An Investigation of Structure-Activity Relationships of Azolylacryloyl Derivatives Yielded Potent and Long-Acting Hemoglobin Modulators for Reversing Erythrocyte Sickling
Abstract
1. Introduction
2. Materials and Methods
2.1. Study Approvals
2.2. Chemistry
2.2.1. Synthesis of the MMA-100 Series of Compounds
Preparation of (E)-3-(1H-imidazol-2-yl)-1-(5-methoxypyridin-2-yl)prop-2-en-1-one (MMA-101)
Preparation of (E)-3-(1H-imidazol-2-yl)-1-(5-methoxypyridin-3-yl)prop-2-en-1-one (MMA-102)
Preparation of (E)-N-(4-(3-(1H-imidazol-2-yl)acryloyl)phenyl)methanesulfonamide (MMA-103)
Preparation of (E)-3-(1H-imidazol-2-yl)-1-(4-(trifluoromethoxy)phenyl)prop-2-en-1-one (MMA-104)
Preparation of (E)-5-(3-(1H-imidazol-2-yl)acryloyl)-2-methoxybenzonitrile (MMA-105)
Preparation of (E)-3-(1H-imidazol-2-yl)-1-(6-((tetrahydrofuran-3-yl)oxy)pyridin-3-yl)prop-2-en-1-one (MMA-106)
Preparation of (E)-3-(1H-imidazol-2-yl)-1-(5-((tetrahydrofuran-3-yl)oxy)pyridin-2-yl)prop-2-en-1-one (MMA-107)
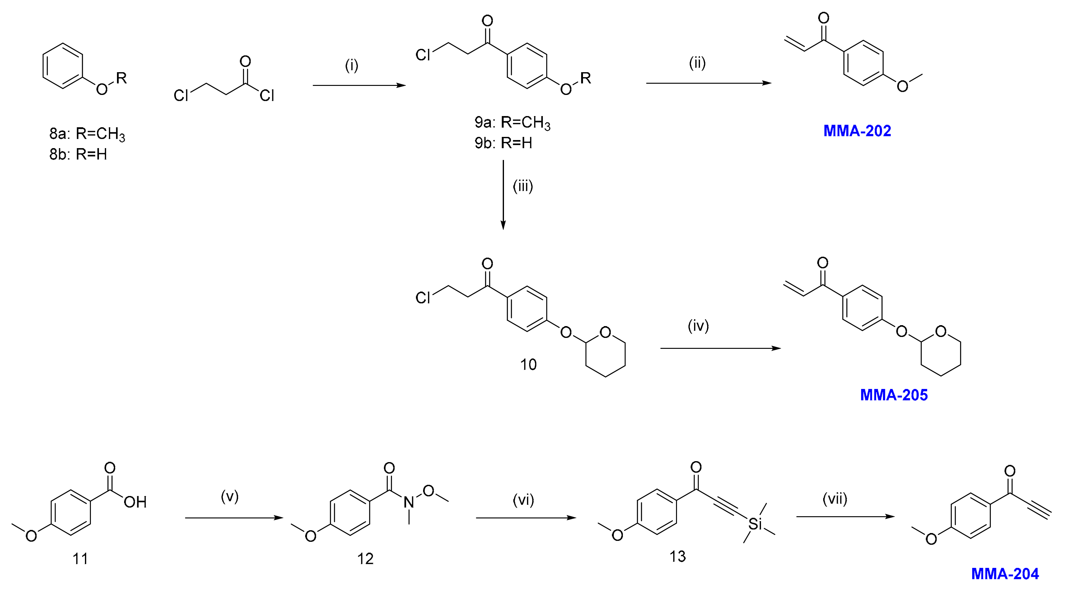
2.2.2. Synthesis of the MMA-200 Series of Compounds
Preparation of 1-(4-methoxyphenyl)prop-2-en-1-one (MMA-202)
Preparation of 1-(4-methoxyphenyl)prop-2-yn-1-one (MMA-204)
Preparation of 1-(4-((tetrahydro-2H-pyran-2-yl)oxy)phenyl)prop-2-en-1-one (MMA-205)
2.3. In Vitro Time-Dependent Hb Oxygen Equilibrium Studies Using Normal Whole Blood
2.4. In Vitro Hemoglobin Modification, Oxygen Equilibrium and Antisickling Studies Using Human homozygous Sickle cell (SS) Blood
2.5. Reverse-Phase HPLC Studies to Determine which Hb Subunit Interacts with the Compounds
2.6. Reactivity of MMA Compounds toward Csyteine Residues of Hb
3. Results and Discussion
3.1. Rationale for Design of MMA Compounds
3.2. Chemical Synthesis
3.3. MMA Compounds Demonstrated Sustained Pharmacologic Effects In Vitro
3.4. MMA Compounds React and Modify Hb α-Globin and/or β-Globin
3.5. MMA Compounds React with Free βCys93 of Hb
4. Conclusions
Author Contributions
Funding
Acknowledgments
Conflicts of Interest
References
- Aliyu, Z.Y.; Gordeuk, V.; Sachdev, V.; Babadoko, A.; Mamman, A.I.; Akpanpe, P.; Attah, E.; Suleiman, Y.; Aliyu, N.; Yusuf, J.; et al. Prevalence and risk factors for pulmonary artery systolic hypertension among sickle cell disease patients in Nigeria. Am. J. Hematol. 2008, 83, 485–490. [Google Scholar] [CrossRef] [PubMed]
- Piel, F.B.; Steinberg, M.H.; Rees, D.C. Sickle Cell Disease. N. Engl. J. Med. 2017, 377, 305. [Google Scholar] [CrossRef] [PubMed]
