Effect of You-Gui-Wan on House Dust Mite-Induced Mouse Allergic Asthma via Regulating Amino Acid Metabolic Disorder and Gut Dysbiosis
Abstract
1. Introducti
2. Materials and Methods
2.1. Chemicals
2.2. Herbal Materials
2.3. Animal Experiment and Statement of Animal Ethics
2.4. Measurement of Airway Hyperresponsitivity
2.5. Measurement of Total IgE and Tumor Necrosis Factor (TNF)-α Content
2.6. Serum Metabolomic Profiling
2.7. Bioinformatics Analyses
2.8. Sequencing, Abundance and Diversity Analyses of Gut Microbiota
2.9. Statistical Analysis
3. Results
3.1. Effect of YGW on the Airway Hyperresponsivity and Total IgE Level in Der p-Induced Mouse Allergic Asthma
3.2. Metabolomics Profiling of YGW Treatment in Der p-Induced Allergic Asthma in Mice
3.3. Effect of YGW on Metabolic Pathways
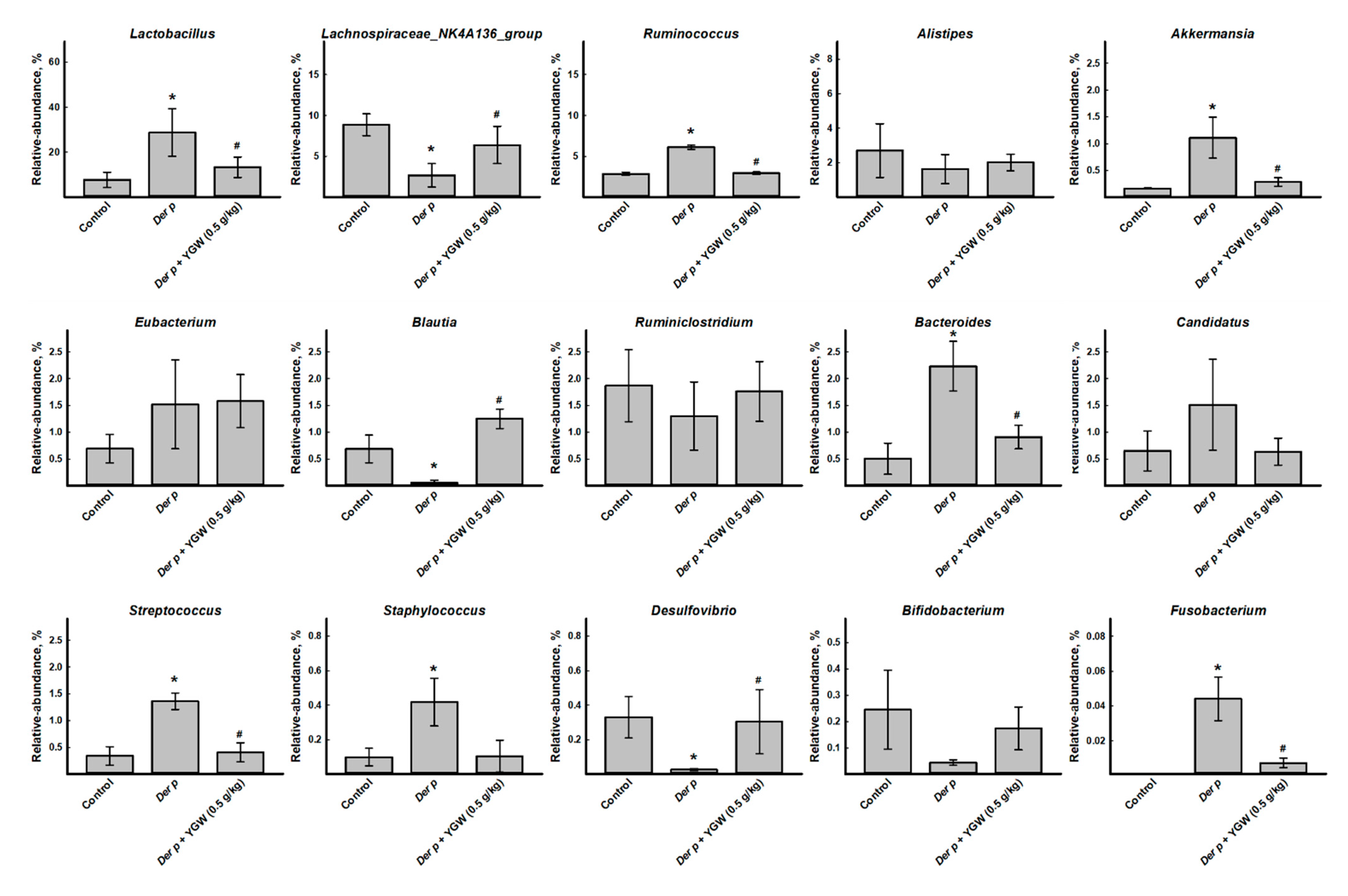
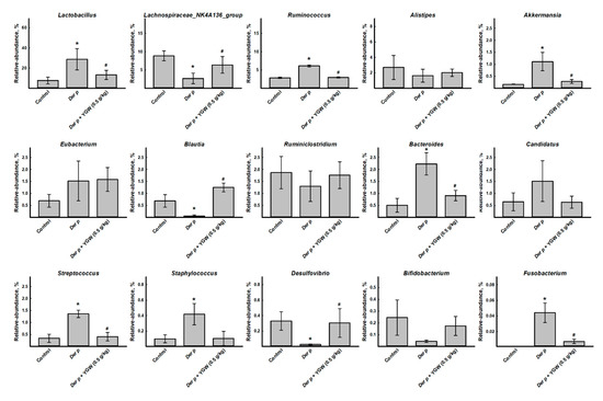
3.4. Effect of YGW on Gut Microbiota in Der p-Induced Allergic Asthma in Mice
3.5. Correlation between Metabolomic Signatures and Microbial Community
4. Discussion
5. Conclusions
Supplementary Materials
Author Contributions
Funding
Institutional Review Board Statement
Informed Consent Statement
Data Availability Statement
Acknowledgments
Conflicts of Interest
Abbreviations
| amino acid | AA |
| aromatic amino acid | AAA |
| branch-chain amino acid | BCAA |
| Chronic obstructive pulmonary disease | COPD |
| Dermatophagoides pteronyssinus | Der p |
| Dermatophagoides farina | Der f |
