Enhancing Activity of Pleurotus sajor-caju (Fr.) Sing β-1,3-Glucanoligosaccharide (Ps-GOS) on Proliferation, Differentiation, and Mineralization of MC3T3-E1 Cells through the Involvement of BMP-2/Runx2/MAPK/Wnt/β-Catenin Signaling Pathway
Abstract
1. Introduction
2. Materials and Methods
2.1. Materials
2.2. Preparation of Water Soluble P. sajor-caju Glucanoligosaccharide (Ps-GOS)
2.3. Culture and Differentiation
2.4. Cell Proliferation
2.5. Alkaline Phosphatase (ALP) Activity Assay
2.6. Alizarin Red S Staining
2.7. Cell Cycle Analysis
2.8. Quantitative Real-Time Polymerase Chain Reaction (qRT-PCR)
2.9. Western Blot Analysis
2.10. Immunofluorescence Microscopy
2.11. Statistical Analysis
3. Results
3.1. Effect of Ps-GOS on Proliferation of MC3T3-E1 Cells
3.2. Effect of Ps-GOS on Cell Cycle Distribution on MC3T3-E1 Cells
3.3. Effects of Ps-GOS on Osteoblastic Differentiation of MC3T3-E1 Cells
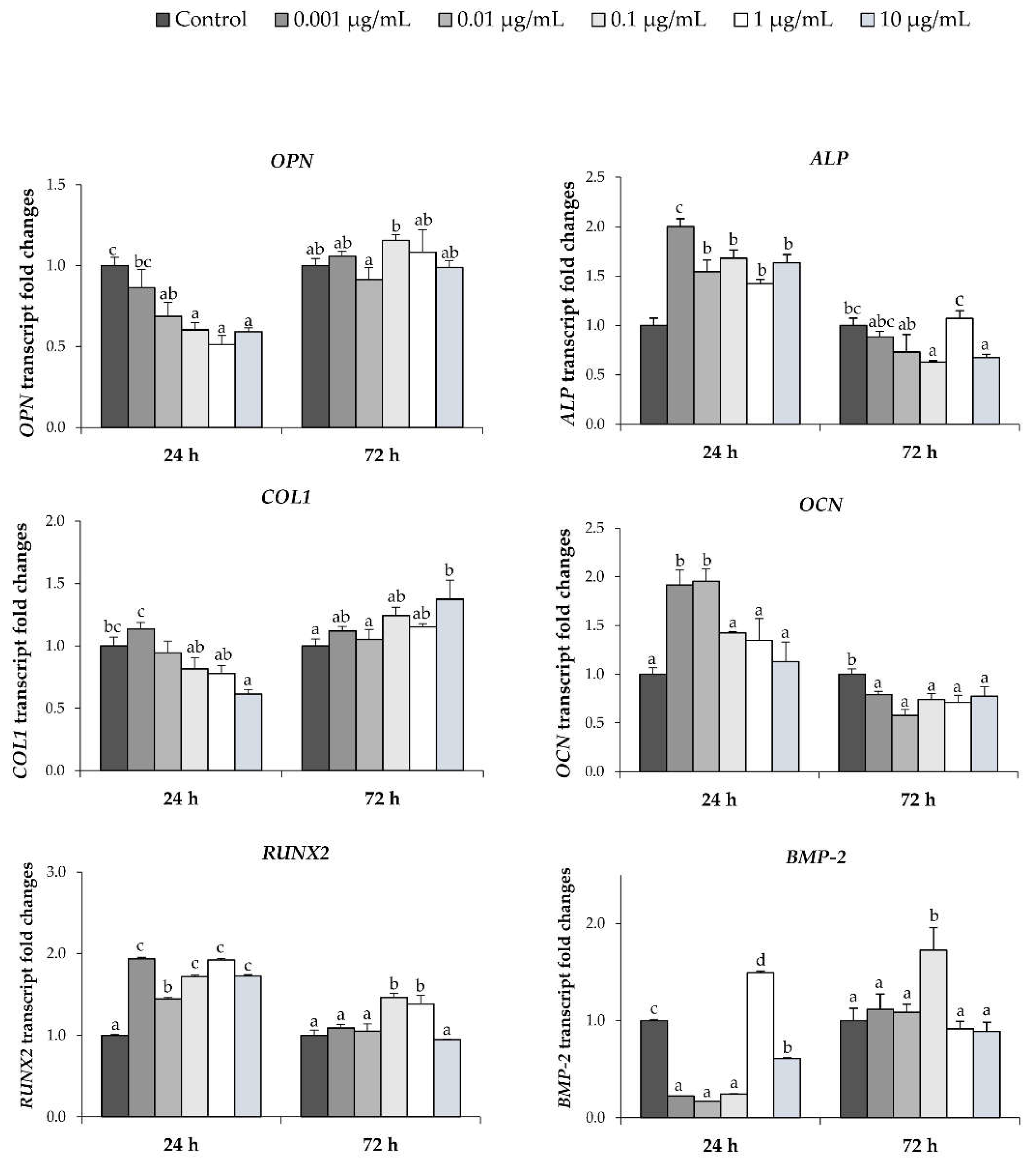
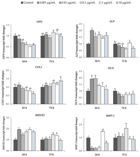
3.4. Ps-GOS Up-Regulated Osteogenic-Related Gene Marker Expression in MC3T3-E1 Cells
3.5. Ps-GOS Stimulates Osteoblast Differentiation via BMP Signaling Pathway
3.6. Stimulating Effect on Osteoblastic Differentiation by Ps-GOS Could Affect through MAPK and Wnt/β-Catenin Signaling Pathways
4. Discussion
5. Conclusions
Author Contributions
Funding
Conflicts of Interest
References
- Sozen, T.; Ozisik, L.; Calik Basaran, N. An overview and management of osteoporosis. Eur. J. Rheumatol. 2016, 4, 46–56. [Google Scholar] [CrossRef] [PubMed]
- Wright, N.C.; Looker, A.C.; Saag, K.G.; Curtis, J.R.; Delzell, E.S.; Randall, S.; Dawson-Hughes, B. The recent prevalence of osteoporosis and low bone mass in the United States based on bone mineral density at the femoral neck or lumbar spine. J. Bone Miner. Res. 2014, 29, 2520–2526. [Google Scholar] [CrossRef] [PubMed]
- Ji, M.; Yu, Q. Primary osteoporosis in postmenopausal women. Chronic Dis. Transl. Med. 2015, 1, 9–13. [Google Scholar] [CrossRef] [PubMed]
- Weitzmann, M.N.; Pacifici, R. Estrogen deficiency and bone loss: An inflammatory. J. Clin. Investig. 2006, 116, 1186–1194. [Google Scholar] [CrossRef]
- Riggs, B.L. The mechanisms of estrogen regulation of bone resorption. J. Clin. Investig. 2000, 106, 1203–1204. [Google Scholar] [CrossRef]
- Rucci, N. Molecular biology of bone remodeling. Clin. Cases Miner. Bone Metab. 2008, 5, 49–56. [Google Scholar]
- Feng, X.; McDonald, J.M. Disorders of bone remodeling. Annu. Rev. Pathol. 2011, 6, 121–145. [Google Scholar] [CrossRef]
- Zuo, C.; Huang, Y.; Bajis, R.; Sahih, M.; Li, Y.P.; Dai, K.; Zhang, X. Osteoblastogenesis regulation signals in bone remodeling. Osteoporos. Int. 2012, 23, 1653–1663. [Google Scholar] [CrossRef]
