Longitudinal Effects of Serum Calcium and Phosphate Levels and Their Ratio on Incident Ischemic Heart Disease among Korean Adults
Abstract
1. Introduction
2. Materials and Methods
2.1. Study Participants
2.2. Data Collection
2.3. Exposures and Outcomes
2.4. Statistical Analysis
3. Results
3.1. Demographic and Biochemical Characteristics
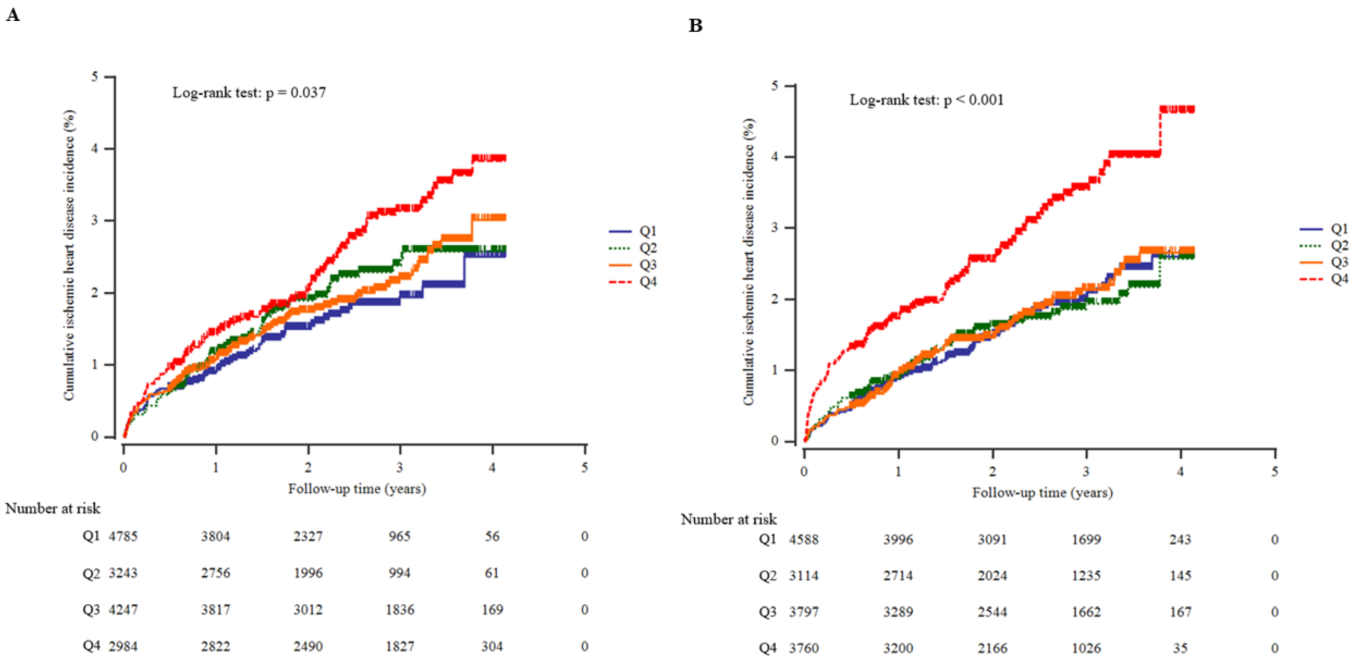
3.2. Cumulative Probability for Ischemic Heart Disease
3.3. Multivariate Hazard Ratios for Ischemic Heart Disease
4. Discussion
5. Conclusions
Author Contributions
Funding
Institutional Review Board Statement
Informed Consent Statement
Data Availability Statement
Acknowledgments
Conflicts of Interest
References
- Papadopoulou, A.; Bountouvi, E.; Karachaliou, F.-E. The molecular basis of calcium and phosphorus inherited metabolic disorders. Genes 2021, 12, 734. [Google Scholar] [CrossRef] [PubMed]
- Lombardi, G.; Ziemann, E.; Banfi, G.; Corbetta, S. Physical activity-dependent regulation of parathyroid hormone and calcium-phosphorous metabolism. Int. J. Mol. Sci. 2020, 21, 5388. [Google Scholar] [CrossRef]
- North American Menopause Society. The role of calcium in peri- and postmenopausal women: 2006 position statement of the north american menopause society. Menopause 2006, 13, 862–877, quiz 878–880. [Google Scholar] [CrossRef]
- Myung, S.-K.; Kim, H.-B.; Lee, Y.-J.; Choi, Y.-J.; Oh, S.-W. Calcium supplements and risk of cardiovascular disease: A meta-analysis of clinical trials. Nutrients 2021, 13, 368. [Google Scholar] [CrossRef]
- Reid, I.R. Cardiovascular effects of calcium supplements. Nutrients 2013, 5, 2522–2529. [Google Scholar] [CrossRef] [PubMed]
- Zhou, C.; Shi, Z.; Ouyang, N.; Ruan, X. Hyperphosphatemia and cardiovascular disease. Front. Cell Dev. Biol. 2021, 9, 644363. [Google Scholar] [CrossRef] [PubMed]
- Tsuchiya, K.; Akihisa, T. The importance of phosphate control in chronic kidney disease. Nutrients 2021, 13, 1670. [Google Scholar] [CrossRef] [PubMed]
- Kestenbaum, B.; Sampson, J.N.; Rudser, K.D.; Patterson, D.J.; Seliger, S.L.; Young, B.; Sherrard, D.J.; Andress, D.L. Serum phosphate levels and mortality risk among people with chronic kidney disease. J. Am. Soc. Nephrol. 2005, 16, 520–528. [Google Scholar] [CrossRef]
- Lim, C.C.; Teo, B.W.; Ong, P.G.; Cheung, C.Y.; Lim, S.C.; Chow, K.Y.; Meng, C.C.; Lee, J.; Tai, E.S.; Wong, T.Y.; et al. Chronic kidney disease, cardiovascular disease and mortality: A prospective cohort study in a multi-ethnic asian population. Eur. J. Prev. Cardiol. 2015, 22, 1018–1026. [Google Scholar] [CrossRef]
