Antibacterial and Antifungal Sesquiterpenoids: Chemistry, Resource, and Activity
Abstract
:1. Introduction
2. Sesquiterpenoids Types
2.1. Bisabolanes
2.2. Guaianes
2.3. Eudesmanes
2.4. Eremophilanes
2.5. Carotanes
2.6. Lindenanes
2.7. Germacranes
2.8. Cadinanes
2.9. Farnesanes
2.10. Chamigranes
2.11. Pseudoguaiane
2.12. Drimanes
2.13. Aromadendrane
2.14. Cuparanes
2.15. Daucanes
2.16. Illudalanes
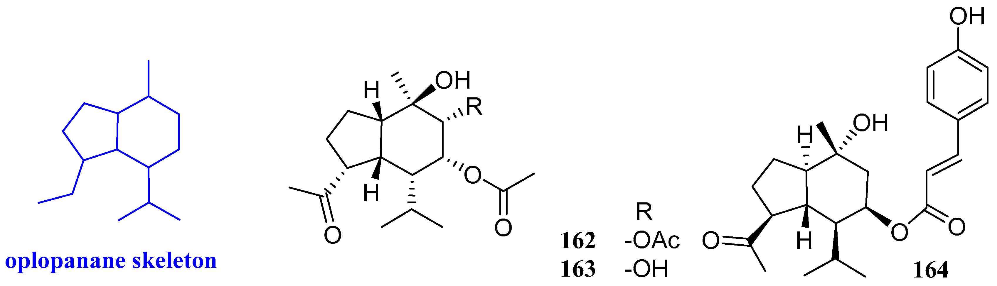
2.17. Oplopananes
2.18. Picrotoxanes
2.19. Rhodolauranes
2.20. Others
3. Mechanisms of Antimicrobial Action by Sesquiterpenoids
4. Structure-Activity Relationship
5. Discussion
6. Conclusions
Supplementary Materials
Author Contributions
Funding
Conflicts of Interest
References
- Santajit, S.; Indrawattana, N. Mechanisms of Antimicrobial Resistance in ESKAPE Pathogens. Biomed. Res. Int. 2016, 2016, 2475067. [Google Scholar] [CrossRef] [PubMed]
- Thompson, T. The Staggering Death Toll of Drug-Resistant Bacteria. Nature 2022. [Google Scholar] [CrossRef] [PubMed]
- Bongomin, F.; Gago, S.; Oladele, R.O.; Denning, D.W. Global and Multi-National Prevalence of Fungal Diseases-Estimate Precision. J. Fungi 2017, 3, 57. [Google Scholar] [CrossRef]
- Rani, A.; Saini, K.C.; Bast, F.; Varjani, S.; Mehariya, S.; Bhatia, S.K.; Sharma, N.; Funk, C. A Review on Microbial Products and Their Perspective Application as Antimicrobial Agents. Biomolecules 2021, 10, 1860. [Google Scholar] [CrossRef]
- Martelli, G.; Giacomini, D. Antibacterial and Antioxidant Activities for Natural and Synthetic Dual-Active Compounds. Eur. J. Med. Chem. 2018, 5, 158. [Google Scholar] [CrossRef]
- Newman, D.J.; Cragg, G.M. Natural Products as Sources of New Drugs over the Nearly Four Decades from 01/1981 to 09/2019. J. Nat. Prod. 2020, 83, 770–803. [Google Scholar] [CrossRef]
- White, N.J.; Hien, T.T.; Nosten, F.H. A Brief History of Qinghaosu. Trends. Parasitol. 2015, 31, 607–610. [Google Scholar] [CrossRef]
- White, N.J. Qinghaosu (Artemisinin): The Price of Success. Science 2008, 320, 330–334. [Google Scholar] [CrossRef]
- Birladeanu, L. The Stories of Santonin and Santonic Acid. Angew. Chem. Int. Ed. Engl. 2003, 42, 1202–1208. [Google Scholar] [CrossRef]
- Zhang, H.B.; Liu, C.S.; Zheng, Q. Development and Application of Anthelminthic Drugs in China. Acta. Trop. 2019, 200, 105181. [Google Scholar] [CrossRef]
- Freund, R.R.; Gobrecht, P.; Fischer, D.; Arndt, H.D. Advances in Chemistry and Bioactivity of Parthenolide. Nat. Prod. Rep. 2020, 37, 541–565. [Google Scholar] [CrossRef]
- Liu, X.; Bian, L.; Duan, X.; Zhuang, X.; Sui, Y.; Yang, L. Alantolactone: A Sesquiterpene Lactone with Diverse Pharmacological Effects. Chem. Biol. Drug Des. 2021, 98, 1131–1145. [Google Scholar] [CrossRef] [PubMed]
