Zn2+ and Cu2+ Binding to the Extramembrane Loop of Zrt2, a Zinc Transporter of Candida albicans
Abstract
:1. Introduction
2. Materials and Methods
2.1. Materials
2.2. Potentiometry
2.3. Mass Spectrometry
2.4. Spectroscopic Measurements
3. Results and Discussion
3.1. Ligand Protonation
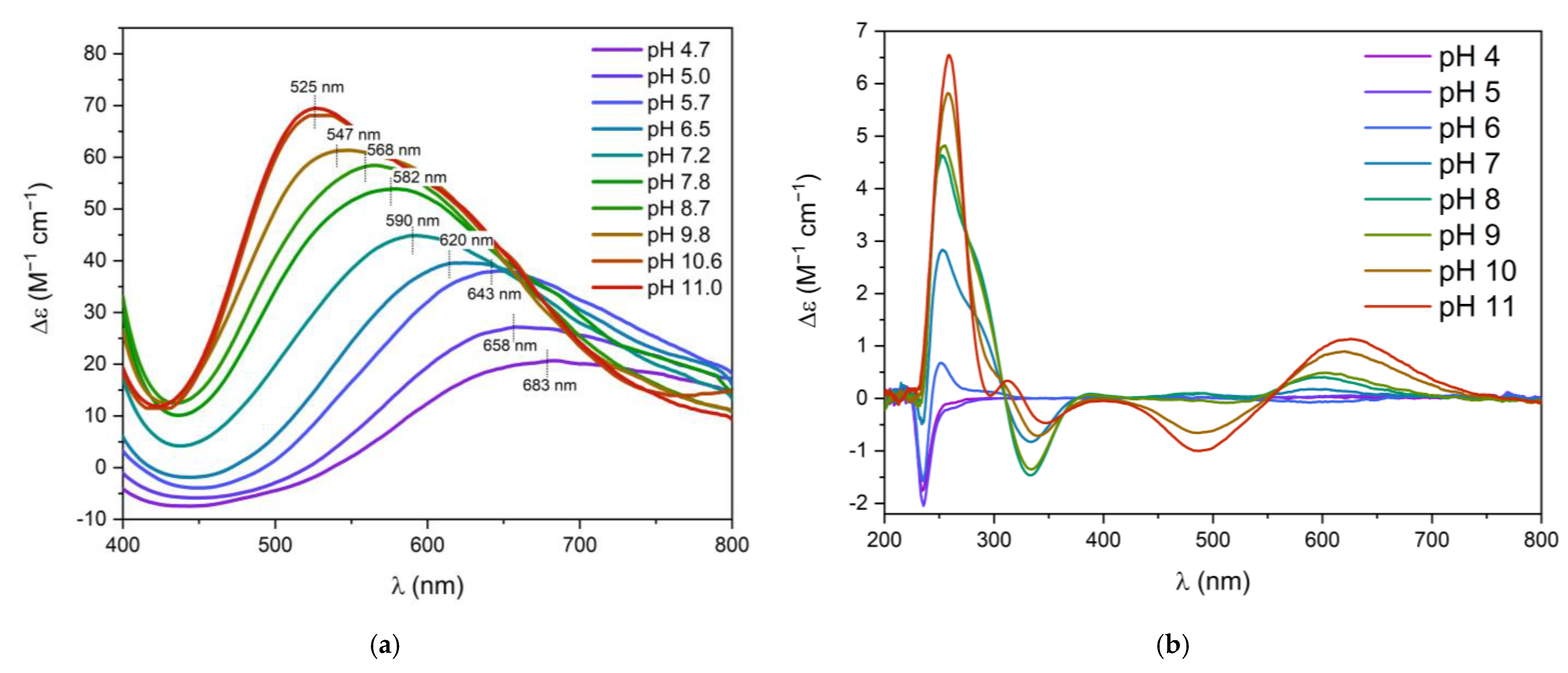
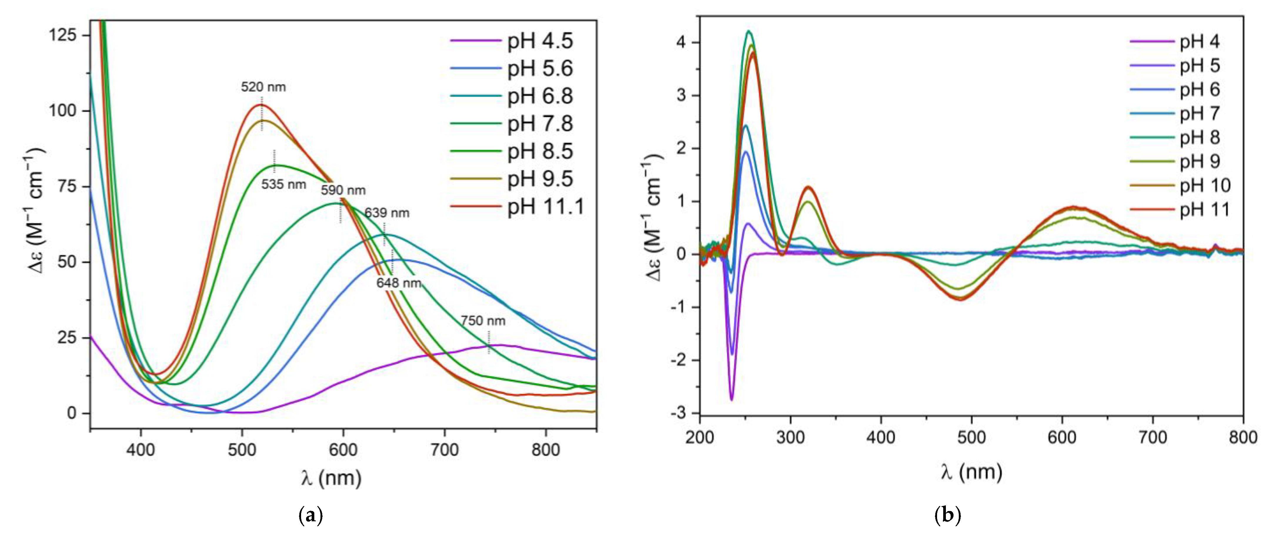
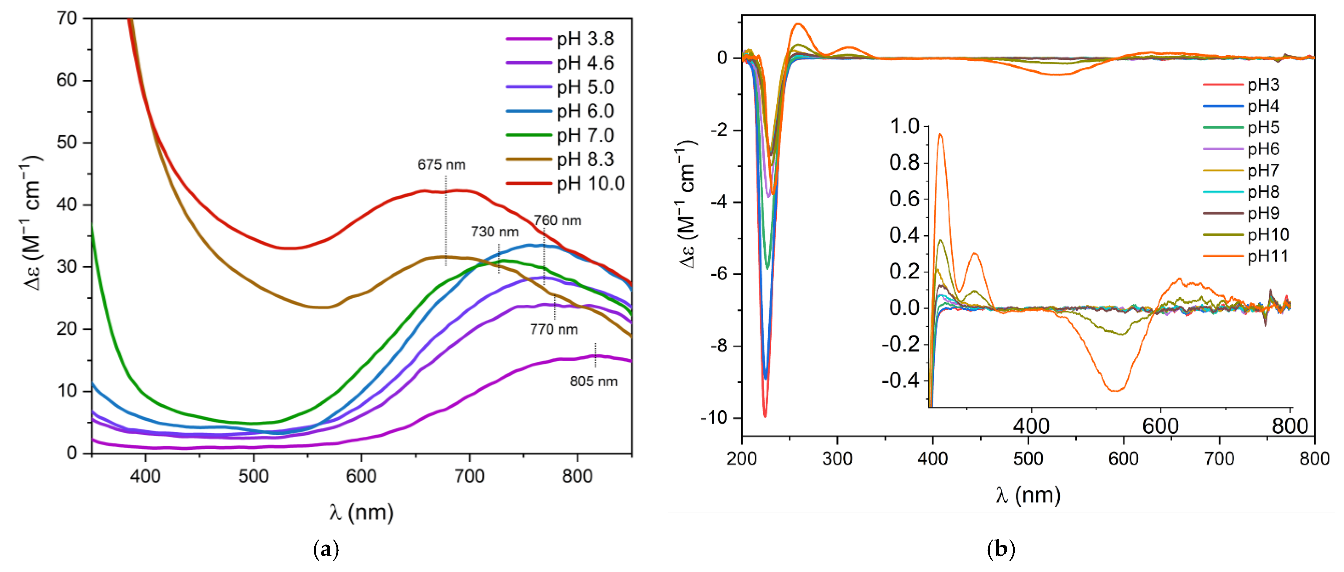
3.2. Copper(II) Complexes
3.3. Zinc(II) Complexes
3.4. A Qualitative Evaluation of Zrt2 Metal-Binding Ability
4. Conclusions
Supplementary Materials
Author Contributions
Funding
Institutional Review Board Statement
Informed Consent Statement
Data Availability Statement
Acknowledgments
Conflicts of Interest
References
- Gerwien, F.; Skrahina, V.; Kasper, L.; Hube, B.; Brunke, S. Metals in fungal virulence. FEMS Microbiol. Rev. 2018, 42, fux050. [Google Scholar] [CrossRef] [PubMed] [Green Version]
- Hennigar, S.R.; McClung, J.P. Nutritional Immunity: Starving Pathogens of Trace Minerals. Am. J. Lifestyle Med. 2016, 10, 170–173. [Google Scholar] [CrossRef] [PubMed]
- Talapko, J.; Juzbašić, M.; Matijević, T.; Pustijanac, E.; Bekić, S.; Kotris, I.; Škrlec, I. Candida albicans—The Virulence Factors and Clinical Manifestations of Infection. J. Fungi 2021, 7, 79. [Google Scholar] [CrossRef] [PubMed]
- Malavia, D.; Crawford, A.; Wilson, D. Chapter Three—Nutritional Immunity and Fungal Pathogenesis: The Struggle for Micronutrients at the Host–Pathogen Interface. In Advances in Microbial Physiology, Poole, R.K., Ed.; Academic Press: New York, NY, USA, 2017; Volume 70, pp. 85–103. [Google Scholar]
- Crawford, A.C.; Lehtovirta-Morley, L.E.; Alamir, O.; Niemiec, M.J.; Alawfi, B.; Alsarraf, M.; Skrahina, V.; Costa, A.C.B.P.; Anderson, A.; Yellagunda, S.; et al. Biphasic zinc compartmentalisation in a human fungal pathogen. PLoS Pathog. 2018, 14, e1007013. [Google Scholar] [CrossRef] [Green Version]