- McGovern, A.P.; de Lusignan, S.; van Vlymen, J.; Liyanage, H.; Tomson, C.R.; Gallagher, H.; Rafiq, M.; Jones, S. Serum phosphate as a risk factor for cardiovascular events in people with and without chronic kidney disease: A large community based cohort study. PLoS ONE 2013, 8, e74996. [Google Scholar]
- Cannata-Andía, J.B.; Carrillo-López, N.; Messina, O.D.; Hamdy, N.A.T.; Panizo, S.; Ferrari, S.L. Pathophysiology of vascular calcification and bone loss: Linked disorders of ageing? Nutrients 2021, 13, 3835. [Google Scholar] [CrossRef]
- Saito, Y.; Sakuma, M.; Narishima, Y.; Yoshida, T.; Kumagai, H.; Arai, H. Greater consumption of noodle is associated with higher serum phosphorus levels: A cross-sectional study on healthy participants. J. Clin. Biochem. Nutr. 2021, 68, 78–85. [Google Scholar] [CrossRef] [PubMed]
- Gutiérrez, O.M.; Isakova, T.; Enfield, G.; Wolf, M. Impact of poverty on serum phosphate concentrations in the third national health and nutrition examination survey. J. Ren. Nutr. 2011, 21, 140–148. [Google Scholar] [CrossRef][Green Version]
- Kim, J.J.; Yoon, J.; Lee, Y.-J.; Park, B.; Jung, D.-H. Predictive value of the atherogenic index of plasma (AIP) for the risk of incident ischemic heart disease among non-diabetic koreans. Nutrients 2021, 13, 3231. [Google Scholar] [CrossRef] [PubMed]
- Lee, S.-B.; Park, B.-J.; Lee, Y.-J.; Jung, D.-H. Early chronic kidney disease (G1-G3a) in combination with steatosis as a predictor of incident ischemic heart disease: A longitudinal study in non-diabetic koreans. Biomedicines 2021, 9, 1358. [Google Scholar] [CrossRef] [PubMed]
- Yoon, J.; Jung, D.; Lee, Y.; Park, B. The metabolic score for insulin resistance (METS-IR) as a predictor of incident ischemic heart disease: A longitudinal study among korean without diabetes. J. Pers. Med. 2021, 11, 742. [Google Scholar] [CrossRef]
- Kang, H.-T.; Linton, J.A.; Kwon, S.K.; Park, B.-J.; Lee, J.H. Ferritin level is positively associated with chronic kidney disease in korean men, based on the 2010–2012 korean national health and nutrition examination survey. Int. J. Environ. Res. Public Health 2016, 13, 1058. [Google Scholar] [CrossRef]
- Wang, L.; Manson, J.E.; Sesso, H.D. Calcium intake and risk of cardiovascular disease: A review of prospective studies and randomized clinical trials. Am. J. Cardiovasc. Drugs 2012, 12, 105–116. [Google Scholar] [CrossRef]
- Reid, I.R.; Bolland, M.J.; Avenell, A.; Grey, A. Cardiovascular effects of calcium supplementation. Osteoporos Int. 2011, 22, 1649–1658. [Google Scholar] [CrossRef]