- Lu, J.; Xie, L.; Liu, K.; Zhang, X.; Wang, X.; Dai, X.; Liang, Y.D.; Cao, Y.; Li, X.F. Bilobalide: A Review of its Pharmacology, Pharmacokinetics, Toxicity, and Safety. Phytother. Res. 2021, 35, 6114–6130. [Google Scholar] [CrossRef] [PubMed]
- Zhiping, P.; Dianshi, W.; Jiandong, H.; Changgeng, Z.; Ajing, W.; Jishuo, L. The Effect of Coriaria Lactone on NMDA Receptor Mediated Currents in Rat Hippocampal CA1 Neurons. J. Tongji Med. Univ. 2000, 20, 6–9. [Google Scholar] [CrossRef] [PubMed]
- Singh, R.D.; Mody, S.K.; Patel, H.B.; Devi, S.; Sarvaiya, V.N.; Patel, H.A.; Patel, B.R. Antimicrobial Drug Discovery: Evident Shifting from Terrestrial to Marine Micro-organisms. Int. J. Curr. Microbiol. Appl. Sci. 2017, 6, 2322–2327. [Google Scholar] [CrossRef]
- Delmondes, G.A.; Santiago Lemos, I.C.; Dias, D.Q.; Cunha, G.L.D.; Araújo, I.M.; Barbosa, R.; Coutinho, H.D.M.; Felipe, C.F.B.; Barbosa-Filho, J.M.; Lima, N.T.R.; et al. Pharmacological Applications of Farnesol (C15H26O): A Patent Review. Expert. Opin. Ther. Pat. 2020, 30, 227–234. [Google Scholar] [CrossRef]
- Hu, Z.B.; Yu, X.Q.; Wang, B.; Liu, A.H.; Zhao, T.S.; Guo, Y.W.; Huang, H.L.; Mao, S.C. Structurally Diverse Halosesquiterpenoids from the Red Alga Laurencia Composita Yamada. Fitoterapia 2020, 146, 104716. [Google Scholar] [CrossRef] [PubMed]
- Cheng, T.; Chepkirui, C.; Decock, C.; Matasyoh, J.C.; Stadler, M. Sesquiterpenes from an Eastern African Medicinal Mushroom Belonging to the Genus Sanghuangporus. J. Nat. Prod. 2019, 82, 1283–1291. [Google Scholar] [CrossRef]
- Wang, P.; Yu, J.H.; Zhu, K.; Wang, Y.; Cheng, Z.Q.; Jiang, C.S.; Dai, J.G.; Wu, J.; Zhang, H. Phenolic Bisabolane Sesquiterpenoids from a Thai Mangrove Endophytic Fungus, Aspergillus sp. xy02. Fitoterapia 2018, 127, 322–327. [Google Scholar] [CrossRef]
- Qu, H.R.; Yang, W.W.; Zhang, X.Q.; Lu, Z.H.; Deng, S.H.; Guo, Z.Y.; Cao, F.; Zou, K.; Peter, P. Antibacterial Bisabolane Sesquiterpenoids and Isocoumarin Derivatives from the Endophytic Fungus Phomopsis Prunorum. Phytochem. Lett. 2020, 37, 1–4. [Google Scholar] [CrossRef]
- Rodrigues, F.F.G.; Colares, A.V.; Nonato, C.F.A.; Galvão-Rodrigues, F.F.; Mota, M.L.; Moraes Braga, M.F.B.; Costa, J.G.M.D. In Vitro Antimicrobial Activity of the Essential Oil from Vanillosmopsis Arborea Barker (Asteraceae) and its Major Constituent, α-Bisabolol. Microb. Pathog. 2018, 125, 144–149. [Google Scholar] [CrossRef]
- Chaudhary, A.; Sood, S.; Kaur, P.; Kumar, N.; Thakur, A.; Gulati, A.; Singh, B. Antifungal Sesquiterpenes from Cedrus Deodara. Planta Med. 2012, 78, 186–188. [Google Scholar] [CrossRef] [PubMed]
- Ding, Y.H.; Wang, H.T.; Shi, S.; Meng, Y.; Feng, J.C.; Wu, H.B. Sesquiterpenoids from Artemisia Vestita and Their Antifeedant and Antifungal Activities. Molecules 2019, 24, 3671. [Google Scholar] [CrossRef] [PubMed]
