [Google Scholar] [CrossRef] [PubMed]
- Juhasz, C.; Muzik, O.; Lu, X.; Jahania, M.S.; Soubani, A.O.; Khalaf, M.; Peng, F.; Mangner, T.J.; Chakraborty, P.K.; Chugani, D.C. Quantification of tryptophan transport and metabolism in lung tumors using PET. J. Nucl. Med. 2009, 50, 356–363. [Google Scholar] [CrossRef] [PubMed]
- Alkonyi, B.; Barger, G.R.; Mittal, S.; Muzik, O.; Chugani, D.C.; Bahl, G.; Robinette, N.L.; Kupsky, W.J.; Chakraborty, P.K.; Juhasz, C. Accurate differentiation of recurrent gliomas from radiation injury by kinetic analysis of alpha-11C-methyl-L-tryptophan PET. J. Nucl. Med. 2012, 53, 1058–1064. [Google Scholar] [CrossRef]
- Peng, F.; Juhasz, C.; Bhambhani, K.; Wu, D.; Chugani, D.C.; Chugani, H.T. Assessment of progression and treatment response of optic pathway glioma with positron emission tomography using alpha-[(11)C]methyl-L-tryptophan. Mol. Imaging Biol. 2007, 9, 106–109. [Google Scholar] [CrossRef]
- Juhasz, C.; Nahleh, Z.; Zitron, I.; Chugani, D.C.; Janabi, M.Z.; Bandyopadhyay, S.; Ali-Fehmi, R.; Mangner, T.J.; Chakraborty, P.K.; Mittal, S.; et al. Tryptophan metabolism in breast cancers: Molecular imaging and immunohistochemistry studies. Nucl. Med. Biol. 2012, 39, 926–932. [Google Scholar] [CrossRef] [PubMed]
- Giglio, B.C.; Fei, H.; Wang, M.; Wang, H.; He, L.; Feng, H.; Wu, Z.; Lu, H.; Li, Z. Synthesis of 5-[(18)F]Fluoro-alpha-methyl Tryptophan: New Trp Based PET Agents. Theranostics 2017, 7, 1524–1530. [Google Scholar] [CrossRef] [PubMed]
- Krasikova, R.; Kondrashov, M.; Avagliano, C.; Petukhov, M.; Vazquez-Romero, A.; Revunov, E.; Johnstrom, P.; Tari, L.; Toth, M.; Haggkvist, J.; et al. Synthesis and Preclinical Evaluation of 6-[(18)F]Fluorine-alpha-methyl-l-tryptophan, a Novel PET Tracer for Measuring Tryptophan Uptake. ACS Chem. Neurosci. 2020, 11, 1756–1761. [Google Scholar] [CrossRef] [PubMed]
- Giglio, B.C.; Wang, H.; Yan, X.; Li, Z. Synthesis and initial evaluation of radioactive 5-I-alpha-methyl-tryptophan: A Trp based agent targeting IDO-1. Medchemcomm 2019, 10, 814–816. [Google Scholar] [CrossRef] [PubMed]
- Orlefors, H.; Sundin, A.; Garske, U.; Juhlin, C.; Oberg, K.; Skogseid, B.; Langstrom, B.; Bergstrom, M.; Eriksson, B. Whole-body (11)C-5-hydroxytryptophan positron emission tomography as a universal imaging technique for neuroendocrine tumors: Comparison with somatostatin receptor scintigraphy and computed tomography. J. Clin. Endocrinol. Metab. 2005, 90, 3392–3400. [Google Scholar] [CrossRef]
- Nikolaou, A.; Thomas, D.; Kampanellou, C.; Alexandraki, K.; Andersson, L.G.; Sundin, A.; Kaltsas, G. The value of 11C-5-hydroxy-tryptophan positron emission tomography in neuroendocrine tumor diagnosis and management: Experience from one center. J. Endocrinol. Investig. 2010, 33, 794–799. [Google Scholar] [CrossRef] [PubMed]
