Tramesan Elicits Durum Wheat Defense against the Septoria Disease Complex
Abstract
1. Introduction
2. Materials and Methods
2.1. Preparation of Fungal Inoculum
2.2. Tramesan Preparation
2.3. Trials in Phytotron
2.4. In-field Artificial Infection Trials
2.5. Calibration Curve of P. nodorum and Z. tritici and Quantification of Fungal DNA by Real-time PCR
2.6. Analysis of Expression of Plant Defense-related Genes
2.7. Plant Hormones Analysis
2.8. Statistics
3. Results
3.1. Phytotron Trials
3.2. Field Trials
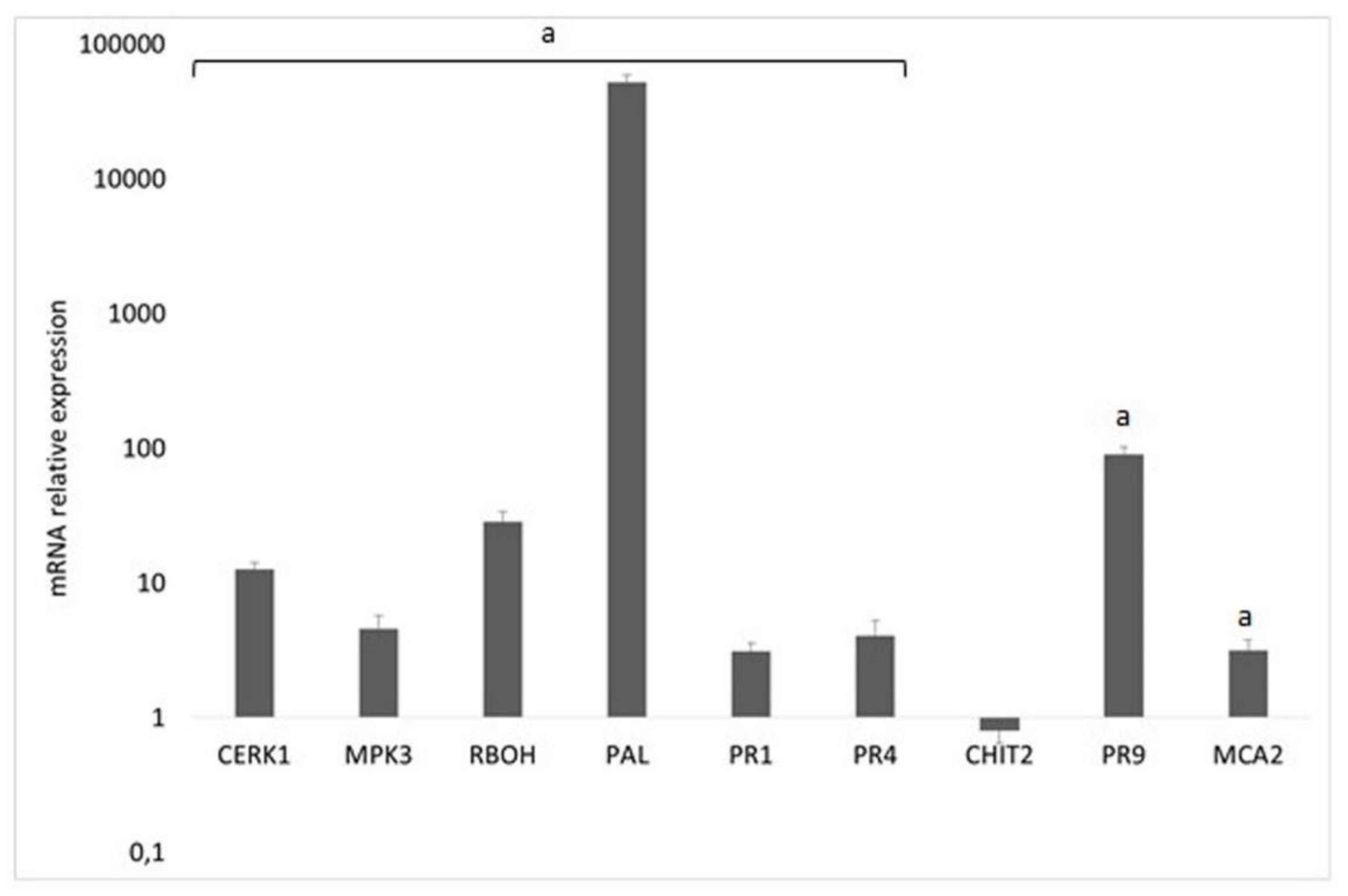
3.3. Expression of Defense Genes and Hormones in Durum Wheat Leaves
4. Discussion
Supplementary Materials
Author Contributions
Funding
Acknowledgments
Conflicts of Interest
References
- Quaedvlieg, W.; Verkley, G.J.M.; Shin, H.-D.; Barreto, R.W.; Alfenas, A.C.; Swart, W.J.; Groenewald, J.Z.; Crous, P.W. Sizing up septoria. Stud. Mycol. 2013, 75, 307–390. [Google Scholar] [CrossRef]
- Bockus, W.W.; Bowden, R.L.; Hunger, R.M.; Murray, T.D.; Smiley, R.W. Compendium of Wheat Diseases and Pests; American Phytopathological Society (APS Press): St. Paul, MN, USA, 2010; ISBN 0890543852. [Google Scholar]
- Fones, H.; Gurr, S. The impact of Septoria tritici Blotch disease on wheat: An EU perspective. Fungal Genet. Biol. 2015, 79, 3–7. [Google Scholar] [CrossRef] [PubMed]
- Eyal, Z. The Septoria tritici and Stagonospora nodorum blotch diseases of wheat. Eur. J. Plant Pathol. 1999, 105, 629–641. [Google Scholar] [CrossRef]
- Deslandes, L.; Rivas, S. Catch me if you can: Bacterial effectors and plant targets. Trends Plant Sci. 2012, 17, 644–655. [Google Scholar] [CrossRef] [PubMed]
- Oliver, R.P.; Friesen, T.L.; Faris, J.D.; Solomon, P.S. Stagonospora nodorum: From pathology to genomics and host resistance. Annu. Rev. Phytopathol. 2012, 50, 23–43. [Google Scholar] [CrossRef]
- Vincent, D.; Du Fall, L.A.; Livk, A.; Mathesius, U.; Lipscombe, R.J.; Oliver, R.P.; Friesen, T.L.; Solomon, P.S. A functional genomics approach to dissect the mode of action of the Stagonospora nodorum effector protein SnToxA in wheat. Mol. Plant Pathol. 2012, 13, 467–482. [Google Scholar] [CrossRef]