- Perveen, S.; Alqahtani, J.; Orfali, R.; Aati, H.Y.; Al-Taweel, A.M.; Ibrahim, T.A.; Khan, A.; Yusufoglu, H.S.; Abdel-Kader, M.S.; Taglialatela-Scafati, O. Antibacterial and Antifungal Sesquiterpenoids from Aerial Parts of Anvillea Garcinii. Molecules 2020, 25, 1730. [Google Scholar] [CrossRef] [PubMed]
- Shakeri, A.; Masullo, M.; Bottone, A.; Asili, J.; Emami, S.A.; Piacente, S.; Iranshahi, M. Sesquiterpene Lactones from Centaurea Rhizantha, C.A. Meyer. Nat. Prod. Res. 2019, 33, 2016–2023. [Google Scholar] [CrossRef]
- Kudumela, R.G.; Mazimba, O.; Masoko, P. Isolation and Characterisation of Sesquiterpene Lactones from Schkuhria Pinnata and Their Antibacterial and Anti-inflammatory Activities. S. Afr. J. Bot. 2019, 126, 340–344. [Google Scholar] [CrossRef]
- Cimmino, A.; Roscetto, E.; Masi, M.; Tuzi, A.; Radjai, I.; Gahdab, C.; Paolillo, R.; Guarino, A.; Catania, M.R.; Evidente, A. Sesquiterpene Lactones from Cotula Cinerea with Antibiotic Activity against Clinical Isolates of Enterococcus Faecalis. Antibiotics 2021, 10, 819. [Google Scholar] [CrossRef]
- Liu, F.; Liu, C.; Liu, W.; Ding, Z.; Ma, H.; Seeram, N.P.; Xu, L.; Mu, Y.; Huang, X.; Li, L. New Sesquiterpenoids from Eugenia Jambolana Seeds and Their Anti-microbial Activities. J. Agric. Food Chem. 2017, 65, 10214–10222. [Google Scholar] [CrossRef]
- Huang, H.F.; Zheng, C.J.; Chen, G.Y.; Yin, W.Q.; Huang, X.; Mo, Z.R. Sesquiterpenoids from Curcuma Wenyujin Dreg and Their Biological Activities. Chin. Chem. Lett. 2016, 27, 1612–1616. [Google Scholar] [CrossRef]
- Guoruoluo, Y.; Zhou, H.; Zhou, J.; Zhao, H.; Aisa, H.A.; Yao, G. Isolation and Characterization of Sesquiterpenoids from Cassia Buds and Their Antimicrobial Activities. J. Agric. Food Chem. 2017, 65, 5614–5619. [Google Scholar] [CrossRef]
- Ma, Q.; Han, L.; Bi, X.; Wang, X.; Mu, Y.; Guan, P.; Li, L.; Huang, X. Structures and Biological Activities of the Triterpenoids and Sesquiterpenoids from Alisma Orientale. Phytochemistry 2016, 131, 150–157. [Google Scholar] [CrossRef] [PubMed]
- AO, W.L.J.; Wang, Q.H.; Qin, S.; Dan, M.; Sa, R.T.Y.; Dai, N.Y.T.; Tub, D.R.S.H.L. The Structural Elucidation and Antimicrobial Activities of Two New Sesquiterpenes from Syringa Pinnatifolia Hemsl. Chin. J. Nat. Med. 2012, 10, 477–480. [Google Scholar] [CrossRef]
- Xie, C.; Sun, L.; Meng, L.; Wang, M.; Xu, J.; Bartlam, M.; Guo, Y. Sesquiterpenes from Carpesium Macrocephalum Inhibit Candida Albicans Biofilm Formation and Dimorphism. Bioorg. Med. Chem. Lett. 2015, 25, 5409–5411. [Google Scholar] [CrossRef]
- Huang, R.; Xie, X.S.; Fang, X.W.; Ma, K.X.; Wu, S.H. Five New Guaiane Sesquiterpenes from the Endophytic Fungus Xylaria sp. YM 311647 of Azadirachta Indica. Chem. Biodivers. 2015, 12, 1281–1286. [Google Scholar] [CrossRef] [PubMed]