- Lundquist, P.; Hartvig, P.; Blomquist, G.; Hammarlund-Udenaes, M.; Langstrom, B. 5-Hydroxy-L-[beta-11C]tryptophan versus alpha-[11C]methyl-L-tryptophan for positron emission tomography imaging of serotonin synthesis capacity in the rhesus monkey brain. J. Cereb. Blood Flow. Metab. 2007, 27, 821–830. [Google Scholar] [CrossRef]
- Visser, A.K.; van Waarde, A.; Willemsen, A.T.; Bosker, F.J.; Luiten, P.G.; den Boer, J.A.; Kema, I.P.; Dierckx, R.A. Measuring serotonin synthesis: From conventional methods to PET tracers and their (pre)clinical implications. Eur. J. Nucl. Med. Mol. Imaging 2011, 38, 576–591. [Google Scholar] [CrossRef]
- Yamazaki, F.; Kuroiwa, T.; Takikawa, O.; Kido, R. Human indolylamine 2,3-dioxygenase. Its tissue distribution, and characterization of the placental enzyme. Biochem. J. 1985, 230, 635–638. [Google Scholar] [CrossRef] [PubMed]
- van Essen, M.; Sundin, A.; Krenning, E.P.; Kwekkeboom, D.J. Neuroendocrine tumours: The role of imaging for diagnosis and therapy. Nat. Rev. Endocrinol. 2014, 10, 102–114. [Google Scholar] [CrossRef] [PubMed]
- Koopmans, K.P.; Glaudemans, A.W. Other PET tracers for neuroendocrine tumors. PET Clin. 2014, 9, 57–62. [Google Scholar] [CrossRef] [PubMed]
- Lopresti, B.J.; Royse, S.K.; Mathis, C.A.; Tollefson, S.A.; Narendran, R. Beyond monoamines: I. Novel targets and radiotracers for Positron emission tomography imaging in psychiatric disorders. J. Neurochem. 2023, 164, 364–400. [Google Scholar] [CrossRef] [PubMed]
- Li, R.; Wu, S.C.; Wang, S.C.; Fu, Z.; Dang, Y.; Huo, L. Synthesis and evaluation of l-5-(2-[(18)F]fluoroethoxy)tryptophan as a new PET tracer. Appl. Radiat. Isot. 2010, 68, 303–308. [Google Scholar] [CrossRef]
- Kramer, S.D.; Mu, L.; Muller, A.; Keller, C.; Kuznetsova, O.F.; Schweinsberg, C.; Franck, D.; Muller, C.; Ross, T.L.; Schibli, R.; et al. 5-(2-18F-fluoroethoxy)-L-tryptophan as a substrate of system L transport for tumor imaging by PET. J. Nucl. Med. 2012, 53, 434–442. [Google Scholar] [CrossRef]
- Abbas, A.; Beamish, C.; McGirr, R.; Demarco, J.; Cockburn, N.; Krokowski, D.; Lee, T.Y.; Kovacs, M.; Hatzoglou, M.; Dhanvantari, S. Characterization of 5-(2-(18)F-fluoroethoxy)-L-tryptophan for PET imaging of the pancreas. F1000Res 2016, 5, 1851. [Google Scholar] [CrossRef]
- Chiotellis, A.; Muller, A.; Mu, L.; Keller, C.; Schibli, R.; Kramer, S.D.; Ametamey, S.M. Synthesis and biological evaluation of (18)F-labeled Fluoroethoxy tryptophan analogues as potential PET tumor imaging agents. Mol. Pharm. 2014, 11, 3839–3851. [Google Scholar] [CrossRef]
- He, S.; Tang, G.; Hu, K.; Wang, H.; Wang, S.; Huang, T.; Liang, X.; Tang, X. Radiosynthesis and biological evaluation of 5-(3-[18F]fluoropropyloxy)-L-tryptophan for tumor PET imaging. Nucl. Med. Biol. 2013, 40, 801–807. [Google Scholar] [CrossRef]