- Soares, L.W.; Bailão, A.M.; Soares, C.M.d.A.; Bailão, M.G.S. Zinc at the Host–Fungus Interface: How to Uptake the Metal? J. Fungi 2020, 6, 305. [Google Scholar] [CrossRef]
- Jumper, J.; Evans, R.; Pritzel, A.; Green, T.; Figurnov, M.; Ronneberger, O.; Tunyasuvunakool, K.; Bates, R.; Žídek, A.; Potapenko, A.; et al. Highly accurate protein structure prediction with AlphaFold. Nature 2021, 596, 583–589. [Google Scholar] [CrossRef]
- Varadi, M.; Anyango, S.; Deshpande, M.; Nair, S.; Natassia, C.; Yordanova, G.; Yuan, D.; Stroe, O.; Wood, G.; Laydon, A.; et al. AlphaFold Protein Structure Database: Massively expanding the structural coverage of protein-sequence space with high-accuracy models. Nucleic Acids Res. 2022, 50, D439–D444. [Google Scholar] [CrossRef]
- The UniProt Consortium. UniProt: The universal protein knowledgebase. Nucleic Acids Res. 2018, 46, 2699. [Google Scholar] [CrossRef] [Green Version]
- Bellotti, D.; Łoboda, D.; Rowińska-Żyrek, M.; Remelli, M. Investigation on the metal binding sites of a putative Zn(ii) transporter in opportunistic yeast species Candida albicans. New J. Chem. 2018, 42, 8123–8130. [Google Scholar] [CrossRef]
- Gans, P.; Sabatini, A.; Vacca, A. SUPERQUAD: An improved general program for computation of formation constants from potentiometric data. Dalton Trans. 1985, 6, 1195–1200. [Google Scholar] [CrossRef]
- Gans, P.; O’Sullivan, B. GLEE, a new computer program for glass electrode calibration. Talanta 2000, 51, 33–37. [Google Scholar] [CrossRef]
- Gran, G. Determination of the Equivalent Point in Potentiometric Titrations. Acta Chem. Scand. 1950, 4, 559–577. [Google Scholar] [CrossRef] [Green Version]
- Gans, P.; Sabatini, A.; Vacca, A. Investigation of equilibria in solution. Determination of equilibrium constants with the HYPERQUAD suite of programs. Talanta 1996, 43, 1739–1753. [Google Scholar] [CrossRef]
- Arena, G.; Cali, R.; Rizzarelli, E.; Sammartano, S. Thermodynamic study on the formation of the cupric ion hydrolytic species. Therm. Acta 1976, 16, 315–321. [Google Scholar] [CrossRef]
