Radical Dehalogenation and Purine Nucleoside Phosphorylase E. coli: How Does an Admixture of 2′,3′-Anhydroinosine Hinder 2-fluoro-cordycepin Synthesis
Abstract
1. Introduction
2. Materials and Methods
2.1. General Procedures
2.2. Synthesis of Nucleosides
2.2.1. Synthesis of 2′,5′-Di-O-acetyl-3′-deoxyinosine (8)
2.2.2. Synthesis of 3′-Deoxyinosine (9)
2.2.3. Synthesis of 2′,3′-Anhydroinosine (11)
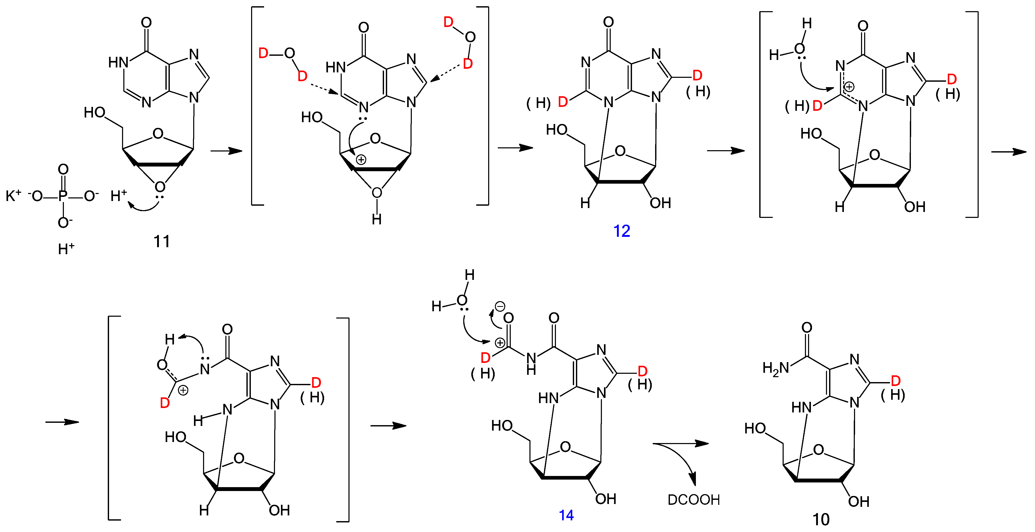
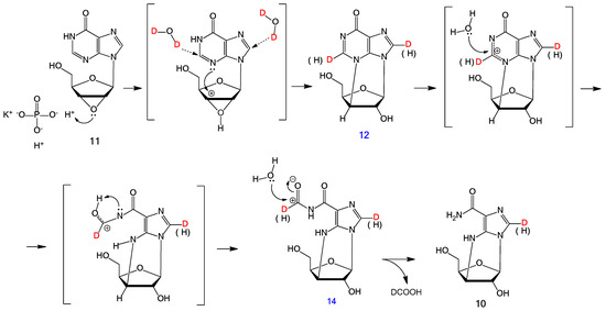
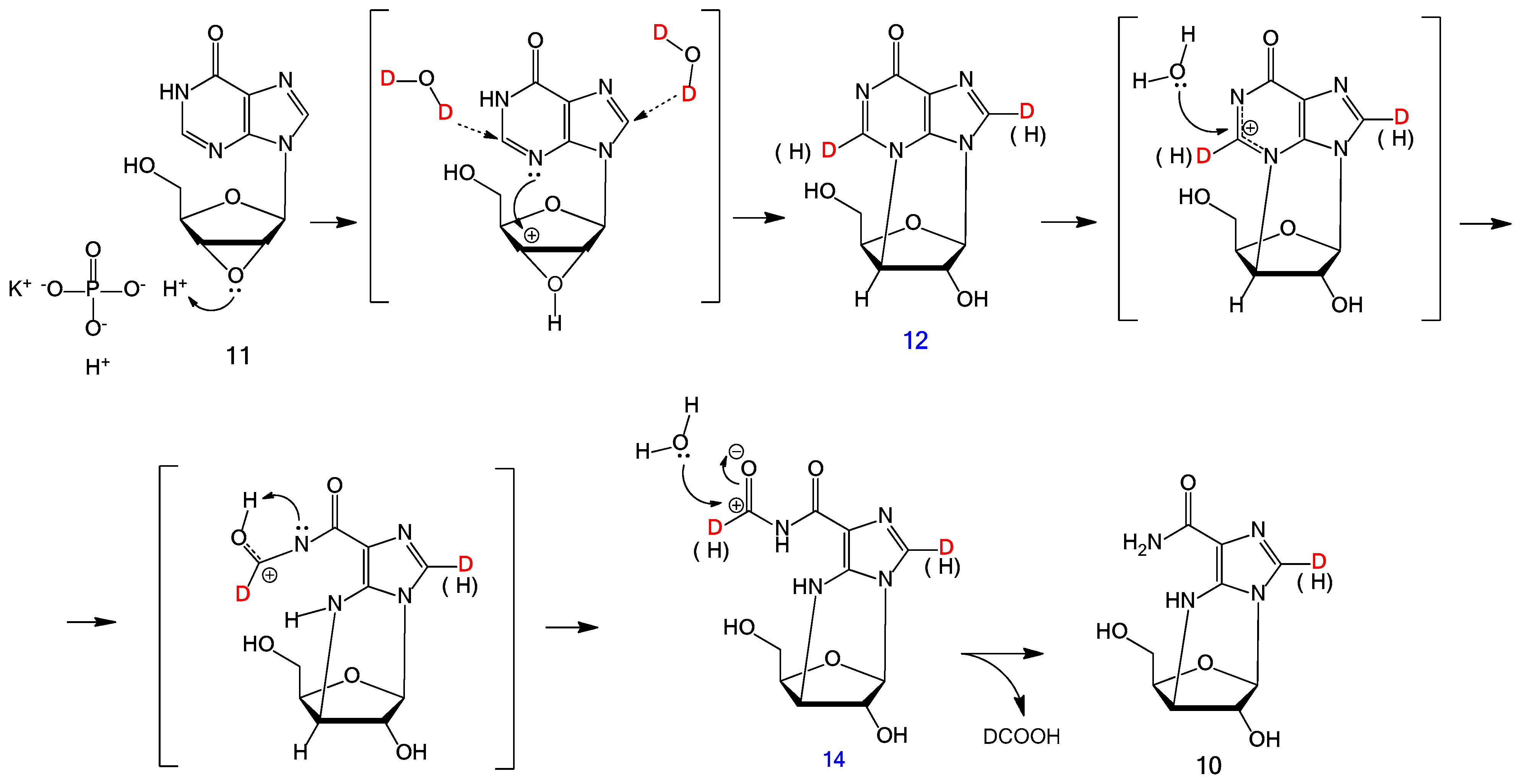
2.2.4. Compounds 10, 12, 14
2.3. Escherichia coli Purine Nucleoside Phosphorylase Inhibition Assay
2.4. Calculation of The Reaction Rate Constants and Solvent Kinetic Isotope Effects (KIE)
3. Results
3.1. Deciphering the Mechanism of Degradation of Inosine Epoxide in D2O
3.2. Escherichia Coli Purine Nucleoside Phosphorylase Inhibition Assay
3.3. Calculation of the Reaction Rate Constants and Solvent Kinetic Isotope Effects (KIE)
4. Discussion
5. Conclusions
Supplementary Materials
Author Contributions
Funding
Institutional Review Board Statement
Informed Consent Statement
Data Availability Statement
Conflicts of Interest
Abbreviations
| 2-Cl-Cord | 2-chlorocordycepin |
| 2-F-Ade | 2-fluoroadenine |
| 2-F-Ado | 2-fluoroadenosine |
| 2-F-Cord | 2-fluorocordycepin |
| 3′-dIno | 3′-deoxyinosine |
| ADA | adenosine deaminase |
| Cord | cordycepin (3′-deoxyadenosine) |
| DMSO | dimethyl sulfoxide |
| HMBC | heteronuclear multiple bond correlation spectroscopy |
| HSQC | heteronuclear single quantum correlation spectroscopy |
| Hyp | hypoxanthine |
| Ino | inosine |
| KIE | kinetic isotope effects |
| PNP | purine nucleoside phosphorylase |
References
- Cunningham, K.G.; Manson, W.; Spring, F.S.; Hutchinson, S.A. Cordycepin, a metabolic product isolated from cultures of Cordyceps militaris (Linn). Nature 1950, 166, 949. [Google Scholar] [CrossRef]
- Cunningham, K.G.; Hutchinson, S.A.; Manson, W.; Spring, F.S. 508. Cordycepin, a metabolic product from cultures of Cordyceps militaris (Linn.) link. Part I. Isolation and characterization. J. Chem. Soc. 1951, 2, 2299–2300. [Google Scholar] [CrossRef]
- Kaczka, E.A.; Trenner, N.R.; Arison, B.; Walker, R.W.; Folkers, K. Identification of cordycepin, a metabolite of Cordyceps militaris, as 3′-deoxyadenosine. Biochem. Biophys. Res. Commun. 1964, 14, 456–457. [Google Scholar] [CrossRef]