- Michelhaugh, S.K.; Muzik, O.; Guastella, A.R.; Klinger, N.V.; Polin, L.A.; Cai, H.; Xin, Y.; Mangner, T.J.; Zhang, S.; Juhasz, C.; et al. Assessment of Tryptophan Uptake and Kinetics Using 1-(2-18F-Fluoroethyl)-l-Tryptophan and alpha-11C-Methyl-l-Tryptophan PET Imaging in Mice Implanted with Patient-Derived Brain Tumor Xenografts. J. Nucl. Med. 2017, 58, 208–213. [Google Scholar] [CrossRef] [PubMed]
- Xin, Y.; Yue, X.; Li, H.; Li, Z.; Cai, H.; Choudhary, A.K.; Zhang, S.; Chugani, D.C.; Langhans, S.A. PET imaging of medulloblastoma with an (18)F-labeled tryptophan analogue in a transgenic mouse model. Sci. Rep. 2020, 10, 3800. [Google Scholar] [CrossRef]
- John, F.; Muzik, O.; Mittal, S.; Juhasz, C. Fluorine-18-Labeled PET Radiotracers for Imaging Tryptophan Uptake and Metabolism: A Systematic Review. Mol. Imaging Biol. 2020, 22, 805–819. [Google Scholar] [CrossRef]
- Xin, Y.; Cai, H. Improved Radiosynthesis and Biological Evaluations of L- and D-1-[(18)F]Fluoroethyl-Tryptophan for PET Imaging of IDO-Mediated Kynurenine Pathway of Tryptophan Metabolism. Mol. Imaging Biol. 2017, 19, 589–598. [Google Scholar] [CrossRef]
- Xin, Y.; Gao, X.; Liu, L.; Ge, W.P.; Jain, M.K.; Cai, H. Evaluation of L-1-[(18)F]Fluoroethyl-Tryptophan for PET Imaging of Cancer. Mol. Imaging Biol. 2019, 21, 1138–1146. [Google Scholar] [CrossRef] [PubMed]
- Maisonial-Besset, A.; Kryza, D.; Kopka, K.; Levesque, S.; Moreau, E.; Wenzel, B.; Chezal, J.M. Improved automated one-pot two-step radiosynthesis of (S)-[(18)F]FETrp, a radiotracer for PET imaging of indoleamine 2,3-dioxygenase 1 (IDO1). EJNMMI Radiopharm. Chem. 2024, 9, 28. [Google Scholar] [CrossRef] [PubMed]
- Yue, X.; Nikam, R.M.; Kecskemethy, H.H.; Kandula, V.V.R.; Falchek, S.J.; Averill, L.W.; Langhans, S.A. Radiosynthesis of 1-(2-[18F]Fluoroethyl)-L-Tryptophan using a One-pot, Two-step Protocol. J. Vis. Exp. 2021, 175, e63025. [Google Scholar] [CrossRef]
- Muzik, O.; Shields, A.F.; Barger, G.R.; Jiang, H.; Chamiraju, P.; Juhasz, C. The First Human Application of an F-18-Labeled Tryptophan Analog for PET Imaging of Cancer. Mol. Imaging Biol. 2024, 26, 29–35. [Google Scholar] [CrossRef]
- Chiotellis, A.; Mu, L.; Muller, A.; Selivanova, S.V.; Keller, C.; Schibli, R.; Kramer, S.D.; Ametamey, S.M. Synthesis and biological evaluation of (1)(8)F-labeled fluoropropyl tryptophan analogs as potential PET probes for tumor imaging. Eur. J. Med. Chem. 2013, 70, 768–780. [Google Scholar] [CrossRef] [PubMed]
- Chiotellis, A.; Muller Herde, A.; Rossler, S.L.; Brekalo, A.; Gedeonova, E.; Mu, L.; Keller, C.; Schibli, R.; Kramer, S.D.; Ametamey, S.M. Synthesis, Radiolabeling, and Biological Evaluation of 5-Hydroxy-2-[(18)F]fluoroalkyl-tryptophan Analogues as Potential PET Radiotracers for Tumor Imaging. J. Med. Chem. 2016, 59, 5324–5340. [Google Scholar] [CrossRef] [PubMed]