| dexamethasone | dex |
| house dust mites | HDM |
| Ingenuity Pathway Analysis | IPA |
| linear discriminant analysis | LDA |
| linear discriminant analysis effect size | LEfSe |
| operational taxonomic units | OTUs |
| partial least-squares discriminant analysis | PLS-DA |
| principal component analysis | PCA |
| Protein Analysis Through Evolutionary Relationships Classification System | PANTHER |
| Quantitative Insights Into Microbial Ecology v2 | QIIME2 |
| traditional Chinese medicine | TCM |
| variables important for the projection | VIP |
| You-Gui-Wan | YGW |
References
- Kay, A.B. Allergy and allergic diseases. First of two parts. N. Engl. J. Med. 2001, 344, 30–37. [Google Scholar] [CrossRef]
- Platts-Mills, T.A. The allergy epidemics: 1870-2010. J. Allergy Clin. Immunol. 2015, 136, 3–13. [Google Scholar] [CrossRef] [PubMed]
- Murrison, L.B.; Brandt, E.B.; Myers, J.B.; Hershey, G.K.K. Environmental exposures and mechanisms in allergy and asthma development. J. Clin. Investig. 2019, 129, 1504–1515. [Google Scholar] [CrossRef]
- Thomas, W.R.; Hales, B.J.; Smith, W.A. House dust mite allergens in asthma and allergy. Trends Mol. Med. 2010, 16, 321–328. [Google Scholar] [CrossRef]
- Fanta, C.H. Asthma. N. Engl. J. Med. 2009, 360, 1002–1014. [Google Scholar] [CrossRef] [PubMed]
- Global-Initiative-for-Asthma. Global Strategy for Asthma Management and Prevention (2020 Update). Available online: https://ginasthma.org/gina-reports/ (accessed on 7 March 2021).
