Lighting Conditions Influence the Dynamics of Protease Synthesis and Proteasomal Activity in the White Rot Fungus Cerrena unicolor
Abstract
1. Introduction
2. Materials and Methods
2.1. Fungal Strain and Cultivation Conditions
2.2. Analysis of the Expression Profile of Genes Coding for Putative Proteolytic and Proteasomal Activities
2.3. Preparation of Crude Sawdust Enzymatic Extracts
2.4. Spectrophotometric Analysis of Extra- and Intracellular Proteolytic Activities
2.5. Spectrofluorometric Microplate Analysis of Extra- and Intracellular Proteolytic Activities
2.6. Separation and Peptidase Activity of Proteasomes
2.7. Protein Determination
2.8. Zymographic Analysis of Proteolytic Activities
2.9. Statistical Analysis
3. Results
3.1. Effect of Light on the Expression of Proteases. Identification of Transcripts Coding for Putative Proteins Related to Proteolytic and Proteasomal Activities
3.2. Determination of Acid and Alkaline Proteolytic Activities in the Culture Medium and Mycelium of C. unicolor Cultivated in Different Lighting Conditions
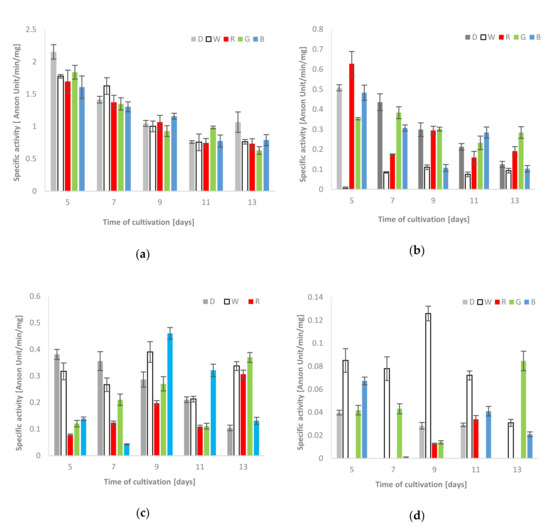
3.2.1. Total Activity of Acid and Alkaline Proteases Using Hemoglobin as a Reaction Substrate
Acid Protease Activities
Alkaline Protease Activities
3.2.2. Total Activities of Acid and Alkaline Proteases Using BODIPY-BSA as a Reaction Substrate
Acid Protease Activities
Alkaline Protease Activities
3.2.3. Extra–and Intracellular Elastase-Like Activities Detected Using BODIPY-Elastin as a Reaction Substrate in Alkaline Conditions
3.2.4. Detection of Extracellular Caseinolytic Activities Using BODIPY-Casein as a Reaction Substrate in Alkaline Conditions
3.3. Zymographic Analysis of Proteolytic Activity in the Culture Fluid and Fungal Mycelium Using Gelatine as a Protein Substrate in Acidic Conditions
3.4. Chymotrypsin-Like Activity of C. unicolor 26S Proteasomes
4. Discussion
5. Conclusions
Author Contributions
Funding
Conflicts of Interest
References
- Fuller, K.K.; Loros, J.J.; Dunlap, J.C. Fungal photobiology: Visible light as a signal for stress, space and time. Curr. Genet. 2015, 61, 275–288. [Google Scholar] [CrossRef] [PubMed]
- Skoneczny, M. Stress Response Mechanisms in Fungi: Theoretical and Practical Aspects, 1st ed.; Springer Nature Switzerland: Cham, Switzerland, 2018; pp. 1–270. [Google Scholar]
- Tisch, D.; Schmoll, M. Light regulation of metabolic pathways in fungi. Appl. Microbiol. Biotechnol. 2010, 85, 1259–1277. [Google Scholar] [CrossRef] [PubMed]
- Yu, Z.; Fischer, R. Light sensing and responses in fungi. Nature Rev. Microbiol. 2019, 17, 25–36. [Google Scholar] [CrossRef]
- Igbalajobi, O.; Yu, Z.; Fischer, R. Red- and blue-light sensing in the plant pathogen Alternaria alternata depends on phytochrome and the white-collar protein LreA. mBio 2019, 10. [Google Scholar] [CrossRef] [PubMed]