- Wang, M.; Zhao, L.; Chen, K.; Shang, Y.; Wu, J.; Guo, X.; Chen, Y.; Liu, H.; Tan, H.; Qiu, S.X. Antibacterial Sesquiterpenes from the Stems and Roots of Thuja Sutchuenensis. Bioorg. Chem. 2020, 96, 103645. [Google Scholar] [CrossRef] [PubMed]
- Bawakid, N.O.; Alarif, W.M.; Alorfi, H.S.; Al-Footy, K.O.; Alburae, N.A.; Ghandourah, M.A.; Al-Lihaibi, S.S.; Abdul-hameed, Z.H. Antimicrobial Sesquiterpenoids from Laurencia Obtusa Lamouroux. Open Chem. 2017, 15, 219–224. [Google Scholar] [CrossRef]
- Zhang, W.; Lu, X.; Huo, L.; Zhang, S.; Chen, Y.; Zou, Z.; Tan, H. Sesquiterpenes and Steroids from an Endophytic Eutypella Scoparia. J. Nat. Prod. 2021, 84, 1715–1724. [Google Scholar] [CrossRef]
- Mohamed, T.A.; Hegazy, M.F.; Aty, A.A.; Ghabbour, H.A.; Alsaid, M.S.; Shahat, A.A.; Paré, P.W. Antimicrobial Sesquiterpene Lactones from Artemisia Sieberi. J. Asian Nat. Prod. Res. 2017, 19, 1093–1101. [Google Scholar] [CrossRef]
- Li, W.; Cai, C.H.; Guo, Z.K.; Wang, H.; Zuo, W.J.; Dong, W.H.; Mei, W.L.; Dai, H.F. Five New Eudesmane-Type Sesquiterpenoids from Chinese Agarwood Induced by Artificial Holing. Fitoterapia 2015, 100, 44–49. [Google Scholar] [CrossRef]
- Liu, Y.H.; Wu, P.Q.; Hu, Q.L.; Pei, Y.J.; Qi, F.M.; Zhang, Z.X.; Fei, D.Q. Cytotoxic and Antibacterial Activities of Iridoids and Sesquiterpenoids from Valeriana Jatamansi. Fitoterapia 2017, 123, 73–78. [Google Scholar] [CrossRef]
- Li, X.H.; Yan, H.; Ni, W.; Qin, X.J.; Zhao, Q.; Ji, Z.Q.; Liu, H.Y. Antifungal Sesquiterpenoids from Chloranthus Japonicus. Phytochem. Lett. 2016, 15, 199–203. [Google Scholar] [CrossRef]
- Wu, L.; Liao, Z.; Liu, C.; Jia, H.; Sun, J. Eremophilane Sesquiterpenes from the Genus Ligularia. Chem. Biodivers. 2016, 13, 645–671. [Google Scholar] [CrossRef]
- Chen, H.Y.; Liu, T.K.; Shi, Q.; Yang, X.L. Sesquiterpenoids and Diterpenes with Antimicrobial Activity from Leptosphaeria sp. XL026, an Endophytic Fungus in Panax Notoginseng. Fitoterapia 2019, 137, 104243. [Google Scholar] [CrossRef] [PubMed]
- Yamaguchi, T. Antibacterial properties of Nootkatone against Gram-Positive Bacteria. Nat. Prod. Commun. 2019, 14, 1–5. [Google Scholar] [CrossRef]
- Deshmukh, S.K.; Dufossé, L.; Chhipa, H.; Saxena, S.; Mahajan, G.B.; Gupta, M.K. Fungal Endophytes: A Potential Source of Antibacterial Compounds. J. Fungi 2022, 8, 164. [Google Scholar] [CrossRef] [PubMed]
- Wang, A.; Yin, R.; Zhou, Z.; Gu, G.; Dai, J.; Lai, D.; Zhou, L. Eremophilane-type Sesquiterpenoids from the Endophytic Fungus Rhizopycnis Vagum and Their Antibacterial, Cytotoxic, and Phytotoxic Activities. Front. Chem. 2020, 8, 596889. [Google Scholar] [CrossRef]
- Khan, B.; Zhao, S.; Wang, Z.; Ye, Y.; Ahmed, R.N.; Yan, W. Eremophilane Sesquiterpenes and Benzene Derivatives from the Endophyte Microdiplodia sp. WGHS5. Chem. Biodivers. 2021, 18, 2000949. [Google Scholar] [CrossRef]
