Silymarin-Enriched Biostimulant Foliar Application Minimizes the Toxicity of Cadmium in Maize by Suppressing Oxidative Stress and Elevating Antioxidant Gene Expression
Abstract
1. Introduction
2. Materials and Methods
2.1. Plant Material, Experimental Description, and Layout
2.2. Preparations of Maize Grain Extract (MEg) and Silymarin (Sm) Solutions
2.3. Maize Morphological Traits
2.4. Leaf Photosynthetic Efficiency
2.5. Oxidative Stress Biomarker Levels and Their Damage in Maize Plants
2.6. Determination of Cd Content
2.7. Determination of Antioxidant Contents and Redox State
2.8. Determination of Silymarin (Sm) Content
2.9. Phytohormone Analysis
2.10. Enzymatic Antioxidant Activities Assaying and Molecular Study
2.11. Analysis of the Resulting Data
3. Results
3.1. The Desired Characteristics of Maize Grain Extract (MEg) Used in This Study
3.2. The Response of Maize Plant Morphology and Leaf Photosynthetic Efficiency to MEg and/or Sm
3.3. The Response of Oxidative Stress Markers and Their Damages to MEg and/or Sm
3.4. The Response of Free Proline Content, Levels, and Redox States of Ascorbate (AsA) and Glutathione (GSH) to MEg and/or Sm
3.5. The Response of Enzyme Activities and Hormonal Levels to MEg and/or Sm
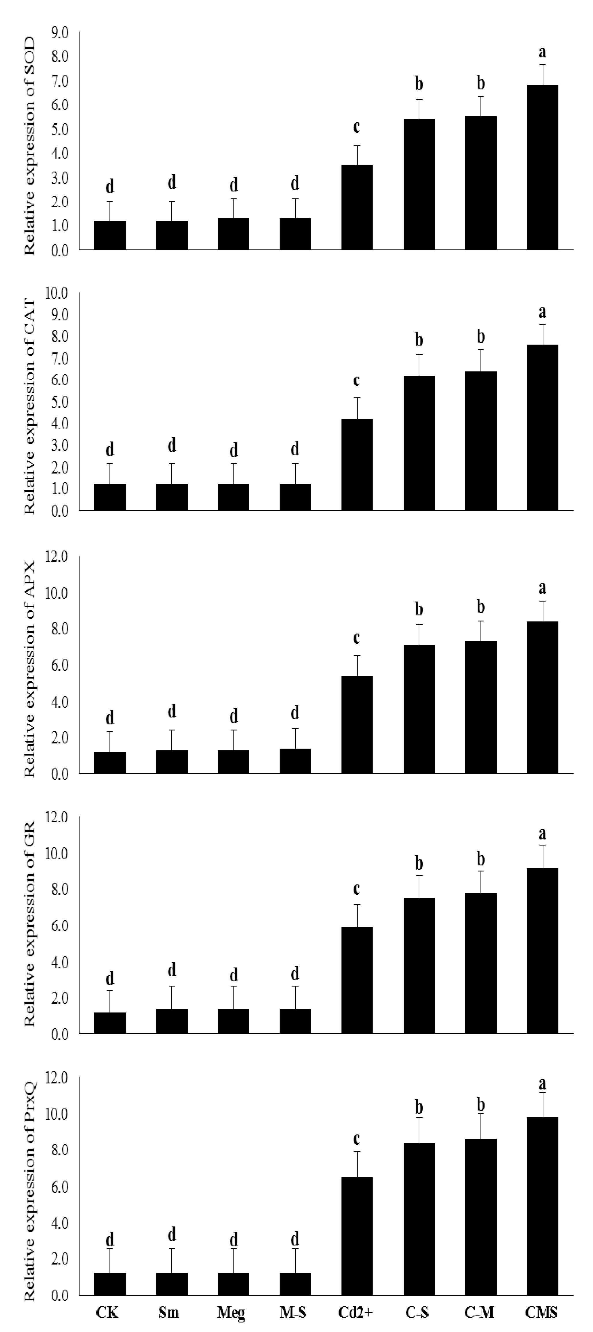
3.6. The Response of Gene Transcript Levels to MEg and/or Sm
3.7. The Interrelationship among the Traits Evaluated in Response to MEg and/or Sm
4. Discussion
5. Conclusions
Supplementary Materials
Author Contributions
Funding
Institutional Review Board Statement
Informed Consent Statement
Data Availability Statement
Acknowledgments
Conflicts of Interest
References
- Alzahrani, Y.; Kuşvuran, A.; Alharby, H.F.; Kuşvuran, S.; Rady, M.M. The defensive role of silicon in wheat against stress conditions induced by drought, salinity or cadmium. Ecotoxicol. Environ. Saf. 2018, 154, 187–196. [Google Scholar] [CrossRef] [PubMed]
- Semida, W.M.; Hemida, K.A.; Rady, M.M. Sequenced ascorbate-proline-glutathione seed treatment elevates cadmium tolerance in cucumber transplants. Ecotoxicol. Environ. Saf. 2018, 154, 171–179. [Google Scholar] [CrossRef] [PubMed]
- Alzahrani, Y.; Rady, M.M. Compared to antioxidants and polyamines, the role of maize grain-derived organic bi-ostimulants in improving cadmium tolerance in wheat plants. Ecotoxicol. Environ. Saf. 2019, 182, 109378. [Google Scholar] [CrossRef] [PubMed]
- Desoky, E.M.; Elrys, A.S.; Rady, M.M. Integrative Moringa and Licorice extracts application improves performance and reduces fruit contamination content of pepper plants grown on heavy metals-contaminated saline soil. Ecotoxicol. Environ. Saf. 2019, 169, 50–60. [Google Scholar] [CrossRef]
- Rady, M.M.; Elrys, E.S.; Abo El-Maati, M.E.; Desoky, E.M. Interplaying roles of silicon and proline effectively improve salt and cadmium stress tolerance in Phaseolus vulgaris plant. Plant Physiol. Biochem. 2019, 139, 558–568. [Google Scholar] [CrossRef]
- Taie, H.A.A.; El-Yazal, M.A.S.; Ahmed, S.M.A.; Rady, M.M. Polyamines modulate growth, antioxidant activity, and genomic DNA in heavy metal–stressed wheat plant. Environ. Sci. Pollut. Res. 2019, 26, 22338–22350. [Google Scholar] [CrossRef]
- Desoky, E.M.; Merwad, A.M.; Semida, W.M.; Ibrahim, S.A.; El-Saadony, M.T.; Rady, M.M. Heavy Metals-Resistant Bac-teria (HM-RB): Potential bioremediators for heavy metals-stressed spinach plants. Ecotoxicol. Environ. Saf. 2020, 198, 110685. [Google Scholar] [CrossRef]
- Imran, M.; Hussain, S.; El-Esawi, M.A.; Rana, M.S.; Saleem, M.H.; Riaz, M.; Ashraf, U.; Potcho, M.P.; Duan, M.; Rajput, I.A.; et al. Molybdenum Supply Alleviates the Cadmium Toxicity in Fragrant Rice by Modulating Oxidative Stress and Antioxidant Gene Expression. Biomology 2020, 10, 1582. [Google Scholar] [CrossRef] [PubMed]
