Quantum Dielectric Model for Energy Loss of Particles in Astrophysical Plasmas
Abstract
:1. Introduction
2. General Formulation
3. PWPM: Individual and Collective Excitations
3.1. Individual Excitations
3.2. Collective Excitations
4. Dielectric Function
5. Calculations for Different Stellar Environments
5.1. Solar Cases
5.1.1. Solar Corona
5.1.2. Solar Interior
5.2. Giant Stars
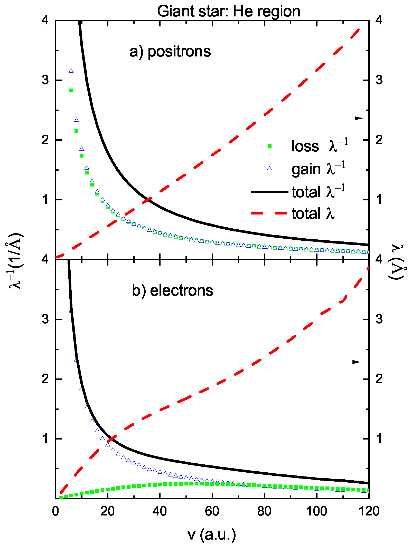
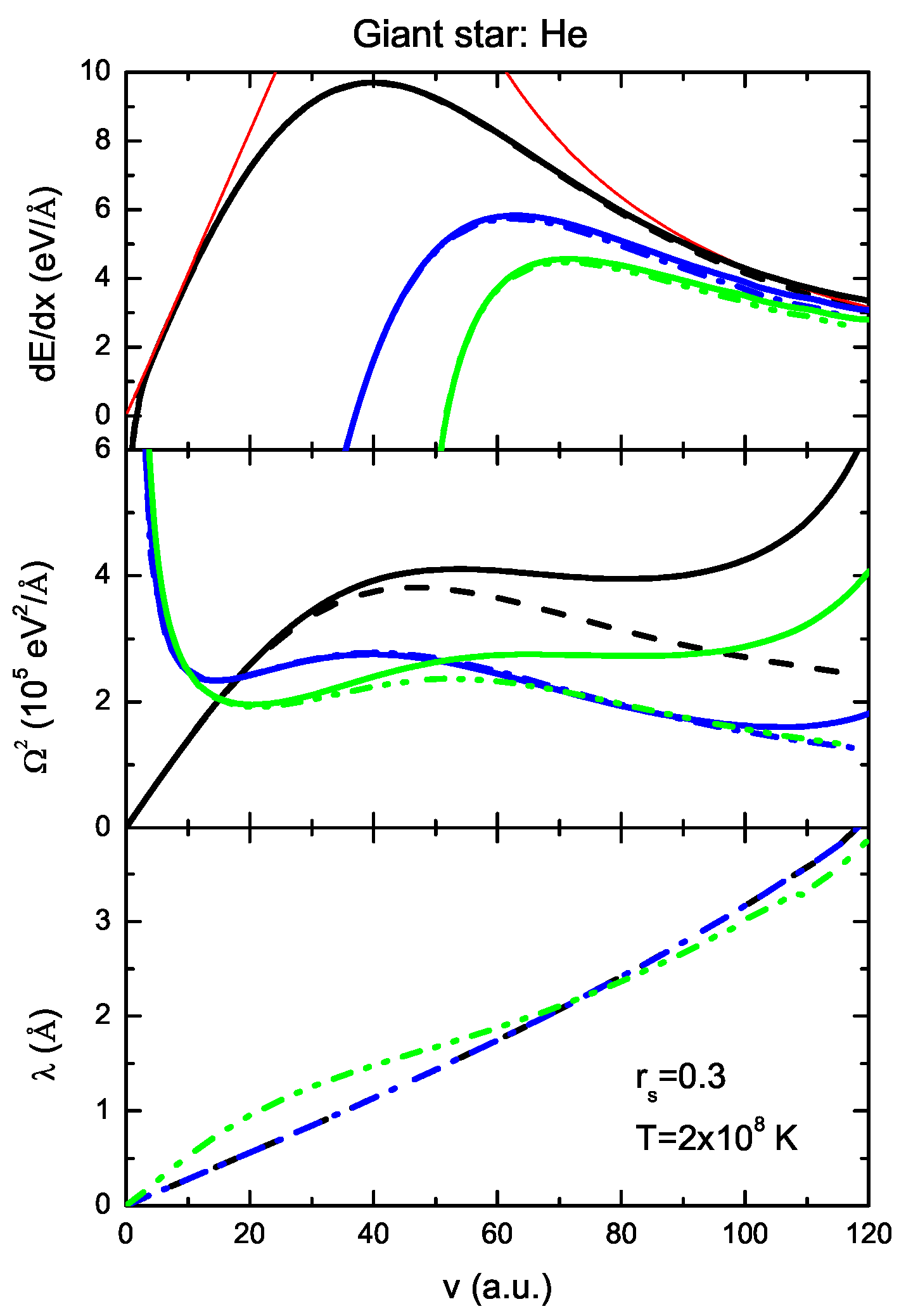
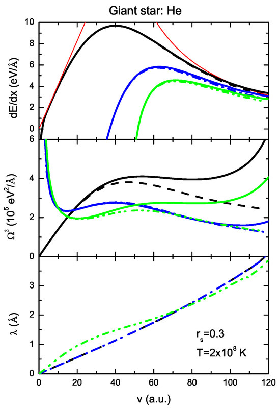
5.2.1. He Region
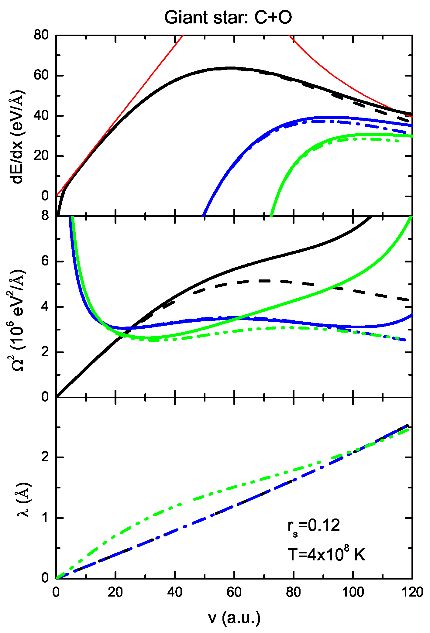
5.2.2. C + O Region
5.2.3. Ne + O Region
6. Summary and Conclusions
Author Contributions
Funding
Data Availability Statement
Conflicts of Interest
Appendix A. Relativistic Corrections
Appendix A.1. Treatment of Close Collisions
Appendix A.2. Treatment of Distant Collisions
Appendix A.3. Density Effect
Appendix B. Analisis of Gain and Loss Terms in the Energy Loss

Appendix C. Low- and High-Energy Approximations
| 1 | Typical densities in white dwarfs are in the range of g/cm3 while central densities may be as high as g/cm3; however, for densities beyond g/cm3 a relativistic model of dielectric response is required, including response to transverse fields not considered in this study. The relativistic corrections applied here refer to relativistic particles incident on non-relativistic plasmas. See refs. [1,12]. |
| 2 | The original derivation by Ochkur considers very high velocities and its function is written in terms of . However this function has an anomalous behavior when v approaches 0; therefore we find it convenient to introduce a velocity , as a mean velocity for interactions between incident and plasma electrons. See ref. [36]. |
References
- Hansen, C.J.; Kawaler, S.D.; Trimble, V. Stellar Interiors: Physical Principles, Structure and Evolution; Springer: New York, NY, USA, 2004. [Google Scholar]
- Available online: www.sciencedirect.com/topics/physics-and-astronomy/interstellar-plasma (accessed on 6 August 2023).
