Electron and Positron Scattering from Precious Metal Atoms in the eV to MeV Energy Range
Abstract
:1. Introduction
2. Theory
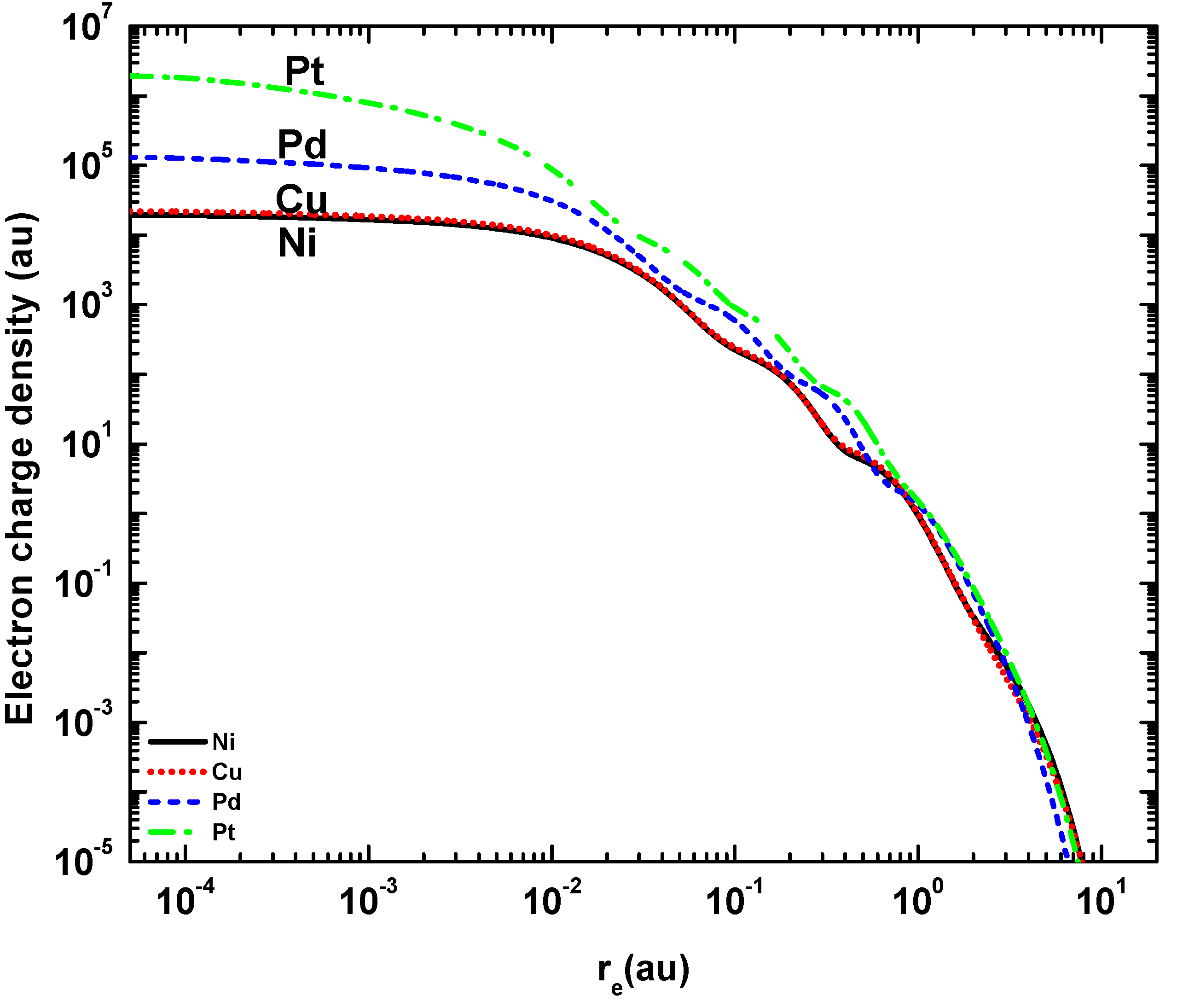
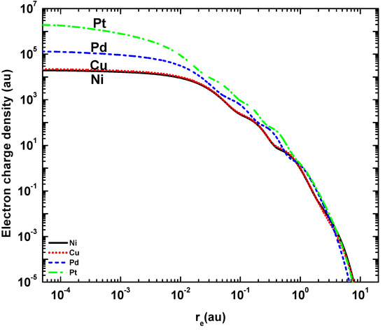
3. Potential Constituents and Their Influence on the DCS
4. Results
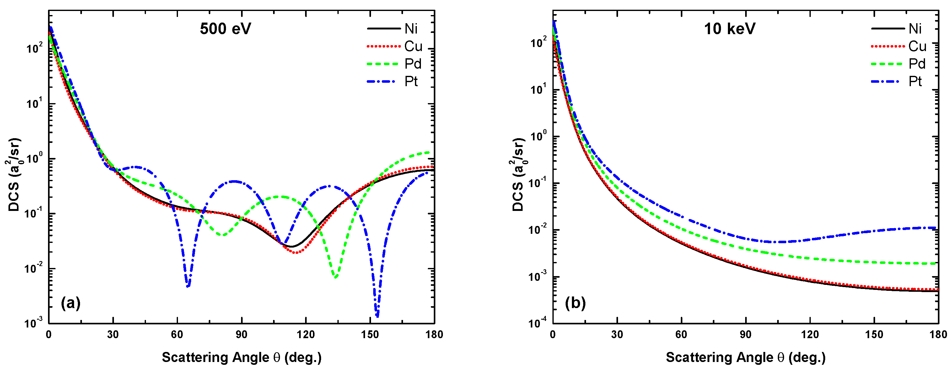
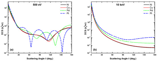
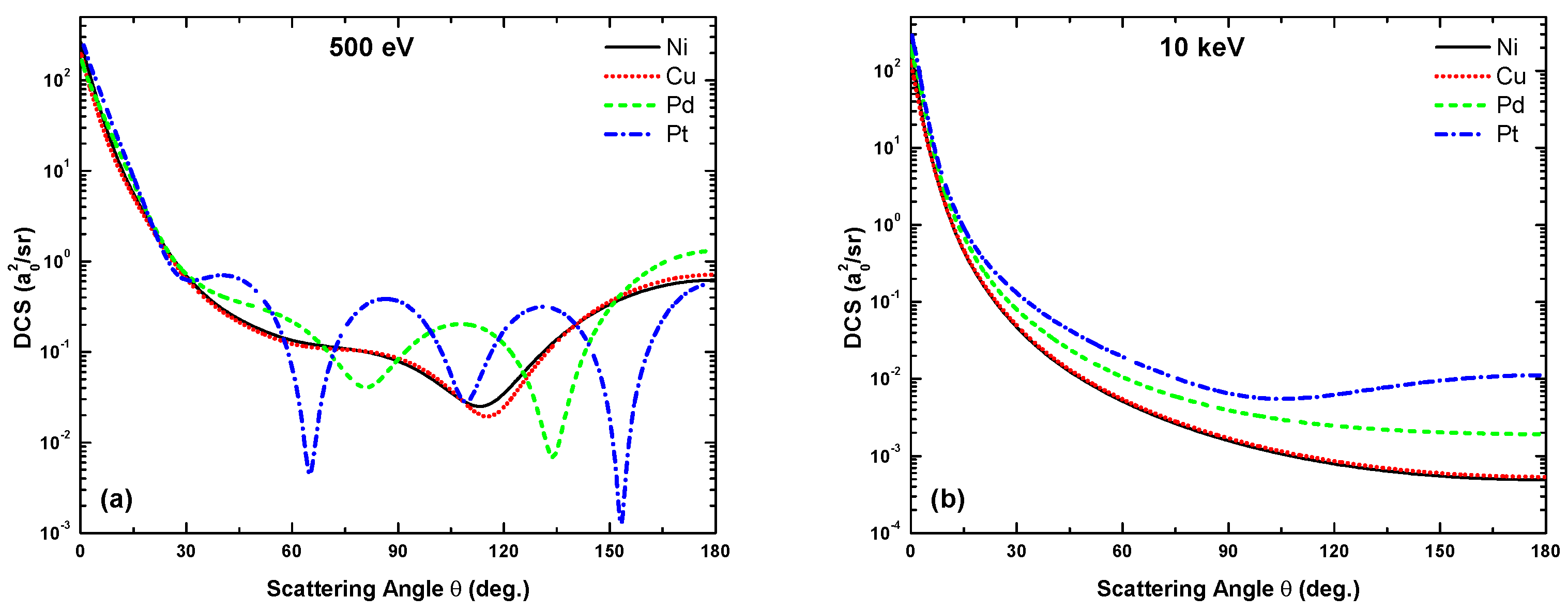
4.1. Angle-Dependent DCS




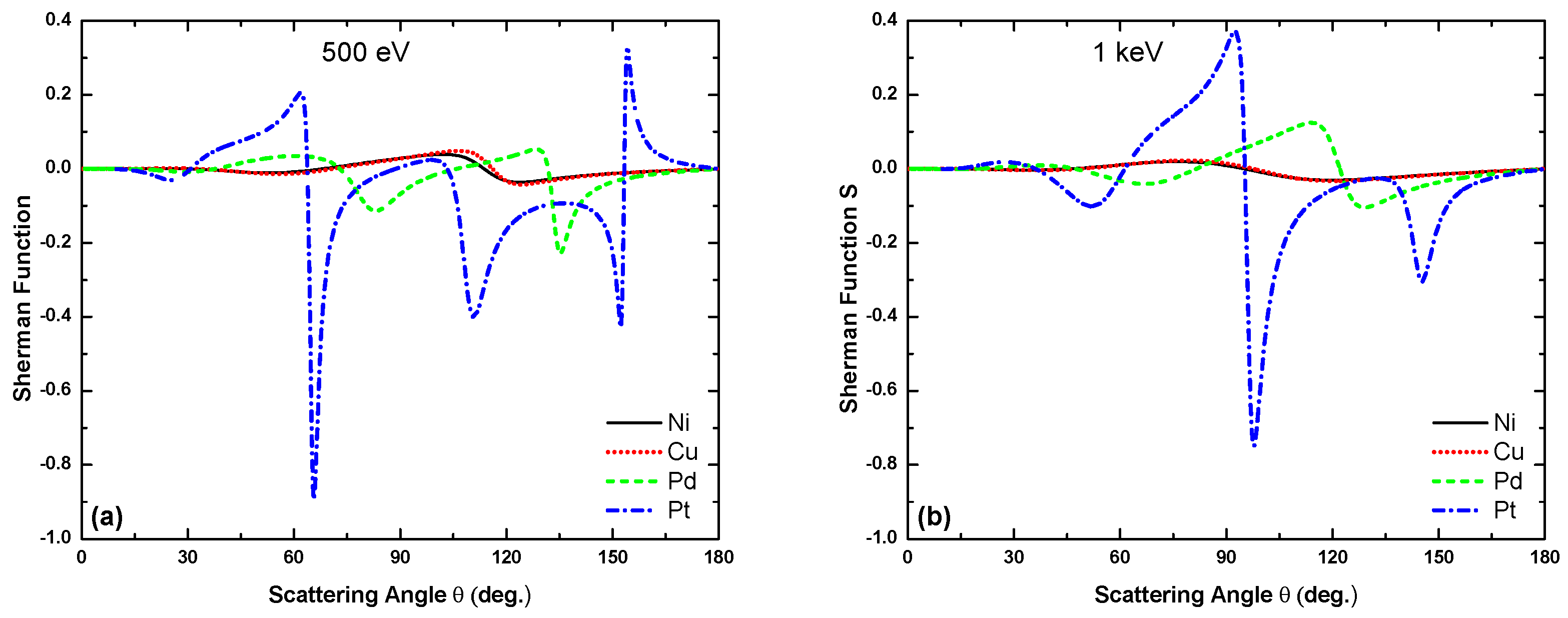
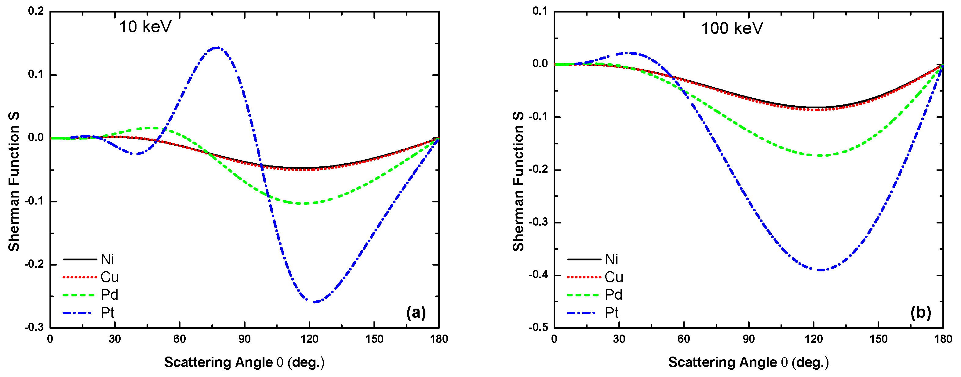
4.2. Angle-Dependent Sherman Function
4.3. Energy-Dependent DCS and Sherman Function



4.4. Critical Minima and Total Polarization Points
4.5. High-Energy Scaling Laws
- (a)
- Differential cross section
- (b)
- Sherman function
5. Positron Scattering and In-Plane Spin Asymmetries
5.1. Angle-Dependent DCS
5.2. Energy-Dependent DCS
5.3. Sherman Function
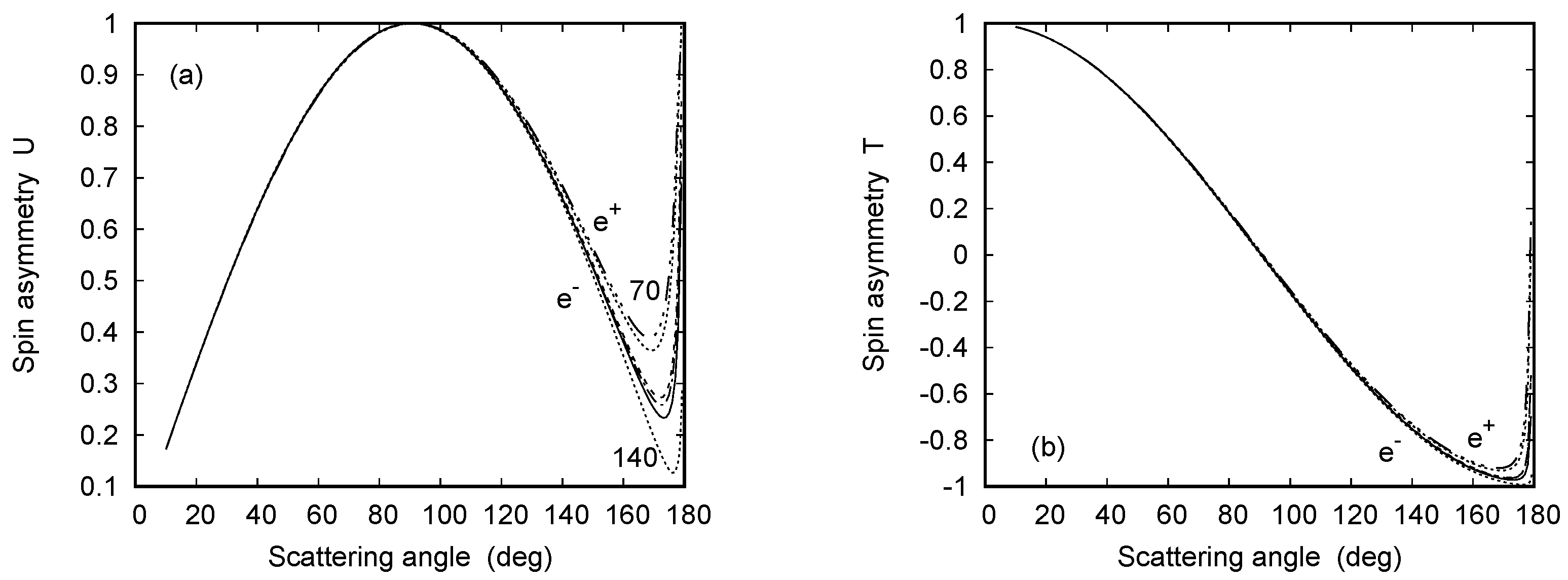
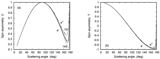
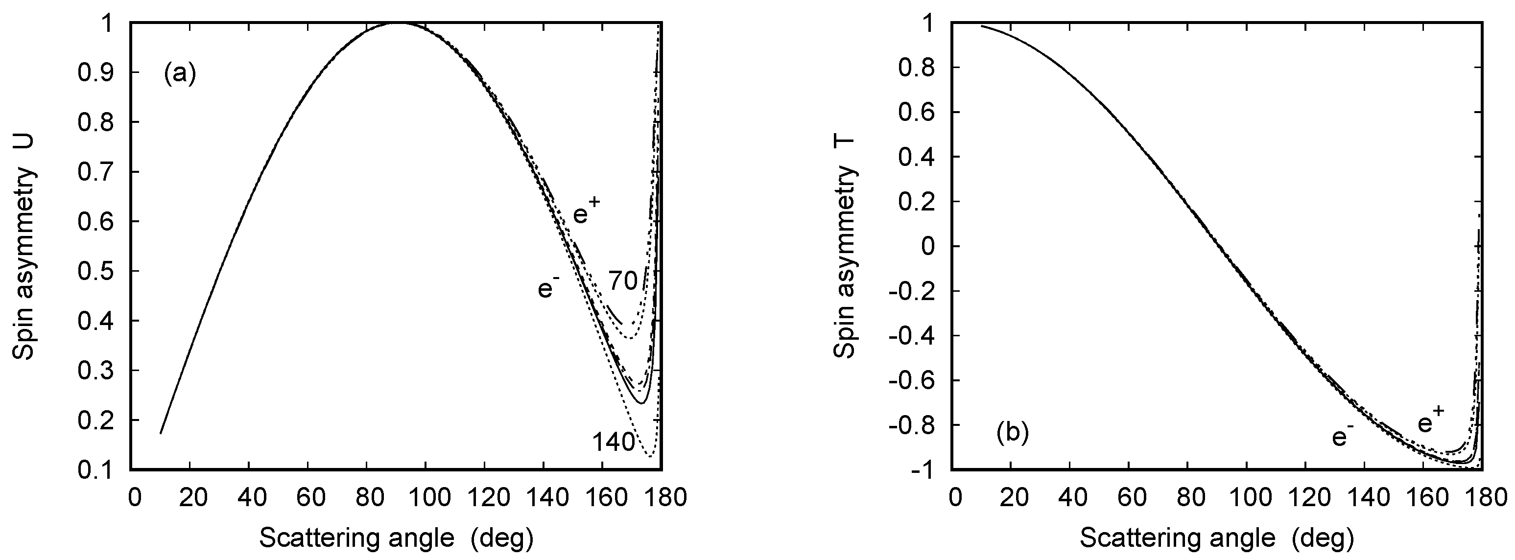
5.4. In-Plane Spin Polarization for Electrons and Positrons
- (a)
- Angular and energy dependence of U and T
- (b)
- High-energy scaling of U and T
6. Integrated Cross-Sections and Mean Free Paths
6.1. Integrated Cross-Sections for Electron Scattering





6.2. Integrated Cross-Sections for Positron Scattering
6.3. Mean Free Paths
7. Conclusions
Author Contributions
Funding
Institutional Review Board Statement
Informed Consent Statement
Data Availability Statement
Conflicts of Interest
References
- Gargioni, E.; Grosswendt, B. Electron Scattering From Argon: Data Evaluation and Consistency. Rev. Mod. Phys. 2008, 80, 451. [Google Scholar] [CrossRef]
- Horowitz, C. Parity violation in astrophysics. Eur. Phys. J. A 2005, 24, 167–170. [Google Scholar] [CrossRef]
- Ichimura, S.; Shimizu, R. Backscattering correction for quantitative Auger analysis: I. Monte Carlo calculations of backscattering factors for standard materials. Surf. Sci. 1981, 112, 386. [Google Scholar] [CrossRef]
- Mitroy, J.; Bromley, M.W.J.; Ryzhikh, G.G. Positron and positronium binding to atoms. J. Phys. B At. Mol. Opt. Phys. 2002, 35, R81. [Google Scholar] [CrossRef]
- Breton, V.; Bricault, P.; Cardman, L.S.; Frois, B.; Goutte, D.; Isabelle, D.B.; Linzey, A.J.; Masson, G.; Maximon, L.C.; Offermann, E.A.J.M.; et al. High-accuracy comparison of electron and positron scattering from nuclei. Phys. Rev. Lett 1991, 66, 572–575. [Google Scholar] [CrossRef] [PubMed]