- Shanying, H.; Xiaoe, Y.; Zhenli, H.; Baligar, V.C. Morphological and physiological responses of plants to cadmium toxicity: A review. Pedosphere 2017, 27, 421–438. [Google Scholar]
- Sarwar, N.; Ishaq, W.; Farid, G.; Shaheen, M.R.; Imran, M.; Geng, M.; Hussain, S. Zinc–cadmium interactions: Impact on wheat physiology and mineral acquisition. Ecotoxicol. Environ. Saf. 2015, 122, 528–536. [Google Scholar] [CrossRef]
- Hussain, S.; Khaliq, A.; Noor, M.A.; Tanveer, M.; Hussain, H.A.; Shah, T.; Mehmood, T. Metal Toxicity and Nitrogen Metabolism in Plants: An Overview. In Carbon and Nitrogen Cycling in Soil; Springer International Publishing: Berlin, Germany, 2020; pp. 221–248. [Google Scholar]
- Hussain, S.; Khan, F.; Cao, W.; Wu, L.; Geng, M. Seed priming alters the production and detoxification of reactive ox-ygen intermediates in rice seedlings grown under sub-optimal temperature and nutrient supply. Front. Plant Sci. 2016, 7, 439. [Google Scholar] [CrossRef]
- Kevrešan, S.; Petrović, N.; Popovic, M.; Kandrač, J. Nitrogen and Protein Metabolism in Young Pea Plants as Affected by Different Concentrations of Nickel, Cadmium, Lead, and Molybdenum. J. Plant Nutr. 2001, 24, 1633–1644. [Google Scholar] [CrossRef]
- Cao, F.; Wang, R.; Cheng, W.; Zeng, F.; Ahmed, I.M.; Hu, X.; Zhang, G.; Wu, F. Genotypic and environmental variation in cadmium, chromium, lead and copper in rice and approaches for reducing the accumulation. Sci. Total Environ. 2014, 496, 275–281. [Google Scholar] [CrossRef] [PubMed]
- Grant, C.; Clarke, J.; Duguid, S.; Chaney, R. Selection and breeding of plant cultivars to minimize cadmium accumu-lation. Sci. Total Environ. 2008, 390, 301–310. [Google Scholar] [CrossRef] [PubMed]
- Uraguchi, S.; Mori, S.; Kuramata, M.; Kawasaki, A.; Arao, T.; Ishikawa, S. Root-to-shoot Cd translocation via the xy-lem is the major process determining shoot and grain cadmium accumulation in rice. J. Exp. Bot. 2009, 60, 2677–2688. [Google Scholar] [CrossRef] [PubMed]
- Bertoli, A.C.; Cannata, M.G.; Carvalho, R.; Bastos, A.R.R.; Freitas, M.P.; dos Santos Augusto, A. Lycopersicon escu-lentum submitted to Cd-stressful conditions in nutrition solution: Nutrient contents and translocation. Ecotoxicol. Environ. Saf. 2012, 86, 176–181. [Google Scholar] [CrossRef]
- Khan, A.; Khan, S.; Alam, M.; Khan, M.A.; Aamir, M.; Qamar, Z.; Rehman, Z.U.; Perveen, S. Toxic metal interactions affect the bioaccumulation and dietary intake of macro- and micro-nutrients. Chemosphere 2016, 146, 121–128. [Google Scholar] [CrossRef]
- Ismael, M.A.; Elyamine, A.M.; Zhao, Y.Y.; Moussa, M.G.; Rana, M.S.; Afzal, J.; Imran, M.; Zhao, X.H.; Hu, C.X. Can Selenium and Molybdenum Restrain Cadmium Toxicity to Pollen Grains in Brassica napus? Int. J. Mol. Sci. 2018, 19, 2163. [Google Scholar] [CrossRef] [PubMed]
- Semida, W.M.; Rady, M.M. Presoaking application of propolis and maize grain extracts alleviates salinity stress in common bean (Phaseolus vulgaris L.). Sci. Hortic. 2014, 168, 210–217. [Google Scholar] [CrossRef]
- Rady, M.M.; Talaat, N.B.; Abdelhamid, M.T.; Shawky, B.T.; Desoky, E.-S.M. Maize (Zea mays L.) grains extract mitigates the deleterious effects of salt stress on common bean (Phaseolus vulgaris L.) growth and physiology. J. Hortic. Sci. Biotechnol. 2019, 94, 777–789. [Google Scholar] [CrossRef]
- Rehman, H.U.; Alharby, H.F.; Alzahrani, Y.; Rady, M.M. Magnesium and organic biostimulant integrative application induces physiological and biochemical changes in sunflower plants and its harvested progeny on sandy soil. Plant Physiol. Biochem. 2018, 126, 97–105. [Google Scholar] [CrossRef]