- Rich, M.A.; Meyers, P.; Weinbaum, G.; Cory, J.G.; Suhadolnik, R.J. Inhibition of human tumor cells by cordycepin. BBA 1965, 95, 194–204. [Google Scholar] [CrossRef]
- Ng, T.B.; Wang, H.X. Pharmacological actions of Cordyceps, a prized folk medicine. Pharm. Pharmacol. 2005, 57, 1509–1519. [Google Scholar] [CrossRef] [PubMed]
- Jin, Y.; Meng, X.; Qiu, Z.; Su, Y.; Yu, P.; Qu, P. Anti-tumor and anti-metastatic roles of cordycepin, one bioactive compound of Cordyceps militaris. Saudi J. Biol. Sci. 2018, 25, 991–995. [Google Scholar] [CrossRef] [PubMed]
- Nakamura, K.; Shinozuka, K.; Yoshikawa, N. Anticancer and antimetastatic effects of cordycepin, an active component of Cordyceps sinensis. J. Pharmacol. Sci. 2015, 127, 53–56. [Google Scholar] [CrossRef] [PubMed]
- Tang, J.P.; Qian, Z.Q.; Zhu, L. Two-step shake-static fermentation to enhance cordycepin production by cordyceps militaris. Chem. Eng. Trans. 2015, 46, 19–24. [Google Scholar]
- Suman, K.V.; Lundback, T.; Yeheskieli, E.; Sjoberg, B.; Gustavsson, A.-L.; Svensson, R.; Olivera, C.G.; Eze, A.A.; Koning, H.P.; Hammarstrom, G.J.; et al. Structure−Activity Relationships of Synthetic Cordycepin Analogues as Experimental Therapeutics for African Trypanosomiasis. J. Med. Chem. 2013, 13, 45–58. [Google Scholar]
- Vodnala, S.K.; Lundbäck, L.; Yeheskieli, E.; Sjöberg, B.; Gustavsson, A.-L.; Svensson, R.; Olivera, G.C.; Eze, A.A. Structure-activity relationships of synthetic Cordicepin analogues as experimental therapeutics for African Thrypanosomiasis. J. Med. Chem. 2013, 56, 9861–9873. [Google Scholar] [CrossRef] [PubMed]
- Filler, R. Fluorine in medical chemistry: A century of progress and a 60-year retrospective of selected highlights. Future Med. Chem. 2009, 1, 777–791. [Google Scholar] [CrossRef]
- Strunecka, A.; Patocka, J.; Connett, P. Fluorine in medicine. J. Appl. Biomed. 2004, 2, 141–150. [Google Scholar] [CrossRef]
- Liu, P.; Sharon, A.; Chu, C.K. Fluorinated nucleosides: Synthesis and biological implication. J. Fluor. Chem. 2008, 129, 743–766. [Google Scholar] [CrossRef]
- Begue, J.-P.; Bonnet-Delpon, D. Recent advances (1995–2005) in fluorinated pharmaceuticals based on natural products. J. Fluor. Chem. 2006, 127, 992–1012. [Google Scholar] [CrossRef]