- Hui, Y.; Li, L.; Qian, J.; Guo, Y.; Zhang, X.; Zhang, X. Efficacy analysis of three-year subcutaneous SQ-standardized specific immunotherapy in house dust mite-allergic children with asthma. Exp. Ther. Med. 2014, 7, 630–634. [Google Scholar] [CrossRef] [PubMed]
- Wang, C.M.; Chuang, J.J. Effect of mite allergen immunotherapy on the altered phenotype of dendritic cells in allergic asthmatic children. Ann. Allergy Asthma Immunol. 2013, 110, 107–112. [Google Scholar] [CrossRef]
- Moote, W.; Kim, H.; Ellis, A.K. Allergen-specific immunotherapy. Allergy Asthma Clin. Immunol. 2018, 14, 53. [Google Scholar] [CrossRef]
- IQWiG. Dust Mite Allergies: Allergen-Specific Immunotherapy (Desensitization) in the Treatment of Allergie. In InformedHealth.org [Internet]; Institute for Quality and Efficiency in Health Care (IQWiG): Cologne, Germany, 2020. [Google Scholar]
- Li, J.; Zhang, F.; Li, J. The Immunoregulatory Effects of Traditional Chinese Medicine on Treatment of Asthma or Asthmatic Inflammation. Am. J. Chin. Med. 2015, 43, 1059–1081. [Google Scholar] [CrossRef] [PubMed]
- Zhang, H.P.; Wang, L.; Wang, Z.; Xu, X.R.; Zhou, X.M.; Liu, G.; He, L.Y.; Wang, J.; Hsu, A.; Li, W.M.; et al. Chinese herbal medicine formula for acute asthma: A multi-center, randomized, double-blind, proof-of-concept trial. Respir. Med. 2018, 140, 42–49. [Google Scholar] [CrossRef]
- Zhang, J.Y. Jingyue Quanshu (Jingyue’s Complete Works); Reprint; Jiangxi Science and Technology Press: Nanchang, China, 2006; Volume 51. [Google Scholar]
- Yao, C.; Wang, L.; Cai, S.; Wei, H.; Zhou, X.; Wang, H.; Tian, Z. Protective effects of a Traditional Chinese Medicine, You-Gui-Wan, on steroid-induced inhibition of cytokine production in mice. Int. Immunopharmacol. 2005, 5, 1041–1048. [Google Scholar] [CrossRef] [PubMed]
- Kao, S.T.; Wang, S.D.; Lin, C.C.; Lin, L.J. Jin Gui Shen Qi Wan, a traditional Chinese medicine, alleviated allergic airway hypersensitivity and inflammatory cell infiltration in a chronic asthma mouse model. J. Ethnopharmacol. 2018, 227, 181–190. [Google Scholar] [CrossRef]
- Lin, L.J.; Lin, C.C.; Wang, S.D.; Chao, Y.P.; Kao, S.T. The immunomodulatory effect of You-Gui-Wan on Dermatogoides-pteronyssinus-induced asthma. Evid. Based Complement Alternat. Med. 2012, 2012, 476060. [Google Scholar] [CrossRef] [PubMed]
- Zhang, H.P.; Fu, J.J.; Fan, T.; Zhang, W.B.; Wang, Z.L.; Wang, L.; Wang, G. Histone deacetylation of memory T lymphocytes by You-Gui-Wan alleviates allergen-induced eosinophilic airway inflammation in asthma. Chin. Med. 2015, 10, 9. [Google Scholar] [CrossRef] [PubMed][Green Version]
- Hu, C.; Xu, G. Metabolomics and traditional Chinese medicine. TrAC Trends Anal. Chem. 2014, 61, 207–214. [Google Scholar] [CrossRef]
- Wang, M.; Chen, L.; Liu, D.; Chen, H.; Tang, D.D.; Zhao, Y.Y. Metabolomics highlights pharmacological bioactivity and biochemical mechanism of traditional Chinese medicine. Chem. Biol. Interact. 2017, 273, 133–141. [Google Scholar] [CrossRef]
- Albenberg, L.G.; Wu, G.D. Diet and the intestinal microbiome: Associations, functions, and implications for health and disease. Gastroenterology 2014, 146, 1564–1572. [Google Scholar] [CrossRef] [PubMed]
