New Heterostilbene and Triazole Oximes as Potential CNS-Active and Cholinesterase-Targeted Therapeutics
Abstract
1. Introduction
2. Results and Discussion
2.1. Synthesis of New Uncharged Oximes 1–21
2.2. Prediction of ADME Properties
2.3. Cytotoxicity of New Uncharged Oximes
2.4. Reversible Inhibition of Cholinesterase by the New Uncharged Oximes
2.5. Molecular Modeling of Heterostilbene Oximes−ChE Complex

2.6. Oxime-Assisted Reactivation of AChE and BChE
2.7. Modelling of a Complex between an Oxime and Cyclosarin-Inhibited BChE
3. Materials and Methods
3.1. Chemistry

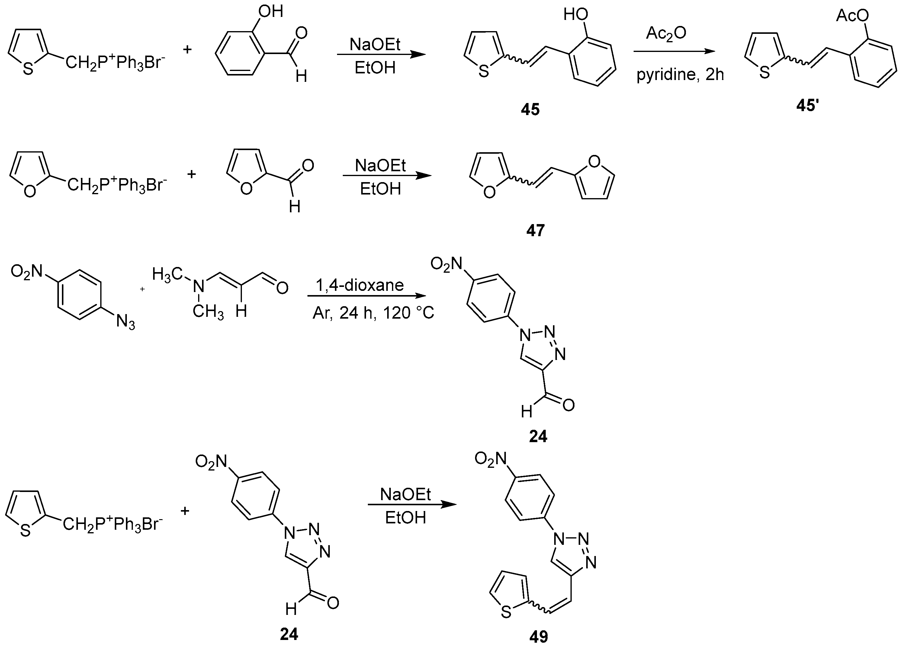
- (E)-2-(2-(thiophen-2-yl)vinyl)phenol (trans-45) [40] 495 mg, 82% isolated yield; white powder; Rf (PE/DCM (50%)) = 0.33; UV (ACN) λmax/nm (ε/dm3mol−1cm−1) 335 (27412); 1H NMR (CDCl3, 600 MHz) δ/ppm: 7.46 (dd, J = 7.7, 1.6 Hz, 1H), 7.28 (d, J = 16.1 Hz, 1H), 7.20–7.16 (m, 2H), 7.10 (t, J = 7.4 Hz, 1H), 7.07 (d, J = 3.7 Hz, 1H), 6.99 (dd, J = 5.1, 3.5 Hz, 1H), 6.93 (t, J = 7.5 Hz, 1H), 6.78 (dd, J = 8.1, 1.2 Hz, 1H), 4.97 (s, 1H); 13C NMR (CDCl3, 150 MHz) δ/ppm: 152.9, 143.3, 128.6, 127.6, 127.2, 126.0, 124.4, 124.3, 123.3, 122.7, 121.2, 115.9; MS (ESI) (m/z) (%, fragment): 202 (25), 105 (100).
- (E)-2-(2-(thiophen-2-yl)vinyl)phenyl acetate (trans-45′): 286 mg, 95% isolated yield; colorless oil; Rf (DCM) = 0.75; 1H NMR (CDCl3, 600 MHz) δ/ppm: 7.62 (dd, J = 7.6, 1.5 Hz, 1H), 7.28–7.20 (m, 4H), 7.08–7.06 (m, 2H), 7.00 (dd, J = 5.2, 3.7 Hz, 1H), 6.94 (d, J = 16.1 Hz, 1H), 2.37 (s, 3H); 13C NMR (CDCl3, 150 MHz) δ/ppm: 169.3, 148.1, 142.7, 129.6, 128.4, 127.6, 126.6, 126.3, 124.7, 124.0, 122.8, 122.8, 121.5, 20.9.
- (Z)-2-(2-(thiophen-2-yl)vinyl)benzonitrile (cis-46): 350 mg, 50% isolated yield; colorless oil; Rf (DCM) = 0.65; 1H NMR (CDCl3, 600 MHz) δ/ppm: 7.71 (d, J = 7.7 Hz, 1H), 7.57–7.53 (m, 2H), 7.42–7.39 (m, 1H), 7.12 (d, J = 5.8 Hz, 1H), 6.96 (d, J = 3.6 Hz, 1H), 6.93 (d, J = 12.1 Hz, 1H), 6.90 (dd, J = 4.9, 3.6 Hz, 1H), 6.62 (d, J = 12.1 Hz, 1H); 13C NMR (CDCl3, 150 MHz) δ/ppm: 182.9, 147.6, 143.5, 140.0, 135.9, 133.5, 133.1, 130.3, 129.7, 128.9, 128.8, 126.4, 117.4, 112.3.

- (E)-1,2-di(furan-2-yl)ethene (trans-47): 93 mg, 20% isolated yield; colorless powder; Rf (PE) = 0.58; 1H NMR (CDCl3, 300 MHz) δ/ppm: 7.42 (d, J = 17.7 Hz, 1H), 7.34 (d, J = 17.7 Hz, 1H), 6.81 (t, J = 19.4 Hz, 2H), 6.42–6.40 (m, 2H), 6.32 (d, J = 3.2 Hz, 2H).
- (Z)-1-propyl-4-(2-(thiophen-2-yl)vinyl)-1H-1,2,3-triazole (cis-48) [61]: 110 mg, 48% isolated, colorless oil; Rf (PE/E (40%)) = 0.34; UV (ethanol, 96%) λmax/nm (ε/dm3mol−1cm−1) 296 (16418), 310 (14455, sh); 1H NMR (CDCl3, 300 MHz) δ/ppm: 7.53 (s, 1H), 7.25 (d, J = 4.7 Hz, 1H), 7.22 (d, J = 3.7 Hz, 1H), 6.99 (dd, J = 4.9, 3.4 Hz, 1H), 6.70 (d, J = 12.1 Hz, 1H), 6.54 (d, J = 12.1 Hz, 1H), 4.27 (t, J = 14.2 Hz, 3H), 1.93–1.87 (m, 2H), 0.94 (t, J = 14.6 Hz, 3H); 13C NMR (CDCl3, 75 MHz) δ/ppm: 143.8, 139.5, 128.5, 127.1, 126.0, 123.8, 122.1, 118.3, 51.9, 23.74, 11.1.
- (E)-1-propyl-4-(2-(thiophen-2-yl)vinyl)-1H-1,2,3-triazole (trans-48) [62]: 20 mg, 10% isolated; white powder; Rf (PE/E (40%)) = 0.29; UV (ethanol, 96%) λmax/nm (ε/dm3mol−1cm−1) 314 (30210); 1H NMR (CDCl3, 600 MHz) δ/ppm: 7.51 (s, 1H), 7,44 (d, J = 16.2 Hz, 1H), 7.20 (d, J = 8.2 Hz, 1H), 7.07 (d, J = 3.5 Hz, 1H), 7.00 (dd, J = 5.1, 3.6 Hz, 1H), 6.89 (d, J = 16.2 Hz, 1H), 4.33 (t, J = 7.2 Hz, 2H), 1.95 (m, J = 7.3 Hz, 2H), 0.98 (t, J = 7.4 Hz, 3H); 13C NMR (CDCl3, 150 MHz) δ/ppm: 145.2, 141.7, 127.1, 125.9, 124.2, 123.1, 119.6, 115.7, 51.4, 23.2, 10.6.

- (Z)-1-(4-nitrophenyl)-4-(2-(thiophen-2-yl)vinyl)-1H-1,2,3-triazole (cis-49): 85 mg, 42% isolated yield; yellow oil; Rf (E) = 0.85; 1H NMR (CDCl3, 600 MHz) δ/ppm: 8.41 (d, J = 8.7 Hz, 2H), 8.10 (s, 1H), 7.94 (d, J = 8.9 Hz, 2H), 7.32 (d, J = 5.5 Hz, 1H), 7.28 (d, J = 3.3 Hz, 1H), 7.06 (t, J = 4.1 Hz, 1H), 6.86 (d, J = 12.2 Hz, 1H), 6.59 (d, J = 12.2 Hz, 1H); 13C NMR (CDCl3, 75 MHz) δ/ppm: 147.2, 145.3, 141.5, 138.9, 129.2, 127.3, 126.6, 125.7, 125.6, 120.4, 119.8, 116.7.
- (E)-2-(2-methylstyryl)naphtho[2,1-b]furan (trans-50): 210 mg, 95% isolated yield; yellow powder; Rf (PE/E (50%)) = 0.95; 1H NMR (CDCl3, 300 MHz) δ/ppm: 8.12 (d, J = 8.5 Hz, 1H), 7.93 (d, J = 8.4 Hz, 1H), 7.74–7.55 (m, 5H), 7.48 (t, J = 7.7 Hz, 1H), 7.25–7.18 (m, 4H), 7.01 (d, J = 16.2 Hz, 1H), 2.50 (s, 3H); 13C NMR (CDCl3, 75 MHz) δ/ppm: 154.9, 152.4, 136.2, 135.6, 130.6, 130.4, 128.8, 127.9, 127.5, 127.1, 126.2, 126.2, 125.6, 125.5, 125.0, 124.6, 124.5, 123.5, 117.5, 112.1, 104.2, 19.9.

- (E)-2-(4-methoxystyryl)furan (trans-52): 750 mg, 36% isolated yield; white powder; Rf (PE/E (2%)) = 0.31; 1H NMR (CDCl3, 600 MHz) δ/ppm: 7.39 (d, J = 9.7 Hz, 2H), 6.99 (d, J = 15.9 Hz, 1H), 6.87 (d, J = 8.9 Hz, 2H), 6.75 (d, J = 15.9 Hz, 1H), 6.41–6.39 (m, 1H), 6.29 (d, J = 2.4 Hz, 1H), 3.81 (s, 3H); 13C NMR (CDCl3, 75 MHz) δ/ppm: 159.4, 153.7, 141.7, 129.8, 127.5, 126.7, 114.6, 114.5, 111.5, 107.7, 55.3.

- (Z)-2-(4-chlorostyryl)furan (cis-53): 240 mg, 23% isolated yield; colorless oil; Rf (PE/E (2%)) = 0.95; 1H NMR (CDCl3, 600 MHz) δ/ppm: 7.38 (d, J = 8.5 Hz, 2H), 7.28 (d, J = 1.8 Hz, 1H), 7.29 (d, J = 8.5 Hz, 2H), 6.40 (d, J = 12.5 Hz, 1H), 6.35 (d, J = 12.5 Hz, 1H), 6.35–6.32 (m, 1H), 6.26 (d, J = 3.2 Hz, 1H).
- (Z)-4-(2-(furan-2-yl)vinyl)benzonitrile (cis-54): 170 mg, 9% isolated yield; colorless oil; Rf (PE/E (30%)) = 0.19; 1H NMR (CDCl3, 600 MHz) δ/ppm: 7.55 (d, J = 8.7 Hz, 2H), 7.50 (d, J = 8.6 Hz, 2H), 7.30 (d, J = 1.9 Hz, 1H), 6.44 (d, J = 12.4 Hz, 1H), 6.40 (d, J = 12.5 Hz, 1H), 6.37–6.35 (m, 1H), 6.31 (d, J = 3.7 Hz, 1H).
- (E)-4-(2-(furan-2-yl)vinyl)benzonitrile (trans-54): 150 mg, 8% isolated yield; white powder; Rf (PE/E (30%)) = 0.22; 1H NMR (CDCl3, 600 MHz) δ/ppm: 7.54 (d, J = 8.7 Hz, 2H), 7.51 (d, J = 8.7 Hz, 2H), 7.44 (d, J = 1.9 Hz, 1H), 7.01 (d, J = 16.3 Hz, 1H), 6.97 (d, J = 16.3 Hz, 1H), 6.45 (d, J = 3.3 Hz, 1H), 6.36 (dd, J = 1.9, 3.3 Hz, 1H).

- (E)-4-(2-(furan-2-yl)vinyl)-N,N-dimethylaniline (trans-55): 79 mg, 11% isolated yield; yellow powder; Rf (PE/E (5%)) = 0.36; 1H NMR (CDCl3, 600 MHz) δ/ppm: 7.44 (d, J = 8.1 Hz, 2H), 7.39 (d, J = 1.6 Hz, 1H), 6.73–6.68 (m, 2H), 6.42 (d, J = 12.9 Hz, 1H), 6.33 (d, J = 2.5 Hz, 2H), 6.18 (d, J = 12.9 Hz, 1H), 2.98 (s, 6H).
- (Z)-3-(4-methylstyryl)furan (cis-56): 214 mg, 40% isolated yield; yellow oil; Rf (PE/E (10%)) = 0.86; 1H NMR (CDCl3, 600 MHz) δ/ppm: 7.36 (s, 1H), 7.22 (d, J = 7.9 Hz, 2H), 7.23 (d, J = 1.4 Hz, 1H), 7.11 (d, J = 7.9 Hz, 2H), 6.51 (d, J = 12.2 Hz, 1H), 6.33 (d, J = 12.2 Hz, 1H), 6.16 (d, J = 1.4 Hz, 1H), 2.35 (s, 3H); 13C NMR (CDCl3, 150 MHz) δ/ppm: 142.5, 141.9, 136.9, 134.9, 129.5, 128.9, 128.6, 122.4, 119.5, 110.3, 21.2.
- (E)-3-(4-methylstyryl)furan (trans-56): 219 mg, 41% isolated yield; white powder; Rf (PE/E (10%)) = 0.81; 1H NMR (CDCl3, 600 MHz) δ/ppm: 7.51 (s, 1H), 7.40 (t, J = 1.7 Hz, 1H), 7.34 (d, J = 8.1 Hz, 2H), 7.14 (d, J = 8.1 Hz, 2H), 6.92 (d, J = 16.2 Hz, 1H), 6.78 (d, J = 16.2 Hz, 1H), 6.65 (d, J = 1.7 Hz, 1H), 2.34 (s, 3H); 13C NMR (CDCl3, 150 MHz) δ/ppm: 143.6, 140.7, 137.2, 134.6, 129.3, 128.4, 126.0, 124.7, 117.4, 104.4, 21.2.
- (Z)-3-(4-methoxylstyryl)furan (cis-57): 160 mg, 50% isolated yield; white oil; Rf (PE) = 0.80; 1H NMR (CDCl3, 600 MHz) δ/ppm: 7.36 (s, 1H), 7.27 (d, J = 8.8 Hz, 2H), 6.85 (d, J = 8.8 Hz, 2H), 6.48 (d, J = 12.8 Hz, 1H), 6.31 (d, J = 12.8 Hz, 1H), 6.18 (s, 1H), 3.81 (s, 3H).
- (E)-3-(4-methoxylstyryl)furan (trans-57): 217 mg, 30% isolated yield; white powder; Rf (PE) = 0.75; 1H NMR (CDCl3, 600 MHz) δ/ppm: 7.50 (s, 1H), 7.38 (d, J = 9.1 Hz, 3H), 6.88 (d, J = 8.8 Hz, 2H), 6.84 (d, J = 16.1 Hz, 1H), 6.76 (d, J = 16.1 Hz, 1H), 6.64 (s, 1H), 3.82 (s, 3H); 13C NMR (CDCl3, 75 MHz) δ/ppm: 143.6, 140.5, 131.3, 130.2, 127.9, 127.3, 124.7, 116.4, 114.2, 107.4, 55.3.