- Yamaguchi, A.; Sakamoto, K.; Minamizato, T.; Katsube, K.; Nakanishi, S. Regulation of osteoblast differentiation mediated by BMP, Notch, and CCN3/NOV. Jpn. Dent. Sci. Rev. 2008, 44, 48–56. [Google Scholar] [CrossRef]
- Komori, T. Regulation of bone development and maintenance by Runx2. Front. Biosci. 2008, 1, 898–903. [Google Scholar] [CrossRef]
- Hashimi, S.M. Exogenous noggin binds the BMP-2 receptor and induces alkaline phosphatase activity in osteoblasts. J. Cell Biochem. 2019, 120, 13237–13242. [Google Scholar] [CrossRef] [PubMed]
- Chau, J.F.; Leong, W.F.; Li, B. Signaling pathways governing osteoblast proliferation, differentiation and function. Histol. Histopathol. 2009, 24, 1593–1606. [Google Scholar] [PubMed]
- Higuchi, C.; Myoui, A.; Hashimoto, N.; Kuriyama, K.; Yoshioka, K.; Yoshikawa, H.; Itoh, K. Continuous inhibition of MAPK signaling promotes the early osteoblastic differentiation and mineralization of the extracellular matrix. J. Bone Miner. Res. 2002, 17, 1785–1794. [Google Scholar] [CrossRef] [PubMed]
- Duan, P.; Bonewald, L.F. The role of the Wnt/β-Catenin signaling pathway in formation and maintenance of bone and teeth. Int. J. Biochem. Cell Biol. 2016, 77, 23–29. [Google Scholar] [CrossRef] [PubMed]
- Krishnan, V.; Bryant, H.U.; Macdougald, O.A. Regulation of bone mass by Wnt Signaling. J. Clin. Investig. 2006, 116, 1202–1209. [Google Scholar] [CrossRef]
- Chen, J.; Long, F. β-catenin promotes bone formation and suppresses bone resorption in postnatal growing mice. J. Bone Miner. Res. 2013, 28, 1160–1169. [Google Scholar] [CrossRef]
- Clemons, M.; Goss, P. Estrogen and the risk of breast cancer. N. Engl. J. Med. 2001, 344, 276–285. [Google Scholar] [CrossRef]
- Lacey, J.V.; Brinton, L.A.; Leitzmann, M.F.; Mouw, T.; Hollenbeck, A.; Schatzkin, A.; Hartge, P. Menopausal hormone therapy and ovarian cancer risk in the national institutes of Health-AARP Diet and Health Study Cohort. J. Natl. Cancer Inst. 2006, 98, 1397–1405. [Google Scholar] [CrossRef]
- George, E.L.; Lin, Y.L.; Saunders, M.M. Bisphosphonate-related osteonecrosis of the jaw: A mechanobiology perspective. Bone Rep. 2018, 8, 104–109. [Google Scholar] [CrossRef]
- An, J.; Yang, H.; Zhang, Q.; Liu, C.; Zhao, J.; Zhang, L.; Chen, B. Natural products for treatment of osteoporosis: The effects and mechanisms on promoting osteoblast-mediated bone formation. Life Sci. 2016, 15, 46–58. [Google Scholar] [CrossRef]
- Bashir, K.M.I.; Choi, J.S. Clinical and physiological perspectives of β-glucans: The past, present, and future. Int. J. Mol. Sci. 2017, 18, 1906. [Google Scholar] [CrossRef] [PubMed]
- Kawata, K.; Iwai, A.; Muramatsu, D.; Aoki, S.; Uchiyama, H.; Okab, M.; Hayakawa, S.; Takaoka, A.; Miyazaki, T. Stimulation of macrophages with the β-glucan produced by Aureobasidium pullulans promotes the secretion of tumor necrosis factor-related apoptosis inducing ligand (TRAIL). PLoS ONE 2015, 13, e0124809. [Google Scholar] [CrossRef] [PubMed]