- Abdel-Aziz, M.I.; Vijverberg, S.J.H.; Neerincx, A.H.; Kraneveld, A.D.; Maitland-van der Zee, A.H. The crosstalk between microbiome and asthma: Exploring associations and challenges. Clin. Exp. Allergy 2019, 49, 1067–1086. [Google Scholar] [CrossRef] [PubMed]
- Flint, H.J.; Duncan, S.H.; Scott, K.P.; Louis, P. Links between diet, gut microbiota composition and gut metabolism. Proc. Nutr. Soc. 2015, 74, 13–22. [Google Scholar] [CrossRef]
- Marchesi, J.R.; Adams, D.H.; Fava, F.; Hermes, G.D.; Hirschfield, G.M.; Hold, G.; Quraishi, M.N.; Kinross, J.; Smidt, H.; Tuohy, K.M.; et al. The gut microbiota and host health: A new clinical frontier. Gut 2016, 65, 330–339. [Google Scholar] [CrossRef] [PubMed]
- Feng, W.; Ao, H.; Peng, C.; Yan, D. Gut microbiota, a new frontier to understand traditional Chinese medicines. Pharmacol. Res. 2019, 142, 176–191. [Google Scholar] [CrossRef] [PubMed]
- Johnson, D.B.; Kelley, B. Dexamethasone. In StatPearls; StatPearls Publishing: Treasure Island, FL, USA, 2020. [Google Scholar]
- Cheng, C.Y.; Chang, J.H. Effect of You-Gui-Wan on patient with allergic rhinitis: A case report. J. Integr. Chin. West. Med. 2018, 20, 39–49. [Google Scholar]
- Jiang, X.H.; Deng, Y.L.; Lu, H.; Duan, H.; Zhen, X.; Hu, X.; Liang, X.; Yie, S.M. Effect of rat medicated serum containing you gui wan on mouse oocyte in vitro maturation and subsequent fertilization competence. Evid. Based Complement Alternat. Med. 2014, 2014, 152010. [Google Scholar] [CrossRef]
- Wang, Y.F.; Chen, L.W.; Yang, R.C. Zuo Gui Wan and You Gui Wan. J. Taiwan Pharm. 2011, 27, 34–37. [Google Scholar] [CrossRef]
- Hsu, W.H.; Lee, C.H.; Chao, Y.M.; Kuo, C.H.; Ku, W.C.; Chen, C.C.; Lin, Y.L. ASIC3-dependent metabolomics profiling of serum and urine in a mouse model of fibromyalgia. Sci. Rep. 2019, 9, 12123. [Google Scholar] [CrossRef]
- Claesson, M.J.; Wang, Q.; O’Sullivan, O.; Greene-Diniz, R.; Cole, J.R.; Ross, R.P.; O’Toole, P.W. Comparison of two next-generation sequencing technologies for resolving highly complex microbiota composition using tandem variable 16S rRNA gene regions. Nucleic Acids Res. 2010, 38, e200. [Google Scholar] [CrossRef]
- Lane, D.J.; Pace, B.; Olsen, G.J.; Stahl, D.A.; Sogin, M.L.; Pace, N.R. Rapid determination of 16S ribosomal RNA sequences for phylogenetic analyses. Proc. Natl. Acad. Sci. USA 1985, 82, 6955–6959. [Google Scholar] [CrossRef]
- Hall, M.; Beiko, R.G. 16S rRNA Gene Analysis with QIIME2. Methods Mol. Biol. 2018, 1849, 113–129. [Google Scholar] [CrossRef]
- Edgar, R.C.; Haas, B.J.; Clemente, J.C.; Quince, C.; Knight, R. UCHIME improves sensitivity and speed of chimera detection. Bioinformatics 2011, 27, 2194–2200. [Google Scholar] [CrossRef]
- Edgar, R.C. UPARSE: Highly accurate OTU sequences from microbial amplicon reads. Nat. Methods 2013, 10, 996–998. [Google Scholar] [CrossRef]
- Quast, C.; Pruesse, E.; Yilmaz, P.; Gerken, J.; Schweer, T.; Yarza, P.; Peplies, J.; Glockner, F.O. The SILVA ribosomal RNA gene database project: Improved data processing and web-based tools. Nucleic Acids Res. 2013, 41, D590–D596. [Google Scholar] [CrossRef] [PubMed]
