Physicochemical and Techno-Functional Properties of Dried and Defatted Porcine Liver
Abstract
:1. Introduction
2. Materials and Methods
2.1. Raw Material and Sample Preparation
2.1.1. Drying Process
2.1.2. Defatting Process
2.2. Modelling of Air-Drying Kinetics
2.3. Physicochemical Characteristics
2.3.1. Proximate Analysis
2.3.2. Color Parameters
2.3.3. Differential Scanning Calorimetry (DSC) Analysis
2.4. Techno-Functional Properties
2.4.1. Protein Solubility
2.4.2. Foaming Properties
2.4.3. Emulsifying Properties
2.5. Statistical Analysis
3. Results
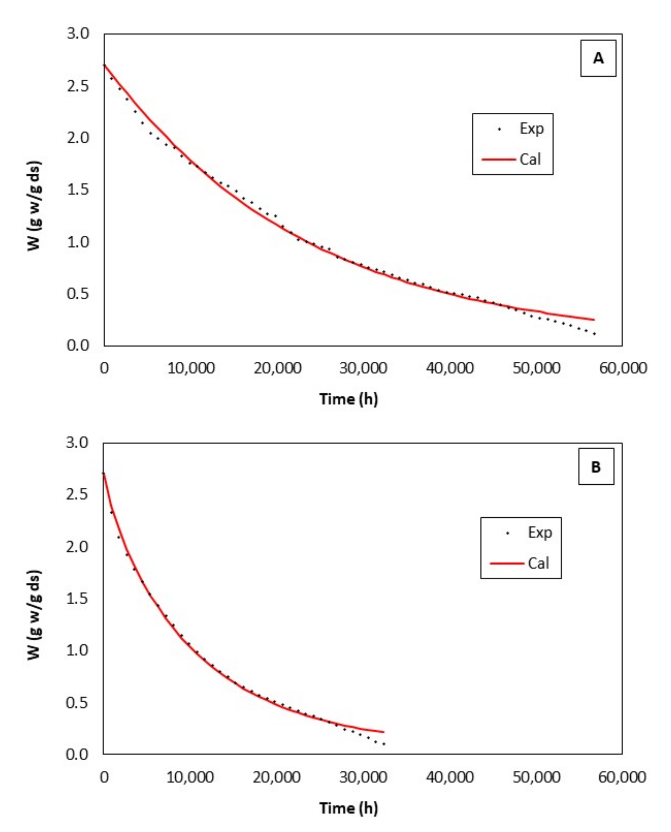
3.1. Modelling of Porcine Liver Drying Kinetics
3.2. Physicochemical Characterisation
3.2.1. Chemical Composition
3.2.2. CIE L*a*b* Color Parameters
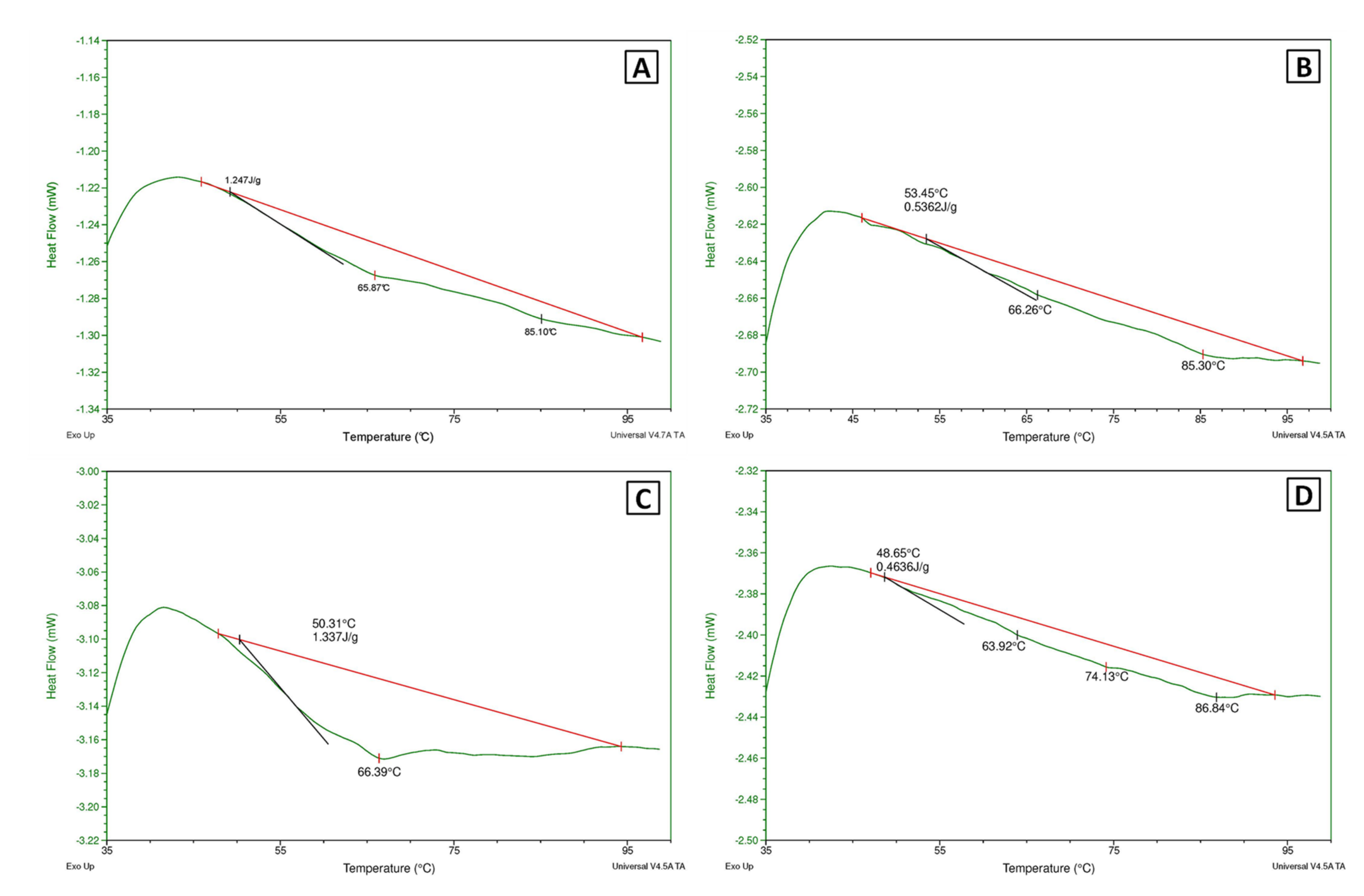
3.2.3. Differential Scanning Calorimetry Analysis
3.3. Techno-Functional Properties
3.3.1. Protein Solubility
3.3.2. Surface Functional Properties (Foaming and Emulsifying)
4. Conclusions
Author Contributions
Funding
Data Availability Statement
Acknowledgments
Conflicts of Interest
References