- Shorifuddoza, M.; Das, P.K.; Kabir, R.; Haque, A.F.; Uddin, M.A. Angular distributions and critical minima in the elastic scattering of electrons by atomic copper. Int. J. Quantum Chem. 2021, 121, e26460. [Google Scholar] [CrossRef]
- Motz, J.W.; Olsen, H.; Koch, H.W. Electron scattering without atomic or nuclear excitation. Rev. Mod. Phys. 1964, 36, 881–928. [Google Scholar] [CrossRef]
- Kessler, J. Electron spin polarization by low-energy scattering from unpolarized targets. Rev. Mod. Phys. 1969, 41, 3–25. [Google Scholar] [CrossRef]
- Tanuma, S.; Powell, C.J.; Penn, D.R. Calculations of electron inelastic mean free paths for 31 materials. Surf. Interface Anal. 1988, 11, 577–589. [Google Scholar] [CrossRef]
- Powell, C.J.; Jablonski, A. Progress in quantitative surface analysis by X-ray photoelectron spectroscopy: Current status and perspectives. J. Electron. Spectrosc. Relat. Phenom. 2010, 178, 331–346. [Google Scholar] [CrossRef]
- McCarthy, I.E.; Noble, C.J.; Phillips, B.A.; Turnbull, A.D. Optical model for electron scattering from inert gases. Phys. Rev. A 1977, 15, 2173. [Google Scholar] [CrossRef]
- Berestetskii, V.B.; Lifshitz, E.M.; Pitaevskii, L.P. Quantum Electrodynamics; Elsevier: Oxford, UK, 1982; Volume 4. [Google Scholar]
- Saha, B.C.; Jakubassa-Amundsen, D.H.; Basak, A.K.; Haque, A.K.F.; Haque, M.M.; Khandker, M.H.; Uddin, M.A. Elastic scattering of electrons and positrons from alkali atoms. Adv. Quantum Chem. in press. [CrossRef]
- Msezane, A.Z.; Henry, R.J.W. Electron-impact excitation of atomic copper. Phys. Rev. A 1986, 33, 1631–1635. [Google Scholar] [CrossRef]
- Zhou, Y.; Bray, I.; McCarthy, I. Model calculations of electron scattering from copper. J. Phys. B 1999, 32, 1033–1039. [Google Scholar] [CrossRef]
- Zatsarinny, O.; Bartschat, K. Electron collisions with copper atoms: Elastic scattering and electron-impact excitation of the (3d10 4s)2S→(3d104p)2P resonance transition. Phys. Rev. A 2010, 82, 062703. [Google Scholar] [CrossRef]
- Desclaux, J.P. A multiconfiguration relativistic Dirac-Fock program. Comput. Phys. Commun. 1975, 9, 31–45. [Google Scholar] [CrossRef]