- Esquivel-Naranjo, E.U.; Garcia-Esquivel, M.; Medina-Castellanos, E.; Correa-Perez, V.A.; Parra-Arriaga, J.L.; Landeros-Jaime, F.; Cervantes-Chavez, J.A.; Herrera-Estrella, A. A Trichoderma atroviride stress-activated MAPK pathway integrates stress and light signals. Mol. Microbiol. 2016, 100, 860–876. [Google Scholar] [CrossRef]
- Flick, K.; Kaiser, P. Protein degradation and the stress response. Semin. Cell Dev. Biol. 2012, 23, 515–522. [Google Scholar] [CrossRef]
- Staszczak, M. The role of the ubiquitin-proteasome system in the response of the ligninolytic fungus Trametes versicolor to nitrogen deprivation. Fungal Genet. Biol. 2008, 45, 328–337. [Google Scholar] [CrossRef]
- Jaszek, M.; Żuchowski, J.; Dajczak, E.; Cimek, K.; Graz, M.; Grzywnowicz, K. Ligninolytic enzymes can participate in a multiple response system to oxidative stress in white-rot basidiomycetes: Fomes fomentarius and Tyromyces pubescens. Int. Biodeter. Biodegrad. 2006, 58, 168–175. [Google Scholar] [CrossRef]
- Osiewacz, H.D. Aging in fungi: Role of mitochondria in Podospora anserina. Mech. Ageing Dev. 2002, 123, 755–764. [Google Scholar] [CrossRef]
- Enebak, S.A.; Blanchette, R.A. Canker formation and decay in sugar maple and paper birch infected by Cerrena unicolor. Can. J. Forest Res. 1989, 19, 225–231. [Google Scholar] [CrossRef]
- Matuszewska, A.; Stefaniuk, D.; Jaszek, M.; Pięt, M.; Zając, A.; Matuszewski, Ł.; Cios, I.; Grąz, M.; Paduch, R.; Bancerz, R. Antitumor potential of new low molecular weight antioxidative preparations from the white rot fungus Cerrena unicolor against human colon cancer cells. Sci. Rep. 2019, 9, 1–10. [Google Scholar] [CrossRef] [PubMed]
- Zhang, H.; Zhang, J.; Zhang, X.; Geng, A. Purification and characterization of a novel manganese peroxidase from white-rot fungus Cerrena unicolor BBP6 and its application in dye decolorization and denim bleaching. Proc. Biochem. 2018, 66, 222–229. [Google Scholar] [CrossRef]
- Janusz, G.; Rogalski, J.; Szczodrak, J. Increased production of laccase by Cerrena unicolor in submerged liquid cultures. World J. Microbiol. Biotechnol. 2007, 23, 1459–1464. [Google Scholar] [CrossRef]
- Pawlik, A.; Mazur, A.; Wielbo, J.; Koper, P.; Zebracki, K.; Kubik-Komar, A.; Janusz, G. RNA sequencing reveals differential gene expression of Cerrena unicolor in response to variable lighting conditions. Int. J. Mol. Sci. 2019, 20, 290. [Google Scholar] [CrossRef]
- Pawlik, A.; Jaszek, M.; Stefaniuk, D.; Swiderska-Burek, U.; Mazur, A.; Wielbo, J.; Koper, P.; Zebracki, K.; Janusz, G. Combined effect of light and nutrients on the micromorphology of the white rot fungus Cerrena unicolor. Int. J. Mol. Sci. 2020, 21, 1678. [Google Scholar] [CrossRef]
- Pawlik, A.; Ruminowicz-Stefaniuk, M.; Frąc, M.; Mazur, A.; Wielbo, J.; Janusz, G. The wood decay fungus Cerrena unicolor adjusts its metabolism to grow on various types of wood and light conditions. PLoS ONE 2019, 14, e0211744. [Google Scholar] [CrossRef]