- Atkins, H.L.; Christman, D.R.; Fowler, J.S.; Hauser, W.; Hoyte, R.M.; Klopper, J.F.; Lin, S.S.; Wolf, A.P. Organic radiopharmaceuticals labeled with isotopes of short half-life. V. 18 F-labeled 5- and 6-fluorotryptophan. J. Nucl. Med. 1972, 13, 713–719. [Google Scholar]
- Tang, T.; Gill, H.S.; Ogasawara, A.; Tinianow, J.N.; Vanderbilt, A.N.; Williams, S.P.; Hatzivassiliou, G.; White, S.; Sandoval, W.; DeMent, K.; et al. Preparation and evaluation of L- and D-5-[(18)F]fluorotryptophan as PET imaging probes for indoleamine and tryptophan 2,3-dioxygenases. Nucl. Med. Biol. 2017, 51, 10–17. [Google Scholar] [CrossRef]
- Leeds, J.M.; Brown, P.J.; McGeehan, G.M.; Brown, F.K.; Wiseman, J.S. Isotope effects and alternative substrate reactivities for tryptophan 2,3-dioxygenase. J. Biol. Chem. 1993, 268, 17781–17786. [Google Scholar] [CrossRef] [PubMed]
- Schäfer, D.; Weiß, P.; Ermert, J.; Castillo Meleán, J.; Zarrad, F.; Neumaier, B. Preparation of No-Carrier-Added 6-[18F]Fluoro-l-tryptophan via Cu-Mediated Radiofluorination. Eur. J. Org. Chem. 2016, 2016, 4621–4628. [Google Scholar] [CrossRef]
- Zlatopolskiy, B.D.; Zischler, J.; Schafer, D.; Urusova, E.A.; Guliyev, M.; Bannykh, O.; Endepols, H.; Neumaier, B. Discovery of 7-[(18)F]Fluorotryptophan as a Novel Positron Emission Tomography (PET) Probe for the Visualization of Tryptophan Metabolism in Vivo. J. Med. Chem. 2018, 61, 189–206. [Google Scholar] [CrossRef]
- Endepols, H.; Zlatopolskiy, B.D.; Zischler, J.; Alavinejad, N.; Apetz, N.; Vus, S.; Drzezga, A.; Neumaier, B. Imaging of cerebral tryptophan metabolism using 7-[(18)F]FTrp-PET in a unilateral Parkinsonian rat model. Neuroimage 2022, 247, 118842. [Google Scholar] [CrossRef] [PubMed]
- Wu, X.; Ma, X.; Zhong, Y.; Chen, W.; Xu, M.; Zhang, H.; Wang, L.; Tu, X.; Han, Z.; Zhao, W.; et al. Development of [(18)F]F-5-OMe-Tryptophans through Photoredox Radiofluorination: A New Method to Access Tryptophan-Based PET Agents. J. Med. Chem. 2023, 66, 3262–3272. [Google Scholar] [CrossRef] [PubMed]
- Patil, S.; Biassoni, L.; Borgwardt, L. Nuclear medicine in pediatric neurology and neurosurgery: Epilepsy and brain tumors. Semin. Nucl. Med. 2007, 37, 357–381. [Google Scholar] [CrossRef] [PubMed]
- Alkonyi, B.; Mittal, S.; Zitron, I.; Chugani, D.C.; Kupsky, W.J.; Muzik, O.; Chugani, H.T.; Sood, S.; Juhasz, C. Increased tryptophan transport in epileptogenic dysembryoplastic neuroepithelial tumors. J. Neurooncol 2012, 107, 365–372. [Google Scholar] [CrossRef] [PubMed]