- Yilmaz, P.; Parfrey, L.W.; Yarza, P.; Gerken, J.; Pruesse, E.; Quast, C.; Schweer, T.; Peplies, J.; Ludwig, W.; Glockner, F.O. The SILVA and “All-species Living Tree Project (LTP)” taxonomic frameworks. Nucleic Acids Res. 2014, 42, D643–D648. [Google Scholar] [CrossRef] [PubMed]
- Segata, N.; Izard, J.; Waldron, L.; Gevers, D.; Miropolsky, L.; Garrett, W.S.; Huttenhower, C. Metagenomic biomarker discovery and explanation. Genome Biol. 2011, 12, R60. [Google Scholar] [CrossRef]
- Paulson, J.N.; Stine, O.C.; Bravo, H.C.; Pop, M. Differential abundance analysis for microbial marker-gene surveys. Nat. Methods 2013, 10, 1200–1202. [Google Scholar] [CrossRef]
- Yu, C.K.; Shieh, C.M.; Lei, H.Y. Repeated intratracheal inoculation of house dust mite (Dermatophagoides farinae) induces pulmonary eosinophilic inflammation and IgE antibody production in mice. J. Allergy Clin. Immunol. 1999, 104, 228–236. [Google Scholar] [CrossRef]
- Oettgen, H.C.; Geha, R.S. IgE regulation and roles in asthma pathogenesis. J. Allergy Clin. Immunol. 2001, 107, 429–440. [Google Scholar] [CrossRef] [PubMed]
- Tremaroli, V.; Backhed, F. Functional interactions between the gut microbiota and host metabolism. Nature 2012, 489, 242–249. [Google Scholar] [CrossRef]
- Wikoff, W.R.; Anfora, A.T.; Liu, J.; Schultz, P.G.; Lesley, S.A.; Peters, E.C.; Siuzdak, G. Metabolomics analysis reveals large effects of gut microflora on mammalian blood metabolites. Proc. Natl. Acad. Sci. USA 2009, 106, 3698–3703. [Google Scholar] [CrossRef]
- Bifari, F.; Ruocco, C.; Decimo, I.; Fumagalli, G.; Valerio, A.; Nisoli, E. Amino acid supplements and metabolic health: A potential interplay between intestinal microbiota and systems control. Genes Nutr. 2017, 12, 27. [Google Scholar] [CrossRef]
- Begley, L.; Madapoosi, S.; Opron, K.; Ndum, O.; Baptist, A.; Rysso, K.; Erb-Downward, J.R.; Huang, Y.J. Gut microbiota relationships to lung function and adult asthma phenotype: A pilot study. BMJ Open Respir. Res. 2018, 5, e000324. [Google Scholar] [CrossRef]
- Wang, J.Y. The innate immune response in house dust mite-induced allergic inflammation. Allergy Asthma Immunol. Res. 2013, 5, 68–74. [Google Scholar] [CrossRef]
- Bates, J.; Irvin, C.; Brusasco, V.; Drazen, J.; Fredberg, J.; Loring, S.; Eidelman, D.; Ludwig, M.; Macklem, P.; Martin, J.; et al. The use and misuse of Penh in animal models of lung disease. Am. J. Respir. Cell Mol. Biol. 2004, 31, 373–374. [Google Scholar] [CrossRef]
- Lundblad, L.K.; Irvin, C.G.; Hantos, Z.; Sly, P.; Mitzner, W.; Bates, J.H. Penh is not a measure of airway resistance! Eur. Respir. J. 2007, 30, 805. [Google Scholar] [CrossRef]
- Inman, M.D. Trends and recommendations in studies of mouse airway function. Clin. Exp. Allergy 2010, 40, 524–527. [Google Scholar] [CrossRef]
- Wishart, D.S. Emerging applications of metabolomics in drug discovery and precision medicine. Nat. Rev. Drug Discov. 2016, 15, 473–484. [Google Scholar] [CrossRef]