- Pawlik, A.; Jaszek, M.; Sulej, J.; Janusz, G. Light-regulated synthesis of extra- and intracellular enzymes related to wood degradation by the white rot fungus Cerrena unicolor during solid-state fermentation on ash sawdust-based medium. Acta. Biochim. Pol. 2019, 66, 419–425. [Google Scholar] [CrossRef]
- Janusz, G.; Sulej, J.; Jaszek, M.; Osiſska-Jaroszuk, M. Effect of different wavelengths of light on laccase, cellobiose dehydrogenase and proteases produced by Cerrena unicolor, Pycnoporus sanguineus and Phlebia lindtneri. Acta Biochim. Pol. 2016, 63, 223–228. [Google Scholar] [CrossRef]
- Lindeberg, G.; Holm, G. Occurrence of tyrosinase and laccase in fruit bodies and mycelia of some Hymenomycetes. Physiol. Plant 1952, 5, 100–114. [Google Scholar] [CrossRef]
- Rawlings, N.D.; Barrett, A.J.; Thomas, P.D.; Huang, X.; Bateman, A.; Finn, R.D. The MEROPS database of proteolytic enzymes, their substrates and inhibitors in 2017 and a comparison with peptidases in the PANTHER database. Nucl. Acids. Res. 2018, 46, 624–632. [Google Scholar] [CrossRef]
- Anson, M.L. The estimation of pepsin, trypsin, papain and cathepsin with hemoglobin. J. Gen. Physiol. 1938, 22, 79–89. [Google Scholar] [CrossRef] [PubMed]
- Tanaka, K.; Yoshimura, T.; Ichihara, A. Role of substrate in reversible activation of proteasomes (multi-protease complexes) by sodium dodecyl sulfate. J. Biochem. 1989, 106, 495–500. [Google Scholar] [CrossRef]
- Skoda, B.; Malek, L. Dry pea seed proteasome: Purification and enzymic activities. Plant Physiol. 1992, 99, 1515–1519. [Google Scholar] [CrossRef] [PubMed]
- Staszczak, M. The 26S proteasome of the lignin-degrading Basidiomycete Phlebia radiata. Enzyme Microb. Tech. 2007, 40, 347–353. [Google Scholar] [CrossRef]
- Lang, M.; Stober, F.; Lichtenthaler, H.K. Fluorescence emission spectra of plant leaves and plant constituents. Radiat. Environ. Biophys. 1991, 30, 333–347. [Google Scholar] [CrossRef]
- Bradford, M.M. A rapid and sensitive method for the quantitation of microgram quantities of protein utilizing the principle of protein-dye binding. Anal. Biochem. 1976, 72, 248–254. [Google Scholar] [CrossRef]
- Laemmli, U.K. Cleavage of structural proteins during the assembly of the head of bacteriophage T4. Nature 1970, 227, 680–685. [Google Scholar] [CrossRef]
- Heberle, H.; Meirelles, G.V.; da Silva, F.R.; Telles, G.P.; Minghim, R. InteractiVenn: A web-based tool for the analysis of sets through Venn diagrams. BMC Bioinform. 2015, 16, 169. [Google Scholar] [CrossRef]
- Kroll, K.; Pähtz, V.; Kniemeyer, O. Elucidating the fungal stress response by proteomics. J. Proteom. 2014, 97, 151–163. [Google Scholar] [CrossRef]
- Kim, Y.; Nandakumar, M.P.; Marten, M.R. Proteome map of Aspergillus nidulans during osmoadaptation. Fungal Genet. Biol. 2007, 44, 886–895. [Google Scholar] [CrossRef]
- Staszczak, M. Proteasomal degradation pathways in Trametes versicolor and Phlebia radiata. Enzyme Microb. Tech. 2002, 30, 537–541. [Google Scholar] [CrossRef]