- Alharby, H.F.; Alzahrani, Y.N.; Rady, M.M. Seeds pretreatment with zeatins or maize grain-derived organic biostim-ulant improved hormonal contents, polyamine gene expression, and salinity and drought tolerance of wheat. Int. J. Agric. Biol. 2020, 24, 714–724. [Google Scholar]
- Pál, M.; Horváth, E.; Janda, T.; Páldi, E.; Szalai, G. Physiological changes and defense mechanisms induced by cad-mium stress in maize. J. Plant Nutr. Soil Sci. 2006, 169, 239–246. [Google Scholar] [CrossRef]
- Badr, R. Molecular and Physiological Responses of Maize and Wheat Plants After Exposure to Some Abiotic Environ-Mental Stresses. Ph.D. Dissertation, Faculty of science, Alexandria University, Alexandria, Egypt, 2014. [Google Scholar]
- Gajdos, É.; Lévai, L.; Veres, S.; Kovács, B. Effects of Biofertilizers on Maize and Sunflower Seedlings under Cadmium Stress. Commun. Soil Sci. Plant Anal. 2012, 43, 272–279. [Google Scholar] [CrossRef]
- Bates, L.S.; Waldren, R.P.; Teare, I.D. Rapid determination of free proline for water-stress studies. Plant Soil 1973, 39, 205–207. [Google Scholar] [CrossRef]
- Kampfenkel, K.; Van Montagu, M. Extraction and determination of ascorbate and dehydroascorbate from plant tis-sue. Anal. Biochem. 1995, 225, 165–167. [Google Scholar] [CrossRef] [PubMed]
- Griffth, O.W. Determination of glutathione and glutathione disulfide using glutathione reductase and 2 vinyl pyri-dine. Anal. Biochem. 1980, 106, 207–212. [Google Scholar] [CrossRef]
- Arampatzis, D.A.; Karkanis, A.C.; Tsiropoulos, N.G. Silymarin content and antioxidant activity of seeds of wild Si-lybum marianum populations growing in Greece. Ann. Appl. Biol. 2019, 174, 61–73. [Google Scholar] [CrossRef]
- Arampatzis, D.A.; Karkanis, A.C.; Tsiropoulos, N.G. Impact of Plant Density and Mepiquat Chloride on Growth, Yield, and Silymarin Content of Silybum marianum Grown under Mediterranean Semi-Arid Conditions. Agronomy 2019, 9, 669. [Google Scholar] [CrossRef]
- Lee, S.C.; Kim, J.H.; Jeong, S.M.; Kim, D.R.; Ha, J.U.; Nam, K.C. Effect of far-infrared radiation on the antioxidant activ-ity of rice hulls. J. Agric. Food Chem. 2003, 51, 4400–4403. [Google Scholar] [CrossRef]
- Terra, L.A.; Soares, C.P.; Meneses, C.H.S.G.; Sfeir, T.Z.M.; Souza, E.M.; Silveira, V.; Vidal, S.M.; Baldani, J.I.; Schwab, S. Transcriptome and proteome profiles of the diazotroph Nitrospirillum amazonense strain CBAmC in response to the sugarcane apoplast fluid. Plant Soil. 2020, 451, 145–168. [Google Scholar] [CrossRef]
- Konrad, M.L.F.; Silva, J.A.B.; Furlani, P.R.; Machado, E.C. Trocas gasosas e fluorescência da clorofila em seis culti-vares de cafeeiro sob estresse de alumínio. Bragantia 2005, 64, 30–37. [Google Scholar] [CrossRef]
- Wellburn, A.R. The spectral determination of chlorophylls a and b, as well as total Carotenoids, using various sol-vents with spectrophotometers of different resolution. J. Plant Physiol. 1994, 144, 307–313. [Google Scholar] [CrossRef]
- Avron, M. Photophosphorylation by swiss-chard chloroplasts. Biochim. Biophys. Acta BBA—Ioenerg. 1960, 40, 257–272. [Google Scholar] [CrossRef]
- Kubiś, J. Exogenous spermidine differentially alters activities of some scavenging system enzymes, H2O2 and superoxide radical levels in water-stressed cucumber leaves. J. Plant Physiol. 2008, 165, 397–406. [Google Scholar] [CrossRef]
- Velikova, V.; Yordanov, I.; Edreva, A. Oxidative stress and some antioxidant systems in acid rain-treated bean plants. Plant Sci. 2000, 151, 59–66. [Google Scholar] [CrossRef]
- Heath, R.L.; Packer, L. Photo peroxidation isolated chloroplasts: Kinetics and stoichiometry of fatty acid peroxida-tion. Arch. Biochem. Biophys. 1968, 125, 189–198. [Google Scholar] [CrossRef]