- Li, W.; Liao, G.; Dong, W.H.; Kong, F.D.; Wang, P.; Wang, H.; Mei, W.L.; Dai, H.F. Sesquiterpenoids from Chinese Agarwood Induced by Artificial Holing. Molecules 2016, 21, 274. [Google Scholar] [CrossRef]
- Shiono, Y.; Koyama, H.; Murayama, T.; Koseki, T. New Sesquiterpenes from the Endophyte Microdiplodia sp. TT-12 and Their Antimicrobial Activity. Phytochem. Lett. 2015, 14, 143–147. [Google Scholar] [CrossRef]
- Shi, X.S.; Song, Y.P.; Meng, L.H.; Yang, S.Q.; Wang, D.J.; Zhou, X.W.; Ji, N.Y.; Wang, B.G.; Li, X.M. Isolation and Characterization of Antibacterial Carotane Sesquiterpenes from Artemisia Argyi Associated Endophytic Trichoderma Virens QA-8. Antibiotics 2021, 10, 213. [Google Scholar] [CrossRef]
- Yang, X.; Wang, C.; Yang, J.; Wan, D.; Lin, Q.; Yang, G.; Feng, Y. Antimicrobial Sesquiterpenes from the Chinese Medicinal Plant, Chloranthus Angustifolius. Tetrahedron. Lett. 2014, 55, 5632–5634. [Google Scholar] [CrossRef]
- Xu, S.; Zhao, X.; Liu, F.; Cao, Y.; Wang, B.; Wang, X.; Yin, M.; Wang, Q.; Feng, X. Crucial Role of Oxidative Stress in Bactericidal Effect of Parthenolide against Xanthomonas Oryzae pv. Oryzae. Pest Manag. Sci. 2018, 74, 2716–2723. [Google Scholar] [CrossRef] [PubMed]
- Calzada, F.; Bautista, E.; Hidalgo-Figueroa, S.; García-Hernández, N.; Velázquez, C.; Barbosa, E.; Valdes, M.; Solares-Pascasio, J.I. Understanding the Anti-Diarrhoeal Properties of Incomptines A and B: Antibacterial Activity against Vibrio Cholerae and Its Enterotoxin Inhibition. Pharmaceuticals 2022, 15, 196. [Google Scholar] [CrossRef]
- Bhat, G.; Masood, A.; Ganai, B.A.; Hamza, B.; Ganie, S.; Shafi, T.; Idris, A.; Shawl, A.S.; Tantry, M.A. Gracilone, A New Sesquiterpene Lactone from Tanacetum Gracile (Tansies). Nat. Prod. Res. 2016, 30, 2291–2298. [Google Scholar] [CrossRef] [PubMed]
- Shi, X.S.; Meng, L.H.; Li, X.M.; Li, X.; Wang, D.J.; Li, H.L.; Zhou, X.W.; Wang, B.G. Trichocadinins B-G: Antimicrobial Cadinane Sesquiterpenes from Trichoderma Virens QA-8, an Endophytic Fungus Obtained from the Medicinal Plant Artemisia Argyi. J. Nat. Prod. 2019, 82, 2470–2476. [Google Scholar] [CrossRef]
- Xiong, L.; Zhou, Q.M.; Peng, C.; Xie, X.F.; Guo, L.; Li, X.H.; Liu, J.; Liu, Z.H.; Dai, O. Sesquiterpenoids from the Herb of Leonurus Japonicus. Molecules 2013, 18, 5051–5058. [Google Scholar] [CrossRef]
- Masi, M.; Roscetto, E.; Cimmino, A.; Catania, M.R.; Surico, G.; Evidente, A. Farnesane-Type Sesquiterpenoids with Antibiotic Activity from Chiliadenus Lopadusanus. Antibiotics 2021, 10, 148. [Google Scholar] [CrossRef]
- Hu, X.Y.; Li, X.M.; Yang, S.Q.; Liu, H.; Meng, L.H.; Wang, B.G. Three New Sesquiterpenoids from the Algal-derived Fungus Penicillium Chermesinum EN-480. Mar. Drugs. 2020, 8, 194. [Google Scholar] [CrossRef]