- Bolland, M.J.; Grey, A.; Reid, I.R. Calcium supplements and cardiovascular risk: 5 years on. Ther. Adv. Drug Saf. 2013, 4, 199–210. [Google Scholar] [CrossRef]
- Bolland, M.J.; Grey, A.; Avenell, A.; Gamble, G.D.; Reid, I.R. Calcium supplements with or without vitamin d and risk of cardiovascular events: Reanalysis of the women’s health initiative limited access dataset and meta-analysis. BMJ 2011, 342, d2040. [Google Scholar] [CrossRef]
- Reid, I.; Gamble, G.; Bolland, M. Circulating calcium concentrations, vascular disease and mortality: A systematic review. J. Intern. Med. 2016, 279, 524–540. [Google Scholar] [CrossRef]
- Kim, K.J.; Kim, M.S.; Hong, N.; Bae, J.H.; Kim, K.J.; Kim, N.H.; Rhee, Y.; Lee, J.; Kim, S.G. Cardiovascular risks associated with calcium supplementation in patients with osteoporosis: A nationwide cohort study. Eur. Heart J. Cardiovasc. Pharmacother. 2021, 1–10. [Google Scholar] [CrossRef]
- Reiss, A.B.; Miyawaki, N.; Moon, J.; Kasselman, L.J.; Voloshyna, I.; D’Avino, R., Jr.; De Leon, J. Ckd, arterial calcification, atherosclerosis and bone health: Inter-relationships and controversies. Atherosclerosis 2018, 278, 49–59. [Google Scholar] [CrossRef]
- Palmer, S.C.; Hayen, A.; Macaskill, P.; Pellegrini, F.; Craig, J.C.; Elder, G.J.; Strippoli, G.F. Serum levels of phosphorus, parathyroid hormone, and calcium and risks of death and cardiovascular disease in individuals with chronic kidney disease: A systematic review and meta-analysis. JAMA 2011, 305, 1119–1127. [Google Scholar] [CrossRef] [PubMed]
- Tuttle, K.R.; Short, R.A. Longitudinal relationships among coronary artery calcification, serum phosphorus, and kidney function. Clin. J. Am. Soc. Nephrol. 2009, 4, 1968–1973. [Google Scholar] [CrossRef]
- Foley, R.N.; Collins, A.J.; Herzog, C.A.; Ishani, A.; Kalra, P.A. Serum phosphorus levels associate with coronary atherosclerosis in young adults. J. Am. Soc. Nephrol. 2009, 20, 397–404. [Google Scholar] [CrossRef]
- Shin, S.; Kim, K.J.; Chang, H.J.; Cho, I.; Kim, Y.J.; Choi, B.W.; Rhee, Y.; Lim, S.K.; Yang, W.I.; Shim, C.Y.; et al. Impact of serum calcium and phosphate on coronary atherosclerosis detected by cardiac computed tomography. Eur. Heart J. 2012, 33, 2873–2881. [Google Scholar] [CrossRef] [PubMed]
- Kai, R.; Murtala, B.; Zainuddin, A.A.; Amin, M.; Ilyas, M. Correlation between serum calcium and phosphate with coronary artery calcium scores on cardiac msct examination. St. Med. 2019, 15, 120–126. [Google Scholar] [CrossRef]