- Koga, T. Analytical Hartree-Fock electron densities for atoms He through Lr. Theor. Chim. Acta 1997, 95, 113–130. [Google Scholar]
- Shorifuddoza, M.; Patoary, M.A.R.; Jakubassa-Amundsen, D.H.; Haque, A.K.F.; Uddin, M.A. Scattering of e± from ytterbium atoms. Eur. Phys. J. D 2019, 73, 164. [Google Scholar] [CrossRef]
- De Vries, H.; De Jager, C.W.; De Vries, C. Nuclear charge-density-distribution parameters from elastic electron scattering. At. Data Nucl. Data Tables 1987, 36, 495–530. [Google Scholar] [CrossRef]
- Salvat, F.; Fernández-Varea, J.M.; Williamson, W., Jr. Accurate numerical solution of the radial Schrödinger and Dirac wave equations. Comput. Phys. Commun. 1995, 90, 151–168. [Google Scholar] [CrossRef]
- Haque, A.K.F.; Haque, M.M.; Bhattacharjee, P.P.; Uddin, M.A.; Patoary, M.A.R.; Hossain, M.I.; Basak, A.K.; Mahbub, M.S.; Maaza, M.; Saha, B.C. Relativistic calculations for spin-polarization of elastic electron-mercury scattering. J. Phys. Commun. 2017, 1, 035014. [Google Scholar] [CrossRef]
- Yennie, D.R.; Ravenhall, D.G.; Wilson, R.N. Phase-shift calculation of high-energy electron scattering. Phys. Rev. 1954, 95, 500. [Google Scholar] [CrossRef]
- Joshipura, K.N.; Limbachiya, C.G. Theoretical total ionization cross-sections for electron impact on atomic and molecular halogens. Int. J. Mass Spectrom. 2002, 216, 239–247. [Google Scholar] [CrossRef]
- Joshipura, K.N.; Vinodkumar, M.; Antony, B.K.; Mason, N.J. Theoretical total ionization cross-sections of CHx, CFx, SiHx, SiFx () and CCl4 targets by electron impact. Eur. Phys. J. D 2003, 23, 81–90. [Google Scholar] [CrossRef]
- Guèye, P.; Kabir, A.A.; Giuliani, P.; Glister, J.; Lee, B.W.; Gilman, R.; Higinbotham, D.W.; Piasetzky, E.; Ron, G.; Sarty, A.J.; et al. Dispersive corrections in elastic electron-nucleus scattering: An investigation in the intermediate energy regime and their impact on the nuclear matter. Eur. Phys. J. A 2020, 56, 126. [Google Scholar] [CrossRef]
- Überall, H. Electron Scattering from Complex Nuclei; Academic Press: New York, NY, USA, 1971. [Google Scholar]
- Donnelly, T.W.; Sick, I. Elastic magnetic electron scattering from nuclei. Rev. Mod. Phys. 1984, 56, 461–566. [Google Scholar] [CrossRef]
- Beiser, B.A. Concepts of Modern Physics, 2nd ed.; McGraw-Hill Co.: New York, NY, USA, 1973. [Google Scholar]