- Rady, M.M. Effect of 24-epibrassinolide on growth, yield, antioxidant system and cadmium content of bean (Phaseolus vulgaris L.) plants under salinity and cadmium stress. Sci. Hortic. 2011, 129, 232–237. [Google Scholar] [CrossRef]
- Chapman, H.D.; Pratt, P.F. Methods of Analysis for Soils, Plants and Waters. Soil Sci. 1962, 93, 68. [Google Scholar] [CrossRef]
- Bradford, M.M. A rapid and sensitive method for the quantitation of microgram quantities of protein utilizing the principle of protein-dye binding. Anal. Biochem. 1976, 72, 248–254. [Google Scholar] [CrossRef]
- Kono, Y. Generation of superoxide radical during autoxidation of hydroxylamine and an assay for superoxide dis-mutase. Arch. Biochem. Biophys. 1978, 186, 189–195. [Google Scholar] [CrossRef]
- Aebi, H. Catalase in vitro. Methods Enzymol. 1984, 105, 121–126. [Google Scholar] [PubMed]
- Rao, M.V.; Paliyath, G.; Ormrod, P. Ultraviolet-9- and Ozone-lnduced Biochemical Changes in Antioxidant Enzymes of Arabidopsis thaliana. Plant Physiol. 1996, 110, 125–136. [Google Scholar] [CrossRef]
- Ruijter, J.M.; Ramakers, C.; Hoogaars, W.M.H.; Karlen, Y.; Bakker, O.; Hoff, M.J.B.V.D.; Moorman, A.F.M. Amplification efficiency: Linking baseline and bias in the analysis of quantitative PCR data. Nucleic Acids Res. 2009, 37, e45. [Google Scholar] [CrossRef]
- Pfaffl, M.W. A new mathematical model for relative quantification in real-time RT-PCR. Nucleic Acids Res. 2001, 29, e45. [Google Scholar] [CrossRef] [PubMed]
- Steel, R.G.D.; Torrie, J.H.; Dicky, D.A. Principles and Procedures of Statistics: A Biometrical Approach, 3rd ed.; McGraw-Hill, International Book Co.: New York, NY, USA, 1997; pp. 352–358. [Google Scholar]
- Sytar, O.; Kumari, P.; Yadav, S.; Brestic, M.; Rastogi, A. Phytohormone Priming: Regulator for Heavy Metal Stress in Plants. J. Plant Growth Regul. 2019, 38, 739–752. [Google Scholar] [CrossRef]
- Desoky, E.-S.M.; ElSayed, A.I.; Merwad, A.-R.M.A.; Rady, M.M. Stimulating antioxidant defenses, antioxidant gene expression, and salt tolerance in Pisum sativum seedling by pretreatment using licorice root extract (LRE) as an organ-ic biostimulant. Plant Physiol. Biochem. 2019, 142, 292–302. [Google Scholar] [CrossRef]
- Rady, M.M.; Hemida, Kh.A. Sequenced application of ascorbate-proline-glutathione improves salt tolerance in maize seedlings. Ecotoxicol. Environ. Saf. 2016, 133, 252–259. [Google Scholar] [CrossRef]
- Rady, M.M.; Taha, R.S.; Mahdi, A.H.A. Proline enhances growth, productivity and anatomy of two varieties of Lupi-nus termis L. grown under salt stress. S. Afr. J. Bot. 2016, 102, 221–227. [Google Scholar] [CrossRef]
- Merwad, A.M.A.; Desoky, E.M.; Rady, M.M. Drought-stressed Vigna unguiculata growth, yield, water use efficiency, physio-biochemical attributes and anatomy responses to silicon, proline or methionine foliar application. Sci. Hortic. 2018, 228, 132–144. [Google Scholar] [CrossRef]
- Abdel-Hafeez, A.N.A.; El-Mageed, T.A.A.; Rady, M.M. Impact of Ascorbic Acid Foliar Spray and Seed Treatment with Cyanobacteria on Growth and Yield Component of Sunflower Plants under Saline Soil Conditions. Int. Lett. Nat. Sci. 2019, 76, 136–146. [Google Scholar] [CrossRef]
- Rady, M.M.; Kuşvuran, A.; Alharby, H.F.; Alzahrani, Y.; Kuşvuran, S. Pretreatment with proline or an organic bio-stimulant induces salt tolerance in wheat plants by improving antioxidant redox state and enzymatic activities and reducing the oxidative stress. J. Plant Growth Regul. 2019, 38, 449–462. [Google Scholar] [CrossRef]
- Zaki, S.S.; Belal, E.E.; Rady, M.M. Cyanobacteria and Glutathione Applications Improve Productivity, Nutrient Contents, and Antioxidant Systems of Salt-Stressed Soybean Plant. Int. Lett. Nat. Sci. 2019, 76, 72–85. [Google Scholar] [CrossRef]