- Biva, I.J.; Ndi, C.P.; Semple, S.J.; Griesser, H.J. Antibacterial Performance of Terpenoidsfrom the Australian Plant Eremophila Lucida. Antibiotics 2019, 8, 63. [Google Scholar] [CrossRef]
- Wang, H.; Dong, W.H.; Zuo, W.J.; Liu, S.; Zhong, H.M.; Mei, W.L.; Dai, H.F. Five New Sesquiterpenoids from Dalbergia Odorifera. Fitoterapia 2014, 95, 16–21. [Google Scholar] [CrossRef]
- BAdAwy, M.E.I.; ABdElgAlEIl, S.A.M.; SugAnuMA, T.; FujI, M. Antibacterial and Biochemical Activity of Pseudoguaianolide Sesquiterpenes Isolated from Ambrosia Maritima against Plant Pathogenic Bacteria. Plant Protect. Sci. 2014, 50, 64–69. [Google Scholar] [CrossRef]
- Neuhaus, G.F.; Loesgen, S. Antibacterial Drimane Sesquiterpenes from Aspergillus Ustus. J. Nat. Prod. 2021, 84, 37–45. [Google Scholar] [CrossRef] [PubMed]
- Zhang, B.Y.; Ma, Y.Y.; Guo, H.; Zhu, H.J.; Li, W. Identification of Two Absolute Configurations of Drimane Sesquiterpenoids from the Endophytic Fungus Talaromyces Purpureogenus of Panax Notoginseng. Chem. J. Chin. Univ. 2017, 38, 046–1051. [Google Scholar]
- Kamada, T.; Vairappan, C.S. Non-Halogenated New Sesquiterpenes from Bornean Laurencia Snackeyi. Nat. Prod. Res. 2017, 1, 333–340. [Google Scholar] [CrossRef]
- Ibraheim, Z.Z.; Abdel-Mageed, W.M.; Dai, H.; Guo, H.; Zhang, L.; Jaspars, M. Antimicrobial Antioxidant Daucane Sesquiterpenes from Ferula Hermonis Boiss. Phytother. Res. 2012, 26, 579–586. [Google Scholar] [CrossRef] [PubMed]
- Bunbamrung, N.; Intaraudom, C.; Dramae, A.; Boonyuen, N.; Veeranondha, S.; Rachtawee, P.; Pittayakhajonwut, P. Antimicrobial Activity of Illudalane and Alliacane Sesquiterpenes from the Mushroom Gloeostereum Incarnatum BCC41461. Phytochem. Lett. 2017, 20, 274–281. [Google Scholar] [CrossRef]
- Lou, H.Y.; Zhang, Y.; Ma, X.P.; Jiang, S.; Wang, X.P.; Yi, P.; Liang, G.Y.; Wu, H.M.; Feng, J.; Jin, F.Y.; et al. Novel Sesquiterpenoids Isolated from Chimonanthus Praecox and Their Antibacterial Activities. Chin. J. Nat. Med. 2018, 16, 621–627. [Google Scholar] [CrossRef]
- Ren, H.C.; Zhang, J.; Liang, H. Two New p-Coumaroylated Sesquiterpenoids from Pilea Cavaleriei. J. Asian Nat. Prod. Res. 2018, 20, 109–116. [Google Scholar] [CrossRef]
- Pan, Z.H.; Ning, D.S.; Huang, S.S.; Wu, Y.F.; Ding, T.; Luo, L. A New Picrotoxane Sesquiterpene from the Berries of Baccaurea Ramiflora with Antifungal Activity against Colletotrichum Gloeosporioides. Nat. Prod. Res. 2015, 29, 1323–1327. [Google Scholar] [CrossRef]
- Kamada, T.; Phan, C.S.; Vairappan, C.S. New Anti-Bacterial Halogenated Tricyclic Sesquiterpenes from Bornean Laurencia Majuscula (Harvey) Lucas. Nat. Prod. Res. 2019, 33, 464–471. [Google Scholar] [CrossRef]