- (Z)-3-(4-chlorostyryl)furan (cis-58): 256 mg, 63% isolated yield; colorless oil; Rf (PE) = 0.64; 1H NMR (CDCl3, 600 MHz) δ/ppm: 7.36 (s, 1H), 7.30–7.26 (m, 4H), 7.25 (d, J = 1.3 Hz, 1H), 6.47 (d, J = 12.1 Hz, 1H), 6.39 (d, J = 12.1 Hz, 1H), 6.11 (d, J = 1.3 Hz, 1H); 13C NMR (CDCl3, 150 MHz) δ/ppm: 142.7, 142.2, 136.3, 132.9, 130.0, 128.4, 128.1, 121.9, 120.8, 110.0.
- (E)-3-(4-chlorostyryl)furan (trans-58): 95 mg, 21% isolated yield; white powder; Rf (PE) = 0.43; 1H NMR (CDCl3, 600 MHz) δ/ppm: 7.54 (s, 1H), 7.41 (d, J = 1.1 Hz, 1H), 7.37 (d, J = 8.5 Hz, 2H), 7.29 (d, J = 8.5 Hz, 2H), 6.94 (d, J = 16.3 Hz, 1H), 6.75 (d, J = 16.3 Hz, 1H), 6.64 (d, J = 1.1 Hz, 1H).
- (Z)-4-(2-(furan-3-yl)vinyl)benzonitrile (cis-59): 278 mg, 61% isolated yield; colorless oil; Rf (PE/E (5%)) = 0.54; 1H NMR (CDCl3, 600 MHz) δ/ppm: 7.60 (d, J = 8.4 Hz, 2H), 7.44 (d, J = 8.4 Hz, 2H), 7.39 (d, J = 1.2 Hz, 1H), 7.27 (s, 1H), 6.53 (d, J = 12.4 Hz, 1H), 6.48 (d, J = 12.4 Hz, 1H), 6.06 (d, J = 1.2 Hz, 1H); 13C NMR (CDCl3, 150 MHz) δ/ppm: 143.1, 142.7, 132.5, 132.1, 129.5, 127.4, 126.5, 124.0, 122.7, 121.6, 109.8.
- (E)-4-(2-(furan-3-yl)vinyl)benzonitrile (trans-59): 134 mg, 30% isolated yield; white powder; Rf (PE/E (5%)) = 0.33; 1H NMR (CDCl3, 600 MHz) δ/ppm: 7.61 (d, J = 8.5 Hz, 2H), 7.51 (d, J = 8.5 Hz, 2H), 7.60 (s, 1H), 7.44 (d, J = 1.3 Hz, 1H), 7.09 (d, J = 16.2 Hz, 1H), 6.79 (d, J = 16.2 Hz, 1H), 6.66 (d, J = 1.3 Hz, 1H); 13C NMR (CDCl3, 150 MHz) δ/ppm: 144.1, 142.1, 141.9, 134.5, 126.5, 124.0, 122.2, 119.1, 110.3, 107.2.

- (Z)-3-(4-methylstyryl)thiophene (cis-60): 377 mg, 44% isolated yield; colorless oil; Rf (PE) = 0.32; 1H NMR (CDCl3, 300 MHz) δ/ppm: 7.19 (d, J = 8.1 Hz, 2H), 7.14–7.11 (m, 2H), 7.09 (d, J = 8.1 Hz, 2H), 6.89 (d, J = 4.8 Hz, 1H), 6.54 (d, J = 12.3 Hz, 1H), 6.49 (d, J = 12.3 Hz, 1H), 2.34 (s, 3H); 13C NMR (CDCl3, 150 MHz) δ/ppm: 138.4, 136.9, 134.8, 129.5, 129.0, 128.6, 128.1, 124.8, 123.8, 123.8, 21.3.
- (E)-3-(4-methylstyryl)thiophene (trans-60): 289 mg, 33% isolated yield; white powder; Rf (PE) = 0.21; 1H NMR (CDCl3, 300 MHz) δ/ppm: 7.37 (d, J = 8.1 Hz, 2H), 7.33–7.29 (m, 2H), 7.24–7.22 (m, 1H), 7.15 (d, J = 8.0 Hz, 2H), 7.08 (d, J = 16.3 Hz, 1H), 6.92 (d, J = 16.3 Hz, 1H), 2.35 (s, 3H); 13C NMR (CDCl3, 150 MHz) δ/ppm: 140.3, 137.3, 134.6, 129.4, 128.6, 126.2, 126.1, 124.9, 122.0, 121.9, 21.2.
- (Z)-3-(4-methoxystyryl)thiophene (cis-61): 244 mg, 40% isolated yield; colorless oil; Rf (PE) = 0.80; 1H NMR (CDCl3, 600 MHz) δ/ppm: 7.37 (s, 1H), 7.26 (d, J = 9.2 Hz, 2H), 7.25 (t, J = 1.7 Hz, 1H), 6.85 (d, 1H, J = 8.8 Hz, 2H), 6.48 (d, J = 11.8 Hz, 1H), 6.31 (d, J = 11.8 Hz, 1H), 6.18 (d, J = 5.1 Hz, 1H), 3.81 (s, 3H); 13C NMR (CDCl3, 150 MHz) δ/ppm: 158.7, 142.5, 141.8, 130.3, 129.8, 129.2, 122.4, 118.9, 113.6, 110.3, 100.0, 55.2.
- (E)-3-(4-methoxystyryl)thiophene (trans-61): 248 mg, 41% isolated yield; white powder; Rf (PE) = 0.76; 1H NMR (CDCl3, 600 MHz) δ/ppm: 7.41 (d, J = 8.7 Hz, 2H), 7.34–7.29 (m, 2H), 7.22–7.20 (m, 1H), 7.00 (d, J = 16.2 Hz, 1H), 6.91 (d, J = 16.2 Hz, 1H), 6.89 (d, J = 8.7 Hz, 2H), 3.82 (s, 3H); 13C NMR (CDCl3, 75 MHz) δ/ppm: 159.2, 140.4, 130.2, 128.2, 127.5, 126.1, 124.9, 121.5, 120.9, 114.2, 55.3.

- (Z)-3-(4-chlorostyryl)thiophene (cis-62): 222 mg, 41% isolated yield; colorless oil; Rf (PE) = 0.64; 1H NMR (CDCl3, 600 MHz) δ/ppm: 7.23 (d, J = 8.7 Hz, 2H), 7.21 (d, J = 8.4 Hz, 2H), 7.15 (dd, J = 5.1, 2.9 Hz, 1H), 7.11 (d, J = 2.9 Hz, 1H), 6.85 (d, J = 5.1 Hz, 1H), 6.56 (d, J = 12.1 Hz, 1H), 6.48 (d, J = 12.1 Hz, 1H); 13C NMR (CDCl3, 150 MHz) δ/ppm: 137.9, 136.2, 132.9, 130.1, 128.5, 128.2, 127.8, 125.2, 125.1, 124.3.
- (E)-3-(4-chlorostyryl)thiophene (trans-62): 186.1 mg, 34% isolated yield; white powder; Rf (PE) = 0.49; 1H NMR (CDCl3, 300 MHz) δ/ppm: 7.40 (d, J = 8.7 Hz, 2H), 7.33–7.27 (m, 5H), 7.09 (d, J = 16.3 Hz, 1H), 6.89 (d, J = 16.3 Hz, 1H); 13C NMR (CDCl3, 150 MHz) δ/ppm: 139.8, 135.9, 133.0, 128.8, 127.4, 127.3, 126.3, 124.8, 123.5, 122.7.
- (Z)-4-(2-(thiophen-3-yl)vinyl)benzonitrile (cis-63): 474 mg, 73% isolated yield; colorless oil; Rf (PE/E (15%)) = 0.69; 1H NMR (CDCl3, 300 MHz) δ/ppm: 7.56 (d, J = 8.3 Hz, 2H), 7.39 (d, J = 8.1 Hz, 2H), 7.18 (dd, J = 4.9, 3.0 Hz, 1H), 7.13 (d, J = 2.9 Hz, 1H), 6.81 (d, J = 5.0 Hz, 1H), 6.68 (d, J = 12.1 Hz, 1H), 5.52 (d, J = 12.1 Hz, 1H); 13C NMR (CDCl3, 75 MHz) δ/ppm: 142.6, 137.3, 132.0, 132.1, 129.5, 127.5, 127.1, 125.6, 125.0, 118.9, 110.6.(E)-4-(2-(thiophen-3-yl)vinyl)benzonitrile (trans-63): 158 mg, 23% isolated yield; white powder; Rf (PE/E (15%)) = 0.48; 1H NMR (CDCl3, 300 MHz) δ/ppm: 7.62 (d, J = 8.4 Hz, 2H), 7.54 (d, J = 8.4 Hz, 2H), 7.36 (s, 2H), 7.26 (s, 1H), 7.23 (d, J = 16.3 Hz, 1H), 6.93 (d, J = 16.3 Hz, 1H); 13C NMR (CDCl3, 75 MHz) δ/ppm: 142.0, 139.2, 132.5, 126.7, 126.6, 126.6, 126.4, 124.8, 124.3, 119.1, 110.4.
- The corresponding amines (1.2 eq) were added to a solution of triazole nitro aldehyde 24 [18,19] (1 eq) in dry dioxane and purged with argon, Ar. The reaction mixtures were stirred at 130 °C. After being left overnight, the reaction mixtures were cooled to room temperature and evaporated to dryness to obtain crude products 22, 23, and 25. The crude products were purified using column chromatography with an E/EtOAc solvent system.

- 1-(4-fluorobenzyl)-1H-1,2,3-triazole-4-carbaldehyde (22): 128 mg, 78% isolated yield; yellow oil; Rf (DCM/EtOAc (2%)) = 0.53; 1H NMR (CDCl3, 600 MHz) δ/ppm: 10.13 (s, 1H), 7.99 (s, 1H), 7.33–7.30 (m, 2H), 7.13–7.08 (m, 2H), 5.57 (s, 2H).
- 1-(4-chlorobenzyl)-1H-1,2,3-triazole-4-carbaldehyde (23): 85 mg, 68% isolated yield; yellow oil; Rf (DCM/EtOAc (2%)) = 0.50; 1H NMR (CDCl3, 600 MHz) δ/ppm: 10.13 (s, 1H), 8.01 (s, 1H), 7.41–7.38 (m, 4H), 5.57 (s, 2H).
- 1-(4-nitrophenyl)-1H-1,2,3-triazole-4-carbaldehyde (24) [12]: 720 mg, 72% isolated yield; yellow powder; Rf (DCM/EtOAc (2%)) = 0.52; 1H NMR (CDCl3, 600 MHz) δ/ppm: 10.20 (s, 1H), 8.66 (s, 1H), 8.49 (d, J = 8.8 Hz, 2H), 8.04 (d, J = 9.0 Hz, 2H).1-propyl-1H-1,2,3-triazole-4-carbaldehyde (25): 100 mg, 40% isolated yield; yellow oil; Rf (DCM/EtOAc (2%)) = 0.55; 1H NMR (CDCl3, 600 MHz) δ/ppm: 10.14 (s, 1H), 8.15 (s, 1H), 4.95–4.88 (m, 1H), 1.65 (s, 3H), 1.64 (s, 3H).
- The obtained heterostilbenes 45–63 were subjected to the Vilsmeier formylation reaction. The selected heterostilbenes, as mixtures of isomers, were dissolved in 2 mL of DMF and stirred for 10 min at 10 °C. This temperature was achieved using a water bath with a few ice cubes and monitored with a thermometer. The weighed amount of POCl3 was slowly added dropwise. After 30 min, the water bath was removed, and the reaction mixture was allowed to stir. Upon completion of the reaction, the reaction mixture was neutralized using a 10% NaOH solution. When neutralization was achieved, extraction was carried out using E and water. The combined organic layer was washed with water and dried over MgSO4, filtered, and the solvent was evaporated. The dry reaction mixture was purified by column chromatography on silica gel using a PE/E or PE/DCM variable polarity eluent. In the first fractions, the unreacted substrates were isolated (as cis-isomers), while in the last fractions, the desired formyl derivatives 26–44 were obtained (mainly as trans-isomers). They were further used in the preparation of oximes 4–21.

- (E)-2-(2-(5-formylthiophen-2-yl)vinyl)phenyl acetate (trans-26′): 128 mg, 78% isolated yield; yellow oil; Rf (DCM) = 0.36; 1H NMR (CDCl3, 600 MHz) δ/ppm: 9.86 (s, 1H), 7.65–7.64 (m, 2H), 7.33 (t, J = 7.9 Hz, 1H), 7.27–7.24 (m, 1H), 7.21 (d, J = 16.1 Hz, 1H), 7.17 (d, J = 16.1 Hz, 1H), 7.14 (d, J = 3.9 Hz, 1H), 7.11 (d, J = 8.0 Hz, 1H), 2.39 (s, 3H); 13C NMR (CDCl3, 150 MHz) δ/ppm: 182.7, 169.2, 152.1, 148.5, 141.9, 137.2, 129.6, 128.5, 127.2, 126.4, 125.9, 123.0, 122.9, 99.9, 20.9.
- (E)-5-(2-hydroxystyryl)thiophene-2-carbaldehyde (trans-26): 60 mg, 50% isolated yield; yellow powder; Rf (E) = 0.26; 1H NMR (CDCl3, 600 MHz) δ/ppm: 9.85 (s, 1H), 7.67 (d, J = 3.7 Hz, 1H), 7.50 (dd, J = 7.7, 1.4 Hz, 1H), 7.47 (d, J = 16.2 Hz, 1H), 7.31 (d, J = 16.2 Hz, 1H), 7.19 (t, J = 7.6 Hz, 1H), 7.16 (d, J = 3.8 Hz, 1H), 6.96 (t, J = 7.4 Hz, 1H), 6.82 (d, J = 8.1 Hz, 1H), 5.38 (s, 1H); 13C NMR (CDCl3, 150 MHz) δ/ppm: 182.8, 153.7, 153.5, 141.3, 137.5, 129.8, 128.0, 127.7, 126.4, 123.3, 121.8, 121.2, 116.2.
- (Z)-2-(2-(5-formylthiophen-2-yl)vinyl)benzonitrile (cis-27): 10 mg, 20% isolated yield; yellow oil; Rf (DCM) = 0.40; 1H NMR (CDCl3, 600 MHz) δ/ppm: 9.79 (s, 1H), 7.75 (d, J = 7.7 Hz, 1H), 7.61 (t, J = 8.1 Hz, 1H), 7.57 (d, J = 4.6 Hz, 1H), 7.51–7.47 (m, 2H), 7.05 (d, J = 4.1 Hz, 1H), 6.96 (d, J = 11.9 Hz, 1H), 6.87 (d, J = 11.9 Hz, 1H); 13C NMR (CDCl3, 150 MHz) δ/ppm: 182.9, 147.6, 143.5, 140.1, 135.9, 133.5, 130.3, 129.6, 128.8, 126.4, 117.4, 112.3.