- Lee, Y.-K.; Choi, M.-K.; Hyun, T.; Lyu, E.-S.; Park, H.; Ro, H.-K.; Heo, Y.-R. Analysis of dietary calcium and phosphorus intakes and contribution rates of major dish groups according to gender, age, and region in korea. Korean J. Community Nutr. 2020, 25, 32–47. [Google Scholar] [CrossRef]
- März, W.; Seelhorst, U.; Wellnitz, B.; Tiran, B.; Obermayer-Pietsch, B.; Renner, W.; Boehm, B.O.; Ritz, E.; Hoffmann, M.M. Alanine to serine polymorphism at position 986 of the calcium-sensing receptor associated with coronary heart disease, myocardial infarction, all-cause, and cardiovascular mortality. J. Clin. Endocrinol. Metab. 2007, 92, 2363–2369. [Google Scholar] [CrossRef]
- Resnick, L.M. Ionic basis of hypertension, insulin resistance, vascular disease, and related disorders the mechanism of “Syndrome X”. Am. J. Hypertens. 1993, 6, 123S–134S. [Google Scholar] [CrossRef]
- Lau, W.L.; Pai, A.; Moe, S.M.; Giachelli, C.M. Direct effects of phosphate on vascular cell function. Adv. Chronic Kidney Dis. 2011, 18, 105–112. [Google Scholar] [CrossRef] [PubMed]
- Amann, K.; Törnig, J.; Kugel, B.; Gross, M.-L.; Tyralla, K.; El-Shakmak, A.; Szabo, A.; Ritz, E. Hyperphosphatemia aggravates cardiac fibrosis and microvascular disease in experimental uremia. Kidney Int. 2003, 63, 1296–1301. [Google Scholar] [CrossRef]
- Chue, C.D.; Townend, J.N.; Steeds, R.P.; Ferro, C.J. Republished paper: Arterial stiffness in chronic kidney disease: Causes and consequences. Postgrad. Med. J. 2010, 86, 560–566. [Google Scholar] [CrossRef]
- Bozic, M.; Panizo, S.; Sevilla, M.A.; Riera, M.; Soler, M.J.; Pascual, J.; Lopez, I.; Freixenet, M.; Fernandez, E.; Valdivielso, J.M. High phosphate diet increases arterial blood pressure via a parathyroid hormone mediated increase of renin. J. Hypertens. 2014, 32, 1822–1832. [Google Scholar] [CrossRef]
- Olmos, G.; Martínez-Miguel, P.; Alcalde-Estevez, E.; Medrano, D.; Sosa, P.; Rodríguez-Mañas, L.; Naves-Diaz, M.; Rodríguez-Puyol, D.; Ruiz-Torres, M.P.; López-Ongil, S. Hyperphosphatemia induces senescence in human endothelial cells by increasing endothelin-1 production. Aging Cell 2017, 16, 1300–1312. [Google Scholar] [CrossRef]
- Muñoz-Castañeda, J.R.; Rodelo-Haad, C.; Pendon-Ruiz de Mier, M.V.; Martin-Malo, A.; Santamaria, R.; Rodriguez, M. Klotho/fgf23 and wnt signaling as important players in the comorbidities associated with chronic kidney disease. Toxins 2020, 12, 185. [Google Scholar] [CrossRef] [PubMed]