- Tiwari, U.; Cummins, E. Meta-analysis of the effect of β-glucan intake on blood cholesterol and glucose levels. Nutrition 2011, 27, 1008–1016. [Google Scholar] [CrossRef] [PubMed]
- Kanagasabapathy, G.; Kuppusamy, U.R.; Nurestri, S.; Malek, A.; Abdulla, M.A.; Chua, K.; Sabaratnam, V. Glucan-rich polysaccharides from Pleurotus Sajor-Caju (Fr.) singer prevents glucose intolerance, insulin resistance and inflammation in C57BL/6J mice fed a high-fat diet. BMC Complement. Altern. Med. 2012, 21. [Google Scholar] [CrossRef]
- Jang, J.H.; Lee, J.; Kim, J.H.; Lee, Y.H.; Ju, Y.C.; Lee, J.S. Isolation and identification of RANKL-induced osteoclast differentiation inhibitor from Pleurotus citrinopileatus. Mycoscience 2013, 54, 265–270. [Google Scholar] [CrossRef]
- Lee, D.H.; Han, D.W.; Park, B.J.; Baek, H.S.; Takatori, K.; Aihara, M.; Tsubaki, K.; Park, J. The influences of β-glucan associated with BMP7 on MC3T3-E1 proliferation and osteogenic differentiation. Key Eng. Mater. 2005, 288–289, 241–244. [Google Scholar] [CrossRef]
- Shin, H.D.; Yang, K.J.; Park, B.R.; Son, C.W.; Jang, H.J.; Ku, S.K. Antiosteoporotic effect of polycan, β-glucan from Aureobasidium, in ovariectomized osteoporotic mice. Nutrition 2007, 23, 853–860. [Google Scholar] [CrossRef]
- Breene, W.M. Nutritional and medicinal value of specialty mushrooms. J. Food Prot. 1990, 53, 883–894. [Google Scholar] [CrossRef]
- Finimundy, T.C.; Barros, L.; Calhelha, R.C.; Alves, M.J.; Prieto, M.A.; Abreu, R.M.V.; Dillon, A.J.P.; Henriques, J.A.P.; Roesch-Ely, M.; Ferreira, I.C.F.R. Multifunctions of Pleurotus sajor-caju (Fr.) Singer: A highly nutritious food and a source for bioactive compounds. Food Chem. 2018, 245, 150–158. [Google Scholar] [CrossRef]
- Regand, A.; Tosh, S.M.; Wolever, T.M.S.; Wood, P.J. Physicochemical properties of glucan in differently processed oat foods influence glycemie response. J. Agric. Food Chem. 2009, 57, 8831–8838. [Google Scholar] [CrossRef]
- Wang, Q.; Ellis, P.R. Oat β-glucan: Physico-chemical characteristics in relation to its blood-glucose and cholesterol-lowering properties. Br. J. Nutr. 2014, 112, S4–S13. [Google Scholar] [CrossRef] [PubMed]
- Li, K.; Chen, W.; Wang, W.; Tan, H.; Li, S.; Yin, H. Effective degradation of curdlan powder by a novel endo-β-1→3-glucanase. Carbohydr. Polym. 2018, 201, 122–130. [Google Scholar] [CrossRef] [PubMed]
- Churngchow, N.; Suntaro, A.; Wititsuwannakul, R. β-1,3-glucanase isozymes from the latex of Hevea brasiliensis. Phytochemistry 1995, 39, 505–509. [Google Scholar] [CrossRef]
- Freimund, S.; Sauter, M.; Käppeli, O.; Dutler, H.A. New non-Degrading Isolation Process for 1,3-β-D-glucan of high purity from baker’s yeast Saccharomyces cerevisiae. Carbohydr. Polym. 2003, 54, 159–171. [Google Scholar] [CrossRef]