- Linde, C.C.; Zhan, J.; McDonald, B.A. Population structure of Mycosphaerella graminicola: From lesions to continents. Phytopathology 2002, 92, 946–955. [Google Scholar] [CrossRef]
- Kettles, G.J.; Kanyuka, K. Dissecting the molecular interactions between wheat and the fungal pathogen Zymoseptoria tritici. Front. Plant Sci. 2016, 7, 508. [Google Scholar] [CrossRef]
- Duba, A.; Goriewa-Duba, K.; Wachowska, U. A review of the interactions between wheat and wheat pathogens: Zymoseptoria tritici, Fusarium spp. and Parastagonospora nodorum. Int. J. Mol. Sci. 2018, 19, 1138. [Google Scholar] [CrossRef]
- Allioui, N.; Siah, A.; Brinis, L.; Reignault, P.; Halama, P. Identification of Qol fungicide-resistant genotypes of the wheat pathogen Zymoseptoria tritici in Algeria. Phytopathol. Mediterr. 2016, 89–97. [Google Scholar]
- Parliament, E. Directive 2009/128/EC of the European Parliament and of the Council of 21 October 2009 establishing a framework for Community action to achieve the sustainable use of pesticides. Off. J. Eur. Union 2009, 309, 71–86. [Google Scholar]
- Gupta, S.; Dikshit, A.K. Biopesticides: An ecofriendly approach for pest control. J. Biopestic. 2010, 3, 186. [Google Scholar]
- Chalfoun, N.R.; Durman, S.B.; Budeguer, F.; Caro, M.d.P.; Bertani, R.P.; Di Peto, P.; Stenglein, S.A.; Filippone, M.P.; Moretti, E.R.; Díaz Ricci, J.C. Development of PSP1, a biostimulant based on the elicitor AsES for disease management in monocot and dicot crops. Front. Plant Sci. 2018, 9, 844. [Google Scholar] [CrossRef] [PubMed]
- Mauch-Mani, B.; Baccelli, I.; Luna, E.; Flors, V. Defense priming: An adaptive part of induced resistance. Annu. Rev. Plant Biol. 2017, 68, 485–512. [Google Scholar] [CrossRef]
- Hilker, M.; Schwachtje, J.; Baier, M.; Balazadeh, S.; Bäurle, I.; Geiselhardt, S.; Hincha, D.K.; Kunze, R.; Mueller-Roeber, B.; Rillig, M.C. Priming and memory of stress responses in organisms lacking a nervous system. Biol. Rev. 2016, 91, 1118–1133. [Google Scholar] [CrossRef]
- Martinez-Medina, A.; Flors, V.; Heil, M.; Mauch-Mani, B.; Pieterse, C.M.J.; Pozo, M.J.; Ton, J.; van Dam, N.M.; Conrath, U. Recognizing plant defense priming. Trends Plant Sci. 2016, 21, 818–822. [Google Scholar] [CrossRef]