- Voelkl, J.; Lang, F.; Eckardt, K.-U.; Amann, K.; Kuro-o, M.; Pasch, A.; Pieske, B.; Alesutan, I. Signaling pathways involved in vascular smooth muscle cell calcification during hyperphosphatemia. Cell. Mol. Life Sci. 2019, 76, 2077–2091. [Google Scholar] [CrossRef] [PubMed]
- Quinn, S.J.; Thomsen, A.R.; Pang, J.L.; Kantham, L.; Bräuner-Osborne, H.; Pollak, M.; Goltzman, D.; Brown, E.M. Interactions between calcium and phosphorus in the regulation of the production of fibroblast growth factor 23 in vivo. Am. J. Physiol. Endocrinol. Metab. 2013, 304, E310–E320. [Google Scholar] [CrossRef] [PubMed]



| Quartile of Serum Calcium | ||||||
|---|---|---|---|---|---|---|
| Q1 n = 4785 | Q2 n = 3243 | Q3 n = 4247 | Q4 n = 2984 | p-Value 1 | Post hoc 2 | |
| Serum calcium (mg/dl) | ≤8.90 | 8.91–9.10 | 9.11–9.40 | ≥9.41 | ||
| Age (years) | 46.9 ± 9.5 | 46.1 ± 9.5 | 45.7 ± 9.4 | 45.0 ± 9.4 | <0.001 | a,b,c,e,f |
| Male sex (%) | 39.2 | 50.0 | 58.1 | 67.3 | <0.001 | - |
| Body mass index (kg/m2) | 23.0 ± 2.9 | 23.2 ± 2.9 | 23.5 ± 2.9 | 24.0 ± 3.1 | <0.001 | a,b,c,d,e,f |
| Systolic blood pressure (mmHg) | 119.3 ± 15.2 | 121.3 ± 15.5 | 123.2 ± 14.9 | 126.4 ± 15.6 | <0.001 | a,b,c,d,e,f |
| Diastolic blood pressure (mmHg) | 74.5 ± 9.9 | 75.9 ± 10.1 | 77.1 ± 9.7 | 79.1 ± 10.0 | <0.001 | a,b,c,d,e,f |
| Fasting plasma glucose (mg/dl) | 90.7 ± 9.7 | 91.2 ± 9.7 | 91.7 ± 9.8 | 92.6 ± 9.8 | <0.001 | b,c,e,f |
| Total cholesterol (mg/dl) | 186.3 ± 32.3 | 188.4 ± 31.9 | 192.5 ± 33.9 | 197.7 ± 34.4 | <0.001 | a,b,c,d,e,f |
| Triglyceride (mg/dl) | 109.7 ± 66.7 | 119.0 ± 77.8 | 129.7 ± 83.3 | 154.3 ± 116.3 | <0.001 | a,b,c,d,e,f |
| HDL cholesterol (mg/dl) | 53.7 ± 12.9 | 53.4 ± 12.5 | 53.5 ± 12.5 | 52.9 ± 12.6 | 0.078 | |
| C-reactive protein (mg/L) | 0.9 ± 0.9 | 0.8 ± 0.9 | 0.9 ± 0.9 | 0.9 ± 0.9 | <0.001 | e |
| METS-IR | 33.1 ± 6.1 | 33.7 ± 6.2 | 34.4 ± 6.2 | 35.6 ± 6.7 | <0.001 | a,b,c,d,e,f |
| Serum phosphate (mg/dl) | 4.3 ± 1.2 | 4.0 ± 0.9 | 3.9 ± 0.8 | 3.9 ± 0.8 | <0.001 | a,b,c,d,e |
| Serum potassium (mmol/l) | 3.9 ± 0.4 | 4.0 ± 0.3 | 4.1 ± 0.3 | 4.2 ± 0.4 | <0.001 | a,b,c,d,e,f |
| eGFR (mL/min/1.73 m2) | 83.5 ± 13.5 | 83.6 ± 13.2 | 82.9 ± 13.4 | 81.8 ± 12.7 | <0.001 | c,e,f |
| Current smoker (%) | 19.2 | 22.1 | 27.7 | 32.8 | <0.001 | - |
| Alcohol drinking (%) | 35.2 | 42.8 | 47.8 | 53.6 | <0.001 | - |
| Regular exercise (%) | 31.1 | 29.9 | 31.2 | 31.9 | 0.378 | - |
| Hypertension (%) | 16.9 | 19.1 | 22.1 | 28.1 | <0.001 | - |
| Chronic kidney disease (%) | 2.2 | 1.9 | 2.0 | 2.3 | 0.622 | - |
| Quartile of Serum Phosphate | ||||||
|---|---|---|---|---|---|---|