- Synytsya, A.; Mícˇková, K.; Synytsya, A.; Jablonsky´, I.; Spěváček, J.; Erban, V.; Kováříková, E.; Čopíková, J. Glucans from fruit bodies of cultivated mushrooms Pleurotus ostreatus and Pleurotus eryngii: Structure and potential prebiotic activity. Carbohydr. Polym. 2009, 76, 548–556. [Google Scholar] [CrossRef]
- McClear, B.; Glennie-Holmes, M. Enzymic quantification of (1→3) (1→4)-β-d-glucan in barley and malt. J. Inst. Brew. 1985, 91, 285–295. [Google Scholar] [CrossRef]
- Yodthong, T.; Kedjarune-Leggat, U.; Smythe, C.; Wititsuwannakul, R.; Pitakpornpreecha, T. L-quebrachitol promotes the proliferation, differentiation, and mineralization of MC3T3-E1 cells: Involvement of the BMP-2/Runx2/MAPK/Wnt/Beta-catenin signaling pathway. Molecules 2018, 23, 3086. [Google Scholar] [CrossRef]
- Javed, A.; Chen, H.; Ghori, F.Y. Genetic and transcriptional control of bone formation. Oral Maxillofac. Surg. Clin. N. Am. 2010, 22, 283–293. [Google Scholar] [CrossRef]
- Prins, H.J.; Braat, A.K.; Gawlitta, D.; Dhert, W.J.A.; Egan, D.A.; Tijssen-Slump, E.; Yuan, H.; Coffer, P.J.; Rozemuller, H.; Martens, A.C. In vitro induction of alkaline phosphatase levels predicts in vivo bone forming capacity of human bone marrow stromal cells. Stem Cell Res. 2014, 12, 428–440. [Google Scholar] [CrossRef]
- Yazid, M.D.; Ariffin, S.H.Z.; Senafi, S.; Razak, M.A.; Wahab, R.M.A. Determination of the differentiation capacities of murines’ primary mononucleated cells. Cancer Cell Int. 2010, 28. [Google Scholar] [CrossRef]
- Golub, E.E.; Boesze-battaglia, K. The role of alkaline phosphatase in mineralization. Curr. Opin. Orthop. 2007, 18, 444–448. [Google Scholar] [CrossRef]
- Li, L.J.; Kim, S.N.; Cho, S.A. Comparison of alkaline phosphatase activity of MC3T3-E1 cells cultured on different Ti surfaces: Modified sandblasted with large grit and acid-etched (MSLA), laser-treated, and laser and acid-treated Ti Surfaces. J. Adv. Prosthodont. 2016, 8, 235–240. [Google Scholar] [CrossRef] [PubMed]
- Beck, G.R.; Sullivan, E.C.; Moran, E.; Zerler, B. Relationship between alkaline phosphatase levels, osteopontin expression, and mineralization in differentiating MC3T3-E1 osteoblasts. J. Cell. Biochem. 1998, 280, 269–280. [Google Scholar] [CrossRef]
- Sun, L.Y.; Hsieh, D.K.; Lin, P.C.; Chiu, H.T.; Chiou, T.W. Pulsed Electromagnetic Fields Accelerate Proliferation and Osteogenic Gene Expression in Human Bone Marrow Mesenchymal Stem Cells During Osteogenic Differentiation. Bioelectromagnetics 2010, 31, 209–219. [Google Scholar] [CrossRef]
- Hu, L.; Yin, C.; Zhao, F.; Ali, A.; Ma, J.; Qian, A. Mesenchymal stem cells: Cell fate decision to osteoblast or adipocyte and application in osteoporosis treatment. Int. J. Mol. Sci. 2018, 19, 360. [Google Scholar] [CrossRef]