- Baes, C.F.; Mesmer, R.S. The Hydrolysis of Cations; John Wiley & Sons, Ltd: New York, NY, USA, 1976. [Google Scholar]
- Alderighi, L.; Gans, P.; Ienco, A.; Peters, D.; Sabatini, A.; Vacca, A. Hyperquad simulation and speciation (HySS): A utility program for the investigation of equilibria involving soluble and partially soluble species. Coord. Chem. Rev. 1999, 184, 311–318. [Google Scholar] [CrossRef]
- Prenesti, E.; Daniele, P.G.; Prencipe, M.; Ostacoli, G. Spectrum-structure correlation for visible absorption spectra of copper(II) complexes in aqueous solution. Polyhedron 1999, 18, 3233–3241. [Google Scholar] [CrossRef]
- Daniele, P.G.; Prenesti, E.; Ostacoli, G. Ultraviolet–circular dichroism spectra for structural analysis of copper(II) complexes with aliphatic and aromatic ligands in aqueous solution. Dalton Trans. 1996, 15, 3269–3275. [Google Scholar] [CrossRef]
- Sigel, H.; Martin, R.B. Coordinating properties of the amide bond. Stability and structure of metal ion complexes of peptides and related ligands. Chem. Rev. 1982, 82, 385–426. [Google Scholar] [CrossRef]
- Pettit, L.D.; Powell, H.K.J. The IUPAC Stability Constants Database; Royal Society of Chemistry: London, UK, 2000. [Google Scholar]
- Peisach, J.; Blumberg, W.E. Structural implications derived from the analysis of electron paramagnetic resonance spectra of natural and artificial copper proteins. Arch. Biochem. Biophys. 1974, 165, 691–708. [Google Scholar] [CrossRef]
- Stanyon, H.F.; Cong, X.; Chen, Y.; Shahidullah, N.; Rossetti, G.; Dreyer, J.; Papamokos, G.; Carloni, P.; Viles, J.H. Developing predictive rules for coordination geometry from visible circular dichroism of copper(II) and nickel(II) ions in histidine and amide main-chain complexes. FEBS J. 2014, 281, 3945–3954. [Google Scholar] [CrossRef] [PubMed] [Green Version]
- Bellotti, D.; Rowińska-Żyrek, M.; Remelli, M. Novel insights into the metal binding ability of ZinT periplasmic protein from Escherichia coli and Salmonella enterica. Dalton Trans. 2020, 49, 9393–9403. [Google Scholar] [CrossRef] [PubMed]