- (E)-5-(2-(furan-2-yl)vinyl)furan-2-carbaldehyde (trans-28): 74 mg, 60% isolated yield; red oil; Rf (PE/E (20%)) = 0.85; 1H NMR (CDCl3, 300 MHz) δ/ppm: 9.57 (s, 1H), 7.44 (d, J = 1.2 Hz, 1H), 7.26–7.23 (m, 1H), 7.16 (d, J = 16.2 Hz, 1H), 6.82 (d, J = 16.2 Hz, 1H), 6.49–6.45 (m, 3H).
- (Z)-5-(2-(1-propyl-1H-1,2,3-triazol-4-yl)vinyl)thiophene-2-carbaldehyde (cis-29): 25 mg, 25% isolated yield; yellow oil; Rf (PE/E (9%)) = 0.25; 1H NMR (CDCl3, 600 MHz) δ/ppm: 9.89 (s, 1H), 7.69 (d, J = 4.1 Hz, 1H), 7.63 (s, 1H), 7.51 (d, J = 4.1 Hz, 1H), 6.72 (d, J = 12.4 Hz, 1H), 6.69 (d, J = 12.4 Hz, 1H), 4.36–4.33 (m, 2H), 2.00–1.93 (m, 2H), 1.00–0.96 (m, 3H).
- (E)-5-(2-(1-propyl-1H-1,2,3-triazol-4-yl)vinyl)thiophene-2-carbaldehyde (trans-29): 25 mg, 25% isolated yield; yellow oil; Rf (PE/E (90%)) = 0.23; 1H NMR (CDCl3, 600 MHz) δ/ppm: 9.87 (s, 1H), 7.67 (d, J = 4.1 Hz, 1H), 7.57 (s, 1H), 7.51 (d, J = 15.9 Hz, 1H), 7.17 (d, J = 4.8 Hz, 1H), 7.11 (d, J = 15.9 Hz, 1H), 4.36–4.33 (m, 2H), 2.00–1.93 (m, 2H), 1.00–0.96 (m, 3H).

- (E)-5-(2-(1-(4-nitrophenyl)-1H-1,2,3-triazol-4-yl)vinyl)thiophene-2-carbaldehyde (trans-30): 12 mg, 10% isolated yield; yellow oil; Rf (DCM) = 0.15; 1H NMR (CDCl3, 600 MHz) δ/ppm: 9.82 (s, 1H), 8.45 (d, J = 9.1 Hz, 2H), 8.11 (s, 1H), 8.00 (d, J = 9.6 Hz, 2H), 7.69 (d, J = 1.7 Hz, 1H), 7.68 (d, J = 14.1 Hz, 1H), 7.23 (d, J = 3.6 Hz, 1H), 7.68 (d, J = 14.1 Hz, 1H).
- (E)-2-(2-methylstyryl)naphtho[2,1-b]furan-1-carbaldehyde (trans-31): 75 mg, 75% isolated yield; yellow powder; Rf (PE/E (50%)) = 0.75; 1H NMR (CDCl3, 600 MHz) δ/ppm: 10.67 (s, 1H), 9.30 (d, J = 8.3 Hz, 1H), 7.97 (d, J = 15.9 Hz, 1H), 7.95 (d, J = 5.9 Hz, 1H), 7.86 (d, J = 9.3 Hz, 1H), 7.75–7.63 (m, 4H), 7.58–7.54 (m, 2H), 7.31–7.29 (m, 2H), 2.55 (s, 3H).

- (E)-5-(4-methylstyryl)furan-2-carbaldehyde (trans-32): 693 m, 76% isolated yield; white powder; Rf (PE/E (2%)) = 0.15; 1H NMR (CDCl3, 600 MHz) δ/ppm: 9.58 (s, 1H), 7.40 (d, J = 8.2 Hz, 2H), 7.36 (d, J = 16.5 Hz, 1H), 7.24 (d, J = 3.8 Hz, 1H), 7.18 (d, J = 7.7 Hz, 2H), 6.88 (d, J = 16.5 Hz, 1H), 6.50 (d, J = 3.8 Hz, 1H), 2.36 (s, 3H).
- (Z)-5-(4-methylstyryl)furan-2-carbaldehyde (cis-33): 17 mg, 4% isolated yield; colorless oil; Rf (PE/E (1%)) = 0.27; 1H NMR (CDCl3, 600 MHz) δ/ppm: 9.54 (s, 1H), 7.42 (d, J = 8.5 Hz, 2H), 7.13 (d, J = 3.8 Hz, 1H), 6.89 (d, J = 8.7 Hz, 2H), 6.73 (d, J = 12.4 Hz, 1H), 6.41 (d, J = 3.8 Hz, 1H), 6.36 (d, J = 12.4 Hz, 1H), 3.84 (s, 3H); 13C NMR (CDCl3, 600 MHz) δ/ppm: 177.4, 159.7, 157.8, 151.1, 134.3, 130.2, 128.7, 115.9, 113.9, 111.6, 55.3.
- (E)-5-(4-methoxystyryl)furan-2-carbaldehyde (trans-33): 90 mg, 17% isolated yield; white powder; Rf (PE/E (1%)) = 0.22; 1H NMR (CDCl3, 600 MHz) δ/ppm: 9.56 (s, 1H), 7.44 (d, J = 8.6 Hz, 2H), 7.34 (d, J = 16.1 Hz, 1H), 7.24 (d, J = 4.0 Hz, 1H), 6.90 (d, J = 9.1 Hz, 2H), 6.78 (d, J = 16.1 Hz, 1H), 6.47 (d, J = 4.0 Hz, 1H), 3.82 (s, 3H); 13C NMR (CDCl3, 600 MHz) δ/ppm: 176.7, 160.3, 159.3, 151.4, 133.1, 133.2, 128.4, 114.3, 112.9, 109.9, 55.4.
- (E)-2-(4-methoxystyryl)furan-3-carbaldehyde (trans-33′): 60 mg, 26% isolated yield; white powder; Rf (PE/E (1%)) = 0.15; 1H NMR (CDCl3, 600 MHz) δ/ppm: 9.91 (s, 1H), 7.57 (d, J = 1.9 Hz, 1H), 7.49 (d, J = 9.1 Hz, 2H), 7.47 (d, J = 16.9 Hz, 1H), 7.09 (d, J = 16.9 Hz, 1H), 6.91 (d, J = 8.8 Hz, 2H), 6.83 (d, J = 1.5 HZ, 1H), 3.84 (s, 3H).

- (Z)-5-(4-chlorostyryl)furan-2-carbaldehyde (cis-34): 128 mg, 21% isolated yield; yellow oil; Rf (PE/E (1%)) = 0.23; 1H NMR (CDCl3, 600 MHz) δ/ppm: 9.54 (s, 1H), 7.38 (d, J = 8.4 Hz, 2H), 7.34 (d, J = 8.4 Hz, 2H), 7.13 (d, J = 3.6 Hz, 1H), 6.73 (d, J = 13.1 Hz, 1H), 6.47 (d, J = 13.1 Hz, 1H), 6.34 (d, J = 3.6 Hz, 1H); 13C NMR (CDCl3, 600 MHz) δ/ppm: 177.3, 156.9, 151.4, 134.7, 134.2, 132.9, 129.9, 128.7, 117.9, 112.3.
- (E)-5-(4-chlorostyryl)furan-2-carbaldehyde (trans-34): 62.7 mg, 11% isolated yield; white powder; Rf (PE/E (1%)) = 0.18; 1H NMR (CDCl3, 600 MHz) δ/ppm: 9.57 (s, 1H), 7.41 (d, J = 8.7 Hz, 2H), 7.32 (d, J = 8.7 Hz, 2H), 7.31 (d, J = 15.9 Hz, 1H), 7.24 (d, J = 3.5 Hz, 1H), 6.88 (d, J = 15.9 Hz, 1H), 6.53 (d, J = 3.7 Hz, 1H); 13C NMR (CDCl3, 600 MHz) δ/ppm: 176.9, 158.2, 151.8, 134.6, 134.3, 131.8, 129.1, 128.1, 115.5, 111.0.
- (Z)-4-(2-(5-formylfuran-2-yl)vinyl)benzonitrile (cis-35): 21 mg, 3% isolated yield; white oil; Rf (PE/E (20%)) = 0.33; 1H NMR (CDCl3, 600 MHz) δ/ppm: 9.54 (s, 1H), 7.67 (d, J = 7.7 Hz, 2H), 7.55 (d, J = 7.8 Hz, 2H), 7.16 (d, J = 3.8 Hz, 1H), 6.76 (d, J = 12.3 Hz, 1H), 6.56 (d, J = 12.3 Hz, 1H), 6.37 (d, J = 3.8 Hz, 1H).
- (E)-4-(2-(5-formylfuran-2-yl)vinyl)benzonitrile (trans-35): 62 mg, 9% isolated yield; white powder; Rf (PE/E (20%)) = 0.23; 1H NMR (CDCl3, 600 MHz) δ/ppm: 9.64 (s, 1H), 7.67 (d, J = 7.9 Hz, 2H), 7.57 (d, J = 8.3 Hz, 2H), 7.37 (d, J = 16.5 Hz, 1H), 7.28 (d, J = 3.8 Hz, 1H), 7.03 (d, J = 16.5 Hz, 1H), 6.64 (d, J = 3.8 Hz, 1H).

- (Z)-5-(4-(dimethylamino)styryl)furan-2-carbaldehyde (cis-36): 10 mg; 2% isolated yield; yellow oil; Rf (PE/E (5%)) = 0.16; 1H NMR (CDCl3, 600 MHz) δ/ppm: 9.55 (s, 1H), 7.45 (d, J = 8.5 Hz, 2H), 7.17 (d, J = 3.7 Hz, 1H), 6.70 (d, J = 8.7 Hz, 2H), 6.69 (d, J = 12.4 Hz, 1H), 6.52 (d, J = 3.6 Hz, 1H), 6.23 (d, J = 12.4 Hz, 1H), 3.01 (s, 6H).
- (E)-5-(4-(dimethylamino)styryl)furan-2-carbaldehyde (trans-36): 5 mg; 5% isolated yield; yellow powder; Rf (PE/E (5%)) = 0.15; 1H NMR (CDCl3, 600 MHz) δ/ppm: 9.53 (s, 1H), 7.41 (d, J = 8.6 Hz, 2H), 7.33 (d, J = 16.2 Hz, 1H), 7.24 (d, J = 3.6 Hz, 1H), 7.20 (d, J = 16.2 Hz, 1H), 6.70 (d, J = 8.7 Hz, 2H), 6.43 (d, J = 3.7 Hz, 1H), 3.01 (s, 6H).

- (Z)-3-(4-methylstyryl)furan-2-carbaldehyde (cis-37): 151 mg, 43% isolated yield; orange oil; Rf (PE/E (5%)) = 0.40; 1H NMR (CDCl3, 600 MHz) δ/ppm: 9.81 (s, 1H), 7.43 (d, J = 1.2 Hz, 1H), 7.18 (d, J = 8.1 Hz, 2H), 7.11 (d, J = 8.1 Hz, 2H), 6.85 (d, J = 12.4 Hz, 1H), 6.85 (d, J = 12.4 Hz, 1H), 6.27 (d, J = 1.2 Hz, 1H), 2.35 (s, 3H); 13C NMR (CDCl3, 150 MHz) δ/ppm: 178.2, 148.5, 146.8, 138.0, 135.7, 133.6, 129.1, 128.7, 127.0, 117.4, 112.9, 21.3.
- (E)-3-(4-methylstyryl)furan-2-carbaldehyde (trans-37): 103 mg, 51% isolated yield; yellow powder; Rf (PE/E (5%)) = 0.26; 1H NMR (CDCl3, 600 MHz) δ/ppm: 9.91 (s, 1H), 7.58 (d, J = 1.3 Hz, 1H), 7.50 (d, J = 16.2 Hz, 1H), 7.45 (d, J = 7.8 Hz, 2H), 7.19 (d, J = 7.8 Hz, 2H), 7.11 (d, J = 16.2 Hz, 1H), 6.85 (d, J = 1.3 Hz, 1H), 2.37 (s, 3H); 13C NMR (CDCl3, 150 MHz) δ/ppm: 178.5, 147.7, 147.5, 139.0, 135.3, 133.4, 129.5, 129.1, 128.7, 127.1, 109.8, 21.3.
- (Z)-3-(4-methoxystyryl)furan-2-carbaldehyde (cis-38): 90 mg, 30% isolated yield; yellow oil; Rf (PE/DCM (30%)) = 0.30; 1H NMR (CDCl3, 300 MHz) δ/ppm: 9.81 (s, 1H), 7.44 (s, 1H), 7.26–7.21 (m, 2H), 6.85–6.76 (m, 4H), 6.31 (d, J = 1.6 Hz, 1H), 3.82 (s, 3H).
- (E)-3-(4-methoxystyryl)furan-2-carbaldehyde (trans-38): 135 mg, 56% isolated yield; yellow powder; Rf (PE/DCM (30%)) = 0.25; 1H NMR (CDCl3, 300 MHz) δ/ppm: 9.90 (s, 1H), 7.57–7.44 (m, 4H), 7.09 (d, J = 15.0 Hz, 1H), 6.93–6.83 (m, 3H), 3.84 (s, 3H).

- (Z)-3-(4-chlorostyryl)furan-2-carbaldehyde (cis-39): 187 mg, 67% isolated yield; orange oil; Rf (PE/E (10%)) = 0.30; 1H NMR (CDCl3, 600 MHz) δ/ppm: 9.83 (s, 1H), 7.44 (d, J = 1.6 Hz, 1H), 7.29 (d, J = 8.6 Hz, 2H), 7.22 (d, J = 8.6 Hz, 2H), 6.94 (d, J = 12.0 Hz, 1H), 7.82 (d, J = 12.0 Hz, 1H), 6.22 (d, J = 1.6 Hz, 1H).
- (E)-3-(4-chlorostyryl)furan-2-carbaldehyde (trans-39): 58 mg, 23% isolated yield; yellow powder; Rf (PE/E (5%)) = 0.20; 1H NMR (CDCl3, 600 MHz) δ/ppm: 9.92 (s, 1H), 7.62 (d, J = 16.3 Hz, 1H), 7.59 (d, J = 1.5 Hz, 1H), 7.48 (d, J = 8.5 Hz, 2H), 7.35 (d, J = 8.5 Hz, 2H), 7.08 (d, J = 16.3 Hz, 1H), 6.85 (d, J = 1.5 Hz, 1H); 13C NMR (CDCl3, 150 MHz) δ/ppm: 178.5, 147.6, 146.9, 134.2, 133.8, 130.1, 129.0, 128.7, 128.2, 112.8, 109.9.
- (Z)-4-(2-(2-formylfuran-3-yl)vinyl)benzonitrile (cis-40): 175 mg, 68% isolated yield; yellow oil; Rf (PE/E (20%)) = 0.55; 1H NMR (CDCl3, 600 MHz) δ/ppm: 9.85 (s, 1H), 7.61 (d, J = 8.3 Hz, 2H), 7.47 (d, J = 1.6 Hz, 1H), 7.40 (d, J = 8.3 Hz, 2H), 7.07 (d, J = 12.3 Hz, 1H), 6.85 (d, J = 12.3 Hz, 1H), 6.15 (d, J = 1.6 Hz, 1H); 13C NMR (CDCl3, 150 MHz) δ/ppm: 178.7, 148.9, 147.0, 133.2, 132.6, 132.3, 129.5, 127.4, 121.1, 112.6, 111.6, 109.9.
- (E)-4-(2-(2-formylfuran-3-yl)vinyl)benzonitrile (trans-40): 119 mg, 45% isolated yield; yellow powder; Rf (PE/E (20%)) = 0.46; 1H NMR (CDCl3, 600 MHz) δ/ppm: 9.94 (s, 1H), 7.76 (d, J = 16.5 Hz, 1H), 7.66 (d, J = 8.5 Hz, 2H), 7.63 (d, J = 8.5 Hz, 2H), 7.62 (d, J = 1.9 Hz, 1H), 7.12 (d, J = 16.5 Hz, 1H), 6.87 (d, J = 1.9 Hz, 1H); 13C NMR (CDCl3, 150 MHz) δ/ppm: 179.4, 148.4, 147.6, 140.6, 132.9, 132.6, 127.4, 120.6, 118.8, 111.7, 109.9.