- Nguyen, H.M.; Ito, T.; Kurimoto, S.I.; Ogawa, M.; Win, N.N.; Hung, V.Q.; Nguyen, H.T.; Kubota, T.; Kobayashi, J.; Morita, H. New Merosesquiterpenes from a Vietnamese Marine Sponge of Spongia sp. and Their Biological Activities. Bioorg. Med. Chem. Lett. 2017, 27, 3043–3047. [Google Scholar] [CrossRef] [PubMed]
- Dharmayani, N.K.T.; Yoshimura, T.; Hermawati, E.; Juliawaty, L.D.; Syah, Y.M. Antibacterial and Antifungal Two Phenolic Sesquiterpenes from Dysoxylum densiflorum. Z. Für Nat. C 2020, 75, 1–5. [Google Scholar] [CrossRef] [PubMed]
- Zhou, Y.; Li, L.Y.; Yin, X.; Zhang, Q.Y.; Liang, H.; Tu, P.F. Sesquiterpenoids from Pilea cavaleriei. Nat. Prod. Res. 2021, 35, 1537–1543. [Google Scholar] [CrossRef] [PubMed]
- González, U.; Morales-Jiménez, J.; Nieto-Camacho, A.; Martínez, M.; Maldonado, E. Elemenolides from Zinnia Peruviana and Evaluation of Their Antibacterial and α-Glucosidase Inhibitory Activities. Nat. Prod. Res. 2021, 35, 1977–1984. [Google Scholar] [CrossRef]
- Meng, L.H.; Li, X.M.; Liu, Y.; Wang, B.G. Penicibilaenes A and B, Sesquiterpenes with a Tricyclo [6.3.1.01,5]Dodecane Skeleton from the Marine Isolate of Penicillium Bilaiae MA-267. Org. Lett. 2014, 16, 6052–6055. [Google Scholar] [CrossRef]
- Wang, B.; Mei, W.L.; Zeng, Y.B.; Guo, Z.K.; Liu, G.D.; Dai, H.F. A New Sesquiterpene Lactone from Elephantopus Tomentosus. J. Asian Nat. Prod. Res. 2012, 14, 700–703. [Google Scholar] [CrossRef]
- Sandargo, B.; Michehl, M.; Stadler, M.; Surup, F. Antifungal Sesquiterpenoids, Rhodocoranes, from Submerged Cultures of the Wrinkled Peach Mushroom, Rhodotus palmatus. J. Nat. Prod. 2020, 83, 720–724. [Google Scholar] [CrossRef]
- Li, W.; He, J.; Feng, T.; Yang, H.X.; Ai, H.L.; Li, Z.H.; Liu, J.K. Antroalbocin A, an Antibacterial Sesquiterpenoid from Higher Fungus Antrodiella albocinnamomea. Org. Lett. 2018, 20, 8019–8021. [Google Scholar] [CrossRef]
- Liu, X.Y.; Fu, X.X.; Li, Y.Y.; Xiong, Z.H.; Li, B.T.; Peng, W.W. The Sesquiterpenes from the Stem and Leaf of Clausena Lansium with Their Potential Antibacterial Activities. Nat. Prod. Res. 2021, 35, 4887–4893. [Google Scholar] [CrossRef]
- Amand, S.; Vallet, M.; Guedon, L.; Genta-Jouve, G.; Wien, F.; Mann, S.; Dupont, J.; Prado, S.; Nay, B. A Reactive Eremophilane and Its Antibacterial 2(1H)-Naphthalenone Rearrangement Product, Witnesses of a Microbial Chemical Warfare. Org. Lett. 2017, 19, 4038–4041. [Google Scholar] [CrossRef]
- Sultan, I.; Rahman, S.; Jan, A.T.; Siddiqui, M.T.; Mondal, A.H.; Haq, Q.M.R. Antibiotics, Resistome and Resistance Mechanisms: A Bacterial Perspective. Front. Microbiol. 2018, 9, 2066. [Google Scholar] [CrossRef] [PubMed] [Green Version]