- Bellotti, D.; Tocchio, C.; Guerrini, R.; Rowińska-Żyrek, M.; Remelli, M. Thermodynamic and spectroscopic study of Cu(ii) and Zn(ii) complexes with the (148–156) peptide fragment of C4YJH2, a putative metal transporter of Candida albicans. Metallomics 2019, 11, 1988–1998. [Google Scholar] [CrossRef] [PubMed]
- Bal, W.; Dyba, M.; Kozłowski, H. The impact of the amino-acid sequence on the specificity of copper(II) interactions with peptides having nonco-ordinating side-chains. Acta Biochim. Pol. 1997, 44, 467–476. [Google Scholar] [CrossRef] [Green Version]
- Kozlowski, H.; Łuczkowski, M.; Remelli, M. Prion proteins and copper ions. Biological and chemical controversies. Dalton Trans. 2010, 39, 6371–6385. [Google Scholar] [CrossRef]
- Bellotti, D.; Sinigaglia, A.; Guerrini, R.; Marzola, E.; Rowińska-Żyrek, M.; Remelli, M. The N-terminal domain of Helicobacter pylori’s Hpn protein: The role of multiple histidine residues. J. Inorg. Biochem. 2021, 214, 111304. [Google Scholar] [CrossRef]
- Crea, F.; De Stefano, C.; Foti, C.; Milea, D.; Sammartano, S. Chelating Agents for the Sequestration of Mercury(II) and Monomethyl Mercury(II). Curr. Med. Chem. 2014, 21, 3819–3836. [Google Scholar] [CrossRef]
- Cole, A.M.; Kim, Y.-H.; Tahk, S.; Hong, T.; Weis, P.; Waring, A.J.; Ganz, T. Calcitermin, a novel antimicrobial peptide isolated from human airway secretions. FEBS Lett. 2001, 504, 5–10. [Google Scholar] [CrossRef] [Green Version]
- Bellotti, D.; Toniolo, M.; Dudek, D.; Mikołajczyk, A.; Guerrini, R.; Matera-Witkiewicz, A.; Remelli, M.; Rowińska-Żyrek, M. Bioinorganic chemistry of calcitermin—The picklock of its antimicrobial activity. Dalton Trans. 2019, 48, 13740–13752. [Google Scholar] [CrossRef]
- Citiulo, F.; Jacobsen, I.D.; Miramón, P.; Schild, L.; Brunke, S.; Zipfel, P.; Brock, M.; Hube, B.; Wilson, D. Candida albicans Scavenges Host Zinc via Pra1 during Endothelial Invasion. PLoS Pathog. 2012, 8, e1002777. [Google Scholar] [CrossRef] [Green Version]