- (Z)-3-(4-methylstyryl)thiophene-2-carbaldehyde (cis-41): 110 mg, 27% isolated yield; Rf (PE/E (10%)) = 0.57; 1H NMR (CDCl3, 300 MHz) δ/ppm: 9.99 (s, 1H), 7.56 (d, J = 4.9 Hz, 1H), 7.06 (t, J = 9.4 Hz, 4H), 6.92 (d, J = 5.0 Hz, 1H), 6.84 (d, J = 12.1 Hz, 1H), 6.78 (d, J = 12.1 Hz, 1H), 2.31 (s, 3H).
- (E)-3-(4-methylstyryl)thiophene-2-carbaldehyde (trans-41): 186 mg, 64% isolated yield; white powder; Rf (PE/E (10%)) = 0.42; 1H NMR (CDCl3, 300 MHz) δ/ppm: 10.21 (s, 1H), 7.65 (d, J = 5.6 Hz, 1H), 7.63 (d, J = 16.2 Hz, 1H), 7.43 (d, J = 6.6 Hz, 3H), 7.20 (d, J = 8.0 Hz, 2H), 7.14 (d, J = 16.2 Hz, 1H), 2.37 (s, 3H).
- (Z)-3-(4-methoxystyryl)thiophene-2-carbaldehyde (cis-42): 45 mg, 20% isolated yield; white oil; Rf (PE/DCM (60%)) = 0.55; 1H NMR (CDCl3, 300 MHz) δ/ppm: 9.99 (s, 1H), 7.57 (d, J = 5.2 Hz, 1H), 7.12 (d, J = 9.1 Hz, 2H), 6.94 (d, J = 4.6 Hz, 1H), 6.82–6.71 (m, 4H), 3.78 (s, 3H).
- (E)-3-(4-methoxystyryl)thiophene-2-carbaldehyde (trans-42): 130 mg, 52% isolated yield; white powder; Rf (PE/DCM (60%)) = 0.50; 1H NMR (CDCl3, 300 MHz) δ/ppm: 10.21 (s, 1H), 7.66 (d, J = 5.2 Hz, 1H), 7.59–7.42 (m, 7H), 3.85 (s, 3H).

- (Z)-3-(4-chlorostyryl)thiophene-2-carbaldehyde (cis-43): 98 mg, 41% isolated yield; white oil; Rf (PE/E (10%)) = 0.19; 1H NMR (CDCl3, 300 MHz) δ/ppm: 9.99 (s, 1H), 7.58 (d, J = 4.9 Hz, 1H), 7.22 (d, J = 8.5 Hz, 2H), 7.10 (d, J = 8.5 Hz, 2H), 6.90–6.87 (m, 3H), 6.86 (d, J = 5.0 Hz, 1H), 6.80 (d, J = 12.2 Hz, 1H).
- (E)-3-(4-chlorostyryl)thiophene-2-carbaldehyde (trans-43): 96 mg, 40% isolated yield; white powder; Rf (PE/E (10%)) = 0.15; 1H NMR (CDCl3, 300 MHz) δ/ppm: 10.19 (s, 1H), 7.85 (d, J = 16.5 Hz, 1H), 7.72–7.60 (m, 5H), 7.48 (d, J = 4.7 Hz, 1H), 7.15 (d, J = 16.5 Hz, 1H).
- (E)-4-(2-(2-formylthiophen-3-yl)vinyl)benzonitrile (trans-44): 31 mg, 86% isolated yield; white powder; Rf (PE/E (10%)) = 0.24; 1H NMR (CDCl3, 300 MHz) δ/ppm: 10.19 (s, 1H), 7.86 (d, J = 16.2 Hz, 1H), 7.71 (d, J = 5.2 Hz, 1H), 7.68 (d, J = 8.5 Hz, 2H), 7.63 (d, J = 8.5 Hz, 2H), 7.48 (d, J = 5.2 Hz, 1H), 7.16 (d, J = 16.2 Hz, 1H); 13C NMR (CDCl3, 150 MHz) δ/ppm: 181.9, 149.7, 140.8, 134.5, 139.5, 133.0, 132.6, 132.3, 129.5, 127.3, 123.1, 118.7.
- The obtained aldehydes 23–25 were converted into oximes 1–3, while aldehydes 26–44 produced the corresponding oximes 4–21, according to the literature [20]. Crystals of NH2OH × HCl were dissolved in a prepared mixture of 10 mL of EtOH and 3 mL of distilled water. After a homogeneous solution was obtained, the corresponding prepared heterostilbene aldehydes 26–44 were added. The reaction mixture was stirred at room temperature for 24 h. When the reaction was completed, the solvent was evaporated on a rotavapor under reduced pressure. The reaction mixture was purified by repeated column chromatography on silica gel using PE/DCM and DCM/methanol variable polarity eluents. The targeted oximes 1–21 were isolated, and their spectroscopic data and the yields of their pure isomers are given below.

- 1-(4-fluorobenzyl)-1H-1,2,3-triazole-4-carbaldehyde oxime (1): 30 mg, 16% isolated yield; yellow oil; Rf (DCM/MeOH (30%)) = 0.22; 1H NMR (CD3OD, 600 MHz) δ/ppm: 8.48 (s, 1H), 8.44 (s, 1H), 8.12 (d, J = 9.3 Hz, 2H), 6.87 (d, J = 8.2 Hz, 2H), 5.68 (s, 2H). In the mixture, the ratio of the two isomers is approximately 1:1.
- 1-(4-chlorobenzyl)-1H-1,2,3-triazole-4-carbaldehyde oxime (2): 30 mg, 8% isolated yield; yellow oil; Rf (DCM/MeOH (30%)) = 0.21; 1H NMR (CD3OD, 600 MHz) δ/ppm: 8.11 (s, 1H), 8.10 (s, 1H), 6.86 (d, J = 8.7 Hz, 2H), 6.60 (d, J = 8.7 Hz, 2H), 4.81 (s, 2H). In the mixture, the ratio of the syn- and anti-isomers is approximately 2:1.
- 1-(4-nitrophenyl)-1H-1,2,3-triazole-4-carbaldehyde oxime (3): 70 mg, 50% isolated yield; yellow oil; Rf (DCM/MeOH (30%)) = 0.25; 1H NMR (CD3OD, 600 MHz) δ/ppm: 9.29 (s, 1H), 8.48 (d, J = 9.4 Hz, 2H), 8.24 (d, J = 9.2 Hz, 2H), 7.75 (s, 1H). The majority syn-isomer is formed. MS (ESI) m/z (%, fragment): 234 (5); 121 (100); HRMS (m/z) for C9H7N5O3: [M + H]+calcd = 233.0548, and [M + H]+measured = 233.0549.

- (E)-5-((E)-2-hydroxystyryl)thiophene-2-carbaldehyde oxime (trans,syn-4): 18 mg, 25%; Rf (DCM/MeOH (10%)) = 0.52; 1H NMR (CDCl3, CD3OD, 600 MHz) δ/ppm: 8.20 (s, 1H), 7.46 (d, J = 7.2 Hz, 1H), 7.29 (d, J = 16.1 Hz, 2H), 7.25 (d, J = 16.1 Hz, 1H), 7.11 (t, J = 7.3 Hz, 1H), 7.05 (d, J = 3.8 Hz, 1H), 6.97 (d, J = 4.2 Hz, 1H), 6.87 (t, J = 7.8 Hz, 1H), 6.81 (d, J = 8.2 Hz, 1H); 13C NMR (CDCl3, 600 MHz) δ/ppm: 153.9, 149.1, 145.6, 133.9, 132.4, 130.2, 128.9, 127.3, 125.9, 125.1, 122.2, 120.7, 116.0.
- (Z)-5-((E)-2-hydroxystyryl)thiophene-2-carbaldehyde oxime (trans,anti-4): 41 mg, 52% isolated yield; white powder; m.p. = 173–175 °C; Rf (DCM/MeOH (10%)) = 0.45; 1H NMR (CDCl3, CD3OD, 600 MHz) δ/ppm: 7.61 (s, 1H), 7.47 (dd, J = 7.6, 1.5 Hz, 1H), 7.38 (d, J = 16.2 Hz, 1H), 7.30 (d, J = 16.2 Hz, 1H), 7.24 (t, J = 3.7 Hz, 1H), 7.13–7.10 (m, 1H), 7.04 (d, J = 4.4 Hz, 1H), 6.88 (t, J = 7.5 Hz, 1H), 6.81 (d, J = 8.1 Hz, 1H); 13C NMR (CDCl3, 600 MHz) δ/ppm: 158.6, 152.9, 144.8, 135.9, 133.1, 132.8, 130.8, 129.3, 128.5, 127.8, 125.5, 123.8, 119.6.
- MS (ESI) m/z (%, fragment): 242 (100); 200 (30); HRMS (m/z) for C13H9NO2S: [M + H]+calcd = 243.0354, and [M + H]+measured = 243.0355 (for the mixture of isomers).
- 2-((Z)-2-(5-((E)-(hydroxyimino)methyl)thiophen-2-yl)vinyl)benzonitrile (cis,syn-5): 38 mg, 33% isolated yield; white powder; m.p. = 171–173 °C; Rf (DCM/MeOH (5%)) = 0.65; 1H NMR (CDCl3, 600 MHz) δ/ppm: 8.12 (s, 1H), 7.72 (d, J = 7.9 Hz, 1H), 7.60–7.55 (m, 2H), 7.43 (t, J = 7.1 Hz, 1H), 7.09 (s, 1H), 6.99 (d, J = 4.1 Hz, 1H), 6.91 (d, J = 4.1 Hz, 1H), 6.88 (d, J = 12.1 Hz, 1H), 6.69 (d, J = 12.1 Hz, 1H); MS (ESI) m/z (%, fragment): 255 (100); HRMS (m/z) for C14H10N2OS: [M + H]+calcd = 254.0513, and [M + H]+measured = 254.0514.

- (E)-5-((E)-2-(furan-2-yl)vinyl)furan-2-carbaldehyde oxime (trans,syn-6): 15 mg, 23%; Rf (DCM/MeOH (10%)) = 0.56; 1H NMR (CDCl3, 600 MHz) δ/ppm: 7.97 (s, 1H), 7.45 (s, 1H), 6.97 (d, J = 16.2 Hz, 1H), 6.77 (d, J = 16.2 Hz, 1H), 6.63 (d, J = 3.6 Hz, 1H), 6.42–6.41 (m, 1H), 6.38 (d, J = 3.7 Hz, 1H), 6.37 (d, J = 3.2 Hz, 1H).
- (Z)-5-((E)-2-(furan-2-yl)vinyl)furan-2-carbaldehyde oxime (trans,anti-6): 34 mg, 48% isolated yield; white powder; m.p. = 150–153 °C; Rf (DCM/MeOH (10%)) = 0.53; 1H NMR (CDCl3, 600 MHz) δ/ppm: 7.51 (s, 1H), 7.41 (d, J = 1.8 Hz, 1H), 7.31 (d, J = 3.7 Hz, 1H), 6.93 (d, J = 16.2 Hz, 1H), 6.79 (d, J = 16.2 Hz, 1H), 6.46 (d, J = 3.6 Hz, 1H), 6.44–6.43 (m, 1H), 6.40 (d, J = 3.4 Hz, 1H).
- MS (ESI) m/z (%, fragment): 204 (100); HRMS (m/z) for C11H10NO3: [M + H]+calcd = 203.0582, and [M + H]+measured = 203.0586.

- (E)-5-((Z)-2-(1-propyl-1H-1,2,3-triazol-4-yl)vinyl)thiophene-2-carbaldehyde oxime (cis,syn-7): 17 mg; 9%; Rf (DCM/MeOH (5%)) = 0.22; 1H NMR (CDCl3, 600 MHz) δ/ppm: 8.21 (s, 1H), 7.53 (s, 1H), 7.08–7.06 (m, 2H), 6.69 (d, J = 12.4 Hz, 1H), 6.63 (d, J = 12.4 Hz, 1H), 4.35–4.29 (m, 2H), 1.98–1.91 (m, 2H), 0.99–0.95 (m, 3H).
- (Z)-5-((Z)-2-(1-propyl-1H-1,2,3-triazol-4-yl)vinyl)thiophene-2-carbaldehyde oxime (cis,anti-7): 20 mg; 11%; Rf (DCM/MeOH (5%)) = 0.22; 1H NMR (CDCl3, 600 MHz) δ/ppm: 7.64 (s, 1H), 7.63 (s, 1H), 7.10 (d, J = 3.2 Hz, 1H), 7.08–7.06 (m, 1H), 6.65 (d, J = 12.1 Hz, 1H), 6.58 (d, J = 12.1 Hz, 1H), 4.35–4.29 (m, 2H), 1.98–1.91 (m, 2H), 0.99–0.95 (m, 3H).
- (E)-5-((E)-2-(1-propyl-1H-1,2,3-triazol-4-yl)vinyl)thiophene-2-carbaldehyde oxime (trans,syn-7): 22 mg; 12%; Rf (DCM/MeOH (5%)) = 0.21; 1H NMR (CDCl3, 600 MHz) δ/ppm: 8.22 (s, 1H), 7.53 (s, 1H), 7.47 (d, J = 15.6 Hz, 1H), 7.31 (d, J = 3.8 Hz, 1H), 7.29 (d, J = 3.8 Hz, 1H), 7.01 (d, J = 15.6 Hz, 1H), 4.35–4.29 (m, 2H), 1.98–1.91 (m, 2H), 0.99–0.95 (m, 3H).
- (Z)-5-((E)-2-(1-propyl-1H-1,2,3-triazol-4-yl)vinyl)thiophene-2-carbaldehyde oxime (trans,anti-7): 19 mg; 10%; Rf (DCM/MeOH (5%)) = 0.21; 1H NMR (CDCl3, 600 MHz) δ/ppm: 7.65 (s, 1H), 7.61 (s, 1H), 7.42 (d, J = 15.4 Hz, 1H), 7.08 (d, J = 3.7 Hz, 1H), 7.08 (d, J = 4.2 Hz, 1H), 6.92 (d, J = 15.4 Hz, 1H), 4.35–4.29 (m, 2H), 1.98–1.91 (m, 2H), 0.99–0.95 (m, 3H).MS (ESI) m/z (%, fragment): 263 (100); HRMS (m/z) for C12H15N4OS: [M + H]+calcd = 262.0888, and [M + H]+measured = 262.0890 (for the mixture of isomers).