- Parsell, D.A.; Kowal, A.S.; Singer, M.A.; Lindquist, S. Protein disaggregation mediated by heat-shock protein Hspl04. Nature 1994, 372, 475–478. [Google Scholar] [CrossRef] [PubMed]
- Schuster, A.; Kubicek, C.P.; Friedl, M.A.; Druzhinina, I.S.; Schmoll, M. Impact of light on Hypocrea jecorina and the multiple cellular roles of ENVOY in this process. BMC Genom. 2007, 8, 449. [Google Scholar] [CrossRef] [PubMed]
- Swatek, A.; Staszczak, M. Effect of ferulic acid, a phenolic inducer of fungal laccase, on 26S proteasome activities in vitro. Int. J. Mol. Sci. 2020, 21, 2463. [Google Scholar] [CrossRef]
- Janusz, G.; Jaszek, M.; Matuszewska, A.; Draczkowski, P.; Osinska-Jaroszuk, M. Proteolytic modifications of laccase from Cerrena unicolor. J. Mol. Catal. B Enzym. 2015, 122, 330–338. [Google Scholar] [CrossRef]
- Murthy, P.S.; Suzuki, S.; Kusumoto, K.-I. Effect of light on the growth and acid protease production of Aspergillus oryzae. Food Sci. Technol. Res. 2015, 21, 631–635. [Google Scholar] [CrossRef]
- Ram, S.; Nair, B.G.; Chhatpar, H.S. Photoregulation of some enzymes from Neurospora crassa. Experientia 1984, 40, 1382–1384. [Google Scholar] [CrossRef]
- Muszewska, A.; Stepniewska-Dziubinska, M.M.; Steczkiewicz, K.; Pawlowska, J.; Dziedzic, A.; Ginalski, K. Fungal lifestyle reflected in serine protease repertoire. Sci. Rep. 2017, 7, 9147. [Google Scholar] [CrossRef]
- Zou, C.-G.; Xu, Y.-F.; Liu, W.-J.; Zhou, W.; Tao, N.; Tu, H.-H.; Huang, X.-W.; Yang, J.-K.; Zhang, K.-Q. Expression of a serine protease gene prC is up-regulated by oxidative stress in the fungus Clonostachys rosea: Implications for fungal survival. PLoS ONE 2010, 5, e13386. [Google Scholar] [CrossRef]
- Han, Z.; Kautto, L.; Nevalainen, H. Secretion of proteases by an opportunistic fungal pathogen Scedosporium aurantiacum. PLoS ONE 2017, 12, e0169403. [Google Scholar] [CrossRef]
- Rodriguez-Iglesias, A.; Schmoll, M. Protein phosphatases regulate growth, development, cellulases and secondary metabolism in Trichoderma reesei. Sci. Rep. 2019, 9, 10995. [Google Scholar] [CrossRef] [PubMed]
- Stappler, E.; Walton, J.D.; Beier, S.; Schmoll, M. Abundance of secreted proteins of Trichoderma reesei is regulated by light of different intensities. Front. Microbiol. 2017, 8, 2586. [Google Scholar] [CrossRef] [PubMed]
- Mat’at’a, M.; Galádová, H.; Varečka, L.U.; Šimkovič, M. The study of intracellular and secreted high-molecular-mass protease(s) of Trichoderma spp. and their responses to conidiation stimuli. Can. J. Microbiol. 2019, 65, 653–667. [Google Scholar] [CrossRef] [PubMed]
- Puri, S.; Kumar, R.; Chadha, S.; Tati, S.; Conti, H.R.; Hube, B.; Cullen, P.J.; Edgerton, M. Secreted aspartic protease cleavage of Candida albicans Msb2 activates Cek1 MAPK signaling affecting biofilm formation and oropharyngeal candidiasis. PLoS ONE 2012, 7, e46020. [Google Scholar] [CrossRef] [PubMed]