| Q1 n = 4588 | Q2 n = 3114 | Q3 n = 3797 | Q4 n = 3760 | p-Value 1 | Post hoc 2 | |
| Serum phosphate (mg/dl) | ≤3.40 | 3.41–3.70 | 3.71–4.40 | ≥4.41 | ||
| Age (years) | 45.6 ± 9.4 | 44.5 ± 9.1 | 45.5 ± 9.6 | 48.4 ± 9.4 | <0.001 | a,b,d,e,f |
| Male sex (%) | 37.9 | 46.7 | 38.0 | 54.7 | <0.001 | - |
| Body mass index (kg/m2) | 23.9 ± 2.9 | 23.3 ± 3.0 | 23.1 ± 3.0 | 23.1 ± 2.9 | <0.001 | a,b,c,d,e |
| Systolic blood pressure (mmHg) | 125.2 ± 15.8 | 121.3 ± 15.1 | 120.4 ± 15.7 | 121.2 ± 14.6 | <0.001 | a,b,c |
| Diastolic blood pressure (mmHg) | 78.2 ± 10.3 | 75.7 ± 9.9 | 75.1 ± 10.2 | 76.1 ± 9.4 | <0.001 | a,b,c,f |
| Fasting plasma glucose (mg/dl) | 92.3 ± 9.5 | 90.6 ± 9.0 | 90.4 ± 9.5 | 92.3 ± 10.6 | <0.001 | a,b,e,f |
| Total cholesterol (mg/dl) | 185.7 ± 31.2 | 187.0 ± 32.2 | 190.5 ± 34.1 | 200.0 ± 34.3 | <0.001 | b,c,d,e,f |
| Triglyceride (mg/dl) | 134.6 ± 88.9 | 122.0 ± 80.2 | 121.7 ± 97.7 | 123.1 ± 75.9 | <0.001 | a,b,c |
| HDL cholesterol (mg/dl) | 51.7 ± 12.0 | 54.1 ± 12.6 | 54.9 ± 12.7 | 53.5 ± 13.2 | <0.001 | a,b,c,d,f |
| C-reactive protein (mg/L) | 0.9 ± 0.9 | 0.8 ± 0.9 | 0.9 ± 0.9 | 0.9 ± 0.9 | <0.001 | e |
| METS-IR | 35.2 ± 6.2 | 33.8 ± 6.3 | 33.3 ± 6.3 | 33.7 ± 6.3 | <0.001 | a,b,c,d,f |
| Serum calcium (mg/dl) | 9.2 ± 0.3 | 9.2 ± 0.3 | 9.2 ± 0.3 | 9.0 ± 0.3 | <0.001 | a,b,c,d,e,f |
| Serum potassium (mmol/l) | 4.1 ± 0.3 | 4.1 ± 0.3 | 4.1 ± 0.3 | 3.7 ± 0.4 | <0.001 | c,e,f |
| eGFR (mL/min/1.73 m2) | 84.1 ± 13.0 | 84.7 ± 13.0 | 84.0 ± 13.7 | 79.4 ± 12.7 | <0.001 | c,e,f |
| Current smoker (%) | 26.8 | 23.0 | 22.7 | 26.2 | <0.001 | - |
| Alcohol drinking (%) | 51.5 | 44.9 | 40.0 | 37.8 | <0.001 | - |
| Regular exercise (%) | 30.8 | 29.1 | 29.4 | 34.6 | <0.001 | - |
| Hypertension (%) | 24.9 | 18.5 | 18.4 | 20.9 | <0.001 | - |
| Chronic kidney disease (%) | 1.9 | 1.3 | 1.5 | 3.6 | 0.011 | - |
| Serum Calcium Quartiles | |||||
|---|---|---|---|---|---|
| Q1 | Q2 | Q3 | Q4 | p-Value | |
| New cases of IHD, n | 71 | 64 | 88 | 92 | |
| Mean follow-up, years | 2.0 ± 1.0 | 2.3 ± 1.0 | 2.6 ± 1.0 | 3.0 ± 1.0 | |
| Person-years of follow-up | 9680 | 7461 | 10,938 | 8822 | |
| Incidence rate/1000 person-years | 7.3 | 8.6 | 8.0 | 10.4 | |
| Model 1 | 1.00 (reference) | 1.24 (0.88–1.73) | 1.22 (0.89–1.67) | 1.72 (1.25–2.36) | 0.007 |
| Model 2 | 1.00 (reference) | 1.30 (0.91–1.86) | 1.32 (0.95–1.84) | 1.68 (1.20–2.36) | 0.029 |
| Model 3 | 1.00 (reference) | 1.43 (0.97–2.12) | 1.42 (0.96–2.10) | 1.77 (1.15–2.72) | 0.066 |
| Serum Phosphate Quartiles | |||||
|---|---|---|---|---|---|
| Q1 | Q2 | Q3 | Q4 | p-Value | |