- 5-(2-(1-(4-nitrophenyl)-1H-1,2,3-triazol-4-yl)vinyl)thiophene-2-carbaldehyde oxime (trans-8): 6 mg, 2%; Rf (DCM/MeOH (5%)) = 0.12; 1H NMR (CDCl3, 600 MHz) δ/ppm: 8.82 (s, 1H), 8.79 (s, 1H), 8.48 (d, J = 9.8 Hz, 2H), 8.19 (d, J = 9.6 Hz, 2H), 7.67 (d, J = 16.6 Hz, 1H), 7.65 (d, J = 4.7 Hz, 1H), 7.63 (d, J = 5.1 Hz, 1H), 7.61 (d, J = 16.6 Hz, 1H); MS (ESI) m/z (%, fragment): 342 (30); 121 (100); HRMS (m/z) for C15H11N5O3S: [M + H]+calcd = 341.0583, and [M + H]+measured = 341.0574 (for the mixture of isomers).
- (E)-2-((E)-2-methylstyryl)naphtho[2,1-b]furan-1-carbaldehyde oxime (trans,syn-9): 38 mg, 40% isolated yield; yellow powder; m.p. = 148–152 °C; Rf (DCM) = 0.35; 1H NMR (CDCl3, 600 MHz) δ/ppm: 7.60 (s, 1H), 7.50–7.45 (m, 1H), 7.40 (d, J = 16.6 Hz, 1H), 7.30 (d, J = 16.6 Hz, 1H) 7.25 (d, J = 3.7 Hz, 1H), 7.11 (t, J = 7.9 Hz, 1H), 7.04 (d, J = 3.7 Hz, 1H), 6.87 (t, J = 7.9 Hz, 1H), 6.83 (d, J = 8.5 Hz, 1H), 3.22 (s, 3H); MS (ESI) m/z (%, fragment): 328 (100); 121 (30); HRMS (m/z) for C22H17NO2: [M + H]+calcd = 327.1259, and [M + H]+measured = 327.1254 (for the mixture of isomers).

- (E)-5-((E)-4-methylstyryl)furan-2-carbaldehyde oxime (trans,syn-10): 203 mg, 28% isolated yield; white powder; m.p. = 153–154 °C; Rf (DCM/MeOH (1%)) = 0.35; 1H NMR (CDCl3, 600 MHz) δ/ppm: 7.99 (s, 1H), 7.59 (s, 1H), 7.37 (d, J = 8.2 Hz, 2H), 7.17–7.15 (m, 3H), 6.83 (d, J = 16.3 Hz, 1H), 6.68 (d, J = 3.5 Hz, 1H), 6.38 (d, J = 3.5 Hz, 1H), 2.35 (s, 3H); 13C NMR (CDCl3, 600 MHz) δ/ppm: 155.3, 146.2, 140.2, 138.1, 133.8, 129.5, 129.5, 126.5, 115.4, 114.7, 109.9, 21.3; MS (ESI) m/z (%, fragment): 228 (100); HRMS (m/z) for C14H13NO2: [M + H]+calcd = 227.0946, and [M + H]+measured = 227.0947.
- (Z)-5-((E)-4-methylstyryl)furan-2-carbaldehyde oxime (trans,anti-10): 168 mg, 23% isolated yield; yellow oil; Rf (DCM/MeOH (1%)) = 0.26; 1H NMR (CDCl3, 600 MHz) δ/ppm: 7.53 (s, 1H), 7.38 (d, J = 7.1 Hz, 2H), 7.31 (d, J = 3.1 Hz, 1H), 7.16 (d, J = 7.7 Hz, 2H), 7.15 (d, J = 16.5 Hz, 1H), 6.84 (d, J = 16.5 Hz, 1H), 6.46 (d, J = 3.3 Hz, 1H), 2.36 (s, 3H); 13C NMR (CDCl3, 600 MHz) δ/ppm: 153.9, 144.0, 138.2, 137.4, 133.7, 129.7, 126.5, 120.3, 114.9, 110.8, 21.3.

- (E)-5-((E)-4-methoxystyryl)furan-2-carbaldehyde oxime (trans,syn-11): 7 mg, 6% isolated yield; yellow powder; m.p. = 160–162 °C; Rf (DCM/E (1%)) = 0.26; 1H NMR (CDCl3, 600 MHz) δ/ppm: 8.20 (s, 1H), 7.861 (s, 1H), 7.43–7.41 (m, 3H), 7.03 (d, J = 15.8 Hz, 1H), 6.91–6.84 (m, 3H), 6.71 (d, J = 1.2 Hz, 1H), 3.82 (s, 3H); 13C NMR (CDCl3, 600 MHz) δ/ppm: 159.1, 143.9, 142.4, 139.2, 130.3, 129.1, 127.3, 126.2, 114.4, 113.7, 108.4, 54.8.

- (E)-5-((Z)-4-chlorostyryl)furan-2-carbaldehyde oxime (cis,syn-12): 39 mg, 42% isolated yield; white powder; m.p. = 178–180 °C; Rf (DCM/MeOH (1%)) = 0.73; 1H NMR (CDCl3, 600 MHz) δ/ppm: 8.0 (s, 1H), 7.91 (s, 1H), 7.40 (d, J = 7.6 Hz, 2H), 7.31 (d, J = 7.6 Hz, 2H), 6.56 (d, J = 3.4 Hz, 1H), 6.50 (d, J = 12.6 Hz, 1H), 6.38 (d, J = 12.6 Hz, 1H), 6.28 (d, J = 3.5 Hz, 1H); 13C NMR (CDCl3, 600 MHz) δ/ppm: 153.4, 146.0, 140.1, 135.3, 133.5, 130.0, 128.9, 128.5, 118.0, 114.2, 111.9; MS (ESI) m/z (%, fragment): 248 (100); HRMS (m/z) for C13H10ClNO2: [M + H]+calcd = 247.0400, and [M + H]+measured = 247.0401.
- (Z)-5-((Z)-4-chlorostyryl)furan-2-carbaldehyde oxime (cis,anti-12): 15 mg, 14%; Rf (DCM/MeOH (1%)) = 0.50; 1H NMR (CDCl3, 600 MHz) δ/ppm: 8.63 (s, 1H), 7.39 (s, 1H), 7.38–7.28 (m, 4H), 7.23 (d, J = 3.2 Hz, 1H), 6.54 (d, J = 12.8 Hz, 1H), 6.38 (d, J = 3.4 Hz, 1H), 6.37 (d, J = 12.8 Hz, 1H); 13C NMR (CDCl3, 600 MHz) δ/ppm: 152.2, 143.8, 137.0, 135.3, 133.5, 130.1 129.3, 128.3, 119.7, 117.8, 113.0.
- (E)-5-((E)-4-chlorostyryl)furan-2-carbaldehyde oxime (trans,syn-12): 19 mg, 20%; Rf (DCM/MeOH (1%)) = 0.44; 1H NMR (CDCl3, 600 MHz) δ/ppm: 7.98 (s, 1H), 7.49 (s, 1H), 7.39 (d, J = 8.4 Hz, 2H), 7.31 (d, J = 8.5 Hz, 2H), 7.13 (d, J = 16.3 Hz, 1H), 6.84 (d, J = 16.2 Hz, 1H), 6.65 (d, J = 3.5 Hz, 1H), 6.42 (d, J = 3.5 Hz, 1H); 13C NMR (CDCl3, 600 MHz) δ/ppm: 154.7, 146.6, 140.2, 135.1, 133.7, 128.9, 128.0, 127.6, 116.1, 115.3, 110.7.
- (Z)-5-((E)-4-chlorostyryl)furan-2-carbaldehyde oxime (trans,anti-12): 5 mg, 5%; Rf (DCM/MeOH (1%)) = 0.34; 1H NMR (CDCl3, 600 MHz) δ/ppm: 8.10 (s, 1H), 7.99 (s, 1H), 7.38 (d, J = 8.4 Hz, 2H), 7.30 (d, J = 8.9 Hz, 2H), 7.14 (d, J = 16.1 Hz, 1H), 6.83 (d, J = 16.1 Hz, 1H), 6.65 (d, J = 3.1 Hz, 1H), 6.42 (d, J = 3.4 Hz, 1H).

- (E)-5-((E)-4-(dimethylamino)styryl)furan-2-carbaldehyde oxime (trans,syn-13): 10 mg, 5%; Rf (DCM/MeOH (5%)) = 0.65; 1H NMR (CDCl3, 600 MHz) δ/ppm: 7.96 (s, 1H), 7.38 (d, J = 8.8 Hz, 2H), 7.37 (d, J = 8.8 Hz, 2H), 7.09 (d, J = 16.5 Hz, 1H), 6.60 (d, J = 16.5 Hz, 1H), 6.62 (d, J = 3.5 Hz, 1H), 6.31 (d, J = 3.5 Hz, 1H), 2.99 (s, 6H).
- (Z)-5-((E)-4-(dimethylamino)styryl)furan-2-carbaldehyde oxime (trans,anti-13): 11 mg, 7%; Rf (DCM/MeOH (5%)) = 0.59; 1H NMR (CDCl3, 600 MHz) δ/ppm: 7.51 (s, 1H), 7.38 (d, J = 8.8 Hz, 2H), 7.37 (d, J = 8.7 Hz, 2H), 7.31 (d, J = 3.7 Hz, 1H), 7.13 (d, J = 16.4 Hz, 1H), 7.09 (d, J = 16.4 Hz, 1H), 6.39 (d, J = 3.6 Hz, 1H), 2.99 (s, 6H).
- Data for the isomers written from the 1H NMR of the mixture of isomers. MS (ESI) m/z (%, fragment): 239 (100); HRMS (m/z) for C14H10N2O2: [M + H]+calcd = 238.0742, and [M + H]+measured = 238.0741.

- (E)-3-((Z)-4-methylstyryl)furan-2-carbaldehyde oxime (cis,syn-14): 113 mg, 38% isolated yield; white powder; m.p. = 145–148 °C; Rf (PE/E (15%)) = 0.27; 1H NMR (CDCl3, 600 MHz) δ/ppm: 9.08 (s, 1H), 8.11 (s, 1H), 7.27 (d, J = 1.6 Hz, 1H), 7.19 (d, J = 8.0, 2H), 7.09 (d, J = 8.0, 2H), 6.65 (d, J = 12.2 Hz, 1H), 6.44 (d, J = 12.2 Hz, 1H), 6.17 (d, J = 1.6 Hz, 1H), 2.33 (s, 3H); 13C NMR (CDCl3, 150 MHz) δ/ppm: 144.1, 143.6, 139.4, 137.5, 134.0, 132.4, 129.0, 128.8, 124.3, 117.9, 111.9, 21.3. MS (ESI) m/z (%, fragment): 228 (100); HRMS (m/z) for C14H13NO2: [M + H]+calcd = 227.0952, and [M + H]+measured = 227.0946.
- (Z)-3-((Z)-4-methylstyryl)furan-2-carbaldehyde oxime (cis,anti-14): 2 mg, 1%; Rf (PE/E (15%)) = 0.22; 1H NMR (CDCl3, 600 MHz) δ/ppm: 7.43 (d, J = 1.7 Hz, 1H), 7.26 (s, 1H), 7.18 (d, J = 7.9 Hz, 2H), 7.09 (d, J = 7.9 Hz, 2H), 6.70 (d, J = 11.8 Hz, 1H), 6.45 (d, J = 11.8 Hz, 1H), 6.22 (d, J = 1.7 Hz, 1H), 2.34 (s, 3H).
- (E)-3-((E)-4-methylstyryl)furan-2-carbaldehyde oxime (trans,syn-14): 70 mg, 34% isolated yield; white powder; m.p. = 146–147 °C; Rf (PE/E (10%)) = 0.17; 1H NMR (CDCl3, 600 MHz) δ/ppm: 8.23 (s, 1H), 7.45 (s, 1H), 7.43 (d, J = 1.9 Hz, 1H), 7.38 (d, J = 8.0 Hz, 2H), 7.17 (d, J = 8.0 Hz, 2H), 7.13 (d, J = 16.2 Hz, 1H), 6.89 (d, J = 16.2 Hz, 1H), 6.72 (d, J = 1.9 Hz, 1H), 2.36 (s, 3H); 13C NMR (CDCl3, 150 MHz) δ/ppm: 144.4, 143.2, 140.1, 138.0, 134.1, 131.2, 129.5, 126.5, 126.4, 116.1, 109.0, 21.3.
- (Z)-3-((E)-4-methylstyryl)furan-2-carbaldehyde oxime (trans,anti-14): 5 mg, 2%; Rf (PE/E (10%)) = 0.10; 1H NMR (CDCl3, 600 MHz) δ/ppm: 7.49 (d, J = 1.7 Hz, 1H), 7.44 (s, 1H), 7.32 (d, J = 8.0 Hz, 2H), 7.19 (s, 1H), 7.10 (d, J = 8.0 Hz, 2H), 7.05 (d, J = 16.1 Hz, 1H), 6.84 (d, J = 16.1 Hz, 1H), 6.67 (d, J = 1.7 Hz, 1H), 2.29 (s, 3H).

- (E)-3-((Z)-4-methoxystyryl)furan-2-carbaldehyde oxime (cis,syn-15): 26 mg, 15%; Rf (PE/DCM (60%)) = 0.25; 1H NMR (CDCl3, 600 MHz) δ/ppm: 8.10 (s, 1H), 7.55 (s, 1H), 7.30 (d, J = 1.8 Hz, 1H), 7.24 (d, J = 8.5 Hz, 2H), 6.83 (d, J = 9.2 Hz, 2H), 6.63 (d, J = 12.3 Hz, 1H), 6.42 (d, J = 12.3 Hz, 1H), 6.21 (d, J = 1.9 Hz, 1H), 3.81 (s, 3H); 13C NMR (CDCl3, 150 MHz) δ/ppm: 159.1, 143.9, 143.6, 140.1, 132.0, 130.2, 129.4, 124.8, 117.2, 113.7, 111.9, 55.2.
- (E)-3-((E)-4-methoxystyryl)furan-2-carbaldehyde oxime (trans,syn-15): 36 mg, 15%; Rf (PE/DCM (60%)) = 0.15; 1H NMR (CDCl3, 600 MHz) δ/ppm: 8.23 (s, 1H), 7.84 (s, 1H), 7.42 (d, J = 8.6 Hz, 3H), 7.03 (d, J = 16.6 Hz, 1H), 6.89 (d, J = 8.6 Hz, 2H), 6.87 (d, J = 16.6 Hz, 1H), 6.71 (d, J = 2.1 Hz, 1H), 3.83 (s, 3H); 13C NMR (CDCl3, 150 MHz) δ/ppm: 159.6, 144.4, 142.9, 139.9, 130.8, 129.7, 127.8, 126.7, 114.9, 114.2, 108.9, 55.3; MS (ESI) m/z (%, fragment): 244 (100); HRMS (m/z) for C14H13NO3: [M + H]+calcd = 243.0895, and [M + H]+measured = 243.0901.
- (Z)-3-((E)-4-methoxystyryl)furan-2-carbaldehyde oxime (trans,anti-15): 70 mg, 26% isolated yield; white powder; m.p. = 158–164 °C; Rf (PE/DCM (60%)) = 0.13; 1H NMR (CDCl3, 600 MHz) δ/ppm: 8.23 (s, 1H), 7.93 (s, 1H), 7.42 (d, J = 9.1 Hz, 3H), 7.03 (d, J = 15.9 Hz, 1H), 6.89 (d, J = 9.1 Hz, 2H), 6.87 (d, J = 15.9 Hz, 1H), 6.71 (d, J = 1.9 Hz, 1H), 3.83 (s, 3H); 13C NMR (CDCl3, 150 MHz) δ/ppm: 159.6, 144.4, 142.9, 139.9, 130.8, 129.7, 127.8, 126.7, 114.9, 114.2, 108.9, 55.3.