- Day, A.M.; Quinn, J. Stress-activated protein kinases in human fungal pathogens. Front. Cell Infect. Microbiol. 2019, 9, 261. [Google Scholar] [CrossRef]





| Gene ID | SwissProt Best Hit | Expression | MEROPS ID | |
|---|---|---|---|---|
| Log2 Fold Change | p-Value | |||
| White Vs. Dark | ||||
| XLOC_010853 | Ubiquitin-like-specific protease 2 (1 × 10−30, sp|O13769|ULP2_SCHPO) | 2.515418 | 3.71 × 10−5 | C48.A09 |
| XLOC_007208 | E3 ubiquitin-protein ligase itt1 (4 × 10−31, sp|Q9US46|ITT1_SCHPO) | 1.403588 | 0.017829 | nd |
| XLOC_005837 | Proteasomal ATPase-associated factor 1 (3 × 10−28, sp|Q9BRP4|PAAF1_HUMAN) | 1.260725 | 0.013368 | nd |
| XLOC_006576 | Tripeptidyl-peptidase sed2 (1 × 10−123, sp|Q70J59|SED2_ASPFU) | 1.129053 | 1.55 × 10−5 | S53.010 |
| XLOC_007257 | Carboxypeptidase Y homolog A (6 × 10−69, sp|C0NX46|CBPYA_AJECG) | 1.017356 | 0.003187 | S10.001 |
| XLOC_009122 | Probable E3 ubiquitin-protein ligase hulA (0.0, sp|Q2UBP1|RSP5_ASPOR) | 1.00622 | 0.019831 | nd |
| XLOC_001799 | Vacuolar membrane protease (3 × 10−157, sp|D8QAM0|PFF1_SCHCM) | 0.868821 | 0.020832 | nd |
| XLOC_001389 | Probable ubiquitin carboxyl-terminal hydrolase 2 (1 × 10−18, sp|Q9P3U0|UBP2_SCHPO) | 0.794248 | 0.046763 | C19.A56 |
| XLOC_007707 | Ubiquitin carboxyl-terminal hydrolase 42 (5 × 10−76, sp|B2RQC2|UBP42_MOUSE) | 0.590544 | 0.019906 | nd |
| XLOC_002592 | Extracellular metalloproteinase 2 (2 × 10−104, sp|Q6WIH2|MEP2_ARTBE) | 0.586606 | 0.040586 | nd |
| XLOC_011202 | Probable ubiquitin-conjugating enzyme E2 W-A (9 × 10−38, sp|Q4VBH4|UB2WA_DANRE) | −0.57624 | 0.035189 | nd |
| XLOC_003541 | Ubiquitin-conjugating enzyme E2-20 kDa (6 × 10−53, sp|O00103|UBC11_SCHPO) | −0.63144 | 0.043634 | nd |
| XLOC_006171 | Ubiquitin-like protein ATG12 (6 × 10−12, sp|P0CM28|ATG12_CRYNJ) | −0.64219 | 0.040319 | nd |
| XLOC_006914 | Cytosol aminopeptidase (7 × 10−70, sp|Q68FS4|AMPL_RAT) | −0.65844 | 0.032525 | nd |
| XLOC_007456 | Ubiquitin-like protein SMT3 (4 × 10−5, sp|Q12306|SMT3_YEAST) | −0.65985 | 0.037187 | nd |
| XLOC_009107 | Serine protease inhibitor (8 × 10−7, sp|P81639|SPI_LENED) | −0.67441 | 0.042497 | I66.001 |
| XLOC_007328 | Mitochondrial inner membrane protease subunit 1 (6 × 10−18, sp|O74800|IMP1_SCHPO) | −0.84674 | 0.03721 | S26.002 |
| XLOC_006577 | Tripeptidyl-peptidase sed3 (1 × 10−86, sp|Q70GH4|SED3_ASPFU) | −0.89251 | 0.049589 | S53.010 |
| XLOC_001392 | Mitochondrial intermediate peptidase (0.0, sp|Q6Y5M5|PMIP_PLEDJ) | −0.89328 | 0.021998 | M03.006 |
| XLOC_000740 | Probable serine carboxypeptidase ARB_06414 (4 × 10−32, sp|D4AQA7|PEPS_ARTBC) | −0.98314 | 0.042819 | S10.014 |
| XLOC_007684 | Ubiquitin carboxyl-terminal hydrolase 16 (1 × 10−9, sp|Q99LG0|UBP16_MOUSE) | −1.01978 | 0.032272 | C19.050 |
| XLOC_007692 | Aspartic-type endopeptidase ctsD (0.0004, sp|Q4WNV0|CTSD_ASPFU) | −1.04223 | 0.030173 | A01.077 |
| XLOC_001024 | Ubiquitin carboxyl-terminal hydrolase isozyme L3 (0.0004, sp|Q9JKB1|UCHL3_MOUSE) | −1.1451 | 0.002615 | C12.003 |