- Ghatge, M.S.; Ahmed, M.H.; Omar, A.S.M.; Pagare, P.P.; Rosef, S.; Kellogg, G.E.; Abdulmalik, O.; Safo, M.K. Crystal structure of carbonmonoxy sickle hemoglobin in R-state conformation. J. Struct. Biol. 2016, 194, 446–450. [Google Scholar] [CrossRef] [PubMed]
- Ferrone, F.A.; Rotter, M.A. Crowding and the polymerization of sickle hemoglobin. J. Mol. Recognit. 2004, 17, 497–504. [Google Scholar] [CrossRef]
- Cretegny, I.; Edelstein, S.J. Double strand packing in hemoglobin S fibers. J. Mol. Biol. 1993, 230, 733–738. [Google Scholar] [CrossRef]
- Eaton, W.A.; Hofrichter, J. Sickle cell hemoglobin polymerization. Adv. Protein Chem. 1990, 40, 63–279. [Google Scholar]
- Harrington, D.J.; Adachi, K.; Royer, W.E. The high resolution crystal structure of deoxyhemoglobin S. J. Mol. Biol. 1997, 272, 398–407. [Google Scholar] [CrossRef]
- Bunn, F. Molecular, Genetic and Clinical Aspects. In Hemoglobin; W. B. Saunders Company: Philadelphia, PA, USA, 1986; pp. 502–564. [Google Scholar]
- Akinsheye, I.; Klings, E.S. Sickle cell anemia and vascular dysfunction: The nitric oxide connection. J. Cell. Physiol. 2010, 224, 620–625. [Google Scholar] [CrossRef] [PubMed]
- De Franceschi, L. Pathophisiology of sickle cell disease and new drugs for the treatment. Mediterr. J. Hematol. Infect. Dis. 2009, 1, e2009024. [Google Scholar] [CrossRef] [PubMed]
- Belcher, J.D.; Bryant, C.J.; Nguyen, J.; Bowlin, P.R.; Kielbik, M.C.; Bischof, J.C.; Hebbel, R.P.; Vercellotti, G.M. Transgenic sickle mice have vascular inflammation. Blood 2003, 101, 3953–3959. [Google Scholar] [CrossRef]
- Mvalo, T.; Topazian, H.; Kamthunzi, P.; Chen, J.; Kambalame, I.; Mafunga, P.; Mumba, N.; Chiume-Chiphaliwali, M.; Paseli, K.; Key, N.; et al. Increasing hydroxyurea use in children with sickle cell disease at Kamuzu Central Hospital, Malawi. Blood Adv. 2018, 2, 30–32. [Google Scholar] [CrossRef] [PubMed]
- Brandow, A.M.; Panepinto, J.A. Hydroxyurea use in sickle cell disease: The battle with low prescription rates, poor patient compliance and fears of toxicities. Expert Rev. Hematol. 2010, 3, 255–260. [Google Scholar] [CrossRef] [PubMed]
- Sinha, C.B.; Bakshi, N.; Ross, D.; Krishnamurti, L. From trust to skepticism: An in-depth analysis across age groups of adults with sickle cell disease on their perspectives regarding hydroxyurea. PLoS ONE 2018, 13, e0199375. [Google Scholar] [CrossRef] [PubMed]
- Cieri-Hutcherson, N.E.; Hutcherson, T.C.; Conway-Habes, E.E.; Burns, B.N.; White, N.A. Systematic Review of l-glutamine for Prevention of Vaso-occlusive Pain Crisis in Patients with Sickle Cell Disease. Pharmacotherapy 2019, 39, 1095–1104. [Google Scholar] [CrossRef]