- Uyttenhove, C.; Pilotte, L.; Theate, I.; Stroobant, V.; Colau, D.; Parmentier, N.; Boon, T.; Van den Eynde, B.J. Evidence for a tumoral immune resistance mechanism based on tryptophan degradation by indoleamine 2,3-dioxygenase. Nat. Med. 2003, 9, 1269–1274. [Google Scholar] [CrossRef]
- Kenney, L.L.; Chiu, R.S.; Dutra, M.N.; Wactor, A.; Honan, C.; Shelerud, L.; Corrigan, J.J.; Yu, K.; Ferrari, J.D.; Jeffrey, K.L.; et al. mRNA-delivery of IDO1 suppresses T cell-mediated autoimmunity. Cell Rep. Med. 2024, 5, 101717. [Google Scholar] [CrossRef]
- Krupa, A.; Kowalska, I. The Kynurenine Pathway-New Linkage between Innate and Adaptive Immunity in Autoimmune Endocrinopathies. Int. J. Mol. Sci. 2021, 22, 9879. [Google Scholar] [CrossRef]
- Myint, A.M.; Halaris, A. Imbalances in Kynurenines as Potential Biomarkers in the Diagnosis and Treatment of Psychiatric Disorders. Front. Psychiatry 2022, 13, 913303. [Google Scholar] [CrossRef]
- Marx, W.; McGuinness, A.J.; Rocks, T.; Ruusunen, A.; Cleminson, J.; Walker, A.J.; Gomes-da-Costa, S.; Lane, M.; Sanches, M.; Diaz, A.P.; et al. The kynurenine pathway in major depressive disorder, bipolar disorder, and schizophrenia: A meta-analysis of 101 studies. Mol. Psychiatry 2021, 26, 4158–4178. [Google Scholar] [CrossRef] [PubMed]
- Jasionowska, J.; Galecki, P.; Kalinka, E.; Skiba, A.; Szemraj, J.; Turska, E.; Talarowska, M. Level of selected exponents of the kynurenine pathway in patients diagnosed with depression and selected cancers. J. Psychiatr. Res. 2024, 179, 175–181. [Google Scholar] [CrossRef] [PubMed]
- Muthukumar, S.; Darden, J.; Crowley, J.; Witcher, M.; Kiser, J. A Comparison of PET Tracers in Recurrent High-Grade Gliomas: A Systematic Review. Int. J. Mol. Sci. 2022, 24, 408. [Google Scholar] [CrossRef]
- Van Binnebeek, S.; Karges, W.; Mottaghy, F.M. Functional imaging of neuroendocrine tumors. Methods Mol. Biol. 2011, 727, 105–122. [Google Scholar] [CrossRef] [PubMed]
- Toumpanakis, C.; Kim, M.K.; Rinke, A.; Bergestuen, D.S.; Thirlwell, C.; Khan, M.S.; Salazar, R.; Oberg, K. Combination of cross-sectional and molecular imaging studies in the localization of gastroenteropancreatic neuroendocrine tumors. Neuroendocrinology 2014, 99, 63–74. [Google Scholar] [CrossRef] [PubMed]
- Galldiks, N.; Langen, K.J.; Albert, N.L.; Law, I.; Kim, M.M.; Villanueva-Meyer, J.E.; Soffietti, R.; Wen, P.Y.; Weller, M.; Tonn, J.C. Investigational PET tracers in neuro-oncology-What’s on the horizon? A report of the PET/RANO group. Neuro Oncol. 2022, 24, 1815–1826. [Google Scholar] [CrossRef]
- Zhu, A.; Lee, D.; Shim, H. Metabolic positron emission tomography imaging in cancer detection and therapy response. Semin. Oncol. 2011, 38, 55–69. [Google Scholar] [CrossRef]
- Horky, L.L.; Treves, S.T. PET and SPECT in brain tumors and epilepsy. Neurosurg. Clin. N. Am. 2011, 22, 169–184. [Google Scholar] [CrossRef]