- Crammer, S.R.; Winebarger, A.R. The Properties of the Solar Corona and Its Connection to the Solar Wind. Annu. Rev. Astron. Phys. 2019, 57, 157. [Google Scholar] [CrossRef]
- Di, L.; Sigalotti, G.; Cruz, F. Unveiling the mystery of solar-coronal heating. Phys. Today 2023, 76, 34. [Google Scholar]
- Bethe, H.A. Energy production in stars. Phys. Rev. 1939, 55, 434. [Google Scholar] [CrossRef]
- Bethe, H.A. Energy production in stars. Am. Sci. 1942, 30, 243. [Google Scholar]
- Reeves, H. Stellar Evolution and Nucleo-Synthesis; Gordon and Breach: Philadelphia, PA, USA, 1968. [Google Scholar]
- Clayton, D. Principles of Stellar Evolution and Nucleosynthesis; University of Chicago Press: Chicago, IL, USA, 1984. [Google Scholar]
- Bethe, H.A.; Brown, G. How a Supernova explodes. Sci. Am. 1985, 252, 60. [Google Scholar] [CrossRef]
- Arnett, W.D. Neutrino trapping during gravitational collapse of stars. Astrophys. J. 1977, 218, 815. [Google Scholar] [CrossRef]
- Hayes, A.C.; Gooden, M.E.; Henry, E.; Jungman, G.; Wilhelmy, J.B.; Rundberg, R.S.; Yeamans, C.; Kyrala, G.; Cerjan, C.; Danielson, D.L.; et al. Plasma stopping-power measurements reveal transition from non-degenerate to degenerate plasmas. Nat. Phys. 2020, 16, 432–437. [Google Scholar] [CrossRef]
- Chandrasekhar, S. The density of white-dwarf stars. Philos. Mag. 1931, 7, 592. [Google Scholar] [CrossRef]
- Paxton, B.; Bildsten, L.; Dotter, A.; Herwig, F.; Lesaffre, P.; Timmes, F. Modules of Experiments in Stellar Astrophysics (MESA). Astrophys. J. Suppl. Ser. 2011, 192, 3. [Google Scholar] [CrossRef]
- Gryzinski, M. Stopping Power of a Medium for Heavy, Charged Particles. Phys. Rev. 1957, 107, 1471. [Google Scholar] [CrossRef]
- Spitzer, L. Physics of Fully Ionized Gases; Interscience: New York, NY, USA, 1962. [Google Scholar]
- Butler, S.T.; Buckingham, M.J. Energy Loss of a Fast Ion in a Plasma. Phys. Rev. 1962, 126, 1. [Google Scholar] [CrossRef]
- de Ferrariis, L.; Arista, N.R. Classical and quantum mechanical treatments of the energy loss of charged particles in dilute plasmas. Phys. Rev. A 1984, 29, 2145. [Google Scholar] [CrossRef]
- Pines, D.; Bohm, D. Collective vs Individual Particle Aspects of the Interactions. Phys. Rev. 1952, 85, 338. [Google Scholar] [CrossRef]
- Kihara, T.; Aono, O. Unified theory of relaxations in plasmas. J. Phys. Soc. Jpn. 1963, 18, 837. [Google Scholar] [CrossRef]
- Peter, T.; Meyer-ter-Vehn, J. Energy loss of heavy ions in dense plasma. Linear and nonlinear Vlasov theory for the stopping power. Phys. Rev. A 1991, 43, 1998. [Google Scholar] [CrossRef] [PubMed]
- Archubi, C.D.; Arista, N.R. Unified description of interactions and energy loss of particles in dense matter and plasmas. Phys. Rev. A 2020, 102, 052811. [Google Scholar] [CrossRef]
- Archubi, C.D.; Arista, N.R. General formulation of interactions and energy loss of particles in plasmas: Quantum-wave-packet model versus a semiclassical approach. Phys. Rev. A 2022, 105, 032806. [Google Scholar] [CrossRef]
- Platzman, P.M.; Wolff, P.A. Elementary Excitations in Solid-State Plasmas; Academic Press: New York, NY, USA, 1973. [Google Scholar]
- Arista, N.R.; Brandt, W. Energy loss and straggling of charged particles in plasmas of all degeneracies. Phys. Rev. A 1981, 23, 1898. [Google Scholar] [CrossRef]
- Kaneko, T. Wave packet theory of bound electrons. Phys. Rev. A 1989, 40, 2188. [Google Scholar] [CrossRef]
- Kaneko, T. Partial and Total Electronic Stoppings of Solids and Atoms for Energetic Ions. Phys. Stat. Sol. 1989, 156, 49. [Google Scholar] [CrossRef]