- L-glutamine (Endari) for sickle cell disease. Med. Lett. Drugs Ther. 2018, 60, 21–22.
- Kaufman, M. Pharmaceutical approval update: L-glutamine oral powder (Endari). Pharm. Therapeut. 2017, 42, 620–621. [Google Scholar]
- Ataga, K.I.; Kutlar, A.; Kanter, J.; Liles, D.; Cancado, R.; Friedrisch, J.; Guthrie, T.H.; Knight-Madden, J.; Alvarez, O.A.; Gordeuk, V.R.; et al. Crizanlizumab for the prevention of pain crises in sickle cell disease. N. Engl. J. Med. 2017, 376. [Google Scholar] [CrossRef]
- Vichinsky, E.; Hoppe, C.C.; Ataga, K.I.; Ware, R.E.; Nduba, V.; El-Beshlawy, A.; Hassab, H.; Achebe, M.M.; Alkindi, S.; Brown, R.C.; et al. A Phase 3 randomized trial of voxelotor in sickle cell disease. N. Engl. J. Med. 2019, 381, 509–519. [Google Scholar] [CrossRef]
- Metcalf, B.; Chuang, C.; Dufu, K.; Patel, M.P.; Silva-Garcia, A.; Johnson, C.; Lu, Q.; Partridge, J.R.; Patskovska, L.; Patskovsky, Y.; et al. Discovery of GBT440, an Orally Bioavailable R-State Stabilizer of Sickle Cell Hemoglobin. ACS Med. Chem. Lett. 2017, 8, 321–326. [Google Scholar] [CrossRef]
- Oksenberg, D.; Dufu, K.; Patel, M.P.; Chuang, C.; Li, Z.; Xu, Q.; Silva-Garcia, A.; Zhou, C.; Hutchaleelaha, A.; Patskovska, L.; et al. GBT440 increases haemoglobin oxygen affinity, reduces sickling and prolongs RBC half-life in a murine model of sickle cell disease. Br. J. Haematol. 2016, 175, 141–153. [Google Scholar] [CrossRef]
- Dufu, K.; Patel, M.; Oksenberg, D.; Cabrales, P. GBT440 improves red blood cell deformability and reduces viscosity of sickle cell blood under deoxygenated conditions. Clin. Hemorheol. Microcirc. 2018, 70, 95–105. [Google Scholar] [CrossRef] [PubMed]
- Safo, M.K.; Ahmed, M.H.; Ghatge, M.S.; Boyiri, T. Hemoglobin-ligand binding: Understanding Hb function and allostery on atomic level. Biochim. Biophys. Acta 2011, 1814, 797–809. [Google Scholar] [CrossRef] [PubMed]
- Safo, M.K.; Kato, G.J. Therapeutic strategies to alter the oxygen affinity of sickle hemoglobin. Hematol. Oncol. Clin. N. Am. 2014, 28, 217–231. [Google Scholar] [CrossRef] [PubMed]
- Ahmed, M.H.; Ghatge, M.S.; Safo, M.K. Hemoglobin: Structure, Function and Allostery. Subcell. Biochem. 2020, 94, 345–382. [Google Scholar] [CrossRef]
- Oder, E.; Safo, M.K.; Abdulmalik, O.; Kato, G.J. New developments in anti-sickling agents: Can drugs directly prevent the polymerization of sickle haemoglobin in vivo? Br. J. Haematol. 2016, 175, 24–30. [Google Scholar] [CrossRef]