- Bohr, N. XXXVII. On the constitution of atoms and molecules. Lond. Edinb. Dublin Philos. Mag. J. Sci. 1913, 26, 476–502. [Google Scholar] [CrossRef]
- Sandor, R.K.J.; Blok, H.P.; Garg, U.; Harakeh, M.N.; De Jager, C.W.; Ponomarev, V.Y.; Vdovin, A.I.; De Vries, H. Interplay between single-particle and collective degrees of freedom in the excitation of the low-lying states in 142Nd. Nucl. Phys. A 1991, 535, 669–700. [Google Scholar] [CrossRef]
- Segre, E. Nuclei and Particles: An Introduction to Nuclear and Subnuclear Physics; WA Benjamin: New York, NY, USA, 1974; p. 246. [Google Scholar]
- Ramsauer, C. Über den Wirkungsquerschnitt der Gasmoleküle gegenüber langsamen Elektronen. i. fortsetzung. Ann. Phys. 1921, 66, 546–558. [Google Scholar] [CrossRef]
- Townsend, J.S.; Bailey, V.A. LXX. The motion of electrons in argon. Philos. Mag. 1922, 43, 593–600. [Google Scholar] [CrossRef]
- Jablonski, A.; Salvat, F.; Powell, C.J. Comparison of electron elastic-scattering cross sections calculated from two commonly used atomic potentials. J. Phys. Chem. Ref. Data 2004, 33, 409–451. [Google Scholar] [CrossRef]
- Madison, D.H.; McEachran, R.P.; Ismail, M.; Teubner, P.J.O. Elastic scattering of electrons from copper at intermediate energies. J. Phys. B 1998, 31, 1127. [Google Scholar] [CrossRef]
- Trajmar, S.; Williams, W.; Srivastava, S.K. Electron-impact cross sections for Cu atoms. J. Phys. B 1977, 10, 3323. [Google Scholar] [CrossRef]
- Czyźewski, Z.; MacCallum, D.O.; Romig, A.; Joy, D.C. Calculations of Mott scattering cross section. J. Appl. Phys. 1990, 68, 3066–3072. [Google Scholar] [CrossRef]
- Fink, M.; Ingram, J. Theoretical electron scattering amplitudes and spin polarizations: Electron energies 100 to 1500 eV Part II. Be, N, O, Al, Cl, V, Co, Cu, As, Nb, Ag, Sn, Sb, I, and Ta targets. At. Data Nucl. Data Tables 1972, 4, 129–207. [Google Scholar] [CrossRef]
- Riley, M.E.; MacCallum, C.J.; Biggs, F. Theoretical electron-atom elastic scattering cross sections: Selected elements, 1 keV to 256 keV. At. Data Nucl. Data Tables 1975, 15, 443–476. [Google Scholar] [CrossRef]
- Ficenec, J.R.; Trower, W.P.; Heisenberg, J.; Sick, I. Elastic electron-nickel scattering. Phys. Lett. B 1970, 32, 460–462. [Google Scholar] [CrossRef]