| XLOC_010540 | Probable aspartic-type endopeptidase ARB_04018 (0.0002, sp|D4AIC4|Y4018_ARTBC) | −1.24835 | 0.02463 | nd |
| XLOC_000692 | Dipeptidyl aminopeptidase BIII (2 × 10−6, sp|V5YMB3|DAPB3_PSEMX) | −1.28209 | 0.032495 | nd |
| XLOC_003799 | Probable CAAX prenyl protease 2 (8 × 10−11, sp|O94448|RCE1_SCHPO) | −1.33829 | 0.011805 | M79.002 |
| XLOC_000739 | Carboxypeptidase Y homolog ARB_02032 (5 × 10−9, sp|D4B0Q6|SCPD_ARTBC) | −1.4049 | 0.000481 | S10.014 |
| Red Vs. Dark | ||||
| XLOC_000446 | Extracellular metalloproteinase MEP (4 × 10−30, sp|A4QWP8|MEP_MAGO7) | 1.411536 | 0.001617 | M36.001 |
| XLOC_006786 | Extracellular metalloprotease 1 (3 × 10−32, sp|C5P3X6|MEP1_COCP7) | 1.36675 | 0.00231 | M43.008 |
| XLOC_006660 | Serine protease inhibitor (6 × 10−10, sp|P81639|SPI_LENED) | 1.063586 | 0.017117 | I66.001 |
| XLOC_006785 | Extracellular metalloprotease UREG_07765 (7 × 10−22, sp|C4K014|MEP1_UNCRE) | 0.92792 | 0.023814 | nd |
| XLOC_005808 | Proteasomal ATPase-associated factor 1 (3 × 10−28, sp|Q9BRP4|PAAF1_HUMAN) | 0.921736 | 0.031266 | nd |
| XLOC_006713 | Signal peptidase complex catalytic subunit SEC11 (8 × 10−91, sp|B0D4L0|SEC11_LACBS) | 0.677398 | 0.012642 | S26.010 |
| XLOC_010523 | Carboxypeptidase Y homolog A (1 × 10−75, sp|C1GG77|CBPYA_PARBD) | 0.606528 | 0.044429 | S10.001 |
| XLOC_007916 | Peptidyl-Lys metalloendopeptidase (1 × 10−75, sp|Q9Y7F7|PLMP_ARMME) | -0.85908 | 0.049641 | M35.004 |
| Blue Vs. Dark | ||||
| XLOC_007257 | Carboxypeptidase Y homolog A (6 × 10−69, sp|C0NX46|CBPYA_AJECG) | 0.556057 | 0.017539 | S10.001 |
| XLOC_004719 | Putative endoplasmic reticulum metallopeptidase 1 (1 × 10−137, sp|O94702|ERMP1_SCHPO) | 0.526001 | 0.039009 | nd |
| XLOC_004763 | Putative endoplasmic reticulum metallopeptidase 1 (4 × 10−17, sp|O94702|ERMP1_SCHPO) | −0.6076 | 0.041892 | nd |
| XLOC_000755 | Ubiquitin-conjugating enzyme E2 15 (1 × 10−65, sp|Q9Y818|UBC15_SCHPO) | −0.6423 | 0.048532 | nd |
| XLOC_004525 | Probable serine carboxypeptidase ARB_06414 (9 × 10−128, sp|D4AQA7|PEPS_ARTBC) | −0.74374 | 0.042533 | S10.014 |
| XLOC_006786 | Extracellular metalloprotease 1 (3 × 10−32, sp|C5P3X6|MEP1_COCP7) | −0.81067 | 0.011573 | M43.008 |
| XLOC_000384 | Tripeptidyl-peptidase SED2 (9 × 10−107, sp|C5FBW2|SED2_ARTOC) | −0.86398 | 0.006162 | nd |
| XLOC_007050 | Ubiquitin (1 × 10−36, sp|P19848|UBIQ_COPCO) | −0.88446 | 0.03402 | nd |
| XLOC_007970 | Ubiquitin carboxyl-terminal hydrolase 18 (3 × 10−7, sp|Q67XW5|UBP18_ARATH) | −0.91702 | 0.033694 | C19.A08 |
| XLOC_011361 | Ubiquitin-40S ribosomal protein S27a (8 × 10−67, sp|P14799|RS27A_NEUCR) | −1.02171 | 0.0153 | nd |
| XLOC_007973 | Extracellular metalloproteinase mep (1 × 10−98, sp|A1C4M2|MEP_ASPCL) | −1.06786 | 0.00057 | M36.001 |
| XLOC_007529 | Aspartic protease (5 × 10−73, sp|O60020|ASPR1_PHARH) | −1.22239 | 0.005942 | nd |
| Green Vs. Dark | ||||