- García, R.G.; Marín, C.E.; Marín, R.G.; Álvarez, V.R. El sector del ganado porcino en España: Caracterización, producción, comercio y repercusiones ambientales derivadas. Desarrollo Local y Dinámicas Territoriales: Homenaje a Joan Noguera 2022, 113, 194–230. [Google Scholar]
- Banco Mundial 2019. Guía de Invertir en Ganadería Sostenible. Available online: https://www.sustainablelivestockguide.org/ (accessed on 27 April 2022).
- Girotto, F.; Cossu, C.A. Animal waste and waste animal by-products generated along the livestock breeding and meat food chain. Waste Manag. 2017, 70, 1–2. [Google Scholar] [CrossRef] [PubMed]
- Nollet, L.M.L.; Toldrá, F. (Eds.) Handbook of Analysis of Edible Animal by-Products; CRC Press: Boca Raton, FL, USA, 2019. [Google Scholar]
- Toldrá, F.; Reig, M.; Mora, L. Management of meat by-and co-products for an improved meat processing sustainability. Meat Sci. 2021, 181, 108608. [Google Scholar] [CrossRef]
- Llauger, M.; Claret, A.; Bou, R.; López-Mas, L.; Guerrero, L. Consumer Attitudes toward Consumption of Meat Products Containing Offal and Offal Extracts. Foods 2021, 10, 1454. [Google Scholar] [CrossRef] [PubMed]
- Food and Agricultural Organitzation of the United States. FAOSTAT Statistical Database. 1997. Available online: http://www.fao.org/faostat/en/#data/CL (accessed on 2 May 2022).