- Al-Elwany, O.A.; Mohamed, G.F.; Abdehrahman, H.A.; Rady, M.M.; Abdel Latef, A.H. Exogenous glutathi-one-mediated tolerance to deficit irrigation stress in salt-affected Capsicum frutescence (L.) plants is connected with higher antioxidant content and proper ion homeostasis. Not. Bot. Horti Agrobot. Cluj Napoca. 2020, 48, 1957–1979. [Google Scholar] [CrossRef]
- Desoky, E.-S.M.; Mansour, E.; Yasin, M.A.T.; El-Sobky, E.-S.E.A.; Rady, M.M. Improvement of drought tolerance in five different cultivars of Vicia faba with foliar application of ascorbic acid or silicon. Span. J. Agric. Res. 2020, 18, e0802. [Google Scholar] [CrossRef]
- Rehman, H.U.; Alharby, H.F.; Bamagoos, A.A.; Abdelhamid, M.T.; Rady, M.M. Sequenced application of glutathione as an antioxidant with an organic biostimulant improves physiological and metabolic adaptation to salinity in wheat. Plant Physiol. Biochem. 2021, 158, 43–52. [Google Scholar] [CrossRef]
- Rady, M.M.; Mohamed, G.F. Modulation of salt stress effects on the growth, physio-chemical attributes and yields of Phaseolus vulgaris L. plants by the combined application of salicylic acid and Moringa oleifera leaf extract. Sci. Hortic. 2015, 193, 105–113. [Google Scholar] [CrossRef]
- Semida, W.M.; Rady, M.M. Pre-soaking in 24-epibrassinolide or salicylic acid improves seed germination, seedling growth, and anti-oxidant capacity in Phaseolus vulgaris L. grown under NaCl stress. J. Hortic. Sci. Biotechnol. 2014, 89, 338–344. [Google Scholar] [CrossRef]
- Semida, W.M.; Rady, M.M.; Abd El-Mageed, T.A.; Howladar, S.M.; Abdelhamid, M.T. Alleviation of cadmium toxicity in common bean (Phaseolus vulgaris L.) plants by the exogenous application of salicylic acid. J. Hortic. Sci. Biotechnol. 2015, 90, 83–91. [Google Scholar]
- Bücker-Neto, L.; Paiva, A.L.S.; Machado, R.D.; Arenhart, R.A.; Margis-Pinheiro, M. Interactions between plant hor-mones and HMs responses. Genet. Mol. Biol. 2017, 40, 373–386. [Google Scholar] [CrossRef] [PubMed]
- Wani, S.H.; Kumar, V.; Shriram, V.; Sahd, S.K. Phytohormones and their metabolic engineering for abiotic stress tol-erance in crop plants. Crop J. 2016, 4, 162–176. [Google Scholar] [CrossRef]
- He, Y.; Li, W.; Lv, J.; Jia, Y.; Wang, M.; Xia, G. Ectopic expression of a wheat MYB transcription factor gene, TaMYB73, improves salinity stress tolerance in Arabidopsis thaliana. J. Exp. Bot. 2011, 63, 1511–1522. [Google Scholar] [CrossRef]
- Verma, V.; Ravindran, P.; Kumar, P.P. Plant hormone-mediated regulation of stress responses—A review. BMC Plant Biol. 2016, 16, 86. [Google Scholar] [CrossRef]
- Pospisilova, J. Interaction of Cytokinins and Abscisic Acid During Regulation of Stomatal Opening in Bean Leaves. Photosynth. 2003, 41, 49–56. [Google Scholar] [CrossRef]
- Chakrabarti, N.; Mukherji, S. Alleviation of NaCl Stress by Pretreatment with Phytohormones in Vigna radiata. Biol. Plant. 2003, 46, 589–594. [Google Scholar] [CrossRef]
- Bashri, G.; Prasad, S.M. Indole acetic acid modulates changes in growth, chlorophyll a fluorescence and anti-oxidant potential of Trigonella foenum-graecum L. grown under cadmium stress. Acta Physiol. Plant. 2015, 37, 1745. [Google Scholar] [CrossRef]
- Fahad, S.; Hussain, S.; Bano, A.; Saud, S.; Hassan, S.; Shan, D.; Khan, F.A.; Khan, F.; Chen, Y.; Wu, C. Potential role of phytohormones and plant growth-promoting rhizobacteria in abiotic stresses: Consequences for changing environ-ment. Environ. Sci. Pollut. Res. 2015, 22, 4907–4921. [Google Scholar] [CrossRef] [PubMed]
- Ahmed, A.; Hasnain, S. Auxins as one of the factors of plant growth improvement by plant growth promoting rhizo-bacteria. Pol. J. Microbiol. 2014, 63, 261–266. [Google Scholar] [CrossRef] [PubMed]