- Bellotti, D.; Rowińska-Żyrek, M.; Remelli, M. How Zinc-Binding Systems, Expressed by Human Pathogens, Acquire Zinc from the Colonized Host Environment: A Critical Review on Zincophores. Curr. Med. Chem. 2021, 28, 7312–7338. [Google Scholar] [CrossRef] [PubMed]
- Łoboda, D.; Rowińska-Żyrek, M. Candida albicans zincophore and zinc transporter interactions with Zn(ii) and Ni(ii). Dalton Transactions 2018, 47, 2646–2654. [Google Scholar] [CrossRef] [PubMed]
- Kumar, R.; Breindel, C.; Saraswat, D.; Cullen, P.J.; Edgerton, M. Candida albicans Sap6 amyloid regions function in cellular aggregation and zinc binding, and contribute to zinc acquisition. Sci. Rep. 2017, 7, 2908. [Google Scholar] [CrossRef] [PubMed]
- McNicholas, S.; Potterton, E.; Wilson, K.S.; Noble, M.E.M. Presenting your structures: The CCP4mg molecular-graphics software. Acta Crystallogr. D Biol. Crystallogr. 2011, 67, 386–394. [Google Scholar] [CrossRef] [PubMed] [Green Version]









| Species | logβ | logK | logβ | logK | Donor |
|---|---|---|---|---|---|
| Ac-GPHTHSHFGD-NH2 (L1) | Ac-GPHTHAHFGD-NH2 (L1_S6A) | ||||
| HL | 6.96(4) | 6.96 | 6.96(4) | 6.96 | His |
| H2L+ | 13.32(3) | 6.36 | 13.32(3) | 6.36 | His |
| H3L2+ | 18.71(4) | 5.39 | 18.87(4) | 5.55 | His |
| H4L3+ | 21.71(4) | 3.00 | 22.79(4) | 3.92 | Asp |
| Ac-PSHFAHAQEHQDP-NH2 (L2) | Ac-PAHFAHAQEHQDP-NH2 (L2_S2A) | ||||
| HL− | 7.39(4) | 7.39 | 7.34(5) | 7.34 | His |
| H2L | 13.90(3) | 6.50 | 13.87(3) | 6.53 | His |
| H3L+ | 19.79(4) | 5.89 | 19.66(4) | 5.79 | His |
| H4L2+ | 24.08(4) | 4.28 | 23.87(5) | 4.21 | Glu |
| H5L3+ | 27.23(4) | 3.15 | 26.73(5) | 2.86 | Asp |
| Ac-DDEEEDLE-NH2 (L3) | |||||
| HL6− | 5.92(4) | 5.92 | Glu | ||
| H2L5− | 11.15(3) | 5.23 | Glu | ||
| H3L4− | 15.95(6) | 4.80 | Glu | ||
| H4L3− | 20.55(3) | 4.60 | Glu | ||
| H5L2− | 24.45(5) | 3.90 | Asp | ||
| H6L− | 28.28(3) | 3.83 | Asp | ||