- Lynch, S.A.; Mullen, A.M.; O’Neill, E.; Drummond, L.; Álvarez, C. Opportunities and perspectives for utilisation of co-products in the meat industry. Meat Sci. 2018, 144, 62–73. [Google Scholar] [CrossRef]
- Lafarga, T.; Hayes, M. Bioactive peptides from meat muscle and by-products: Generation, functionality and application as functional ingredients. Meat Sci. 2014, 98, 227–239. [Google Scholar] [CrossRef] [PubMed]
- Albenzio, M.; Santillo, A.; Caroprese, M.; Della Malva, A.; Marino, R. Bioactive peptides in animal food products. Foods 2017, 6, 35. [Google Scholar] [CrossRef] [Green Version]
- Borrajo, P.; Pateiro, M.; Barba, F.J.; Mora, L.; Franco, D.; Toldrá, F.; Lorenzo, J.M. Antioxidant and antimicrobial activity of peptides extracted from meat by-products: A review. Food Anal. Methods 2019, 12, 2401–2415. [Google Scholar] [CrossRef]
- Leal, E.S.; Ítavo, L.C.V.; Ítavo, C.C.B.F.; Nogueira, É.; Franco, G.L.; Gomes, M.D.N.B.; Difante, G.D.S.; Dias, A.M.; Pereira, M.W.F.; Gurgel, A.L.C.; et al. Combinations of by-products from biodiesel production included in the supplement for finishing heifers on deferred pastures. Trop. Anim. Health Prod. 2021, 53, 1–9. [Google Scholar] [CrossRef] [PubMed]
- Soladoye, P.O.; Juárez, M.; Estévez, M.; Fu, Y.; Álvarez, C. Exploring the prospects of the fifth quarter in the 21 century. Compr. Rev. Food Sci. Food Saf. 2022, 21, 1–23. [Google Scholar] [CrossRef] [PubMed]
- Aspevik, T.; Oterhals, Å.; Rønning, S.B.; Altintzoglou, T.; Wubshet, S.G.; Gildberg, A.; Afseth, N.K.; Whitaker, R.D.; Lindberg, D. Valorization of proteins from co-and by-products from the fish and meat industry. Chem. Chem. Technol. Waste Valorization 2017, 123–150. [Google Scholar] [CrossRef] [Green Version]
- Toldrá, F.; Aristoy, M.C.; Mora, L.; Reig, M. Innovations in value-addition of edible meat by-products. Meat Sci. 2012, 92, 290–296. [Google Scholar] [CrossRef] [PubMed]
- Wadhwa, M.; Bakshi, M.P.S. Application of waste-derived proteins in the animal feed industry. In Protein Byproducts; Academic Press: Cambridge, MA, USA, 2016; pp. 161–192. [Google Scholar] [CrossRef]
- Seong, P.N.; Park, K.M.; Cho, S.H.; Kang, S.M.; Kang, G.H.; Park, B.Y.; Moon, S.S.; Van Ba, H. Characterization of edible pork by-products by means of yield and nutritional composition. Korean J. Food Sci. Anim. Resour. 2014, 34, 297. [Google Scholar] [CrossRef] [PubMed] [Green Version]
- Estévez, M.; Morcuende, D.; Ramírez, R.; Ventanas, J.; Cava, R. Extensively reared Iberian pigs versus intensively reared white pigs for the manufacture of liver pâté. Meat Sci. 2004, 67, 453–461. [Google Scholar] [CrossRef] [PubMed]
- Sánchez-Torres, E.A.; Abril, B.; Benedito, J.; Bon, J.; García-Pérez, J.V. Water desorption isotherms of porcine liver and thermodynamic properties. LWT 2021, 149, 111857. [Google Scholar] [CrossRef]
- Parés, D.; Toldrà, M.; Saguer, E.; Carretero, C. Scale-up of the process to obtain functional ingredients based in plasma protein concentrates from porcine blood. Meat Sci. 2014, 96, 304–310. [Google Scholar] [CrossRef]
- Lo, B.; Kasapis, S.; Farahnaky, A. Lupin protein: Isolation and techno-functional properties, a review. Food Hydrocoll. 2021, 112, 106318. [Google Scholar] [CrossRef]
- Mishyna, M.; Keppler, J.K.; Chen, J. Techno-functional properties of edible insect proteins and effects of processing. Curr. Opin. Colloid Interface Sci. 2021, 56, 101508. [Google Scholar] [CrossRef]