- Helms, A.M.; De Moraes, C.M.; Tröger, A.; Alborn, H.T.; Francke, W.; Tooker, J.F.; Mescher, M.C. Identification of an insect-produced olfactory cue that primes plant defenses. Nat. Commun. 2017, 8, 1–9. [Google Scholar] [CrossRef]
- Conrath, U.; Beckers, G.J.M.; Langenbach, C.J.G.; Jaskiewicz, M.R. Priming for enhanced defense. Annu. Rev. Phytopathol. 2015, 53. [Google Scholar] [CrossRef]
- Scarpari, M.; Reverberi, M.; Parroni, A.; Scala, V.; Fanelli, C.; Pietricola, C.; Zjalic, S.; Maresca, V.; Tafuri, A.; Ricciardi, M.R. Tramesan, a novel polysaccharide from Trametes versicolor. Structural characterization and biological effects. PLoS ONE 2017, 12. [Google Scholar] [CrossRef]
- Zaccaria, M.; Ludovici, M.; Sanzani, S.M.; Ippolito, A.; Cigliano, R.A.; Sanseverino, W.; Scarpari, M.; Scala, V.; Fanelli, C.; Reverberi, M. Menadione-induced oxidative stress re-shapes the oxylipin profile of Aspergillus flavus and its lifestyle. Toxins 2015, 7, 4315–4329. [Google Scholar] [CrossRef]
- Ricciardi, M.R.; Licchetta, R.; Mirabilii, S.; Scarpari, M.; Parroni, A.; Fabbri, A.A.; Cescutti, P.; Reverberi, M.; Fanelli, C.; Tafuri, A. Preclinical Antileukemia Activity of Tramesan: A Newly Identified Bioactive Fungal Metabolite. Oxid. Med. Cell. Longev. 2017, 2017. [Google Scholar] [CrossRef] [PubMed]
- Agro-Food Microbial Culture Collection. Available online: http://server.ispa.cnr.it/ITEM/Collection/ (accessed on 14 April 2020).
- Iori, A.; Scala, V.; Cesare, D.; Pinzari, F.; D’Egidio, M.G.; Fanelli, C.; Fabbri, A.A.; Reverberi, M.; Serranti, S. Hyperspectral and molecular analysis of Stagonospora nodorum blotch disease in durum wheat. Eur. J. Plant Pathol. 2015, 141, 689–702. [Google Scholar] [CrossRef]
- Sameh, S.; Céline, R.-F.; Jean-Baptiste, A.; Boris, B. Accuracy of Real-time PCR to Study Mycosphaerella graminicola Epidemic in Wheat: From Spore Arrival to Fungicide Efficiency; InTechopen: London, UK, 2011. [Google Scholar]
- CABI. Available online: https://www.cabi.org/services/microbial-services/culture-collection-microorganism-supply/ (accessed on 14 April 2020).