- Chen, G.; Deng, C.; Li, Y.P. TGF-β and BMP signaling in osteoblast differentiation and bone formation. Int. J. Biol. Sci. 2012, 8, 272–288. [Google Scholar] [CrossRef]
- Javed, A.; Bae, J.S.; Afza, F.; Gutierrez, S.; Pratap, J.; Zaidi, S.K.; Lou, Y.; Van Wijnen, A.J.; Stein, J.L.; Stein, G.S.; et al. Structural coupling of Smad and Runx2 for execution of the BMP2 osteogenic signal. J. Biol. Chem. 2008, 283, 8412–8422. [Google Scholar] [CrossRef]
- Xuan, D.; Li, S.; Zhang, X.; Hu, F.; Lin, L.; Wang, C.; Zhang, J. Mutations in the RUNX2 gene in Chinese patients with cleidocranial dysplasia. Ann. Clin. Lab. Sci. 2008, 38, 15–24. [Google Scholar]
- Adhami, M.D.; Rashid, H.; Chen, H.; Clarke, J.C.; Yang, Y.; Javed, A. Loss of Runx2 in committed osteoblasts impairs postnatal skeletogenesis. J. Bone Min. Res. 2015, 30, 71–82. [Google Scholar] [CrossRef]
- Zhang, R.; Oyajobi, B.O.; Harris, S.E.; Chen, D.; Tsao, C.; Deng, H.W.; Zhao, M. Wnt/β-catenin signaling activates bone morphogenetic protein 2 expression in osteoblasts. Bone 2013, 52, 145–156. [Google Scholar] [CrossRef]
- MacDonald, B.T.; Tamai, K.; He, X. Wnt/β-Catenin signaling: Components, mechanisms, and diseases. Dev. Cell. 2009, 17, 9–26. [Google Scholar] [CrossRef] [PubMed]
- Gong, Y.; Slee, R.B.; Fukai, N.; Rawadi, G.; Roman-roman, S.; Reginato, A.M.; Wang, H.; Cundy, T.; Glorieux, F.H.; Lev, D.; et al. LDL receptor-related protein 5 (LRP5) affects bone accrual and eye development. Cell 2001, 107, 513–523. [Google Scholar] [CrossRef]
- Kato, M.; Patel, M.S.; Levasseur, R.; Lobov, I.; Chang, B.H.; Ii, D.A.G.; Hartmann, C.; Li, L.; Hwang, T.; Brayton, C.F.; et al. Cbfa1-independent decrease in osteoblast proliferation, osteopenia, and persistent embryonic eye vascularization in mice deficient in Lrp5, a Wnt Coreceptor. J. Cell Biol. 2002, 15, 303–314. [Google Scholar] [CrossRef] [PubMed]
- Okamoto, M.; Udagawa, N.; Uehara, S.; Maeda, K.; Yamashita, T.; Nakamichi, Y.; Kato, H.; Saito, N.; Minami, Y.; Takahashi, N.; et al. Noncanonical Wnt5a enhances Wnt/β-Catenin signaling during osteoblastogenesis. Sci. Rep. 2014, 4, 1–8. [Google Scholar] [CrossRef] [PubMed]
- Rodríguez-carballo, E.; Gámez, B.; Ventura, F. P38 MAPK Signaling in osteoblast differentiation. Front. Cell Dev. Biol. 2016, 4, 1–20. [Google Scholar] [CrossRef] [PubMed]
- Matsuguchi, T.; Chiba, N.; Bandow, K.; Kakimoto, K.; Masuda, A.; Ohnishi, T. JNK activity is essential for Atf4 expression and late-Stage osteoblast differentiation. J. Bone Miner. Res. 2009, 24, 398–410. [Google Scholar] [CrossRef]
- Xu, R.; Zhang, C.; Shin, D.Y.; Kim, J.M.; Lalani, S.; Li, N.; Yang, Y.S.; Liu, Y.; Eiseman, M.; Davis, R.J.; et al. C-Jun N-terminal kinases (JNKs) are critical mediators of osteoblast activity in vivo. J. Bone Miner. Res. 2017, 32, 1811–1815. [Google Scholar] [CrossRef]