- Kim, T.K.; Yong, H.I.; Chun, H.H.; Lee, M.A.; Kim, Y.B.; Choi, Y.S. Changes of amino acid composition and protein technical functionality of edible insects by extracting steps. J. Asia-Pac. Entomol. 2020, 23, 298–305. [Google Scholar] [CrossRef]
- AOAC (Association of Official Analytical Chemists). Official Methods of Analysis of AOAC International, 17th ed.; Association of Official Analytical Chemists: Arlington, VA, USA; Washington, DC, USA, 2000. [Google Scholar]
- Cunha, L.M.; Oliveira FA, R.; Oliveira, J.C. Optimal experimental design for estimating the kinetic parameters of processes described by the Weibull probability distribution function. J. Food Eng. 1998, 37, 175–191. [Google Scholar] [CrossRef]
- Marabi, A.; Livings, S.; Jacobson, M.; Saguy, I.S. Normalized Weibull distribution for modeling rehydration of food particulates. Eur Food Res Technol 2003, 217, 311–318. [Google Scholar] [CrossRef]
- García Pérez, J.V. Contribución al estudio de la aplicación de ultrasonidos de potencia en el secado convectivo de alimentos. Ph.D. Thesis, Universitat Politècnica de València, Valencia, Spain, 2007. [Google Scholar]
- Morr, C.V.; German, B.; Kinsella, J.E.; Regenstein, J.M.; Buren, J.P.V.A.N.; Kilara, A.; Lewis, B.A.; Mangino, M.E. A Collaborative Study to Develop a Standardized Food Protein Solubility Procedure. J. Food Sci. 1985, 50, 1715–1718. [Google Scholar] [CrossRef]
- Toldrà, M.; Parés, D.; Saguer, E.; Carretero, C. Recovery and extraction of technofunctional proteins from porcine spleen using response surface methodology. Food Bioprocess Technol. 2019, 12, 298–312. [Google Scholar] [CrossRef]
- Pearce, K.N.; Kinsella, J.E. Emulsifying properties of proteins—Evaluation of a turbidimetric technique. J. Agric. Food Chem. 1978, 26, 716–723. [Google Scholar] [CrossRef]
- Parés, D.; Ledward, D.A. Emulsifying and gelling properties of porcine blood plasma as influenced by high-pressure processing. Food Chem. 2001, 74, 139–145. [Google Scholar] [CrossRef]
- Agafonkina, I.V.; Korolev, I.A.; Sarantsev, T.A. The study of thermal denaturation of beef, porcine, chicken and turkey muscle proteins using differential scanning calorimetry. Theory Pract. Meat Process. 2019, 4, 19–23. [Google Scholar] [CrossRef] [Green Version]
- Sánchez-Torres, E.A.; Abril, B.; Benedito, J.; Bon, J.; Toldrà, M.; Pares, D.; García-Pérez, J.V. Airborne ultrasonic application on hot air-drying of pork liver. Intensification of moisture transport and impact on protein solubility. Ultrason. Sonochem. 2022, 86, 106011. [Google Scholar] [CrossRef]
- Jeantet, R.; Croguennec, T.; Schuck, P. Burlé, G. Les Produits Laitiers; Editions Tec & Doc Lavoisier: Cachan, France, 2006; Volume 1, p. 184. [Google Scholar]
- Parés, D.; Toldrà, M.; Camps, E.; Geli, J.; Saguer, E.; Carretero, C. RSM Optimization for the Recovery of Technofunctional Protein Extracts from Porcine Hearts. Foods 2020, 9, 1733. [Google Scholar] [CrossRef] [PubMed]
- Camps, E. Determinació de Les Propietats Tecnofuncionals D’extractes Proteics Solubles de Cors de Porc. Final Degree Project, Universitat de Girona, Girona, Spain, 2019. [Google Scholar]
- Morera, X. Caracterització de Melses de Porcí Com a Font de Proteïnes Per la Indústria Alimentaria. Final Degree Project, Universitat de Girona, Girona, Spain, 2016. [Google Scholar]



| α | %VAR | %MRE | ||
|---|---|---|---|---|