- Wu, H.-M.; Hazak, O.; Cheung, A.Y.; Yalovsky, S. RAC/ROP GTPases and Auxin Signaling. Plant Cell 2011, 23, 1208–1218. [Google Scholar] [CrossRef] [PubMed]
- Parray, J.A.; Jan, S.; Kamili, A.N.; Qadri, R.A.; Egamberdieva, D.; Ahmad, P. Current Perspectives on Plant Growth-Promoting Rhizobacteria. J. Plant Growth Regul. 2016, 35, 877–902. [Google Scholar] [CrossRef]
- Ghavami, N.; Ramin, A.A. Grain Yield and Active Substances of Milk Thistle as Affected by Soil Salinity. Commun. Soil Sci. Plant Anal. 2008, 39, 2608–2618. [Google Scholar] [CrossRef]
- Afshar, R.K.; Chaichi, M.R.; Jovini, M.A.; Jahanzad, E.; Hashemi, M. Accumulation of silymarin in milk thistle seeds under drought stress. Planta 2015, 242, 539–543. [Google Scholar] [CrossRef]
- Colla, G.; Rouphael, Y. Biostimulants in horticulture. Sci. Hortic. 2015, 196, 1–2. [Google Scholar] [CrossRef]
- Mansour, E.; Moustafa, E.S.; Desoky, E.-S.M.; Ali, M.; Yasin, M.A.; Attia, A.; Alsuhaibani, N.; Tahir, M.U.; El-Hendawy, S. Multidimensional evaluation for detecting salt tolerance of bread wheat genotypes under actual saline field growing conditions. Plants 2020, 9, 1324. [Google Scholar] [CrossRef] [PubMed]
- Moustafa, E.S.; Ali, M.; Kamara, M.M.; Awad, M.F.; Hassanin, A.A.; Mansour, E. Field Screening of Wheat Advanced Lines for Salinity Tolerance. Agronomy 2021, 11, 281. [Google Scholar] [CrossRef]
- Mansour, E.; Desoky, E.M.; Ali, M.M.A.; Abdul-Hamid, M.I.; Ullah, H.; Attia, A.; Datta, A. Identifying drought-tolerant genotypes of faba bean and their agro-physiological responses to different water regimes in an arid Mediterranean environment. Agric. Water Manag. 2021, 247, 106754. [Google Scholar] [CrossRef]
- Desoky, E.-S.M.; Mansour, E.; Ali, M.M.A.; Yasin, M.A.T.; Abdul-Hamid, M.I.E.; Rady, M.M.; Ali, E.F. Exogenously Used 24-Epibrassinolide Promotes Drought Tolerance in Maize Hybrids by Improving Plant and Water Productivity in an Arid Environment. Plants 2021, 10, 354. [Google Scholar] [CrossRef]
- Molnárová, M.; Fargašová, A. Relationship between various physiological and biochemical parameters activated by cadmium in Sinapis alba L. and Hordeum vulgare L. Ecol. Eng. 2012, 49, 65–72. [Google Scholar] [CrossRef]
- Xu, D.; Chen, Z.; Sun, K.; Yan, D.; Kang, M.; Zhao, Y. Effect of cadmium on the physiological parameters and the subcellular cadmium localization in the potato (Solanum tuberosum L.). Ecotoxicol. Environ. Saf. 2013, 97, 147–153. [Google Scholar] [CrossRef]
- Ling, T.; Gao, Q.; Du, H.; Zhao, Q.; Ren, J. Growing, physiological responses and Cd uptake of Corn (Zea mays L.) under different Cd supply. Chem. Spec. Bioavailab. 2017, 29, 216–221. [Google Scholar] [CrossRef]
- Liu, Y.; Yu, X.; Feng, Y.; Zhang, C.; Wang, C.; Zeng, J.; Huang, Z.; Kang, H.; Fan, X.; Sha, L. Physiological and transcriptome response to cadmium in cosmos (Cosmos bipinnatus Cav.) seedlings. Sci. Rep. 2017, 7, 1–16. [Google Scholar] [CrossRef] [PubMed]






| The Chemical Substance | The chemical Formula | The Amount (µM) |
|---|---|---|
| Calcium nitrate | Ca(NO3)2 | 2000 |
| Potassium sulfate | K2SO4 | 700 |
| Magnesium sulfate | MgSO4 | 500 |
| Monopotassium phosphate | KH2PO4 | 100 |
| Potassium chloride | KCl | 100 |
| Boric acid | H3BO3 | 1 |
| Manganese sulfate | MnSO4 | 1 |
| Copper sulfate | CuSO4 | 0.25 |
| Ammonium molybdate | (NH4)6Mo7O24 | 0.01 |
| Fe–ethylenediaminetetraacetic acid (EDTA) | (OOCCH2)2NCH2CH2NCCH2COO)2FeNa·xH2O | 100 |
| Treatment | Description |
|---|---|
| Control | There is no stress and no foliar applications |
| Sm | Foliar spray with 0.5 mM silymarin |
| MEg | Foliar spray with 2% maize grain extract |
| MEg-Sm | Foliar spray with maize grain extract enriched with silymarin (0.24 g Sm L−1 of MEg) |