- Liu, Z.H.; Friesen, T.L.; Rasmussen, J.B.; Ali, S.; Meinhardt, S.W.; Faris, J.D. Quantitative trait loci analysis and mapping of seedling resistance to Stagonospora nodorum leaf blotch in wheat. Phytopathology 2004, 94, 1061–1067. [Google Scholar] [CrossRef] [PubMed]
- Nobili, C.; D’Angeli, S.; Altamura, M.M.; Scala, V.; Fabbri, A.A.; Reverberi, M.; Fanelli, C. ROS and 9-oxylipins are correlated with deoxynivalenol accumulation in the germinating caryopses of Triticum aestivum after Fusarium graminearum infection. Eur. J. Plant Pathol. 2014. [Google Scholar] [CrossRef]
- Lee, W.-S.; Rudd, J.J.; Hammond-Kosack, K.E.; Kanyuka, K. Mycosphaerella graminicola LysM effector-mediated stealth pathogenesis subverts recognition through both CERK1 and CEBiP homologues in wheat. Mol. Plant Microbe Interact. 2014, 27, 236–243. [Google Scholar] [CrossRef]
- Rudd, J.J.; Keon, J.; Hammond-Kosack, K.E. The wheat mitogen-activated protein kinases TaMPK3 and TaMPK6 are differentially regulated at multiple levels during compatible disease interactions with Mycosphaerella graminicola. Plant Physiol. 2008, 147, 802–815. [Google Scholar] [CrossRef]
- O’Driscoll, A.; Kildea, S.; Doohan, F.; Spink, J.; Mullins, E. The wheat–Septoria conflict: A new front opening up? Trends Plant Sci. 2014, 19, 602–610. [Google Scholar] [CrossRef]
- Arraiano, L.S.; Brown, J.K.M. Sources of resistance and susceptibility to Septoria tritici blotch of wheat. Mol. Plant Pathol. 2017, 18, 276–292. [Google Scholar] [CrossRef]
- Ors, M.; Randoux, B.; Siah, A.; Couleaud, G.; Maumené, C.; Sahmer, K.; Reignault, P.; Halama, P.; Selim, S. A Plant Nutrient-and Microbial Protein-Based Resistance Inducer Elicits Wheat Cultivar-Dependent Resistance Against Zymoseptoria tritici. Phytopathology 2019, 109, 2033–2045. [Google Scholar] [CrossRef]
- Le Mire, G.; Siah, A.; Marolleau, B.; Gaucher, M.; Maumené, C.; Brostaux, Y.; Massart, S.; Brisset, M.-N.; Jijakli, M.H. Evaluation of λ-Carrageenan, CpG-ODN, Glycine Betaine, Spirulina platensis, and Ergosterol as Elicitors for Control of Zymoseptoria tritici in Wheat. Phytopathology 2019, 109, 409–417. [Google Scholar] [CrossRef]
- Beckers, G.J.M.; Jaskiewicz, M.; Liu, Y.; Underwood, W.R.; He, S.Y.; Zhang, S.; Conrath, U. Mitogen-activated protein kinases 3 and 6 are required for full priming of stress responses in Arabidopsis thaliana. Plant Cell 2009, 21, 944–953. [Google Scholar] [CrossRef] [PubMed]
- Tateda, C.; Zhang, Z.; Shrestha, J.; Jelenska, J.; Chinchilla, D.; Greenberg, J.T. Salicylic acid regulates Arabidopsis microbial pattern receptor kinase levels and signaling. Plant Cell 2014, 26, 4171–4187. [Google Scholar] [CrossRef] [PubMed]
- Zhang, Y.P.; Jiang, H.; Wang, L.; Zhou, J.; Zhu, D.F. A comparative study of stress-related gene expression under single stress and intercross stress in rice. Genet. Mol. Res. GMR 2015, 14, 3702–3717. [Google Scholar] [CrossRef] [PubMed]
- Xia, X.-J.; Zhou, Y.-H.; Shi, K.; Zhou, J.; Foyer, C.H.; Yu, J.-Q. Interplay between reactive oxygen species and hormones in the control of plant development and stress tolerance. J. Exp. Bot. 2015, 66, 2839–2856. [Google Scholar] [CrossRef]
- Rehrig, E.M.; Appel, H.M.; Jones, A.D.; Schultz, J.C. Roles for jasmonate-and ethylene-induced transcription factors in the ability of Arabidopsis to respond differentially to damage caused by two insect herbivores. Front. Plant Sci. 2014, 5, 407. [Google Scholar] [CrossRef]
- Rawat, S.; Ali, S.; Mittra, B.; Grover, A. Expression analysis of chitinase upon challenge inoculation to Alternaria wounding and defense inducers in Brassica juncea. Biotechnol. Rep. 2017, 13, 72–79. [Google Scholar] [CrossRef]