| H7L | 31.01(3) | 2.73 | Asp | ||
| Species | logβ | pKa | Coordination | logβ | pKa | Coordination |
|---|---|---|---|---|---|---|
| Ac-GPHTHSHFGD-NH2 (L1) | Ac-GPHTHAHFGD-NH2 (L1_S6A) | |||||
| [CuH2L]3+ | − | − | − | 17.68(3) | 4.27 | NIm, COO− |
| [CuHL]2+ | 13.21(2) | 5.13 | 2NIm | 13.42(1) | 5.32 | 2NIm, COO− |
| [CuL]+ | 8.08(2) | 6.85 | 3NIm | 8.10(2) | 7.05 | 3NIm |
| [CuH−1L] | 1.22(4) | 6.99 | 3NIm, N− | 1.05(3) | 7.27 | 3NIm, N− |
| [CuH−2L]− | −5.77(3) | 9.53 | 2NIm, 2N− | −6.22(2) | 9.80 | 2NIm, 2N− |
| [CuH−3L]2− | −15.30(4) | − | NIm, 3N− | −16.02(3) | − | NIm, 3N− |
| Ac-PSHFAHAQEHQDP-NH2 (L2) | Ac-PAHFAHAQEHQDP-NH2 (L2_S2A) | |||||
| [CuH2L]2+ | 18.45(3) | 4.71 | NIm (COO−) | 18.36(3) | 4.64 | NIm (COO−) |
| [CuHL]+ | 13.74(2) | 5.46 | 2NIm | 13.72(2) | 5.33 | 2NIm |
| [CuL] | 8.27(2) | 3NIm | 8.39(2) | 3NIm | ||
| [CuH−2L]2− | −6.96(2) | 8.61 | 2NIm, 2N− | −6.91(2) | 8.34 | 2NIm, 2N− |
| [CuH−3L]3− | −15.57(3) | NIm, 3N− | −15.25(3) | NIm, 3N− | ||
| Ac-DDEEEDLE-NH2 (L3) | ||||||
| [CuH5L] | 27.62(7) | 3.83 | ||||
| [CuH4L]− | 23.80(5) | − | ||||
| [CuH2L]3− | 15.11(4) | 5.24 | ||||
| [CuHL]4− | 9.87(5) | 5.98 | ||||
| [CuL]5− | 3.88(4) | − | ||||
| [CuH−2L]7− | −13.7(1) | − | 2N– | |||
| Ac-GPHTHSHFGD-NH2 (L1) | Ac-GPHTHAHFGD-NH2 (L1_S6A) | |||||
| [ZnHL]2+ | 10.48(9) | 5.48 | 2NIm (COO−) | 10.71(4) | 5.54 | 2NIm (COO−) |
| [ZnL]+ | 5.00(2) | 7.51 | 3NIm | 5.17(1) | 7.44 | 3NIm |
| [ZnH−1L] | −2.51(4) | 9.78 | 3NIm | −2.27(2) | 9.43 | 3NIm |
| [ZnH−2L]− | −12.29(5) | 3NIm | −11.69(3) | 3NIm | ||
| Ac-PSHFAHAQEHQDP-NH2 (L2) | Ac-PAHFAHAQEHQDP-NH2 (L2_S2A) | |||||
| [ZnH2L]2+ | − | − | − | 17.1(1) | 5.75 | NIm (COO−) |
| [ZnHL]+ | 11.22(5) | 6.03 | 2NIm (COO−) | 11.36(6) | 5.90 | 2NIm (COO−) |
| [ZnL] | 5.19(2) | 8.04 | 3NIm | 5.46(4) | 8.02 | 3NIm |
| [ZnH−1L]− | −2.85(3) | 9.69 | 3NIm | −2.56(5) | 9.82 | 3NIm |
| [ZnH−2L]2− | −12.54(5) | 3NIm | −12.38(7) | 3NIm | ||
| Ac-DDEEEDLE-NH2 (L3) | ||||||
| [ZnH2L]3− | 13.3(5) | 5.2 | ||||