- Esipov, R.S.; Gurevich, A.I.; Chuvikovsky, D.V.; Chupova, L.A.; Muravyova, T.I.; Miroshnikov, A.I. Overexpression of Escherichia coli genes encoding nucleoside phosphorylases in the pET/Bl21(DE3) system yields active recombinant enzymes. Protein Expr. Purif. 2002, 24, 56–60. [Google Scholar] [CrossRef] [PubMed]
- Barai, V.N.; Zinchenko, A.I.; Eroshevskaya, L.A.; Zhernosek, E.V.; De Clercq, E.; Mikhailopulo, I.A. Chemo-enzymatic synthesis of 3-deoxy-β-d-ribofuranosyl purines. Helv. Chim. Acta 2002, 85, 1893–1900. [Google Scholar] [CrossRef]
- Barai, V.N.; Zinchenko, A.I.; Eroshevskaya, L.A.; Zhernosek, E.V.; Balzarini, J.; De Clercq, E.; Mikhailopulo, I.A. Chemo-enzymatic synthesis of 3-deoxy-β-d-ribofuranosyl purines and study of their biological properties. Nucleos. Nucleot. Nucl. Acids 2003, 22, 751–753. [Google Scholar] [CrossRef] [PubMed]
- Denisova, A.O.; Tokunova, Y.A.; Fateev, I.V.; Breslav, A.A.; Leonov, V.N.; Dorofeeva, E.V.; Lutonina, O.I.; Muzyka, I.S.; Esipov, R.S.; Kayushin, A.L.; et al. The Chemoenzymatic Synthesis of 2-Chloro- and 2-Fluorocordycepins. Synthesis 2017, 49, 4853–4860. [Google Scholar]
- Mengel, R.; Muhs, W. Urnwandlung von Inosin in 2′- und 3′-Desoxy- sowie 2′,3′-Anhydroinosin. Liebigs Ann. Chem. 1977, 10, 1585–1596. [Google Scholar] [CrossRef]
- Robins, M.J.; Fouron, Y.; Mengel, R. Nucleic Acid Related Compounds. 11. Adenosine 2′,3′-ribo-Epoxide. Synthesis, Intramolecular Degradation, and Transformation into 3′-Substituted Xylofuranosyl Nucleosides and the lyxo-Epoxide. J. Org. Chem. 1974, 39, 1564–1570. [Google Scholar] [CrossRef]
- Robins, M.J.; Mengel, R.; Jones, R.A.; Fouron, Y. Nucleic Acid Related Compounds. Transformation of Ribonucleoside 2′,3′-O-Ortho Esters into Halo, Deoxy, and Epoxy Sugar Nucleosides Using Acyl Halides. Mechanism and Structure of products. J. Am. Chem. Soc. 1976, 98, 8204–8213. [Google Scholar] [CrossRef] [PubMed]
- Robins, M.J.; Wilson, J.S.; Madej, D.; Low, N.H.; Hansske, F.; Wnuk, S.F. Nucleic Acid-Related Compounds. 88. Efficient Conversions of Ribonucleosides into Their 2′, 3′-Anhydro, 2′(and 3′)-Deoxy, 2′,3′-Didehydro-2′, 3′-dideoxy, and 2′,3′-Dideoxynucleoside Analogs. J. Org. Chem. 1995, 60, 7902–7908. [Google Scholar] [CrossRef]















![]() | |||||||
| pH (pD) | Solvent | k1, 1/h | k2, 1/h | k3, 1/h | KIE1 | KIE2 | KIE3 |