- (E)-3-((Z)-4-chlorostyryl)furan-2-carbaldehyde oxime (cis,syn-16): 114 mg, 24% isolated yield; white powder; m.p. = 189–191 °C; Rf (PE/E (15%)) = 0.47; 1H NMR (CDCl3, 600 MHz) δ/ppm: 8.10 (s, 1H), 7.99 (s, 1H), 7.28 (d, J = 8.5 Hz, 2H), 7.23 (d, J = 8.5 Hz, 2H), 6.63 (d, J = 12.0 Hz, 1H), 6.55 (d, J = 12.0 Hz, 1H), 6.12 (d, J = 1.2 Hz, 1H); 13C NMR (CDCl3, 150 MHz) δ/ppm: 144.4, 143.7, 139.8, 135.5, 133.4, 130.9, 130.2, 128.5, 124.0, 119.4, 111.7; MS (ESI) m/z (%, fragment): 248 (100); HRMS (m/z) for C13H10ClNO2: [M + H]+calcd = 247.0400, and [M + H]+measured = 247.0405.
- (Z)-3-((Z)-4-chlorostyryl)furan-2-carbaldehyde oxime (cis,anti-16): 5 mg, 1%; Rf (PE/E (15%)) = 0.28; 1H NMR (CDCl3, 600 MHz) δ/ppm: 7.44 (d, J = 1.6 Hz, 1H), 7.35 (s, 1H), 7.26 (d, J = 8.6 Hz, 2H), 7.21 (d, J = 8.6 Hz, 2H), 6.66 (d, J = 16.2 Hz, 2H), 6.53 (d, J = 16.2 Hz, 2H), 6.16 (d, J = 1.8 Hz, 1H).
- (E)-3-((E)-4-chlorostyryl)furan-2-carbaldehyde oxime (trans,syn-16): 48 mg, 20% isolated yield; white powder; m.p. = 181–183 °C; Rf (PE/E (15%)) = 0.40; 1H NMR (CDCl3, 600 MHz) δ/ppm: 8.22 (s, 1H), 7.48 (s, 1H), 7.48 (s, 1H), 7.44 (d, J = 1.6 Hz, 1H), 7.41 (d, J = 8.5 Hz, 2H), 7.32 (d, J = 8.5 Hz, 1H), 7.19 (d, J = 16.1 Hz, 1H), 6.86 (d, J = 16.1 Hz, 1H), 6.72 (d, J = 1.7 Hz, 1H); 13C NMR (CDCl3, 150 MHz) δ/ppm: 144.4, 143.7, 140.2, 135.4, 133.5, 129.8, 128.9, 127.6, 125.8, 118.0, 108.9.
- (Z)-3-((E)-4-chlorostyryl)furan-2-carbaldehyde oxime (trans,anti-16): 12 mg, 3%; Rf (PE/E (15%)) = 0.25; 1H NMR (CDCl3, 600 MHz) δ/ppm: 7.61 (d, J = 1.6 Hz, 1H), 7.50 (s, 1H), 7.42 (d, J = 8.5 Hz, 2H), 7.33 (d, J = 8.5 Hz, 2H), 7.17 (d, J = 16.1 Hz, 1H), 6.88 (d, J = 16.1 Hz, 1H), 6.74 (d, J = 1.6 Hz, 1H); 13C NMR (CDCl3, 150 MHz) δ/ppm: 144.9, 144.5, 140.1, 135.4, 134.3, 130.3, 129.8, 129.0, 127.9, 117.9, 108.7.

- 4-((Z)-2-(2-((E)-(hydroxyimino)methyl)furan-3-yl)vinyl)benzonitrile (cis,syn-17): 141 mg, 43% isolated yield; white powder; m.p. = 198–201 °C; Rf (PE/E (20%)) = 0.56; 1H NMR (CDCl3, 600 MHz) δ/ppm: 8.10 (s, 1H), 7.59 (d, J = 8.3 Hz, 2H), 7.41 (d, J = 8.3 Hz, 2H), 7.32 (d, J = 1.9 Hz, 1H), 6.71 (d, J =12.1 Hz, 1H), 6.64 (d, J =12.1 Hz, 1H), 6.07 (d, J = 1.9 Hz, 1H); 13C NMR (CDCl3, 150 MHz) δ/ppm: 143.9, 140.2, 132.5, 132.2, 130.0, 129.9, 129.5, 126.8, 123.1, 121.7, 117.7, 111.6; MS (ESI) m/z (%, fragment): 239 (100); HRMS (m/z) for C14H10N2O2: [M + H]+calcd = 247.0400, and [M + H]+measured = 247.0405.
- 4-((Z)-2-(2-((Z)-(hydroxyimino)methyl)furan-3-yl)vinyl)benzonitrile (cis,anti-17): 17 mg, 6%; Rf (PE/E (20%)) = 0.34; 1H NMR (CDCl3, 600 MHz) δ/ppm: 7.58 (d, J = 8.3 Hz, 2H), 7.45 (d, J = 1.9 Hz, 1H), 7.39 (d, J = 8.3 Hz, 2H), 7.33 (s, 1H), 6.69 (d, J = 12.3 Hz, 1H), 6.67 (d, J = 12.3 Hz, 1H), 6.11 (d, J = 1.9 Hz, 1H); 13C NMR (CDCl3, 150 MHz) δ/ppm: 144.5, 141.4, 134.2, 132.1, 130.7, 129.5, 125.5, 121.9, 118.7, 111.5, 111.1, 103.0.
- 4-((E)-2-(2-((E)-(hydroxyimino)methyl)furan-3-yl)vinyl)benzonitrile (trans,syn-17): 47 mg, 16% isolated yield; white powder; m.p. = 193–195 °C; Rf (PE/E (30%)) = 0.53; 1H NMR (CDCl3, 600 MHz) δ/ppm: 8.23 (s, 1H), 7.76 (s, 1H), 7.63 (d, J = 8.2 Hz, 2H), 7.56 (d, J = 8.2 Hz, 2H), 7.47 (d, J = 1.8 Hz, 1H), 7.37 (d, J = 16.3 Hz, 1H), 6.90 (d, J = 16.3 Hz, 1H), 6.74 (d, J = 1.8 Hz, 1H); 13C NMR (CDCl3, 150 MHz) δ/ppm: 144.6, 144.5, 141.4, 140.3, 132.6, 132.5, 126.9, 125.0, 121.2, 118.9, 110.8, 108.9.

- (E)-3-((Z)-4-methylstyryl)thiophene-2-carbaldehyde oxime (cis,syn-18): 72 mg, 28% isolated yield; white powder; m.p. = 158–160 °C; Rf (PE/E (10%)) = 0.53; 1H NMR (CDCl3, 300 MHz) δ/ppm: 8.32 (s, 1H), 7.15 (d, J = 5.2 Hz, 2H), 7.09 (d, J = 8.2 Hz, 2H), 7.04 (d, J = 8.2 Hz, 2H), 6.79 (d, J = 5.3 Hz, 1H), 6.68 (d, J = 12.1 Hz, 1H), 6.50 (d, J = 12.1 Hz, 1H), 2.31 (s, 3H); 13C NMR (CDCl3, 150 MHz) δ/ppm: 144.5, 140.0, 137.6, 132.8, 130.4, 129.0, 128.9, 128.8, 126.4, 121.6, 121.1, 21.2; MS (ESI) m/z (%, fragment): 244 (100); HRMS (m/z) for C14H13NOS: [M + H]+calcd = 243.0718, and [M + H]+measured = 243.0717.
- (Z)-3-((Z)-4-methylstyryl)thiophene-2-carbaldehyde oxime (cis,anti-18): 58 mg, 23% isolated yield; white powder; m.p. = 155–156 °C; Rf (PE/E (10%)) = 0.34; 1H NMR (CDCl3, 300 MHz) δ/ppm: 7.81 (s, 1H), 7.42 (d, J = 5.1 Hz, 1H), 7.05 (d, J = 8.7 Hz, 2H), 7.01 (d, J = 8.7 Hz, 2H), 6.87 (d, J = 5.2 Hz, 1H), 6.73 (d, J = 12.1 Hz, 1H), 6.58 (d, J = 12.1 Hz, 1H), 2.29 (s, 3H); 13C NMR (CDCl3, 150 MHz) δ/ppm: 141.5, 140.1, 137.6, 133.5, 133.5, 130.4, 129.0, 128.9, 127.6, 125.8, 121.5, 99.9, 21.2.(E)-3-((E)-4-methylstyryl)thiophene-2-carbaldehyde oxime (trans,syn-18): 87 mg, 34% isolated yield; white powder; m.p. = 151–153 °C; Rf (PE/E (10%)) = 0.40; 1H NMR (CDCl3, 300 MHz) δ/ppm: 8.55 (s, 1H), 7.39 (d, J = 8.0 Hz, 2H), 7.34 (s, 1H), 7.30 (k, 2H), 7.18 (d, J = 6.6 Hz, 3H), 6.98 (d, J = 16.1 Hz, 1H), 2.37 (s, 3H); 13C NMR (CDCl3, 150 MHz) δ/ppm: 144.0, 140.6, 138.2, 134.1, 131.4, 129.8, 129.5, 127.2, 126.5, 125.6, 118.9, 21.3.
- (Z)-3-((E)-4-methylstyryl)thiophene-2-carbaldehyde oxime (trans,anti-18): 43 mg, 13%; Rf (PE/E (10%)) = 0.23; 1H NMR (CDCl3, 300 MHz) δ/ppm: 8.02 (s, 1H), 7.52 (d, J = 5.4 Hz, 1H), 7.42 (d, J = 8.0 Hz, 2H), 7.37 (d, J = 5.4 Hz, 1H), 7.29 (d, J = 8.7 Hz, 1H), 7.19 (d, J = 8.1 Hz, 2H), 7.04 (d, J = 16.1 Hz, 1H), 2.37 (s, 3H).

- (E)-3-((Z)-4-methoxystyryl)thiophene-2-carbaldehyde oxime (cis,syn-19): 7 mg, 6%; Rf (DCM) = 0.55; 1H NMR (CDCl3, 600 MHz) δ/ppm: 8.32 (s, 1H), 7.69 (s, 1H), 7.16 (d, J = 4.3 Hz, 1H), 7.13 (d, J = 8.6 Hz, 2H), 6.81 (d, J = 5.1 Hz, 1H), 6.80 (d, J = 8.8 Hz, 2H), 6.64 (d, J = 11.8 Hz, 1H), 6.45 (d, J = 11.8 Hz, 1H), 3.78 (s, 3H).
- (Z)-3-((Z)-4-methoxystyryl)thiophene-2-carbaldehyde oxime (cis,anti-19): 16 mg, 13%; Rf (DCM) = 0.45; 1H NMR (CDCl3, 600 MHz) δ/ppm: 7.81 (s, 1H), 7.44 (d, J = 5.2 Hz, 1H), 7.08 (d, J = 8.7 Hz, 2H), 6.89 (d, J = 5.2 Hz, 1H), 6.74 (d, J = 8.7 Hz, 2H), 6.69 (d, J = 11.9 Hz, 1H), 6.52 (d, J = 11.9 Hz, 1H), 3.77 (s, 3H).
- (E)-4-((Z)-4-methoxystyryl)thiophene-2-carbaldehyde oxime (cis,syn-19′): 100 mg, 78% isolated yield; white powder; m.p. = 159–160 °C; Rf (DCM) = 0.60; 1H NMR (CDCl3, 600 MHz) δ/ppm: 9.26 (s, 1H), 8.11 (s, 1H), 7.30 (d, J = 1.7 Hz, 1H), 7.23 (d, J = 8.6 Hz, 2H), 6.82 (d, J = 9.2 Hz, 2H), 6.61 (d, J = 12.0 Hz, 1H), 6.39 (d, J = 12.0 Hz, 1H), 6.19 (d, J = 1.8 Hz, 1H), 3.79 (s, 3H); 13C NMR (CDCl3, 75 MHz) δ/ppm: 159.2, 144.7, 143.1, 138.7, 131.4, 129.8, 123.7, 117.3, 113.7, 111.4, 54.3.

- (Z)-3-((Z)-4-chlorostyryl)thiophene-2-carbaldehyde oxime (cis,anti-20): 8 mg, 29%; Rf (PE/E (20%)) = 0.35; 1H NMR (CDCl3, 300 MHz) δ/ppm: 8.29 (s, 1H), 7.21 (d, J = 8.5 Hz, 2H), 7.17 (d, J = 5.3 Hz, 1H), 7.12 (d, J = 8.5 Hz, 2H), 6.74 (d, J = 5.3 Hz, 1H), 6.65 (d, J = 12.1 Hz, 1H), 6.58 (d, J = 12.1 Hz, 1H).
- (E)-3-((E)-4-chlorostyryl)thiophene-2-carbaldehyde oxime (trans,syn-20): 6 mg, 21%; Rf (PE/E (20%)) = 0.62; 1H NMR (CDCl3, 300 MHz) δ/ppm: 8.54 (s, 1H), 7.42 (d, J = 8.5 Hz, 2H), 7.33 (d, J = 8.6 Hz, 2H), 7.30 (s, 2H) 7.22 (d, J = 16.1 Hz, 1H), 6.95 (d, J = 16.1 Hz, 1H); 13C NMR (CDCl3, 150 MHz) δ/ppm: 143.8, 139.9, 135.4, 133.7, 130.0, 129.0, 127.7, 127.4, 125.5, 124.3, 120.5.
- (Z)-3-((E)-4-chlorostyryl)thiophene-2-carbaldehyde oxime (trans,anti-20): 8 mg, 29%; Rf (PE/E (20%)) = 0.27; 1H NMR (CDCl3, 300 MHz) δ/ppm: 7.93 (s, 1H), 7.53 (s, 2H), 7.42–7.38 (m, 2H), 7.35 (d, J = 16.1 Hz, 1H), 7.30 (t, J = 8.4 Hz, 1H), 7.24–7.17 (m, 2H), 6.96 (d, J = 16.1 Hz, 1H).