- Antonov, A.N.; Kadrev, D.N.; Gaidarov, M.K.; de Guerra, E.M.; Sarriguren, P.; Udias, J.M.; Lukyanov, V.K.; Zemlyanaya, E.V.; Krumova, G.Z. Charge and matter distributions and form factors of light, medium, and heavy neutron-rich nuclei. Phys. Rev. C 2005, 72, 044307. [Google Scholar] [CrossRef]
- Shevchenko, N.G.; Polishchuk, V.N.; Kasatkin, Y.A.; Khomich, A.A.; Buki, A.Y.; Mazanko, B.V.; Shula, G.V. Charge-density distribution in the nuclei CR-50, CR-52, CR-53, CR-54 AND FE-54, FE-56. Sov. J. Nucl. Phys. 1978, 28, 139–142. [Google Scholar]
- van der Laan, J.B. Electron Scattering Off Palladium Isotopes. Ph.D. Thesis, University of Amsterdam, Amsterdam, The Netherlands, 1986. [Google Scholar]
- Walker, D.W. Relativistic effects in low energy electron scattering from atoms. Adv. Phys. 1971, 20, 257–323. [Google Scholar] [CrossRef]
- Kelemen, V.I.; Remeta, E.Y. Critical minima and spin polarization in the elastic electron scattering by the mercury atoms. J. Phys. B 2012, 45, 185202. [Google Scholar] [CrossRef]
- Jakubassa-Amundsen, D.H. Equivalence of a tip bremsstrahlung quantum and an elastically scattered electron at ultrahigh energies. Phys. Rev. A 2012, 85, 042714. [Google Scholar] [CrossRef]
- Jakubassa-Amundsen, D.H. An asymptotic DSM theory for high-energy near-tip bremsstrahlung. J. Phys. G 2020, 47, 075102, The angular scaling in (4.1) and (4.7) therein should be reversed. [Google Scholar] [CrossRef]
- Bjorken, J.D.; Drell, S.D. Relativistic Quantum Mechanics; Mc Graw-Hill: New York, NY, USA, 1964. [Google Scholar]
- Dapor, M.; Miotello, A. Differential, total, and transport cross sections for elastic scattering of low energy positrons by neutral atoms (Z = 1–92, E = 500–4000 eV). At. Data Nucl. Data Tables 1998, 69, 1–100. [Google Scholar] [CrossRef]
- Margreiter, D.; Deutsch, H.; Märk, T.D. A semiclassical approach to the calculation of electron impact ionization cross-sections of atoms: From hydrogen to uranium. Int. J. Mass Spectrom. Ion Process. 1994, 139, 127–139. [Google Scholar] [CrossRef]
- Bartlett, P.L.; Stelbovics, A.T. Calculation of electron-impact total-ionization cross sections. Phys. Rev. A 2002, 66, 012707. [Google Scholar] [CrossRef]
- Gupta, D.; Naghma, R.; Antony, B. Electron impact total and ionization cross sections for Sr, Y, Ru, Pd, and Ag atoms. Can. J. Phys. 2013, 91, 744–750. [Google Scholar] [CrossRef]