| 7.0 | H2O | 0.011 ± 0.001 | 0.17 ± 0.02 | 0.046 ± 0.004 | 1.10 ± 0.11 | 1.31 ± 0.15 | 0.77 ± 0.07 |
| D2O | 0.010 ± 0.001 | 0.13 ± 0.01 | 0.060 ± 0.005 | ||||
| 4.1 | H2O | 0.0081 ± 0.0006 | 0.047 ± 0.006 | 0.015 ± 0.002 | 1.14 ± 0.08 | 1.34 ± 0.17 | 0.68 ± 0.09 |
| D2O | 0.0071 ± 0.0004 | 0.035 ± 0.003 | 0.022 ± 0.002 | ||||
Publisher’s Note: MDPI stays neutral with regard to jurisdictional claims in published maps and institutional affiliations. |
© 2021 by the authors. Licensee MDPI, Basel, Switzerland. This article is an open access article distributed under the terms and conditions of the Creative Commons Attribution (CC BY) license (https://creativecommons.org/licenses/by/4.0/).
Share and Cite
Kayushin, A.L.; Tokunova, J.A.; Fateev, I.V.; Arnautova, A.O.; Berzina, M.Y.; Paramonov, A.S.; Lutonina, O.I.; Dorofeeva, E.V.; Antonov, K.V.; Esipov, R.S.; et al. Radical Dehalogenation and Purine Nucleoside Phosphorylase E. coli: How Does an Admixture of 2′,3′-Anhydroinosine Hinder 2-fluoro-cordycepin Synthesis. Biomolecules 2021, 11, 539. https://doi.org/10.3390/biom11040539
Kayushin AL, Tokunova JA, Fateev IV, Arnautova AO, Berzina MY, Paramonov AS, Lutonina OI, Dorofeeva EV, Antonov KV, Esipov RS, et al. Radical Dehalogenation and Purine Nucleoside Phosphorylase E. coli: How Does an Admixture of 2′,3′-Anhydroinosine Hinder 2-fluoro-cordycepin Synthesis. Biomolecules. 2021; 11(4):539. https://doi.org/10.3390/biom11040539
Chicago/Turabian StyleKayushin, Alexey L., Julia A. Tokunova, Ilja V. Fateev, Alexandra O. Arnautova, Maria Ya. Berzina, Alexander S. Paramonov, Olga I. Lutonina, Elena V. Dorofeeva, Konstantin V. Antonov, Roman S. Esipov, and et al. 2021. "Radical Dehalogenation and Purine Nucleoside Phosphorylase E. coli: How Does an Admixture of 2′,3′-Anhydroinosine Hinder 2-fluoro-cordycepin Synthesis" Biomolecules 11, no. 4: 539. https://doi.org/10.3390/biom11040539
APA StyleKayushin, A. L., Tokunova, J. A., Fateev, I. V., Arnautova, A. O., Berzina, M. Y., Paramonov, A. S., Lutonina, O. I., Dorofeeva, E. V., Antonov, K. V., Esipov, R. S., Mikhailopulo, I. A., Miroshnikov, A. I., & Konstantinova, I. D. (2021). Radical Dehalogenation and Purine Nucleoside Phosphorylase E. coli: How Does an Admixture of 2′,3′-Anhydroinosine Hinder 2-fluoro-cordycepin Synthesis. Biomolecules, 11(4), 539. https://doi.org/10.3390/biom11040539