- 4-((Z)-2-(2-((E)-(hydroxyimino)methyl)thiophen-3-yl)vinyl)benzonitrile (cis,syn-21): 62 mg, 34% isolated yield; yellow powder; m.p. = 169–171 °C; Rf (PE/E (25%)) = 0.58; 1H NMR (CDCl3, 300 MHz) δ/ppm: 8.25 (s, 1H), 7.53 (d, J = 8.3 Hz, 2H), 7.34 (s, 1H), 7.29 (d, J = 8.3 Hz, 2H), 7.20 (d, J = 5.2 Hz, 1H), 6.74–6.66 (m, 3H); 13C NMR (CDCl3, 150 MHz) δ/ppm: 138.6, 136.0, 133.0, 126.9, 126.7, 125.5, 124.2, 123.0, 121.9, 119.9, 113.5, 105.8; MS (ESI) m/z (%, fragment): 255 (100); HRMS (m/z) for C14H10N2OS: [M + H]+calcd = 254.0514, and [M + H]+measured = 254.0512.
- 4-((Z)-2-(2-((Z)-(hydroxyimino)methyl)thiophen-3-yl)vinyl)benzonitrile (cis,anti-21): 52 mg, 27% isolated yield; yellow powder; m.p. = 170–171 °C; Rf (PE/E (25%)) = 0.24; 1H NMR (CDCl3, 300 MHz) δ/ppm: 7.75 (s, 1H), 7.50 (d, J = 8.3 Hz, 2H), 7.47 (d, J = 5.4 Hz, 1H), 7.24 (d, J = 8.3 Hz, 2H), 6.83 (d, J = 12.2 Hz, 1H), 6.79 (d, J = 5.3 Hz, 1H), 6.75 (d, J = 12.2 Hz, 1H); 13C NMR (CDCl3, 150 MHz) δ/ppm: 143.8, 141.1, 139.8, 138.3, 132.1, 130.8, 129.5, 128.3, 127.1, 125.7, 118.7, 111.0.
- 4-((E)-2-(2-((E)-(hydroxyimino)methyl)thiophen-3-yl)vinyl)benzonitrile (trans,syn-21): 11 mg, 5%; Rf (PE/E (25%)) = 0.47; 1H NMR (CDCl3, 300 MHz) δ/ppm: 8.53 (s, 1H), 7.65 (d, J = 8.3 Hz, 2H), 7.57 (d, J = 8.3 Hz, 2H), 7.36–7.35 (m, 4H), 6.98 (d, J = 16.1 Hz, 1H); 13C NMR (CDCl3, 150 MHz) δ/ppm: 148.7, 143.6, 141.4, 132.6, 129.2, 127.6, 126.9, 125.5, 123.4, 121.2, 118.9, 111.1.
- 4-((E)-2-(2-((Z)-(hydroxyimino)methyl)thiophen-3-yl)vinyl)benzonitrile (trans,anti-21): 15 mg, 7%; Rf (PE/E (25%)) = 0.22; 1H NMR (CDCl3, 300 MHz) δ/ppm: 8.05 (s, 1H), 7.72 (d, J = 8.8 Hz, 2H), 7.69 (d, J = 8.8 Hz, 2H), 7.64 (s, 1H), 7.60 (s, 1H), 7.49 (d, J = 16.0 Hz, 1H), 7.46 (d, J = 5.4 Hz, 1H), 7.14 (d, J = 16.0 Hz, 1H).
3.2. Oxime ADME Properties and ChE Docking
3.3. AChE and BChE Activity Assays
3.4. Cytotoxicity Assay
4. Conclusions
Supplementary Materials
Author Contributions
Funding
Institutional Review Board Statement
Informed Consent Statement
Data Availability Statement
Acknowledgments
Conflicts of Interest
References
- Lukey, B.J.; Romano, J.A.J.; Salem, H. Chemical Warfare Agents: Chemistry, Pharmacology, Toxicology, and Therapeutics, 2nd ed.; CRC Press: Boca Roton, FL, USA, 2007. [Google Scholar]
- Timperley, C.M.; Forman, J.E.; Abdollahi, M.; Al-Amri, A.S.; Baulig, A.; Benachour, D.; Borrett, V.; Cariño, F.A.; Geist, M.; Gonzalez, D.; et al. Advice on assistance and protection provided by the Scientific Advisory Board of the Organisation for the Prohibition of Chemical Weapons: Part 1. On medical care and treatment of injuries from nerve agents. Toxicology 2019, 415, 56–69. [Google Scholar] [CrossRef]
- Amend, N.; Niessen, K.V.; Seeger, T.; Wille, T.; Worek, F.; Thiermann, H. Diagnostics and treatment of nerve agent poisoning—Current status and future developments. Ann. N. Y. Acad. Sci. 2020, 1479, 13–28. [Google Scholar] [CrossRef]
- Maček Hrvat, N.; Kovarik, Z. Counteracting poisoning with chemical warfare nerve agents. Arh Hig Rada Toksikol. 2020, 71, 266–284. [Google Scholar] [CrossRef] [PubMed]
- Čadež, T.; Kolić, D.; Šinko, G.; Kovarik, Z. Assessment of four organophosphorus pesticides as inhibitors of human acetylcholinesterase and butyrylcholinesterase. Sci. Rep. 2021, 11, 21486. [Google Scholar] [CrossRef] [PubMed]
- Lorke, D.E.; Petroianu, G.A. Treatment of organophosphate poisoning with experimental oximes: A review. Curr. Org. Chem. 2019, 23, 628–639. [Google Scholar] [CrossRef]
- Kuča, K.; Cabal, J.; Kassa, J. A comparison of the efficacy of a bispyridinium oxime—1,4-bis-(2-hydroxyiminomethylpyridinium) butane dibromide and currently used oximes to reactivate sarin, tabun or cyclosarin-inhibited acetylcholinesterase by in vitro methods. Pharmazie 2004, 59, 795–798. [Google Scholar] [PubMed]
- Thiermann, H.; Worek, F. Pro: Oximes should be used routinely in organophosphate poisoning. Br. J. Clin. Pharmacol. 2022, 88, 5064–5069. [Google Scholar] [CrossRef]
- Sit, R.K.; Radić, Z.; Gerardi, V.; Zhang, L.; Garcia, E.; Katalinić, M.; Amitai, G.; Kovarik, Z.; Fokin, V.V.; Sharpless, K.B.; et al. New structural scaffolds for centrally acting oxime reactivators of phosphylated cholinesterases. J. Biol. Chem. 2011, 286, 19422–19430. [Google Scholar] [CrossRef]
- Musilek, K.; Malinak, D.; Nepovimova, E.; Andrys, R.; Skarka, A.; Kuča, K. Novel cholinesterase reactivators. In Handbook of Toxicology of Chemical Warfare Agents, 3rd ed.; Academic Press: Cambridge, MA, USA, 2020; pp. 1161–1177. [Google Scholar] [CrossRef]
- Belwal, T.; Nabavi, S.M.; Nabavi, S.F.; Dehpour, A.R.; Shirooie, S. Naturally Occurring Chemicals against Alzheimer’s Disease; Academic: Cambridge, MA, USA; Elsevier: London, UK, 2021. [Google Scholar] [CrossRef]
- Anekonda, T.S. Resveratrol-A boon for treating Alzheimer’s disease? Brain Res. Rev. 2006, 52, 316–326. [Google Scholar] [CrossRef]
- Martelli, D.; McKinley, M.J.; McAllen, R.M. The cholinergic anti-inflammatory pathway: A critical review. Auton. Neurosci. Basic Clin. 2014, 182, 65–69. [Google Scholar] [CrossRef]
- Lee, I.; Choe, Y.S.; Choi, J.Y.; Lee, K.H.; Kim, B.T. Synthesis and evaluation of 18F-labeled styryltriazole and resveratrol derivatives for β-amyloid plaque imaging. J. Med. Chem. 2012, 55, 883–892. [Google Scholar] [CrossRef]
- Wang, G.; Peng, Z.; Wang, J.; Li, X.; Li, J. Synthesis, in vitro evaluation and molecular docking studies of novel triazine-triazole derivatives as potential α-glucosidase inhibitors. Eur. J. Med. Chem. 2017, 125, 423–429. [Google Scholar] [CrossRef]
- Carneiro, A.; Matos, M.J.; Uriarte, E.; Santana, L. Trending topics on coumarin and its derivatives in 2020. Molecules 2021, 26, 501. [Google Scholar] [CrossRef]
- Mlakić, M.; Čadež, T.; Barić, D.; Puček, I.; Ratković, A.; Marinić, Ž.; Lasić, K.; Kovarik, Z.; Škorić, I. New uncharged 2-thienostilbene oximes as reactivators of organophosphate-inhibited cholinesterases. Pharmaceuticals 2021, 14, 1147. [Google Scholar] [CrossRef] [PubMed]
- Ratković, A.; Mlakić, M.; Dehaen, W.; Opsomer, T.; Barić, D.; Škorić, I. Synthesis and photochemistry of novel 1,2,3-triazole di-heterostilbenes. An experimental and computational study, Spectrochim. Acta Part A Mol. Biomol. Spectrosc. 2021, 261, 120056. [Google Scholar] [CrossRef] [PubMed]
- Kikaš, I.; Horváth, O.; Škorić, I. Functionalization of the benzobicyclo[3.2.1]octadiene skeleton via photocatalytic and thermal oxygenation of a furan derivative. Tetrahedron Lett. 2011, 52, 6255–6259. [Google Scholar] [CrossRef]
- Ribeiro, T.S.; Prates, A.; Alves, S.R.; Oliveira-Silva, J.J.; Riehl, C.A.S.; Figueroa-Villar, J.D. The effect of neutral oximes on the reactivation of human acetylcholinesterase inhibited with paraoxon. J. Braz. Chem. Soc. 2012, 23, 1216–1225. [Google Scholar] [CrossRef]
- Matošević, A.; Opsenica, D.M.; Spasić, M.; Maraković, N.; Zandona, A.; Žunec, S.; Bartolić, M.; Kovarik, Z.; Bosak, A. Evaluation of 4-aminoquinoline derivatives with an n-octylamino spacer as potential multi-targeting ligands for the treatment of Alzheimer’s disease. Chem. Biol. Interact. 2023, 382, 110620. [Google Scholar] [CrossRef]
- Zorbaz, T.; Mišetić, P.; Probst, N.; Žunec, S.; Zandona, A.; Mendaš, G.; Micek, V.; Hrvat, N.M.; Katalinić, M.; Braïki, A.; et al. Pharmacokinetic evaluation of brain penetrating morpholine-3-hydroxy-2-pyridine oxime as an antidote for nerve agent poisoning. ACS Chem. Neurosci. 2020, 11, 1072–1084. [Google Scholar] [CrossRef]
- Pajouhesh, H.; Lenz, G.R. Medicinal chemical properties of successful central nervous system drugs. NeuroRx 2005, 2, 541–553. [Google Scholar] [CrossRef]
- Lipinski, C.A.; Lombardo, F.; Dominy, B.W.; Feeney, P.J. Experimental and computational approaches to estimate solubility and permeability in drug discovery and development settings. Adv. Drug Deliv. Rev. 1997, 23, 3–25. [Google Scholar] [CrossRef]
- Maček Hrvat, N.; Zorbaz, T.; Šinko, G.; Kovarik, Z. The estimation of oxime efficiency is affected by the experimental design of phosphylated acetylcholinesterase reactivation. Toxicol. Lett. 2018, 293, 222–228. [Google Scholar] [CrossRef] [PubMed]
- Panić, M.; Maček Hrvat, N.; Štokić, M.; Radojčić Redovniković, I.; Kovarik, Z.; Radošević, K. Natural deep eutectic solvents improve the solubility of acetylcholinesterase reactivator RS194B. Sustain. Chem. Pharm. 2022, 27, 100654. [Google Scholar] [CrossRef]
- Zorbaz, T.; Kovarik, Z. Neuropharmacology: Oxime antidotes for organophosphate pesticide and nerve agent poisoning. Period. Biol. 2020, 121–122, 35–54. [Google Scholar] [CrossRef]
- Sit, R.K.; Kovarik, Z.; Hrvat, N.M.; Žunec, S.; Green, C.; Fokin, V.V.; Sharpless, K.B.; Radic, Z.; Taylor, P. Pharmacology; pharmacokinetics, and tissue disposition of zwitterionic hydroxyiminoacetamido alkylamines as reactivating antidotes for organophosphate exposure. J. Pharmacol. Exp. Ther. 2018, 367, 363–372. [Google Scholar] [CrossRef]
- Zorbaz, T.; Braiki, A.; Maraković, N.; Renou, J.; de la Mora, E.; Maček Hrvat, N.; Katalinić, M.; Silman, I.; Sussman, J.L.; Mercey, G.; et al. Potent 3-hydroxy-2-pyridine aldoxime reactivators of organophosphate-inhibited cholinesterases with predicted blood–brain barrier penetration. Chem. A Eur. J. 2018, 24, 9675–9691. [Google Scholar] [CrossRef] [PubMed]
- Zorbaz, T.; Malinak, D.; Maraković, N.; Maček Hrvat, N.; Zandona, A.; Novotny, M.; Skarka, A.; Andrys, R.; Benkova, M.; Soukup, O.; et al. Pyridinium oximes with ortho-positioned chlorine moiety exhibit improved physicochemical properties and efficient reactivation of human acetylcholinesterase inhibited by several nerve agents. J. Med. Chem. 2018, 61, 10753–10766. [Google Scholar] [CrossRef] [PubMed]
- Zandona, A.; Maraković, N.; Mišetić, P.; Madunić, J.; Miš, K.; Padovan, J.; Pirkmajer, S.; Katalinić, M. Activation of (un)regulated cell death as a new perspective for bispyridinium and imidazolium oximes. Arch. Toxicol. 2021, 95, 2737–2754. [Google Scholar] [CrossRef]
- Zandona, A.; Madunić, J.; Miš, K.; Maraković, N.; Dubois-Geoffroy, P.; Cavaco, M.; Mišetić, P.; Padovan, J.; Castanho, M.; Jean, L.; et al. Biological response and cell death signaling pathways modulated by tetrahydroisoquinoline-based aldoximes in human cells. Toxicology 2023, 494, 153588. [Google Scholar] [CrossRef]
- Giacobini, E. Butyrylcholinesterase: Its Function and Inhibitors, 1st ed.; Martin Dunitz: London, UK; Taylor & Francis Group PLC: London, UK, 2003. [Google Scholar]
- Giacobini, E.; Pepeu, G. The Brain Cholinergic System; CRC Press: London, UK, 2006. [Google Scholar] [CrossRef]
- Greig, N.H.; Utsuki, T.; Ingram, D.K.; Wang, Y.; Pepeu, G.; Scali, C.; Yu, Q.S.; Mamczarz, J.; Holloway, H.W.; Giordano, T.; et al. Selective butyrylcholinesterase inhibition elevates brain acetylcholine, augments learning and lowers Alzheimer β-amyloid peptide in rodent. Proc. Natl. Acad. Sci. USA 2005, 102, 17213–17218. [Google Scholar] [CrossRef]
- Chen, K.; Jiang, X.; Wu, M.; Cao, X.; Bao, W.; Zhu, L.Q. Ferroptosis, a potential therapeutic target in Alzheimer’s disease. Front. Cell Dev. Biol. 2021, 9, 704298. [Google Scholar] [CrossRef]
- Katalinić, M.; Zandona, A.; Ramić, A.; Zorbaz, T.; Primožič, I.; Kovarik, Z. New cinchona oximes evaluated as reactivators of acetylcholinesterase and butyrylcholinesterase inhibited by organophosphorus compounds. Molecules 2017, 22, 1234. [Google Scholar] [CrossRef] [PubMed]
- Kovarik, Z.; Ciban, N.; Radić, Z.; Simeon-Rudolf, V.; Taylor, P. Active site mutant acetylcholinesterase interactions with 2-PAM, HI-6, and DDVP. Biochem. Biophys. Res. Commun. 2006, 342, 973–978. [Google Scholar] [CrossRef] [PubMed]
- Sokač, D.G.; Zandona, A.; Roca, S.; Vikić-Topić, D.; Lihtar, G.; Maraković, N.; Bušić, V.; Kovarik, Z.; Katalinić, M. Potential of vitamin B6 dioxime analogues to act as cholinesterase ligands. Int. J. Mol. Sci. 2022, 23, 13388. [Google Scholar] [CrossRef] [PubMed]
- Mlakić, M.; Odak, I.; Barić, D.; Talić, S.; Šagud, I.; Štefanić, Z.; Molčanov, K.; Lasić, Z.; Kovačević, B.; Škorić, I. New resveratrol analogs as improved biologically active structures: Design, synthesis and computational modeling. Bioorg. Chem. 2024, 143, 106965. [Google Scholar] [CrossRef] [PubMed]
- Šinko, G. Assessment of scoring functions and in silico parameters for AChE-ligand interactions as a tool for predicting inhibition potency. Chem. Biol. Interact. 2019, 308, 216–223. [Google Scholar] [CrossRef] [PubMed]
- Maraković, N.; Knežević, A.; Rončević, I.; Brazzolotto, X.; Kovarik, Z.; Šinko, G. Enantioseparation, in vitro testing, and structural characterization of triple-binding reactivators of organophosphate-inhibited cholinesterases. Biochem. J. 2020, 477, 2771–2790. [Google Scholar] [CrossRef] [PubMed]
- Rosenberry, T.L.; Brazzolotto, X.; MacDonald, I.R.; Wandhammer, M.; Trovaslet-Leroy, M.; Darvesh, S.; Nachon, F. Comparison of the binding of reversible inhibitors to human butyrylcholinesterase and acetylcholinesterase: A crystallographic, kinetic and calorimetric study. Molecules 2017, 22, 2098. [Google Scholar] [CrossRef] [PubMed]
- Ngamelue, M.N.; Homma, K.; Lockridge, O.; Asojo, O.A. Crystallization and X-ray structure of full-length recombinant human butyrylcholinesterase. Acta Crystallogr. Sect. F Struct. Biol. Cryst. Commun. 2007, 63, 723–727. [Google Scholar] [CrossRef]
- Kovarik, Z.; Moshitzky, G.; Maček Hrvat, N.; Soreq, H. Recent advances in cholinergic mechanisms as reactions to toxicity, stress, and neuroimmune insults. J. Neurochem. 2024, 168, 355–369. [Google Scholar] [CrossRef]
- de Koning, M.C.; van Grol, M.; Noort, D. Peripheral site ligand conjugation to a non-quaternary oxime enhances reactivation of nerve agent-inhibited human acetylcholinesterase. Toxicol. Lett. 2011, 206, 54–59. [Google Scholar] [CrossRef] [PubMed]
- Mercey, G.; Verdelet, T.; Saint-André, G.; Gillon, E.; Wagner, A.; Baati, R.; Jean, L.; Nachon, F.; Renard, P.Y. First efficient uncharged reactivators for the dephosphylation of poisoned human acetylcholinesterase. Chem. Commun. 2011, 47, 5295–5297. [Google Scholar] [CrossRef] [PubMed]
- Mercey, G.; Verdelet, T.; Renou, J.; Kliachyna, M.; Baati, R.; Nachon, F.; Jean, L.; Renard, P.Y. Reactivators of acetylcholinesterase inhibited by organophosphorus nerve agents. Acc. Chem. Res. 2012, 45, 756–766. [Google Scholar] [CrossRef] [PubMed]
- Radić, Z.; Sit, R.K.; Garcia, E.; Zhang, L.; Berend, S.; Kovarik, Z.; Amitai, G.; Fokin, V.V.; Sharpless, K.B.; Taylor, P. Mechanism of interaction of novel uncharged, centrally active reactivators with OP-hAChE conjugates. Chem. Biol. Interact. 2013, 203, 67–71. [Google Scholar] [CrossRef] [PubMed]
- Renou, J.; Dias, J.; Mercey, G.; Verdelet, T.; Rousseau, C.; Gastellier, A.J.; Arboléas, M.; Touvrey-Loiodice, M.; Baati, R.; Jean, L.; et al. Synthesis and in vitro evaluation of donepezil-based reactivators and analogues for nerve agent-inhibited human acetylcholinesterase. RSC Adv. 2016, 6, 17929–17940. [Google Scholar] [CrossRef]
- Renou, J.; Loiodice, M.; Arboléas, M.; Baati, R.; Jean, L.; Nachon, F.; Renard, P.Y. Tryptoline-3-hydroxypyridinaldoxime conjugates as efficient reactivators of phosphylated human acetyl and butyrylcholinesterases. Chem. Commun. 2014, 50, 3947–3950. [Google Scholar] [CrossRef] [PubMed]
- Renou, J.; Mercey, G.; Verdelet, T.; Pǎunescu, E.; Gillon, E.; Arboléas, M.; Loiodice, M.; Kliachyna, M.; Baati, R.; Nachon, F.; et al. Syntheses and in vitro evaluations of uncharged reactivators for human acetylcholinesterase inhibited by organophosphorus nerve agents. Chem. Biol. Interact. 2013, 203, 81–84. [Google Scholar] [CrossRef] [PubMed]
- Sit, R.K.; Fokin, V.V.; Amitai, G.; Sharpless, K.B.; Taylor, P.; Radić, Z. Imidazole aldoximes effective in assisting butyrylcholinesterase catalysis of organophosphate detoxification. J. Med. Chem. 2014, 57, 1378–1389. [Google Scholar] [CrossRef]
- Radić, Z.; Sit, R.K.; Kovarik, Z.; Berend, S.; Garcia, E.; Zhang, L.; Amitai, G.; Green, C.; Radić, B.; Fokin, V.V.; et al. Refinement of structural leads for centrally acting oxime reactivators of phosphylated cholinesterases. J. Biol. Chem. 2012, 287, 11798–11809. [Google Scholar] [CrossRef]
- Kalisiak, J.; Ralph, E.C.; Cashman, J.R. Nonquaternary reactivators for organophosphate-inhibited cholinesterases. J. Med. Chem. 2012, 55, 465–474. [Google Scholar] [CrossRef]
- Kalisiak, J.; Ralph, E.C.; Zhang, J.; Cashman, J.R. Amidine-Oximes: Reactivators for organophosphate exposure. J. Med. Chem. 2011, 54, 3319–3330. [Google Scholar] [CrossRef] [PubMed]
- Kovarik, Z.; Maček, N.; Sit, R.K.; Radić, Z.; Fokin, V.V.; Sharpless, K.B.; Taylor, P. Centrally acting oximes in reactivation of tabun-phosphoramidated AChE. Chem. Biol. Interact. 2013, 203, 77–80. [Google Scholar] [CrossRef]
- Šinko, G. Modeling of a near-attack conformation of oxime in phosphorylated acetylcholinesterase via a reactivation product, a phosphorylated oxime. Chem. Biol. Interact. 2023, 383, 110656. [Google Scholar] [CrossRef]
- Chalupova, K.; Korabecny, J.; Bartolini, M.; Monti, B.; Lamba, D.; Caliandro, R.; Pesaresi, A.; Brazzolotto, X.; Gastellier, A.J.; Nachon, F.; et al. Novel tacrine-tryptophan hybrids: Multi-target directed ligands as potential treatment for Alzheimer’s disease. Eur. J. Med. Chem. 2019, 168, 491–514. [Google Scholar] [CrossRef]
- Carletti, E.; Li, H.; Li, B.; Ekström, F.; Nicolet, Y.; Loiodice, M.; Gillon, E.; Froment, M.T.; Lockridge, O.; Schopfer, L.M.; et al. Aging of cholinesterases phosphylated by tabun proceeds through O-dealkylation. J. Am. Chem. Soc. 2008, 130, 16011–16020. [Google Scholar] [CrossRef] [PubMed]
- Matošević, A.; Knežević, A.; Zandona, A.; Maraković, N.; Kovarik, Z.; Bosak, A. Design, synthesis and biological evaluation of biscarbamates as potential selective butyrylcholinesterase inhibitors for the treatment of Alzheimer’s disease. Pharmaceuticals 2022, 15, 1220. [Google Scholar] [CrossRef]
- Mlakić, M.; Odak, I.; Faraho, I.; Talić, S.; Bosnar, M.; Lasić, K.; Barić, D.; Škorić, I. New naphtho/thienobenzo-triazoles with interconnected anti-inflammatory and cholinesterase inhibitory activity. Eur. J. Med. Chem. 2022, 241, 114616. [Google Scholar] [CrossRef]
- Brooks, B.R.; Bruccoleri, R.E.; Olafson, B.D.; States, D.J.; Swaminathan, S.; Karplus, M. CHARMM: A program for macromolecular energy, minimization, and dynamics calculations. J. Comp. Chem. 1983, 4, 187–217. [Google Scholar] [CrossRef]
- Wu, G.; Robertson, D.H.; Brooks, C.L.; Vieth, M. Detailed analysis of grid-based molecular docking: A case study of CDOCKER—A CHARMm-based MD docking algorithm. J. Comput. Chem. 2003, 24, 1549–1562. [Google Scholar] [CrossRef]
- Miličević, A.; Šinko, G. Evaluation of the key structural features of various butyrylcholinesterase inhibitors using simple molecular descriptors. Molecules 2022, 27, 6894. [Google Scholar] [CrossRef]
- Dym, O.; Unger, T.; Toker, L.; Silman, I.; Sussman, J.; Israel Structural Proteomics Center (ISPC). Crystal Structure of Human Acetylcholinesterase. 2015. Available online: https://www.wwpdb.org/pdb?id=pdb_00004pqe (accessed on 4 February 2022).
- Ellman, G.L.; Courtney, K.D.; Andres, V.; Featherstone, R.M. A new and rapid colorimetric determination of acetylcholinesterase activity. Biochem. Pharmacol. 1961, 7, 88–95. [Google Scholar] [CrossRef] [PubMed]
- Kovarik, Z.; Radić, Z.; Berman, H.A.; Simeon-Rudolf, V.; Reiner, E.; Taylor, P. Mutant cholinesterases possessing enhanced capacity for reactivation of their phosphonylated conjugates. Biochemistry 2004, 43, 3222–3229. [Google Scholar] [CrossRef] [PubMed]