- Safo, M.K.; Bruno, S. Allosteric Effectors of Hemoglobin: Past, Present and Future. In Chemistry and Biochemistry of Oxygen Therapeutics: From Transfusion to Artificial Blood; Mozzarelli, A., Bettati, S., Eds.; John Wiley & Sons, Ltd.: Hoboken, NJ, USA, 2011; pp. 285–300. [Google Scholar]
- Abdulmalik, O.; Safo, M.K.; Chen, Q.; Yang, J.; Brugnara, C.; Ohene-Frempong, K.; Abraham, D.J.; Asakura, T. 5-Hydroxymethyl-2-furfural modifies intracellular sickle haemoglobin and inhibits sickling of red blood cells. Br. J. Haematol. 2005, 128, 552–561. [Google Scholar] [CrossRef]
- Xu, G.G.; Pagare, P.P.; Ghatge, M.S.; Safo, R.P.; Gazi, A.; Chen, Q.; David, T.; Alabbas, A.B.; Musayev, F.N.; Venitz, J.; et al. Design, Synthesis, and Biological Evaluation of Ester and Ether Derivatives of Antisickling Agent 5-HMF for the Treatment of Sickle Cell Disease. Mol. Pharm. 2017, 14, 3499–3511. [Google Scholar] [CrossRef]
- Safo, M.K.; Abdulmalik, O.; Danso-Danquah, R.; Burnett, J.C.; Nokuri, S.; Joshi, G.S.; Musayev, F.N.; Asakura, T.; Abraham, D.J. Structural Basis for the Potent Antisickling Effect of a Novel Class of Five-Membered Heterocyclic Aldehydic Compounds. J. Med. Chem. 2004, 47, 4665–4676. [Google Scholar] [CrossRef]
- Abdulmalik, O.; Ghatge, M.S.; Musayev, F.N.; Parikh, A.; Chen, Q.; Yang, J.; Nnamani, I.; Danso-Danquah, R.; Eseonu, D.N.; Asakura, T.; et al. Crystallographic analysis of human hemoglobin elucidates the structural basis of the potent and dual antisickling activity of pyridyl derivatives of vanillin. Acta Crystallogr. D Biol. Crystallogr. 2011, 67, 920–928. [Google Scholar] [CrossRef]
- Pagare, P.P.; Ghatge, M.S.; Musayev, F.N.; Deshpande, T.M.; Chen, Q.; Braxton, C.; Kim, S.; Venitz, J.; Zhang, Y.; Abdulmalik, O.; et al. Rational design of pyridyl derivatives of vanillin for the treatment of sickle cell disease. Bioorg. Med. Chem. 2018, 26, 2530–2538. [Google Scholar] [CrossRef]
- Deshpande, T.M.; Pagare, P.P.; Ghatge, M.S.; Chen, Q.; Musayev, F.N.; Venitz, J.; Zhang, Y.; Abdulmalik, O.; Safo, M.K. Rational modification of vanillin derivatives to stereospecifically destabilize sickle hemoglobin polymer formation. Acta Crystallogr. D Biol. Crystallogr. 2018, 74, 956–964. [Google Scholar] [CrossRef]
- Nakagawa, A.; Ferrari, M.; Schleifer, G.; Cooper, M.K.; Liu, C.; Yu, B.; Berra, L.; Klings, E.S.; Safo, R.S.; Chen, Q.; et al. A Triazole Disulfide Compound Increases the Affinity of Hemoglobin for Oxygen and Reduces the Sickling of Human Sickle Cells. Mol. Pharm. 2018, 15, 1954–1963. [Google Scholar] [CrossRef] [PubMed]