- Huang, X.; Pan, Z.; Doligalski, M.L.; Xiao, X.; Ruiz, E.; Budzevich, M.M.; Tian, H. Evaluation of radiofluorinated carboximidamides as potential IDO-targeted PET tracers for cancer imaging. Oncotarget 2017, 8, 46900–46914. [Google Scholar] [CrossRef][Green Version]
- Oldan, J.D.; Giglio, B.C.; Smith, E.; Zhao, W.; Bouchard, D.M.; Ivanovic, M.; Lee, Y.Z.; Collichio, F.A.; Meyers, M.O.; Wallack, D.E.; et al. Increased tryptophan, but not increased glucose metabolism, predict resistance of pembrolizumab in stage III/IV melanoma. Oncoimmunology 2023, 12, 2204753. [Google Scholar] [CrossRef] [PubMed]
- Xie, L.; Maeda, J.; Kumata, K.; Yui, J.; Zhang, Y.; Hatori, A.; Nengaki, N.; Wakizaka, H.; Fujinaga, M.; Yamasaki, T.; et al. Development of 1-N-(11)C-Methyl-L- and -D-Tryptophan for pharmacokinetic imaging of the immune checkpoint inhibitor 1-Methyl-Tryptophan. Sci. Rep. 2015, 5, 16417. [Google Scholar] [CrossRef]
- Jarvis, L. Incyte drug failure casts shadow on IDO class. Chem. Eng. News 2018, 96, 11. [Google Scholar] [CrossRef]
- He, S.; Tang, G.; Hu, K.; Wang, S.; Huang, T.; Liang, X. Preclinical evaluation of 5-([11C]-methyloxy)-L-tryptophan as a potential PET molecular imaging probe. Nucl. Med. Commun. 2016, 37, 1232–1237. [Google Scholar] [CrossRef] [PubMed]
- Kilbourn, M.R. Small Molecule PET Tracers for Transporter Imaging. Semin. Nucl. Med. 2017, 47, 536–552. [Google Scholar] [CrossRef] [PubMed]
- Yue, X.; Xin, Y.; Zhang, S.; Nikam, R.; Kandula, V.; Choudhary, A.K.; Chugani, H.T.; Chugani, D.C. Automated production of 1-(2-[(18)F]fluoroethyl)-l-tryptophan for imaging of tryptophan metabolism. Appl. Radiat. Isot. 2020, 156, 109022. [Google Scholar] [CrossRef]
- Kolks, N.; Neumaier, F.; Neumaier, B.; Zlatopolskiy, B.D. Preparation of N(In)-Methyl-6-[(18)F]fluoro- and 5-Hydroxy-7-[(18)F]fluorotryptophans as Candidate PET-Tracers for Pathway-Specific Visualization of Tryptophan Metabolism. Int. J. Mol. Sci. 2023, 24, 15251. [Google Scholar] [CrossRef]
- Marti-Climent, J.M.; Prieto, E.; Moran, V.; Sancho, L.; Rodriguez-Fraile, M.; Arbizu, J.; Garcia-Velloso, M.J.; Richter, J.A. Effective dose estimation for oncological and neurological PET/CT procedures. EJNMMI Res. 2017, 7, 37. [Google Scholar] [CrossRef] [PubMed]
- Martin, O.; Schaarschmidt, B.M.; Kirchner, J.; Suntharalingam, S.; Grueneisen, J.; Demircioglu, A.; Heusch, P.; Quick, H.H.; Forsting, M.; Antoch, G.; et al. PET/MRI Versus PET/CT for Whole-Body Staging: Results from a Single-Center Observational Study on 1,003 Sequential Examinations. J. Nucl. Med. 2020, 61, 1131–1136. [Google Scholar] [CrossRef]
- Qiao, Z.; Mardon, K.; Stimson, D.H.R.; Migotto, M.A.; Reutens, D.C.; Bhalla, R. Synthesis and evaluation of 6-[18F]fluoro-3-(pyridin-3-yl)-1H-indole as potential PET tracer for targeting tryptophane 2, 3-dioxygenase (TDO). Nucl. Med. Biol. 2020, 84, 1–10. [Google Scholar] [CrossRef] [PubMed]