| Oxime | IC50/μM |
|---|---|
| HepG2 | |
| 1 a | >400 |
| 2 a | >400 |
| 3 a | >400 |
| trans,anti-4 | 191 ± 21 |
| cis,syn-5 | ≥400 |
| trans,anti-6 | ≥400 |
| trans-7 a | >400 |
| trans-8 a | >400 |
| trans,syn-9 | >400 |
| trans,syn-10 | 105 ± 4 |
| trans,anti-10 | >400 |
| cis,syn-12 | 226 ± 10 |
| 13 a | >400 |
| cis,syn-14 | 182 ± 32 |
| trans,syn-14 | >400 |
| trans,anti-15 | >400 |
| cis,syn-16 | 65 ± 13 |
| trans,syn-16 | >400 |
| cis,syn-17 | 120 ± 6 |
| trans,syn-17 | >400 |
| cis,syn-18 | 269 ± 38 |
| cis,anti-18 | >400 |
| trans,syn-18 | >400 |
| cis,syn-19′ | >400 |
| cis,syn-21 | 118 ± 46 |
| cis,anti-21 | 182 ± 13 |
| Oxime | Ki/μM | |
|---|---|---|
| AChE | BChE | |
| 1 a | 271 ± 29 | 503 ± 32 |
| 2 a | 267 ± 92 | 24 ± 2.9 |
| 3 a | 280 ± 30 | 303 ± 66 |
| trans,anti-4 | 258 ± 90 | 6.5 ± 0.5 |
| cis,syn-5 | 112 ± 21 | 17 ± 2.0 |
| trans,anti-6 | nd b | 123 ± 23 |
| trans-7 a | 147 ± 43 | 49 ± 11 |
| trans-8 a | 199 ± 38 | 143 ± 22 |
| trans,syn-9 | 172 ± 29 | 303 ± 65 |
| trans,syn-10 | 111 ± 45 | 38 ± 9.8 |
| trans,anti-10 | 180 ± 40 | nd |
| cis,syn-12 | 68 ± 37 | 147 ± 37 |
| trans-13 a | nd | nd |
| cis,syn-14 | 627 ± 245 | 93 ± 30 |
| trans,syn-14 | nd | 122 ± 47 |
| trans,anti-15 | nd | nd |
| cis,syn-16 | nd | 119 ± 44 |
| trans,syn-16 | 217 ± 160 | nd |
| cis,syn-17 | 544 ± 105 | nd |
| trans,syn-17 | 66 ± 24 | nd |
| cis,syn-18 | nd | 86 ± 32 |
| cis,anti-18 | nd | 760 ± 122 |
| trans,syn-18 | 59 ± 39 | nd |
| cis,syn-19′ | nd | nd |
| cis,syn-21 | 171 ± 68 | 59 ± 8.0 |
| cis,anti-21 | 187 ± 54 | 53 ± 10 |
| tacrine c | 0.040 ± 0.006 | 0.0063 ± 0.0010 |
| Oxime | k2/min−1 | KOX/µM | kr/M−1 min−1 | Reactmax/% | t/min |
|---|---|---|---|---|---|
| trans,anti-4 | - a | - | 592 ± 79 | 50 | 50 |
| cis,syn-5 | 0.11 ± 0.02 | 105.2 ± 47.3 | 1082 ± 270 | 70 | 60 |
| trans,syn-10 | - | - | 240 ± 14 | 70 | 140 |
| cis,syn-16 | - | - | 424 ± 39 | 80 | 105 |
| HI-6 b | - | - | 780 ± 30 | 90 | 30 |
Disclaimer/Publisher’s Note: The statements, opinions and data contained in all publications are solely those of the individual author(s) and contributor(s) and not of MDPI and/or the editor(s). MDPI and/or the editor(s) disclaim responsibility for any injury to people or property resulting from any ideas, methods, instructions or products referred to in the content. |
© 2024 by the authors. Licensee MDPI, Basel, Switzerland. This article is an open access article distributed under the terms and conditions of the Creative Commons Attribution (CC BY) license (https://creativecommons.org/licenses/by/4.0/).
Share and Cite
Mlakić, M.; Čadež, T.; Šinko, G.; Škorić, I.; Kovarik, Z. New Heterostilbene and Triazole Oximes as Potential CNS-Active and Cholinesterase-Targeted Therapeutics. Biomolecules 2024, 14, 679. https://doi.org/10.3390/biom14060679
Mlakić M, Čadež T, Šinko G, Škorić I, Kovarik Z. New Heterostilbene and Triazole Oximes as Potential CNS-Active and Cholinesterase-Targeted Therapeutics. Biomolecules. 2024; 14(6):679. https://doi.org/10.3390/biom14060679
Chicago/Turabian StyleMlakić, Milena, Tena Čadež, Goran Šinko, Irena Škorić, and Zrinka Kovarik. 2024. "New Heterostilbene and Triazole Oximes as Potential CNS-Active and Cholinesterase-Targeted Therapeutics" Biomolecules 14, no. 6: 679. https://doi.org/10.3390/biom14060679
APA StyleMlakić, M., Čadež, T., Šinko, G., Škorić, I., & Kovarik, Z. (2024). New Heterostilbene and Triazole Oximes as Potential CNS-Active and Cholinesterase-Targeted Therapeutics. Biomolecules, 14(6), 679. https://doi.org/10.3390/biom14060679