- Bartlett, P.L.; Stelbovics, A.T. Electron-impact ionization cross sections for elements Z= 1 to Z= 54. At. Data Nucl. Data Tables 2004, 86, 235–265. [Google Scholar] [CrossRef]
- Freund, R.S.; Wetzel, R.C.; Shul, R.J.; Hayes, T.R. Cross-section measurements for electron-impact ionization of atoms. Phys. Rev. 1990, 41, 3575. [Google Scholar] [CrossRef]
- Bolorizadeh, M.A.; Patton, C.J.; Shah, M.B.; Gilbody, H.B. Multiple ionization of copper by electron impact. J. Phys. B 1994, 27, 175. [Google Scholar] [CrossRef]
- Nelson, A.N. Technical Report AFML-TR-75-198; Massachusetts Inst of Tech.: Cambridge, MA, USA, 1975. [Google Scholar]
- Mayol, R.; Salvat, F. Total and transport cross sections for elastic scattering of electrons by atoms. At. Data Nucl. Data Tables 1997, 65, 55–154. [Google Scholar] [CrossRef]
- Liljequist, D. A simple calculation of inelastic mean free path and stopping power for 50 eV–50 keV electrons in solids. J. Phys. D 1983, 16, 1567. [Google Scholar] [CrossRef]
- Iakoubovskii, K.; Mitsuishi, K.; Nakayama, Y.; Furuya, K. Mean free path of inelastic electron scattering in elemental solids and oxides using transmission electron microscopy: Atomic number dependent oscillatory behavior. Phys. Rev. B 2008, 77, 104102. [Google Scholar] [CrossRef]
- Pierce, D.T.; Siegmann, H.C. Attenuation Length of Hot Electrons in Ferromagnetic Ni. AIP Conf. Proc. 1974, 18, 1393. [Google Scholar]
- Wooten, F.; Breen, W.M.; Stuart, R.N. Hot-electron scattering and the rigid-band model in ferromagnetic Ni and Ni-Al alloys. Phys. Rev. 1968, 165, 703–706. [Google Scholar] [CrossRef]
- Jackson, D.C.; Gallon, T.E.; Chambers, A. A model for the Auger electron spectroscopy of systems exhibiting layer growth, and its application to the deposition of silver on nickel. Surf. Sci. 1973, 36, 381–394. [Google Scholar] [CrossRef]
- Burke, M.A.; Schreurs, J.J. The inelastic mean free paths of auger electrons in thin films of copper and nickel. Surf. Interface Anal. 1982, 4, 42–46. [Google Scholar] [CrossRef]
- Ridgway, J.W.; Haneman, D. Auger spectra and LEED patterns from vacuum cleaved silicon crystals with calibrated deposits of iron. Surf. Sci. 1971, 24, 451–458. [Google Scholar] [CrossRef]
- Seah, M.P. Quantitative Auger electron spectroscopy and electron ranges. Surf. Sci. 1972, 32, 703–728. [Google Scholar] [CrossRef]