| Cd2+ | Watering the maize seedlings with a nourishing solution containing 0.5 mM Cd2+ |
| Cd2++Sm | Watering the maize seedlings with a nourishing solution containing 0.5 mM Cd2+ + foliar spray with 0.5 mM silymarin |
| Cd2++MEg | Watering the maize seedlings with a nourishing solution containing 0.5 mM Cd2+ + foliar spray with 2% maize grain extract |
| Cd2++MEg-Sm | Watering the maize seedlings with a nourishing solution containing 0.5 mM Cd2+ + foliar spray with maize grain extract enriched with silymarin (0.24 g Sm L−1 of MEg) |
| Component | Unit | Value |
|---|---|---|
| The antioxidative compounds: | ||
| Free proline | (µmol g−1 FW) | 24.66 ± 0.39 |
| Ascorbic acid (AsA) | 14.26 ± 0.07 | |
| Glutathione (GSH) | 8.85 ± 0.03 | |
| Silymarin (Sm) | (μg g−1 DW) | 0.02 ± 0.00 |
| DPPH radical-scavenging activity | % | 89.22 ± 1.62 |
| Phytohormones: | ||
| Indole-3-acetic acid (IAA) | (μmol g−1 FW) | 2.74 ± 0.05 |
| Gibberellic acid 1 (GA1) | 2.58 ±0.04 | |
| Gibberellic acid 3 (GA3) | 2.75 ±0.06 | |
| Total cytokinins (CKs) | 3.96 ± 0.08 | |
| Trans-Zeatin (t-Z) | 2.55 ± 0.04 | |
| Salicylic acid (SA) | 2.89 ± 0.05 | |
| The Gene | Reference Seq. | 5′–3′ Primer Sequence | TA |
|---|---|---|---|
| Actin | AB181991 | F: CTCTGACAATTTCCCGCTCA, R: ACACGCTTCCTCATGCTATCC | 58 °C |
| SOD | MG893090.1 | F: TTCGCCATGCTGGTGATCTT, R: CATGGACAACTACGGCCCTT | |
| CAT | GU984379 | F: GGCTGCTTGAAGTTGTTCTCCT, R: CTGCTAGTACCTCCTGATCCGTT | |
| APX | KU747079.1 | F: TGGCCTGCTCTTCCTCTAGT, R: CATGCCACGCTAATCGAAGC | |
| GR | KX828561.1 | F: CAACGCGCTTTGGTAACTCC, R: GGGCCCTAATGAAGTGGAGG | |
| PrxQ | AY789643 | F: ACTTCACGCTCAAGGACCAG, R: CCGCCTTCTTGTACTTCTCG |
| Component | Unit | Value in MEg | Value in Maize Leaf |
|---|---|---|---|
| The antioxidative compounds: | |||
| Free proline | (µmol g−1 FW) | 24.66 ± 0.39 | 0.54 ± 0.01 |
| Ascorbic acid (AsA) | 14.26 ± 0.07 | 2.41 ± 0.02 | |
| Glutathione (GSH) | 8.85 ± 0.03 | 1.18 ± 0.02 | |
| Silymarin (Sm) | (μg g−1 DW) | 0.02 ± 0.00 | 3.31 ± 0.03 |
| DPPH radical-scavenging activity | % | 89.22 ± 1.62 | Not determined |
| Phytohormones: | |||
| Indole-3-acetic acid (IAA) | (μmol g−1 FW) | 2.74 ± 0.05 | 0.22 ± 0.00 |
| Gibberellic acid 1 (GA1) | 2.58 ±0.04 | 0.04 ± 0.02 | |
| Gibberellic acid 3 (GA3) | 2.75 ±0.06 | 0.05 ± 0.03 | |
| Total cytokinins (CKs) | 3.96 ± 0.08 | Not determined | |
| Trans-Zeatin (t-Z) | 2.55 ± 0.04 | 0.05 ± 0.02 | |
| Salicylic acid (SA) | 2.89 ± 0.05 | Not determined | |
| Parameter | Treatments | |||||||
|---|---|---|---|---|---|---|---|---|
| Control | Sm | MEg | MEg-Sm | Cd2+ | Cd2++ Sm | Cd2++ MEg | Cd2++MEg-Sm | |
| Plant height | 96.4 c | +12.8 b | +13.3 b | +24.3 a | −57.3 e | −24.9 d | −22.7 d | −1.7 c |
| Leaf number | 14.6 c | +15.1 b | +13.0 b | +27.4 a | −37.0 e | −17.1 d | −15.1 d | −4.1 c |
| Leaf area | 0.584 c | +10.3 b | +11.6 b | +28.3 a | −46.2 e | −25.3 d | −23.3 d | −2.1 c |
| Shoot FW | 42.8 c | +13.1 b | +17.1 b | +33.6 a | −52.3 e | −29.0 d | −24.8 d | −0.7 c |
| Shoot DW | 5.36 c | +27.6 b | +32.8 b | +50.7 a | −54.5 e | −31.7 d | −28.7 d | −1.3 c |
| iCE | 0.25 c | +8.0 b | +8.0 b | +20.0 a | −60.0 e | −32.0 d | −28.0 d | −4.0 c |
| Fv/Fm | 0.80 c | +7.5 b | +7.5 b | +15.0 a | −36.3 e | −20.0 d | −17.5 d | 0 c |
| Chl. content | 2.48 c | +16.5 b | +17.7 b | +33.9 a | −62.1 e | −33.9 d | −29.4 d | −3.6 c |
| Carot. content | 0.78 c | +10.3 b | +12.8 b | +24.4 a | −56.4 e | −30.8 d | −25.6 d | −2.6 c |
| Ph.ch. activity | 42.1 c | +9.7 b | +10.5 b | +23.0 a | −42.3 e | −25.9 d | −23.0 d | −0.2 c |
| O2•− level | 0.36 c | −2.8 c | −5.6 c | −5.6 c | +88.9 a | +41.7 b | +36.1 b | −2.8 c |
| H2O2 level | 4.82 c | −1.0 c | −2.3 c | −2.7 c | +220 a | +105 b | +103 b | +0.4 c |