| XLOC_005837 | Proteasomal ATPase-associated factor 1 (3 × 10−28, sp|Q9BRP4|PAAF1_HUMAN) | 0.91945 | 0.036747 | nd |
| XLOC_010738 | Cys-Gly metallodipeptidase dug1 (1 × 10−136, sp|Q9P6I2|DUG1_SCHPO) | 0.760787 | 0.035739 | M20.017 |
| XLOC_011361 | Ubiquitin-40S ribosomal protein S27a (8 × 10−67, sp|P14799|RS27A_NEUCR) | −0.92471 | 0.043594 | nd |
| XLOC_007529 | Aspartic protease (5 × 10−73, sp|O60020|ASPR1_PHARH) | −1.03688 | 0.028235 | nd |
| Light | pH | Specific Activity [RFU/min/mg] | ||||
|---|---|---|---|---|---|---|
| Incubation Time [day] | ||||||
| 5 | 7 | 9 | 11 | 13 | ||
| Extracellular Acid Total Proteolytic Activity against BODIPY-BSA Substrate | ||||||
| dark | pH 3.5 | 37.86 ± 4.67 | 25.16 ± 1.57 | 23.01 ± 0.75 | 17.01 ± 2.10 | 17.82 ± 2.52 |
| white | pH 3.5 | 33.06 ± 3.56 | 29.57 ± 2.33 | 24.92 ± 1.40 | 18.52 ± 2.55 | 19.27 ± 2.71 |
| red | pH 3.5 | 41.05 ± 3.29 | 35.17 ± 2.99 | 27.74 ± 2.98 | 18.68 ± 2.98 | 24.06 ± 2.84 |
| green | pH 3.5 | 28.08 ± 1.52 | 28.14 ± 2.01 | 26.66 ± 2.89 | 19.78 ± 2.39 | 21.68 ± 2.49 |
| blue | pH 3.5 | 37.72 ± 2.80 | 31.03 ± 3.44 | 28.07 ± 2.84 | 22.07 ± 1.99 | 19.87 ± 1.99 |
| Intracellular Acid Total Proteolytic Activity against BODIPY-BSA Substrate | ||||||
| dark | pH 3.5 | 24.75 ± 1.24 | 19.80 ± 0.99 | 14.54 ± 0.73 | 12.80 ± 0.64 | 15.96 ± 0.80 |
| white | pH 3.5 | 24.95 ± 1.25 | 14.73 ± 0.74 | 17.91 ± 0.90 | 14.14 ± 0.74 | 14.19 ± 0.71 |
| red | pH 3.5 | 31.02 ± 1.55 | 21.47 ± 1.07 | 21.15 ± 1.06 | 16.36 ± 0.82 | 16.21 ± 0.81 |
| green | pH 3.5 | 16.35 ± 0.82 | 23.48 ± 1.17 | 15.88 ± 0.79 | 14.14 ± 0.71 | 17.58 ± 0.88 |
| blue | pH 3.5 | 22.76 ± 1.14 | 21.74 ± 1.09 | 13.97 ± 0.70 | 11.96 ± 0.60 | 16.73 ± 0.84 |
| Extracellular Alkaline Total Proteolytic Activity against BODIPY-BSA Substrate | ||||||
| dark | pH 8.0 | 39.04 ± 4.79 | 26.63 ± 0.71 | 23.65 ± 1.32 | 14.91 ± 1.74 | 16.26 ± 2.28 |
| white | pH 8.0 | 43.48 ± 6.34 | 31.59 ± 1.94 | 24.21 ± 2.16 | 16.88 ± 2.50 | 15.15 ± 2.66 |
| red | pH 8.0 | 52.71 ± 7.18 | 34.38 ± 2.52 | 22.21 ± 1.00 | 12.33 ± 0.72 | 14.35 ± 1.33 |
| green | pH 8.0 | 39.11 ± 6.08 | 36.61 ± 2.67 | 26.73 ± 2.78 | 20.27 ± 1.76 | 17.69 ± 2.81 |
| blue | pH 8.0 | 51.34 ± 6.62 | 26.85 ± 5.24 | 18.01 ± 1.59 | 12.30 ± 2.04 | 11.28 ± 1.50 |
| Intracellular Alkaline Total Proteolytic Activity against BODIPY-BSA Substrate | ||||||
| dark | pH 8.0 | 31.27 ± 1.56 | 31.69 ± 1.58 | 29.86 ± 1.49 | 23.29 ± 1.16 | 24.08 ± 1.20 |
| white | pH 8.0 | 24.73 ± 1.24 | 19.18 ± 0.96 | 21.48 ± 1.07 | 17.06 ± 0.85 | 21.28 ± 1.06 |
| red | pH 8.0 | 37.99 ± 1.90 | 34.40 ± 1.72 | 31.76 ± 1.59 | 30.97 ± 1.55 | 26.87 ± 1.34 |
| green | pH 8.0 | 29.54 ± 1.48 | 34.42 ± 1.72 | 31.29 ± 1.56 | 29.77 ± 1.49 | 28.98 ± 1.45 |
| blue | pH 8.0 | 29.82 ± 1.49 | 32.48 ± 1.62 | 31.06 ± 1.55 | 23.06 ± 1.15 | 26.38 ± 1.32 |
| Extracellular Elastase-like Proteolytic Activity | ||||||
| dark | pH 8.0 | 22.34 ± 1.57 | 18.60 ± 3.77 | 8.30 ±2.36 | 7.52 ± 1.59 | 10.98 ± 0.99 |