- Brunner, J.; Zogg, H. Angular dependence of X-ray photoelectrons. J. Electron Spectrosc. Relat. Phenom. 1974, 5, 911–920. [Google Scholar] [CrossRef]
- Mrozek, P.; Jablonski, A.; Sulyok, A. The inelastic mean free path of electrons in the ordered Al48Ni52 alloy. Surf. Interface Anal. 1988, 11, 499–501. [Google Scholar] [CrossRef]
- Knapp, J.A.; Himpsel, F.J.; Eastman, D.E. Experimental energy band dispersions and lifetimes for valence and conduction bands of copper using angle-resolved photoemission. Phys. Rev. B 1979, 19, 4952. [Google Scholar] [CrossRef]
- Palmberg, P.W.; Rhodin, T.N. Auger electron spectroscopy of fcc metal surfaces. J. Appl. Phys. 1968, 39, 2425–2432. [Google Scholar] [CrossRef]
- Tanuma, S.; Shiratori, T.; Kimura, T.; Goto, K.; Ichimura, S.; Powell, C.J. Experimental determination of electron inelastic mean free paths in 13 elemental solids in the 50 to 5000 eV energy range by elastic-peak electron spectroscopy. Surf. Interface Anal. 2005, 37, 833–845. [Google Scholar] [CrossRef]
- Shinotsuka, H.; Tanuma, S.; Powell, C.J.; Penn, D.R. Calculations of electron inelastic mean free paths. X. Data for 41 elemental solids over the 50 eV to 200 keV range with the relativistic full Penn algorithm. Surf. Interface Anal. 2015, 47, 871–888. [Google Scholar] [CrossRef]
- Penn, D.R. Electron mean-free-path calculations using a model dielectric function. Phys. Rev. B 1987, 35, 482–486. [Google Scholar] [CrossRef]
- Ashley, J.C. Energy loss rate and inelastic mean free path of low-energy electrons and positrons in condensed matter. J. Electron Spectrosc. Relat. Phenom. 1990, 50, 323–334. [Google Scholar] [CrossRef]
- Tanuma, S.; Powell, C.J.; Penn, D.R. Calculations of electron inelastic mean free paths. III. Data for 15 inorganic compounds over the 50–2000 eV range. Surf. Interface Anal. 1991, 17, 927–939. [Google Scholar] [CrossRef]
- Ghosh, V.J.; Aers, G.C. Positron stopping in elemental systems: Monte Carlo calculations and scaling properties. Phys. Rev. B 1995, 51, 45–59. [Google Scholar] [CrossRef] [PubMed]






























(eV) | (deg.) | (cm) | (cm) |
|---|---|---|---|
| 6.8 | 104.5 | 1.55 × 10 | 2.11 × 10 |
| 11.2 | 97.0 | 1.31 × 10 | 1.62 × 10 |
| 15.5 | 54.5 | 2.96 × 10 | 1.23 × 10 |
| 29.5 | 34.5 | 2.86 × 10 | 9.64 × 10 |