| MDA level | 19.8 c | −1.0 c | −0.5 c | −2.0 c | +110 a | +68.7 b | +57.6 b | −1.5 c |
| EL% | 6.44 c | −2.0 c | −7.1 c | −8.7 c | +233 a | +103 b | +97.2 b | +10.1 c |
| Pro content | 4.32 f | +0.9 f | +65.3 e | +69.0 e | +131 d | +204 c | +278 b | +393 a |
| AsA content | 2.41 e | +3.7 e | +95.9 d | +101 d | +167 c | +230 b | +234 b | +312 a |
| AsA redox st. | 52.8 d | +0.6 d | +1.1 d | +1.7 d | +40.5 c | +57.8 b | +62.3 b | +75.4 a |
| GSH content | 1.18 f | +2.5 f | +93.2 e | +96.6 e | +173 d | +254 c | +337 b | +402 a |
| GSH redox st. | 36.4 d | +1.1 d | +1.4 d | +1.9 d | +43.7 c | +93.4 b | +95.6 b | +124 a |
| Sm content | 26.4 e | +47.3 d | +1.5 e | +52.7 d | +84.8 c | +125 b | +87.1 c | +194 a |
| SOD activity | 0.26 d | +3.8 d | +3.8 d | +3.8 d | +34.6 c | +50.0 b | +46.2 b | +69.2 a |
| CAT activity | 0.22 d | 0 d | +4.5 d | +4.5 d | +68.2 c | +86.4 b | +90.9 b | +118 a |
| APX activity | 0.30 d | +3.3 d | +6.7 d | +6.7 d | +70.6 c | +80.0 b | +86.7 b | +107 a |
| GR activity | 0.34 d | +5.9 d | +2.9 d | +5.9 d | +46.7 c | +91.2 b | +88.2 b | +106 a |
| IAA content | 12.4 b | +0.8 b | +23.4 a | +25.0 a | −41.1 e | −30.6 d | −16.1 c | +0.8 b |
| GA1 content | 13.2 b | +2.3 b | +20.5 a | +20.5 a | −45.5 e | −30.3 d | −14.4 c | 0 b |
| GA3 content | 16.7 b | +1.2 b | +15.0 a | +16.2 a | −47.9 e | −37.7 d | −28.7 c | −1.2 b |
| T-Z content | 11.8 b | +1.7 b | +64.4 a | +67.8 a | −42.4 e | −28.8 d | −14.4 c | +5.1 b |
| SOD R. Exp. | 1.2 d | 0 d | +8.3 d | +8.3 d | +192c | +350 b | +358 b | +467 a |
| CAT R. Exp. | 1.2 d | 0 d | 0 d | 0 d | +250 c | +417 b | +433 b | +533 a |
| APX R. Exp. | 1.2 d | +8.3 d | +8.3 d | +16.7 d | +350 c | +492 b | +508 b | +600 a |
| GR R. Exp. | 1.2 d | +16.7 d | +16.7 d | +16.7 d | +392 c | +525 b | +550 b | +667 a |
| PrxQ R. Exp. | 1.2 d | 0 d | 0 d | 0 d | +442 c | +600 b | +617 b | +717 a |
| Cd2+ content | ND | ND | ND | ND | +52.6 a | −43.3 b | −40.3 b | −78.3 c |
Publisher’s Note: MDPI stays neutral with regard to jurisdictional claims in published maps and institutional affiliations. |
© 2021 by the authors. Licensee MDPI, Basel, Switzerland. This article is an open access article distributed under the terms and conditions of the Creative Commons Attribution (CC BY) license (http://creativecommons.org/licenses/by/4.0/).
Share and Cite
Alharby, H.F.; Al-Zahrani, H.S.; Hakeem, K.R.; Alsamadany, H.; Desoky, E.-S.M.; Rady, M.M. Silymarin-Enriched Biostimulant Foliar Application Minimizes the Toxicity of Cadmium in Maize by Suppressing Oxidative Stress and Elevating Antioxidant Gene Expression. Biomolecules 2021, 11, 465. https://doi.org/10.3390/biom11030465
Alharby HF, Al-Zahrani HS, Hakeem KR, Alsamadany H, Desoky E-SM, Rady MM. Silymarin-Enriched Biostimulant Foliar Application Minimizes the Toxicity of Cadmium in Maize by Suppressing Oxidative Stress and Elevating Antioxidant Gene Expression. Biomolecules. 2021; 11(3):465. https://doi.org/10.3390/biom11030465
Chicago/Turabian StyleAlharby, Hesham F., Hassan S. Al-Zahrani, Khalid R. Hakeem, Hameed Alsamadany, El-Sayed M. Desoky, and Mostafa M. Rady. 2021. "Silymarin-Enriched Biostimulant Foliar Application Minimizes the Toxicity of Cadmium in Maize by Suppressing Oxidative Stress and Elevating Antioxidant Gene Expression" Biomolecules 11, no. 3: 465. https://doi.org/10.3390/biom11030465
APA StyleAlharby, H. F., Al-Zahrani, H. S., Hakeem, K. R., Alsamadany, H., Desoky, E.-S. M., & Rady, M. M. (2021). Silymarin-Enriched Biostimulant Foliar Application Minimizes the Toxicity of Cadmium in Maize by Suppressing Oxidative Stress and Elevating Antioxidant Gene Expression. Biomolecules, 11(3), 465. https://doi.org/10.3390/biom11030465