| white | pH 8.0 | 21.18 ± 8.80 | 24.68 ± 10.17 | 29.26 ± 5.26 | 16.57 ± 6.33 | 14.98 ± 7.49 |
| red | pH 8.0 | 72.61 ± 28.79 | 64.22 ± 21.55 | 50.62 ± 19.87 | 44.54 ± 16.17 | 41.75 ± 18.31 |
| green | pH 8.0 | 32.52 ± 5.22 | 18.40 ± 0.02 | 20.65 ± 0.12 | 8.52 ± 0.85 | 15.82 ± 2.51 |
| blue | pH 8.0 | 68.93 ± 26.53 | 61.73 ± 21.27 | 60.29 ± 25.20 | 41.35 ± 17.40 | 28.95 ± 18.40 |
| Intracellular Elastase-like Proteolytic Activity | ||||||
| dark | pH 8.0 | 13.09 ± 0.65 | 8.26 ± 0.41 | 2.91 ± 0.15 | 2.13 ± 0.11 | 2.15 ± 0.11 |
| white | pH 8.0 | 15.97 ± 0.80 | 15.48 ± 0.77 | 11.46 ± 0.57 | 11.01 ± 0.55 | 13.29 ± 0.66 |
| red | pH 8.0 | 58.74 ± 2.94 | 52.10 ± 2.61 | 51.23 ± 2.56 | 45.52 ± 2.28 | 46.60 ± 2.33 |
| green | pH 8.0 | 12.61 ± 0.63 | 12.77 ± 0.64 | 9.78 ±0.49 | 4.47 ± 0.22 | 6.61 ± 0.33 |
| blue | pH 8.0 | 57.69 ± 2.88 | 57.47 ± 2.87 | 53.15 ± 2.66 | 49.18 ± 2.46 | 59.79 ± 2.99 |
| Extracellular Caseinolytic Activity | ||||||
| dark | pH 8.0 | 156.62 ± 0.66 | 127.34 ± 3.01 | 112.62 ± 2.23 | 89.35 ± 1.17 | 95.53 ± 3.40 |
| white | pH 8.0 | 165.83 ± 0.57 | 128.20 ± 3.81 | 126.95 ± 2.59 | 98.59 ± 1.96 | 98.23 ± 4.53 |
| red | pH 8.0 | 19.87 ± 3.63 | 24.37 ± 2.86 | 15.97 ± 0.22 | 7.71 ± 0.08 | 12.17 ± 6.83 |
| green | pH 8.0 | 153.64 ± 2.89 | 136.88 ± 2.46 | 145.94 ± 0.21 | 95.40 ± 1.46 | 111.86 ± 1.19 |
| blue | pH 8.0 | 29.74 ± 0.93 | 16.52 ± 4.66 | 22.99 ± 5.00 | 7.43 ± 3.71 | 9.10 ± 4.55 |
© 2020 by the authors. Licensee MDPI, Basel, Switzerland. This article is an open access article distributed under the terms and conditions of the Creative Commons Attribution (CC BY) license (http://creativecommons.org/licenses/by/4.0/).
Share and Cite
Pawlik, A.; Jaszek, M.; Swatek, A.; Ruminowicz-Stefaniuk, M.; Ciołek, B.; Mazur, A.; Janusz, G. Lighting Conditions Influence the Dynamics of Protease Synthesis and Proteasomal Activity in the White Rot Fungus Cerrena unicolor. Biomolecules 2020, 10, 1322. https://doi.org/10.3390/biom10091322
Pawlik A, Jaszek M, Swatek A, Ruminowicz-Stefaniuk M, Ciołek B, Mazur A, Janusz G. Lighting Conditions Influence the Dynamics of Protease Synthesis and Proteasomal Activity in the White Rot Fungus Cerrena unicolor. Biomolecules. 2020; 10(9):1322. https://doi.org/10.3390/biom10091322
Chicago/Turabian StylePawlik, Anna, Magdalena Jaszek, Anita Swatek, Marta Ruminowicz-Stefaniuk, Beata Ciołek, Andrzej Mazur, and Grzegorz Janusz. 2020. "Lighting Conditions Influence the Dynamics of Protease Synthesis and Proteasomal Activity in the White Rot Fungus Cerrena unicolor" Biomolecules 10, no. 9: 1322. https://doi.org/10.3390/biom10091322
APA StylePawlik, A., Jaszek, M., Swatek, A., Ruminowicz-Stefaniuk, M., Ciołek, B., Mazur, A., & Janusz, G. (2020). Lighting Conditions Influence the Dynamics of Protease Synthesis and Proteasomal Activity in the White Rot Fungus Cerrena unicolor. Biomolecules, 10(9), 1322. https://doi.org/10.3390/biom10091322