- Miura, K.; Okamoto, H.; Okuma, E.; Shiba, H.; Kamada, H.; Hasegawa, P.M.; Murata, Y. SIZ1 deficiency causes reduced stomatal aperture and enhanced drought tolerance via controlling salicylic acid-induced accumulation of reactive oxygen species in A rabidopsis. Plant J. 2013, 73, 91–104. [Google Scholar] [CrossRef]
- Reverberi, M.; Zjalic, S.; Ricelli, A.; Di Meo, C.; Scarpari, M.; Fanelli, C.; Fabbri, A. Mushrooms versus fungi: Natural compounds from Lentinula edodes inhibit aflatoxin biosynthesis by Aspergillus parasiticus. World Mycotoxin J. 2011, 4, 217–224. [Google Scholar] [CrossRef]
- Limpens, E.; Franken, C.; Smit, P.; Willemse, J.; Bisseling, T.; Geurts, R. LysM domain receptor kinases regulating rhizobial Nod factor-induced infection. Science 2003, 302, 630–633. [Google Scholar] [CrossRef]
- Gubaeva, E.; Gubaev, A.; Melcher, R.L.J.; Cord-Landwehr, S.; Singh, R.; El Gueddari, N.E.; Moerschbacher, B.M. ‘Slipped sandwich’model for chitin and chitosan perception in Arabidopsis. Mol. Plant Microbe Interact. 2018, 31, 1145–1153. [Google Scholar] [CrossRef]
- Shen, Q.; Liu, L.; Wang, L.; Wang, Q. Indole primes plant defense against necrotrophic fungal pathogen infection. PLoS ONE 2018, 13. [Google Scholar] [CrossRef] [PubMed]




| Treatment | Application Time (GS) | Active Ingredient | Dose (mL/m2) |
|---|---|---|---|
| Untreated control (non-inoculated and non-treated) | -- | Water | 40 |
| T | 47 | Tramesan | 40 |
| Inoculated with P. nodorum ST15465 | 49 | Water | 40 |
| T and inoculated with P. nodorum ST15465 | 47; 49 | Tramesan | 40 |
| Untreated control (non-inoculated and non-treated) | 37 | Water | 40 |
| T | 37 | Tramesan | 40 |
| Inoculated with Z. tritici ST18258 | 39 | Water | 40 |
| T and inoculated with Z. tritici ST18258 | 37; GS 39 | Tramesan | 40 |
| Durum Wheat | ||||
|---|---|---|---|---|
| P. nodorum ST15465 | Z. tritici ST18258 | |||
| Svevo | Duilio | Svevo | Duilio | |
| Mock | 0a | 0a | 0a | 0a |
| T | 0a | 0a | 0a | 0a |
| Tr + Inf | 1ab | 1ab | 0.7ab | 0.7ab |
| Inf | 4b | 2b | 2b | 1.7b |
| F test (p value) | 2.5 × 10−5 | 0.031 | 0.0015 | 0.025 |
| Svevo | ||
|---|---|---|
| Severity on Flag Leaf (%) SNB | Severity on Flag Leaf (%) STB | |
| Mock | 3.2ab | 1.2a |
| T | 0.8a | 0.5a |
| Tr + Inf | 28.5b | 32.4b |
| Inf | 36.5c | 47.5c |
| F test (p value) | 4.65 × 10−4 | 1.73 × 10−5 |
© 2020 by the authors. Licensee MDPI, Basel, Switzerland. This article is an open access article distributed under the terms and conditions of the Creative Commons Attribution (CC BY) license (http://creativecommons.org/licenses/by/4.0/).
Share and Cite
Scala, V.; Pietricola, C.; Farina, V.; Beccaccioli, M.; Zjalic, S.; Quaranta, F.; Fornara, M.; Zaccaria, M.; Momeni, B.; Reverberi, M.; et al. Tramesan Elicits Durum Wheat Defense against the Septoria Disease Complex. Biomolecules 2020, 10, 608. https://doi.org/10.3390/biom10040608
Scala V, Pietricola C, Farina V, Beccaccioli M, Zjalic S, Quaranta F, Fornara M, Zaccaria M, Momeni B, Reverberi M, et al. Tramesan Elicits Durum Wheat Defense against the Septoria Disease Complex. Biomolecules. 2020; 10(4):608. https://doi.org/10.3390/biom10040608
Chicago/Turabian StyleScala, Valeria, Chiara Pietricola, Valentina Farina, Marzia Beccaccioli, Slaven Zjalic, Fabrizio Quaranta, Mauro Fornara, Marco Zaccaria, Babak Momeni, Massimo Reverberi, and et al. 2020. "Tramesan Elicits Durum Wheat Defense against the Septoria Disease Complex" Biomolecules 10, no. 4: 608. https://doi.org/10.3390/biom10040608
APA StyleScala, V., Pietricola, C., Farina, V., Beccaccioli, M., Zjalic, S., Quaranta, F., Fornara, M., Zaccaria, M., Momeni, B., Reverberi, M., & Iori, A. (2020). Tramesan Elicits Durum Wheat Defense against the Septoria Disease Complex. Biomolecules, 10(4), 608. https://doi.org/10.3390/biom10040608