- Nakagawa, A.; Lui, F.E.; Wassaf, D.; Yefidoff-Freedman, R.; Casalena, D.; Palmer, M.A.; Meadows, J.; Mozzarelli, A.; Ronda, L.; Abdulmalik, O.; et al. Identification of a small molecule that increases hemoglobin oxygen affinity and reduces SS erythrocyte sickling. ACS Chem. Biol. 2014, 9, 2318–2325. [Google Scholar] [CrossRef] [PubMed]
- Omar, A.M.; Mahran, M.A.; Ghatge, M.S.; Chowdhury, N.; Bamane, F.H.A.; El-Araby, M.E.; Abdulmalik, O.; Safo, M.K. Identification of a novel class of covalent modifiers of hemoglobin as potential antisickling agents. Org. Biomol. Chem. 2015, 13, 6353–6370. [Google Scholar] [CrossRef]
- Omar, A.M.; David, T.; Pagare, P.P.; Ghatge, M.S.; Chen, Q.; Mehta, A.; Zhang, Y.; Abdulmalik, O.; Naghi, A.H.; El-Araby, M.E.; et al. Structural modification of azolylacryloyl derivatives yields a novel class of covalent modifiers of hemoglobin as potential antisickling agents. Medchemcomm 2019, 10, 1900–1906. [Google Scholar] [CrossRef]
- Godfrey, V.B.; Chen, L.J.; Griffin, R.J.; Lebetkin, E.H.; Burka, L.T. Distribution and metabolism of (5-hydroxymethyl)furfural in male F344 rats and B6C3F1 mice after oral administration. J. Toxicol. Environ. Health Part A 1999, 57, 199–210. [Google Scholar]
- Yoshida, A.; Rzhetsky, A.; Hsu, L.C.; Chang, C. Human aldehyde dehydrogenase gene family. Eur. J. Biochem. 1998, 251, 549–557. [Google Scholar] [CrossRef]
- Vasiliou, V.; Pappa, A.; Petersen, D.R. Role of aldehyde dehydrogenases in endogenous and xenobiotic metabolism. Chem. Biol. Interact. 2000, 129, 1–19. [Google Scholar] [CrossRef]
- Kennedy, P.E.; Williams, F.L.; Abraham, D.J. Design, synthesis, and testing of potential antisickling agents. 3. Ethacrynic acid. J. Med. Chem. 1984, 27, 103–105. [Google Scholar] [CrossRef]
- Abraham, D.J.; Mehanna, A.S.; Wireko, F.C.; Whitney, J.; Thomas, R.P.; Orringer, E.P. Vanillin, a potential agent for the treatment of sickle cell anemia. Blood 1991, 77, 1334–1341. [Google Scholar] [CrossRef]
- Obied, T.; Venitz, J. 5-hydroxy methyl furfural (5-HMF) metabolism in hepatic cytosol from mice, rats, dogs, and humans. In Proceedings of the 23 rd Annual Meeting; The AAPS Journal 11: Los Angeles, CA, USA, 2009. [Google Scholar]
- Chiancone, E.; Currell, D.L.; Vecchini, P.; Antonini, E.; Wyman, J. Kinetics of the reaction of the “masked” and “free” sulfhydryl groups of human hemoglobin with p-mercuribenzoate. J. Biol. Chem. 1970, 245, 4105–4111. [Google Scholar]
- Muralidharan, M.; Mitra, A.; Maity, D.; Pal, D.; Mandal, A.K. Structural analysis of glutathionyl hemoglobin using native mass spectrometry. J. Struct. Biol. 2019, 208, 107386. [Google Scholar] [CrossRef]