| Tracer Name | Pre-Clinical/Clinical | Application | IDO/TDO Substrate | Pros | Cons |
|---|---|---|---|---|---|
| [11C]AMT | Pre-clinical and clinical | Serotonin synthesis measurement Oncology Epilepsy Neuropsychiatric disorders | IDO/TDO |
|
|
| [11C]HTP | Pre-clinical and clinical | Neuroendocrine tumors Serotonin synthesis measurement | Limited IDO |
|
|
| 5-[18F]F-AMT | Pre-clinical | Oncology | IDO |
|
|
| 5-[124I]I-AMT | Pre-clinical | Oncology | IDO |
|
|
| 18F-FETrp | Pre-clinical and clinical | Oncology | IDO |
|
|
| L-[18F]F-4-Trp | Pre-clinical | Oncology | IDO |
|
|
| L-[18F]F-5-Trp | Pre-clinical | Oncology | IDO/TDO |
|
|
| L-[18F]F-6-Trp | Pre-clinical | Oncology | IDO/TDO |
|
|
| L-[18F]F-7-Trp | Pre-clinical | Oncology Parkinson’s disease | IDO/TDO |
|
|
| L-4-[18F]F-5-OMe-Trp | Pre-clinical | Oncology | IDO |
|
|
| L-6-[18F]F-5-OMe-Trp | Pre-clinical | Oncology | IDO |
|
|
Disclaimer/Publisher’s Note: The statements, opinions and data contained in all publications are solely those of the individual author(s) and contributor(s) and not of MDPI and/or the editor(s). MDPI and/or the editor(s) disclaim responsibility for any injury to people or property resulting from any ideas, methods, instructions or products referred to in the content. |
© 2025 by the authors. Licensee MDPI, Basel, Switzerland. This article is an open access article distributed under the terms and conditions of the Creative Commons Attribution (CC BY) license (https://creativecommons.org/licenses/by/4.0/).
Share and Cite
Stauff, E.; Xu, W.; Kecskemethy, H.H.; Langhans, S.A.; Kandula, V.V.R.; Averill, L.W.; Yue, X. Tryptophan Kynurenine Pathway-Based Imaging Agents for Brain Disorders and Oncology—From Bench to Bedside. Biomolecules 2025, 15, 47. https://doi.org/10.3390/biom15010047
Stauff E, Xu W, Kecskemethy HH, Langhans SA, Kandula VVR, Averill LW, Yue X. Tryptophan Kynurenine Pathway-Based Imaging Agents for Brain Disorders and Oncology—From Bench to Bedside. Biomolecules. 2025; 15(1):47. https://doi.org/10.3390/biom15010047
Chicago/Turabian StyleStauff, Erik, Wenqi Xu, Heidi H. Kecskemethy, Sigrid A. Langhans, Vinay V. R. Kandula, Lauren W. Averill, and Xuyi Yue. 2025. "Tryptophan Kynurenine Pathway-Based Imaging Agents for Brain Disorders and Oncology—From Bench to Bedside" Biomolecules 15, no. 1: 47. https://doi.org/10.3390/biom15010047
APA StyleStauff, E., Xu, W., Kecskemethy, H. H., Langhans, S. A., Kandula, V. V. R., Averill, L. W., & Yue, X. (2025). Tryptophan Kynurenine Pathway-Based Imaging Agents for Brain Disorders and Oncology—From Bench to Bedside. Biomolecules, 15(1), 47. https://doi.org/10.3390/biom15010047