- Kaneko, T. Partial and total electronic stopping cross sections of atoms and solids for protons. At. Data Nucl. Data Tables 1993, 53, 271. [Google Scholar] [CrossRef]
- Inokuti, M. Inelastic Collisions of Fast Charged Particles with Atoms and Molecules—The Bethe Theory Revisited. Rev. Mod. Phys. 1971, 43, 297. [Google Scholar] [CrossRef]
- Lindhard, J. On the properties of a gas of charged particles. Mat. Fys. Medd. Dan. Vid. Selsk 1954, 28, 1–57. [Google Scholar]
- Lindhard, J.; Winther, A. Stopping power of electron gas and equipartition rule. Mat. Fys. Medd. Dan. Vid. Selsk 1964, 34, 1–22. [Google Scholar]
- Ritchie, R.H. Interaction of charged particles with a degenerate Fermi–Dirac electron gas. Phys. Rev. 1959, 114, 644. [Google Scholar] [CrossRef]
- Arista, N.R.; Brandt, W. Dielectric response of quantum plasmas in thermal equilibrium. Phys. Rev. A 1984, 29, 1471. [Google Scholar] [CrossRef]
- Bringa, E.M.; Arista, N.R. Energy loss of correlated ions in plasmas: Collective and individual contributions. Phys. Rev. E 1996, 54, 4101. [Google Scholar] [CrossRef] [PubMed]
- Pines, D. Classical and Quantum Plasmas. Plasma Phys. 1961, 2, 5. [Google Scholar] [CrossRef]
- Sitenko, A.G. Electromagnetic Fluctuations in Plasma; Academic Press: New York, NY, USA, 1967. [Google Scholar]
- Ochkur, V.I. Ionization of the Hydrogen Atom by Electron Impact With Allowance for the Exchange. Soviet Phys. JETP 1964, 47, 1766. [Google Scholar]
- Bransden, B.H. Atomic Collision Theory. In Lecture Notes and Supplements in Physics, Mathematics Lecture Note Series; Benjamin, W.A., Ed.; Benjamin Cumming: San Francisco, CA, USA, 1970; Volume 12, ISSN 1053-9824. [Google Scholar]
- Fernández-Varea, J.M.; Mayol, R.; Liljequist, D.; Salvat, F. Inelastic scattering of electrons in solids from a generalized oscillator strength model using optical and photoelectric data. J. Phys. Condens. Matter 1993, 5, 3593. [Google Scholar] [CrossRef]
- García-Molina, R.; Abril, I.; Kyriakou, I.; Emfietzoglou, D. Inelastic scattering and energy loss of swift electron beams in biologically relevant materials. Surf. Interface Anal. 2017, 49, 11. [Google Scholar] [CrossRef]
- de Vera, P.; García-Molina, R. Electron inelastic mean free paths in condensed matter down to a few electronvolts. J. Phys. Chem. C 2019, 123, 2075. [Google Scholar] [CrossRef]
- Hippler, R.; Jitschin, W. Plane Wave Born Cross Sections Including Exchange for K-Shell Ionization of Light Atoms. Z. Phys. A Atoms Nucl. 1982, 307, 287–292. [Google Scholar] [CrossRef]
- Shinotsuka, H.; Tanuma, S.; Powell, C.J.; Penn, D.R. Calculations of Electron Stopping Power for 41 Elemental Solids Over the 50 eV to 30 keV Range With the Full Penn Algorithm. Nucl. Instrum. Methods Phys. Res. B 2012, 270, 75–92. [Google Scholar] [CrossRef]
- Bethe, H.A.; Ashkin, J. Passage of Radiation through matter. In Experimental Nuclear Physics; Segré, E., Ed.; Wiley: New York, NY, USA, 1953. [Google Scholar]
- Archubi, C.D.; Arista, N.R. A comparative study of threshold effects in the energy loss moments of protons, electrons, and positrons using dielectric models for band gap materials. Eur. Phys. J. B 2017, 90, 18. [Google Scholar] [CrossRef]
- Schmeltz, J.T.; Reames, D.V.; Von Steiger, R.; Basu, S. Composition of the Solar Corona, Solar Wind, and solar Energetic Particles. Astrophys. J. 2012, 755, 33. [Google Scholar] [CrossRef]
- Barriga-Carrasco, M.D.; Chacón-Rubio, F.; Montanari, C.C. Stopping power of plasma free and bound electrons using dielectric formalism. Eur. Phys. J. Plus 2022, 137, 375. [Google Scholar] [CrossRef]
- Archubi, C.D.; Montanari, C.C.; Arista, N.R. Dielectric approaches for interactions of protons, positrons, and electrons in cold matter and plasmas. Phys. Rev. A 2023, 108, 012822. [Google Scholar] [CrossRef]