| [ZnHL]4− | 8.1(4) | 5.5 | ||||
| [ZnL]5− | 2.6(2) | 7.3 | ||||
| [ZnH−1L]6− | −4.7(1) | 7.8 | ||||
| [ZnH−2L]7− | −12.5(1) | − | ||||
| Peptide | pZn | pCu | Kd (Zn2+) | Kd (Cu2+) | pL0.5 (Zn2+) | pL0.5 (Cu2+) |
|---|---|---|---|---|---|---|
| Ac-GPHTHSHFGD-NH2 | 6.34 | 9.84 | 7.84 × 10−6 | 8.65 × 10−10 | 5.10 | 8.89 |
| Ac-GPHTHAHFGD-NH2 | 6.46 | 9.53 | 4.88 × 10−6 | 1.77 × 10−9 | 5.30 | 8.57 |
| Ac-PSHFAHAQEHQDP-NH2 | 6.27 | 8.87 | 1.05 × 10−5 | 8.06 × 10−9 | 4.96 | 7.92 |
| Ac-PAHFAHAQEHQDP-NH2 | 6.43 | 9.00 | 5.41 × 10−6 | 5.97 × 10−9 | 5.26 | 8.05 |
| Ac-DDEEEDLE-NH2 | 6.00 | 6.02 | 9.34 × 10−4 | 1.30 × 10−4 | 2.82 | 3.71 |
Publisher’s Note: MDPI stays neutral with regard to jurisdictional claims in published maps and institutional affiliations. |
© 2022 by the authors. Licensee MDPI, Basel, Switzerland. This article is an open access article distributed under the terms and conditions of the Creative Commons Attribution (CC BY) license (https://creativecommons.org/licenses/by/4.0/).
Share and Cite
Bellotti, D.; Miller, A.; Rowińska-Żyrek, M.; Remelli, M. Zn2+ and Cu2+ Binding to the Extramembrane Loop of Zrt2, a Zinc Transporter of Candida albicans. Biomolecules 2022, 12, 121. https://doi.org/10.3390/biom12010121
Bellotti D, Miller A, Rowińska-Żyrek M, Remelli M. Zn2+ and Cu2+ Binding to the Extramembrane Loop of Zrt2, a Zinc Transporter of Candida albicans. Biomolecules. 2022; 12(1):121. https://doi.org/10.3390/biom12010121
Chicago/Turabian StyleBellotti, Denise, Adriana Miller, Magdalena Rowińska-Żyrek, and Maurizio Remelli. 2022. "Zn2+ and Cu2+ Binding to the Extramembrane Loop of Zrt2, a Zinc Transporter of Candida albicans" Biomolecules 12, no. 1: 121. https://doi.org/10.3390/biom12010121
APA StyleBellotti, D., Miller, A., Rowińska-Żyrek, M., & Remelli, M. (2022). Zn2+ and Cu2+ Binding to the Extramembrane Loop of Zrt2, a Zinc Transporter of Candida albicans. Biomolecules, 12(1), 121. https://doi.org/10.3390/biom12010121