- Dodd, D.; Spitzer, M.H.; Van Treuren, W.; Merrill, B.D.; Hryckowian, A.J.; Higginbottom, S.K.; Le, A.; Cowan, T.M.; Nolan, G.P.; Fischbach, M.A.; et al. A gut bacterial pathway metabolizes aromatic amino acids into nine circulating metabolites. Nature 2017, 551, 648–652. [Google Scholar] [CrossRef]
- Zhou, H.; Yu, B.; Gao, J.; Htoo, J.K.; Chen, D. Regulation of intestinal health by branched-chain amino acids. Anim. Sci. J. 2018, 89, 3–11. [Google Scholar] [CrossRef]
- Metges, C.C. Contribution of microbial amino acids to amino acid homeostasis of the host. J. Nutr. 2000, 130, 1857S–1864S. [Google Scholar] [CrossRef]
- Fujimura, K.E.; Lynch, S.V. Microbiota in allergy and asthma and the emerging relationship with the gut microbiome. Cell Host Microbe 2015, 17, 592–602. [Google Scholar] [CrossRef]
- Ver Heul, A.; Planer, J.; Kau, A.L. The human microbiota and asthma. Clin. Rev. Allergy Immunol. 2019, 57, 350–363. [Google Scholar] [CrossRef]
- Ouwehand, A.C.; Isolauri, E.; He, F.; Hashimoto, H.; Benno, Y.; Salminen, S. Differences in Bifidobacterium flora composition in allergic and healthy infants. J. Allergy Clin. Immunol. 2001, 108, 144–145. [Google Scholar] [CrossRef]
- Shou, Q.; Jin, L.; Lang, J.; Shan, Q.; Ni, Z.; Cheng, C.; Li, Q.; Fu, H.; Cao, G. Integration of metabolomics and transcriptomics reveals the therapeutic mechanism underlying paeoniflorin for the treatment of allergic asthma. Front. Pharmacol. 2018, 9, 1531. [Google Scholar] [CrossRef]
- Ho, W.E.; Xu, Y.J.; Cheng, C.; Peh, H.Y.; Tannenbaum, S.R.; Wong, W.S.F.; Ong, C.N. Metabolomics reveals inflammatory-linked pulmonary metabolic alterations in a murine model of house dust mite-induced allergic asthma. J. Proteome Res. 2014, 13, 3771–3782. [Google Scholar] [CrossRef]
- Chang, C.; Guo, Z.G.; He, B.; Yao, W.Z. Metabolic alterations in the sera of Chinese patients with mild persistent asthma: A GC-MS-based metabolomics analysis. Acta Pharmacol. Sin. 2015, 36, 1356–1366. [Google Scholar] [CrossRef]
- Asilsoy, S.; Bekem, O.; Karaman, O.; Uzuner, N.; Kavukcu, S. Serum total and free carnitine levels in children with asthma. World J. Pediatr. 2009, 5, 60–62. [Google Scholar] [CrossRef]
- Rebholz, C.M.; Lichtenstein, A.H.; Zheng, Z.; Appel, L.J.; Coresh, J. Serum untargeted metabolomic profile of the Dietary Approaches to Stop Hypertension (DASH) dietary pattern. Am. J. Clin. Nutr. 2018, 108, 243–255. [Google Scholar] [CrossRef]
- Al-Biltagi, M.; Isa, M.; Bediwy, A.S.; Helaly, N.; El Lebedy, D.D. L-carnitine improves the asthma control in children with moderate persistent asthma. J. Allergy 2012, 2012, 509730. [Google Scholar] [CrossRef]
- Kertys, M.; Grendar, M.; Kosutova, P.; Mokra, D.; Mokry, J. Plasma based targeted metabolomic analysis reveals alterations of phosphatidylcholines and oxidative stress markers in guinea pig model of allergic asthma. Biochim. Biophys. Acta Mol. Basis Dis. 2020, 1866, 165572. [Google Scholar] [CrossRef]
- Bush, A. Cytokines and chemokines as biomarkers of future asthma. Front. Pediatr. 2019, 7, 72. [Google Scholar] [CrossRef]