| New cases of IHD, n | 82 | 53 | 71 | 109 | |
| Mean follow-up, years | 2.5 ± 1.1 | 2.5 ± 1.1 | 2.5 ± 1.1 | 2.2 ± 1.0 | |
| Person-years of follow-up | 11400 | 7680 | 9547 | 8275 | |
| Incidence rate/1000 person-years | 7.2 | 6.9 | 7.4 | 13.2 | |
| Model 1 | 1.00 (reference) | 1.18 (0.83–1.67) | 1.29 (0.93–1.79) | 1.65 (1.23–2.20) | 0.007 |
| Model 2 | 1.00 (reference) | 1.06 (0.73–1.54) | 1.23 (0.87–1.74) | 1.65 (1.22–2.22) | 0.006 |
| Model 3 | 1.00 (reference) | 0.96 (0.60–1.54) | 1.20 (0.79–1.82) | 1.73 (1.18–2.55) | 0.018 |
| Serum Calcium-to-Phosphate Ratio Quartiles | |||||
|---|---|---|---|---|---|
| Q1 | Q2 | Q3 | Q4 | p-Value | |
| New cases of IHD, n | 108 | 69 | 63 | 75 | |
| Mean follow-up, years | 2.2 ± 1.0 | 2.4 ± 1.1 | 2.5 ± 1.1 | 2.6 ± 1.0 | |
| Person-years of follow-up | 8360 | 9468 | 9202 | 9871 | |
| Incidence rate/1000 person-years | 12.9 | 7.3 | 6.8 | 7.6 | |
| Model 1 | 1.00 (reference) | 0.79 (0.58–1.08) | 0.71 (0.52–0.97) | 0.65 (0.48–0.88) | 0.024 |
| Model 2 | 1.00 (reference) | 0.69 (0.49–0.96) | 0.68 (0.49–0.94) | 0.64 (0.47–0.87) | 0.012 |
| Model 3 | 1.00 (reference) | 0.74 (0.50–1.11) | 0.64 (0.42–0.97) | 0.58 (0.39–0.87) | 0.041 |
Publisher’s Note: MDPI stays neutral with regard to jurisdictional claims in published maps and institutional affiliations. |
© 2022 by the authors. Licensee MDPI, Basel, Switzerland. This article is an open access article distributed under the terms and conditions of the Creative Commons Attribution (CC BY) license (https://creativecommons.org/licenses/by/4.0/).
Share and Cite
Jung, D.H.; Park, B.; Lee, Y.J. Longitudinal Effects of Serum Calcium and Phosphate Levels and Their Ratio on Incident Ischemic Heart Disease among Korean Adults. Biomolecules 2022, 12, 103. https://doi.org/10.3390/biom12010103
Jung DH, Park B, Lee YJ. Longitudinal Effects of Serum Calcium and Phosphate Levels and Their Ratio on Incident Ischemic Heart Disease among Korean Adults. Biomolecules. 2022; 12(1):103. https://doi.org/10.3390/biom12010103
Chicago/Turabian StyleJung, Dong Hyuk, Byoungjin Park, and Yong Jae Lee. 2022. "Longitudinal Effects of Serum Calcium and Phosphate Levels and Their Ratio on Incident Ischemic Heart Disease among Korean Adults" Biomolecules 12, no. 1: 103. https://doi.org/10.3390/biom12010103
APA StyleJung, D. H., Park, B., & Lee, Y. J. (2022). Longitudinal Effects of Serum Calcium and Phosphate Levels and Their Ratio on Incident Ischemic Heart Disease among Korean Adults. Biomolecules, 12(1), 103. https://doi.org/10.3390/biom12010103