| Compound | Sickling Inhibition (%) b | ΔP50 (%) c | ||
|---|---|---|---|---|
| 2.0 mM | 5.0 mM | 2.0 mM | 5.0 mM | |
| MMA-202 | 49.5 ± 14.8 | 66.8 ± 6.6 | 19.7 ± 2.2 | 43.1 ± 9.1 |
| MMA-204 | 41.5 ± 15.3 | 63.2 ± 19.4 | 19.7 ± 4.0 | 32.9 ± 3.7 |
| MMA-205 | 31.9 ± 19.3 | 51.5 ± 12.4 | 10.9 ± 4.8 | 28.5 ± 2.8 |
| Vanillin | 15.9 ± 5.5 | 53.0 ± 3.9 | 11.5 | 26.5 |
| MMA-101 | 21.3 ± 3.7 | 25.9 ± 8.8 | 17.4 | 22 |
| MMA-102 | 33.2 ± 8.9 | 27.1 ± 2.1 | 7.6 | 12.3 |
| MMA-103 | 20.9 ± 2.9 | 14.5 ± 5.5 | 2.0 | 6.9 |
| MMA-104 | 10.4 ± 2.3 | 12.4 ± 5.4 | 3.5 | 8.4 |
| MMA-105 | 11.7 ± 9.6 | 13.5 ± 2.8 | 0.4 | 0.5 |
| MMA-106 | 35.3 ± 13.7 | 33.5 ± 10.0 | 12.0 | 21.2 |
| MMA-107 | 1.3 ± 3.7 | 9.1 ± 2.9 | 3.0 | 13.2 |
| Vanillin | 15.9 ± 5.5 | 53.0 ± 3.9 | 11.5 | 26.5 |
Publisher’s Note: MDPI stays neutral with regard to jurisdictional claims in published maps and institutional affiliations. |
© 2020 by the authors. Licensee MDPI, Basel, Switzerland. This article is an open access article distributed under the terms and conditions of the Creative Commons Attribution (CC BY) license (http://creativecommons.org/licenses/by/4.0/).
Share and Cite
Omar, A.M.; Abdulmalik, O.; Ghatge, M.S.; Muhammad, Y.A.; Paredes, S.D.; El-Araby, M.E.; Safo, M.K. An Investigation of Structure-Activity Relationships of Azolylacryloyl Derivatives Yielded Potent and Long-Acting Hemoglobin Modulators for Reversing Erythrocyte Sickling. Biomolecules 2020, 10, 1508. https://doi.org/10.3390/biom10111508
Omar AM, Abdulmalik O, Ghatge MS, Muhammad YA, Paredes SD, El-Araby ME, Safo MK. An Investigation of Structure-Activity Relationships of Azolylacryloyl Derivatives Yielded Potent and Long-Acting Hemoglobin Modulators for Reversing Erythrocyte Sickling. Biomolecules. 2020; 10(11):1508. https://doi.org/10.3390/biom10111508
Chicago/Turabian StyleOmar, Abdelsattar M., Osheiza Abdulmalik, Mohini S. Ghatge, Yosra A. Muhammad, Steven D. Paredes, Moustafa E. El-Araby, and Martin K. Safo. 2020. "An Investigation of Structure-Activity Relationships of Azolylacryloyl Derivatives Yielded Potent and Long-Acting Hemoglobin Modulators for Reversing Erythrocyte Sickling" Biomolecules 10, no. 11: 1508. https://doi.org/10.3390/biom10111508
APA StyleOmar, A. M., Abdulmalik, O., Ghatge, M. S., Muhammad, Y. A., Paredes, S. D., El-Araby, M. E., & Safo, M. K. (2020). An Investigation of Structure-Activity Relationships of Azolylacryloyl Derivatives Yielded Potent and Long-Acting Hemoglobin Modulators for Reversing Erythrocyte Sickling. Biomolecules, 10(11), 1508. https://doi.org/10.3390/biom10111508