- Jubair, N.; Rajagopal, M.; Chinnappan, S.; Abdullah, N.B.; Fatima, A. Review on the Antibacterial Mechanism of Plant-Derived Compounds against Multidrug-Resistant Bacteria (MDR). Evid. -Based Complementary Altern. Med. 2021, 2021, 3663315. [Google Scholar] [CrossRef] [PubMed]
- Ivanescu, B.; Miron, A.; Corciova, A. Sesquiterpene Lactones from Artemisia Genus: Biological Activities and Methods of Analysis. J. Anal. Methods Chem. 2015, 247685. [Google Scholar]
- Moo, C.L.; Yang, S.K.; Osman, M.A.; Yuswan, M.H.; Loh, J.Y.; Lim, W.M.; Lim, S.H.; Lai, K.S. Antibacterial Activity and Mode of Action of β-caryophyllene on Bacillus cereus. Pol. J. Microbiol. 2020, 69, 1–6. [Google Scholar] [CrossRef] [PubMed]
- Boghrati, Z.; Iranshahi, M. Ferula Species: A Rich Source of Antimicrobial Compounds. J. Herb. Med. 2019, 16, 100244. [Google Scholar] [CrossRef]
- Houšť, J.; Spížek, J.; Havlíček, V. Antifungal Drugs. Metabolites 2020, 10, 106. [Google Scholar] [CrossRef]
- Lyu, X.; Lee, J.; Chen, W.N. Potential Natural Food Preservatives and their Sustainable Production in Yeast: Terpenoids and Polyphenols. J. Agric. Food. Chem. 2019, 67, 4397–4417. [Google Scholar] [CrossRef]
- Castelli, M.V.; Lodeyro, A.F.; Malheiros, A.; Zacchino, S.A.; Roveri, O.A. Inhibition of the Mitochondrial ATP Synthesis by Polygodial, a Naturally Occurring Dialdehyde Unsaturated Sesquiterpene. Biochem. Pharmacol. 2005, 70, 82–89. [Google Scholar] [CrossRef]























Publisher’s Note: MDPI stays neutral with regard to jurisdictional claims in published maps and institutional affiliations. |
© 2022 by the authors. Licensee MDPI, Basel, Switzerland. This article is an open access article distributed under the terms and conditions of the Creative Commons Attribution (CC BY) license (https://creativecommons.org/licenses/by/4.0/).
Share and Cite
Li, H.-Y.; Yang, W.-Q.; Zhou, X.-Z.; Shao, F.; Shen, T.; Guan, H.-Y.; Zheng, J.; Zhang, L.-M. Antibacterial and Antifungal Sesquiterpenoids: Chemistry, Resource, and Activity. Biomolecules 2022, 12, 1271. https://doi.org/10.3390/biom12091271
Li H-Y, Yang W-Q, Zhou X-Z, Shao F, Shen T, Guan H-Y, Zheng J, Zhang L-M. Antibacterial and Antifungal Sesquiterpenoids: Chemistry, Resource, and Activity. Biomolecules. 2022; 12(9):1271. https://doi.org/10.3390/biom12091271
Chicago/Turabian StyleLi, Hang-Ying, Wen-Qian Yang, Xin-Zhu Zhou, Fei Shao, Tong Shen, Hui-Ying Guan, Jie Zheng, and Li-Ming Zhang. 2022. "Antibacterial and Antifungal Sesquiterpenoids: Chemistry, Resource, and Activity" Biomolecules 12, no. 9: 1271. https://doi.org/10.3390/biom12091271
APA StyleLi, H.-Y., Yang, W.-Q., Zhou, X.-Z., Shao, F., Shen, T., Guan, H.-Y., Zheng, J., & Zhang, L.-M. (2022). Antibacterial and Antifungal Sesquiterpenoids: Chemistry, Resource, and Activity. Biomolecules, 12(9), 1271. https://doi.org/10.3390/biom12091271