- Bach, E.; Moller, A.B.; Jorgensen, J.O.; Vendelbo, M.H.; Jessen, N.; Olesen, J.F.; Pedersen, S.B.; Nielsen, T.S.; Moller, N. Intact pituitary function is decisive for the catabolic response to TNF-alpha: Studies of protein, glucose and fatty acid metabolism in hypopituitary and healthy subjects. J. Clin. Endocrinol. Metab. 2015, 100, 578–586. [Google Scholar] [CrossRef][Green Version]
- Moffett, J.R.; Namboodiri, M.A. Tryptophan and the immune response. Immunol. Cell Biol. 2003, 81, 247–265. [Google Scholar] [CrossRef]
- Calder, P.C. Branched-chain amino acids and immunity. J. Nutr. 2006, 136, 288S–293S. [Google Scholar] [CrossRef]
- Fan, P.; Li, L.; Rezaei, A.; Eslamfam, S.; Che, D.; Ma, X. Metabolites of Dietary Protein and Peptides by Intestinal Microbes and their Impacts on Gut. Curr. Protein Peptide Sci. 2015, 16, 646–654. [Google Scholar] [CrossRef]
- Chiu, C.Y.; Cheng, M.L.; Chiang, M.H.; Wang, C.J.; Tsai, M.H.; Lin, G. Metabolomic Analysis Reveals Distinct Profiles in the Plasma and Urine Associated with IgE Reactions in Childhood Asthma. J. Clin. Med. 2020, 9, 887. [Google Scholar] [CrossRef]
- Crestani, E.; Harb, H.; Charbonnier, L.M.; Leirer, J.; Motsinger-Reif, A.; Rachid, R.; Phipatanakul, W.; Kaddurah-Daouk, R.; Chatila, T.A. Untargeted metabolomic profiling identifies disease-specific signatures in food allergy and asthma. J. Allergy. Clin. Immunol. 2020, 145, 897–906. [Google Scholar] [CrossRef] [PubMed]
- Cervenka, I.; Agudelo, L.Z.; Ruas, J.L. Kynurenines: Tryptophan’s metabolites in exercise, inflammation, and mental health. Science 2017, 357. [Google Scholar] [CrossRef] [PubMed]
- Hu, Y.; Chen, Z.; Jin, L.; Wang, M.; Liao, W. Decreased expression of indolamine 2,3-dioxygenase in childhood allergic asthma and its inverse correlation with fractional concentration of exhaled nitric oxide. Ann. Allergy Asthma Immunol. 2017, 119, 429–434. [Google Scholar] [CrossRef] [PubMed]
- Unuvar, S.; Erge, D.; Kilicarslan, B.; Gozukara Bag, H.G.; Catal, F.; Girgin, G.; Baydar, T. Neopterin Levels and Indoleamine 2,3-Dioxygenase Activity as Biomarkers of Immune System Activation and Childhood Allergic Diseases. Ann. Lab. Med. 2019, 39, 284–290. [Google Scholar] [CrossRef]
- Lee-Sarwar, K.A.; Lasky-Su, J.; Kelly, R.S.; Litonjua, A.A.; Weiss, S.T. Gut Microbial-Derived Metabolomics of Asthma. Metabolites 2020, 10, 97. [Google Scholar] [CrossRef]
- Malkawi, A.K.; Alzoubi, K.H.; Jacob, M.; Matic, G.; Ali, A.; Al Faraj, A.; Almuhanna, F.; Dasouki, M.; Abdel Rahman, A.M. Metabolomics based profiling of dexamethasone side effects in rats. Front. Pharmacol. 2018, 9, 46. [Google Scholar] [CrossRef]
- Kong, Y.H.; Shi, Q.; Han, N.; Zhang, L.; Zhang, Y.Y.; Gao, T.X.; Chen, C.; Li, Y.L. Structural modulation of gut microbiota in rats with allergic bronchial asthma treated with recuperating lung decoction. Biomed. Environ. Sci. 2016, 29, 574–583. [Google Scholar] [CrossRef] [PubMed]






| Metabolite Name | HMDB | Der p | Der p + YGW (0.5 g/kg) | |||
|---|---|---|---|---|---|---|
| Der p/Control | p Value (vs. Control) | VIP Value (vs. Control) | Der p + YGW/Control | p Value (vs. Der p) | ||
| Acetylcarnitine a | HMDB0000201 | 1.432 | 0.033 | 4.829 | 0.967 | 0.030 |