| 40 | 1.02 ± 0.03 | 2.3 ± 0.4 | 99.5 ± 0.1 | 9.36 ± 0.33 |
| 70 | 0.86 ± 0.02 | 1.1 ± 0.4 | 99.6 ± 0.1 | 10.14 ± 0.94 |
| Sample | ||||
|---|---|---|---|---|
| D-40 °C | 11.24 ± 0.40 A | 61.10 ± 1.00 C | 22.77 ± 1.57 A | 3.99 ± 0.14 B |
| D-70 °C | 7.86 ± 0.27 B | 66.53 ± 0.06 B | 19.60 ± 0.55 B | 4.32 ± 0.10 B |
| DD-40 °C | 8.60 ± 0.22 B | 83.67 ± 1.15 A | 3.36 ± 0.96 C | 4.66 ± 0.88 AB |
| DD-70 °C | 6.62 ± 0.31 C | 82.98 ± 1.12 A | 5.05 ± 0.05 C | 5.39 ± 0.45 A |
| Sample | L* (Lightness) | a* (Redness) | b* (Yellowness) | C* (CHROMA) | H˚ (Hue) |
|---|---|---|---|---|---|
| D-40 °C | 50.49 ± 0.52 A | 8.83 ± 0.48 A | 17.50 ± 0.46 A | 19.60 ± 0.59 A | 63.25 ± 0.91 A |
| D-70 °C | 53.95 ± 1.37 B | 7.09 ± 0.29 B | 17.06 ± 0.54 AB | 18.47 ± 0.61 A | 67.44 ± 0.28 B |
| DD-40 °C | 73.95 ± 0.48 C | 4.39 ± 0.08 C | 16.35 ± 0.06 B | 16.93 ± 0.04 B | 74.97 ± 0.31 C |
| DD-70 °C | 67.99 ± 0.53 D | 4.97 ± 0.09 D | 16.94 ± 0.04 B | 17.66 ± 0.03 C | 73.66 ± 0.28 D |
| Sample | ΔHtotal (J/g) | Ti (°C) | Td1 (°C) | Td2 (°C) |
|---|---|---|---|---|
| D-40 °C | 1.25 | 49.16 | 65.87 | 85.10 |
| D-70 °C | 0.54 | 53.45 | 66.26 | 85.30 |
| DD-40 °C | 1.34 | 50.31 | 66.39 | - |
| DD-70 °C | 0.46 | 48.65 | 63.92 | 86.84 |
| Raw porcine liver | 3.46 | 52.29 | 66.44 | 86.90 |
| Sample | ||
|---|---|---|
| D-40 °C | 27.95 ± 0.31 | 45.74 ± 0.50 |
| D-70 °C | 12.43 ± 0.31 | 18.69 ± 0.46 |
| DD-40 °C | 35.63 ± 2.26 | 42.60 ± 2.91 |
| DD-70 °C | 14.64 ± 0.09 | 17.64 ± 0.30 |
| Sample | Foaming Capacity (mL) | Foam Stability (RFS) (min) | Emulsifying Activity (EAI) (m2/g) | Emulsion Stability (ESI) (min) |
|---|---|---|---|---|
| D-40 °C | 235.62 ± 34.2 B | 7.43 | 74.85 ± 32.61 A | 26.44 ± 0.42 B |
| D-70 °C | 81.16 ± 4.53 A | 27.79 | 92.51 ± 14.43 A | 15.12 ± 2.83 A |
| DD-40 °C | 700.31 ± 32.35 D | 13.76 | 72.01 ± 36.08 A | 22.56 ± 5.19 B |
| DD-70 °C | 403.17 ± 4.53 C | 7.23 | 72.01 ± 13.40 A | 13.39 ± 0.27 A |
| Pork heart protein 1 | 364.9 | 5.41 | 354.74 | 35.19 |
| Pork spleen protein 2 | 712.1 | 25.11 | 497.3 | 57.6 |
Publisher’s Note: MDPI stays neutral with regard to jurisdictional claims in published maps and institutional affiliations. |
© 2022 by the authors. Licensee MDPI, Basel, Switzerland. This article is an open access article distributed under the terms and conditions of the Creative Commons Attribution (CC BY) license (https://creativecommons.org/licenses/by/4.0/).
Share and Cite
Abril, B.; Sánchez-Torres, E.A.; Toldrà, M.; Benedito, J.; García-Pérez, J.V. Physicochemical and Techno-Functional Properties of Dried and Defatted Porcine Liver. Biomolecules 2022, 12, 926. https://doi.org/10.3390/biom12070926
Abril B, Sánchez-Torres EA, Toldrà M, Benedito J, García-Pérez JV. Physicochemical and Techno-Functional Properties of Dried and Defatted Porcine Liver. Biomolecules. 2022; 12(7):926. https://doi.org/10.3390/biom12070926
Chicago/Turabian StyleAbril, Blanca, Eduardo A. Sánchez-Torres, Mònica Toldrà, Jose Benedito, and Jose V. García-Pérez. 2022. "Physicochemical and Techno-Functional Properties of Dried and Defatted Porcine Liver" Biomolecules 12, no. 7: 926. https://doi.org/10.3390/biom12070926
APA StyleAbril, B., Sánchez-Torres, E. A., Toldrà, M., Benedito, J., & García-Pérez, J. V. (2022). Physicochemical and Techno-Functional Properties of Dried and Defatted Porcine Liver. Biomolecules, 12(7), 926. https://doi.org/10.3390/biom12070926