- Warren, H.P.; Brooks, D.H. The Temperature and Density Structure of the Solar Corona. Observations of the Quiet Sun With the EUV Imaging Spectrometer on Hinode. Astrophys. J. 2009, 700, 762. [Google Scholar] [CrossRef]
- Dudík, J.; Del Zanna, G.; Rybák, J.; Lörinčík, J.; Dzifčáková, E.; Mason, H.E.; Tomczyk, S.; Galloy, M. Electron Densities in the Solar Corona Measured Simultaneously in the Extreme Ultraviolet and Infrared. Astrophys. J. 2021, 906, 118. [Google Scholar] [CrossRef]
- Jackson, J.D. Classical Electrodynamics, 2nd ed.; John Wiley and Sons: New York, NY, USA, 1975. [Google Scholar]
- Eby, P.B.; Morgan, S.H. Charge Dependence of Ionization Energy Loss for Relativistic Heavy Nuclei. Phys. Rev. A 1972, 5, 2536. [Google Scholar] [CrossRef]
- Berestetskii, V.B.; Lifshitz, E.M.; Pitaevskii, L.P. Quantum Electrodynamics; Pergamon Press: Oxford, UK, 1982. [Google Scholar]
- Rohrlich, F.; Carlson, B.C. Positron-Electron Differences in Energy Loss and Multiple Scattering. Phys. Rev. 1954, 91, 38. [Google Scholar] [CrossRef]
- Mott, N.F. On the Theory of Excitation by Collision with Heavy Particles. Proc. Camb. Phil. Soc. 1931, 27, 553. [Google Scholar] [CrossRef]
- Moller, C. Zur Theorie des Durchgangs shneller Elektronen Durch Materie. Ann. Phys. 1932, 14, 531. [Google Scholar] [CrossRef]
- Bhabha, H.J. The scattering of positrons by electrons with exchange on Dirac’s theory of the positron. Proc. R. Soc. Lond. 1936, A154, 195. [Google Scholar]
- Fermi, E. The Ionization Loss of Energy in Gases and in Condensed Materials. Phys. Rev. 1940, 57, 485. [Google Scholar] [CrossRef]
- Fano, U. Penetration of protons, alpha particles, and mesons. Ann. Rev. Nucl. Sci. 1963, 13, 1–66. [Google Scholar] [CrossRef]
- Ahlen, S.P. Theoretical and experimental aspects of the energy loss of relativistic heavily ionizing particles. Rev. Mod. Phys. 1980, 52, 121. [Google Scholar] [CrossRef]
- Sternheimer, R.M. The Density Effect for the Ionization Loss in Various Materials. Phys. Rev. 1952, 88, 851. [Google Scholar] [CrossRef]
- Arista, N.R. Low-velocity stopping power of semi-degenerate quantum plasmas. J. Phys. C Solid State Phys. 1985, 18, 5127. [Google Scholar] [CrossRef]





Disclaimer/Publisher’s Note: The statements, opinions and data contained in all publications are solely those of the individual author(s) and contributor(s) and not of MDPI and/or the editor(s). MDPI and/or the editor(s) disclaim responsibility for any injury to people or property resulting from any ideas, methods, instructions or products referred to in the content. |
© 2023 by the authors. Licensee MDPI, Basel, Switzerland. This article is an open access article distributed under the terms and conditions of the Creative Commons Attribution (CC BY) license (https://creativecommons.org/licenses/by/4.0/).
Share and Cite
Archubi, C.D.; Arista, N.R. Quantum Dielectric Model for Energy Loss of Particles in Astrophysical Plasmas. Atoms 2023, 11, 131. https://doi.org/10.3390/atoms11100131
Archubi CD, Arista NR. Quantum Dielectric Model for Energy Loss of Particles in Astrophysical Plasmas. Atoms. 2023; 11(10):131. https://doi.org/10.3390/atoms11100131
Chicago/Turabian StyleArchubi, Claudio D., and Nestor R. Arista. 2023. "Quantum Dielectric Model for Energy Loss of Particles in Astrophysical Plasmas" Atoms 11, no. 10: 131. https://doi.org/10.3390/atoms11100131
APA StyleArchubi, C. D., & Arista, N. R. (2023). Quantum Dielectric Model for Energy Loss of Particles in Astrophysical Plasmas. Atoms, 11(10), 131. https://doi.org/10.3390/atoms11100131