- Xiao, G.; Jiang, D.; Thomas, P.; Benson, M.D.; Guan, K.; Karsenty, G.; Franceschi, R.T. MAPK pathways activate and phosphorylate the osteoblast-specific transcription factor, Cbfa1. J. Biol. Chem. 2000, 275, 4453–4459. [Google Scholar] [CrossRef]
- Matsushita, T.; Chan, Y.Y.; Kawanami, A.; Balmes, G.; Landreth, G.E.; Murakami, S. Extracellular signal-regulated kinase 1 (ERK1) and ERK2 play essential roles in osteoblast differentiation and in supporting osteoclastogenesis. Mol. Cell. Biol. 2009, 29, 5843–5857. [Google Scholar] [CrossRef]
- Hu, Y.; Chan, E.; Wang, S.X.; Li, B. Activation of P38 mitogen-activated protein kinase is required for osteoblast differentiation. Endocrinology 2003, 144, 2068–2074. [Google Scholar] [CrossRef]







© 2020 by the authors. Licensee MDPI, Basel, Switzerland. This article is an open access article distributed under the terms and conditions of the Creative Commons Attribution (CC BY) license (http://creativecommons.org/licenses/by/4.0/).
Share and Cite
Yodthong, T.; Kedjarune-Leggat, U.; Smythe, C.; Sukprasirt, P.; Aroonkesorn, A.; Wititsuwannakul, R.; Pitakpornpreecha, T. Enhancing Activity of Pleurotus sajor-caju (Fr.) Sing β-1,3-Glucanoligosaccharide (Ps-GOS) on Proliferation, Differentiation, and Mineralization of MC3T3-E1 Cells through the Involvement of BMP-2/Runx2/MAPK/Wnt/β-Catenin Signaling Pathway. Biomolecules 2020, 10, 190. https://doi.org/10.3390/biom10020190
Yodthong T, Kedjarune-Leggat U, Smythe C, Sukprasirt P, Aroonkesorn A, Wititsuwannakul R, Pitakpornpreecha T. Enhancing Activity of Pleurotus sajor-caju (Fr.) Sing β-1,3-Glucanoligosaccharide (Ps-GOS) on Proliferation, Differentiation, and Mineralization of MC3T3-E1 Cells through the Involvement of BMP-2/Runx2/MAPK/Wnt/β-Catenin Signaling Pathway. Biomolecules. 2020; 10(2):190. https://doi.org/10.3390/biom10020190
Chicago/Turabian StyleYodthong, Thanintorn, Ureporn Kedjarune-Leggat, Carl Smythe, Pannawich Sukprasirt, Aratee Aroonkesorn, Rapepun Wititsuwannakul, and Thanawat Pitakpornpreecha. 2020. "Enhancing Activity of Pleurotus sajor-caju (Fr.) Sing β-1,3-Glucanoligosaccharide (Ps-GOS) on Proliferation, Differentiation, and Mineralization of MC3T3-E1 Cells through the Involvement of BMP-2/Runx2/MAPK/Wnt/β-Catenin Signaling Pathway" Biomolecules 10, no. 2: 190. https://doi.org/10.3390/biom10020190
APA StyleYodthong, T., Kedjarune-Leggat, U., Smythe, C., Sukprasirt, P., Aroonkesorn, A., Wititsuwannakul, R., & Pitakpornpreecha, T. (2020). Enhancing Activity of Pleurotus sajor-caju (Fr.) Sing β-1,3-Glucanoligosaccharide (Ps-GOS) on Proliferation, Differentiation, and Mineralization of MC3T3-E1 Cells through the Involvement of BMP-2/Runx2/MAPK/Wnt/β-Catenin Signaling Pathway. Biomolecules, 10(2), 190. https://doi.org/10.3390/biom10020190