| Betaine a | HMDB0000043 | 1.242 | 0.010 | 3.241 | 0.915 | 0.019 |
| Carnitine a | HMDB0000062 | 1.212 | 0.028 | 1.599 | 1.056 | 0.244 |
| Hypoxanthine a | HMDB0000157 | 1.212 | 0.028 | 1.595 | 1.056 | 0.246 |
| Isoleucine a | HMDB0000172 | 1.227 | 0.014 | 3.906 | 0.902 | 0.007 |
| Methionine a | HMDB0000696 | 1.289 | 0.041 | 1.430 | 0.999 | 0.037 |
| Norleucine a | HMDB0001645 | 1.238 | 0.021 | 1.666 | 0.907 | 0.018 |
| Phenylalanine a | HMDB0000159 | 1.230 | 0.031 | 2.711 | 0.998 | 0.127 |
| Tryptophan a | HMDB0000929 | 1.346 | 0.049 | 1.577 | 0.875 | 0.048 |
| Valine a | HMDB0000883 | 1.192 | 0.031 | 3.513 | 0.896 | 0.029 |
| 2-Methylbutyryl-L-carnitine | HMDB0000378 | 1.679 | 0.031 | 0.049 | 1.186 | 0.233 |
| Valeryl-L-carnitine | HMDB0013128 | 1.679 | 0.031 | 0.049 | 1.186 | 0.367 |
| L-3-Phenyllactic acid | HMDB0000748 | 1.504 | 0.014 | 0.013 | 1.053 | 0.012 |
| Ketoleucine | HMDB0000695 | 1.484 | 0.027 | 0.065 | 1.043 | 0.016 |
| Tetradecanoyl-L-carnitine | HMDB0005066 | 1.405 | 0.027 | 0.051 | 0.937 | 0.025 |
| 3-Hydroxybutyric acid | HMDB0000357 | 1.401 | 0.024 | 0.113 | 0.930 | 0.017 |
| D-threo-Isocitric acid | HMDB0001874 | 1.358 | 0.026 | 0.112 | 1.479 | 0.279 |
| 2-Hydroxybutyric acid | HMDB0000008 | 1.314 | 0.028 | 0.069 | 1.128 | 0.112 |
| Citric acid | HMDB0000094 | 1.221 | 0.026 | 0.066 | 1.275 | 0.745 |
| Pantethine | HMDB0003828 | 1.150 | 0.018 | 0.011 | 0.958 | 0.057 |
| Hydroxyphenyllactic acid | HMDB0000755 | 0.663 | 0.005 | 0.017 | 0.856 | 0.053 |
| Phosphorylcholine | HMDB0001565 | 0.616 | 0.035 | 0.009 | 0.879 | 0.179 |
| Lysine | HMDB0003405 | 0.217 | 0.010 | 0.936 | 1.018 | 0.002 |
Publisher’s Note: MDPI stays neutral with regard to jurisdictional claims in published maps and institutional affiliations. |
© 2021 by the authors. Licensee MDPI, Basel, Switzerland. This article is an open access article distributed under the terms and conditions of the Creative Commons Attribution (CC BY) license (https://creativecommons.org/licenses/by/4.0/).
Share and Cite
Hsu, W.-H.; Lin, L.-J.; Lu, C.-K.; Kao, S.-T.; Lin, Y.-L. Effect of You-Gui-Wan on House Dust Mite-Induced Mouse Allergic Asthma via Regulating Amino Acid Metabolic Disorder and Gut Dysbiosis. Biomolecules 2021, 11, 812. https://doi.org/10.3390/biom11060812
Hsu W-H, Lin L-J, Lu C-K, Kao S-T, Lin Y-L. Effect of You-Gui-Wan on House Dust Mite-Induced Mouse Allergic Asthma via Regulating Amino Acid Metabolic Disorder and Gut Dysbiosis. Biomolecules. 2021; 11(6):812. https://doi.org/10.3390/biom11060812
Chicago/Turabian StyleHsu, Wei-Hsiang, Li-Jen Lin, Chung-Kuang Lu, Shung-Te Kao, and Yun-Lian Lin. 2021. "Effect of You-Gui-Wan on House Dust Mite-Induced Mouse Allergic Asthma via Regulating Amino Acid Metabolic Disorder and Gut Dysbiosis" Biomolecules 11, no. 6: 812. https://doi.org/10.3390/biom11060812
APA StyleHsu, W.-H., Lin, L.-J., Lu, C.-K., Kao, S.-T., & Lin, Y.-L. (2021). Effect of You-Gui-Wan on House Dust Mite-Induced Mouse Allergic Asthma via Regulating Amino Acid Metabolic Disorder and Gut Dysbiosis. Biomolecules, 11(6), 812. https://doi.org/10.3390/biom11060812