| 74.5 | 146.5 | 5.07 × 10 | 2.72 × 10 |
| 135.0 | 73.5 | 7.10 × 10 | 5.01 × 10 |
| 297.1 | 123.5 | 1.63 × 10 | 3.33 × 10 |
| (eV) | (eV) | (deg) | (deg) | |
|---|---|---|---|---|
| +0.96 | 6.84 | 0.04 | 104.0 | 0.5 |
| −1.00 | 5.80 | 1.00 | 106.5 | 2.0 |
| +0.98 | 10.00 | 1.20 | 98.5 | 1.5 |
| −1.00 | 12.05 | 0.85 | 96.0 | 1.0 |
| +0.98 | 15.60 | 0.10 | 53.0 | 1.5 |
| −0.99 | 15.45 | 0.05 | 55.5 | 1.0 |
| +0.53 | 29.20 | 0.30 | 34.5 | 0.0 |
| −0.69 | 32.00 | 2.50 | 33.0 | 1.5 |
| +0.68 | 73.70 | 0.80 | 147.0 | 0.5 |
| −0.78 | 74.60 | 0.10 | 146.5 | 0.0 |
| +0.84 | 133.20 | 1.80 | 73.5 | 0.0 |
| −0.98 | 136.60 | 1.60 | 73.5 | 0.0 |
| +0.84 | 296.00 | 1.10 | 123.5 | 0.0 |
| −0.99 | 294.60 | 2.50 | 124.0 | 0.5 |
(eV) | (deg.) | (cm) | (cm) |
|---|---|---|---|
| 3.26 | 135.0 | 6.83 | 3.00 |
| 3.57 | 73.0 | 1.43 | 2.26 |
| 13.1 | 50.5 | 5.48 | 1.85 |
| 19.8 | 117.5 | 2.39 | 1.07 |
| 28.9 | 76.5 | 4.16 | 1.05 |
| 86.0 | 145.0 | 4.60 | 2.07 |
| 158.2 | 70.5 | 1.74 | 4.29 |
| 337.4 | 122.5 | 1.20 | 3.26 |
| (eV) | (eV) | (deg) | (deg) | |
|---|---|---|---|---|
| +1.00 | 3.56 | 0.30 | 129.0 | 6.0 |
| −1.00 | 3.15 | 0.11 | 139.0 | 4.0 |
| +1.00 | 3.63 | 0.06 | 70.5 | 2.5 |
| −1.00 | 3.53 | 0.04 | 75.0 | 2.0 |
| +1.00 | 13.20 | 0.10 | 51.0 | 0.5 |
| −0.96 | 12.86 | 0.24 | 50.5 | 0.0 |
| +0.96 | 19.73 | 0.07 | 117.0 | 0.5 |
| −0.99 | 19.73 | 0.07 | 118.0 | 0.5 |
| +1.00 | 28.05 | 0.85 | 76.0 | 0.5 |
| −0.97 | 30.37 | 1.47 | 77.5 | 1.0 |
| +0.86 | 85.69 | 0.31 | 145.0 | 0.0 |
| −0.61 | 86.56 | 0.56 | 145.0 | 0.0 |
| +0.92 | 155.80 | 2.40 | 70.5 | 0.0 |
| −0.90 | 160.10 | 1.90 | 70.5 | 0.0 |
| +0.83 | 340.00 | 2.60 | 122.0 | 0.5 |
| −0.99 | 334.50 | 2.90 | 123.0 | 0.5 |
(eV) | (deg.) | (cm) | (cm) |
|---|---|---|---|
| 2.93 | 116.60 | 1.92 | 1.04 |
| 10.28 | 49.80 | 1.18 | 4.40 |
| 10.69 | 116.60 | 3.35 | 3.15 |
| 38.40 | 79.00 | 5.01 | 2.48 |
| 68.56 | 141.40 | 3.87 | 5.79 |
| 129.00 | 51.40 | 9.62 | 1.33 |
| 196.20 | 151.00 | 2.17 | 4.19 |
| 289.10 | 90.60 | 4.81 | 9.19 |
| 638.90 | 129.40 | 1.18 | 6.56 |
| (eV) | (eV) | (deg) | (deg) | |
|---|---|---|---|---|
| +1.00 | 2.84 | 0.09 | 114.2 | 2.4 |
| −1.00 | 2.92 | 0.01 | 119.0 | 2.4 |
| +1.00 | 10.14 | 0.14 | 52.2 | 2.4 |
| −1.00 | 10.42 | 0.14 | 47.8 | 2.0 |
| +1.00 | 10.20 | 0.49 | 115.0 | 1.6 |
| −1.00 | 11.11 | 0.42 | 117.8 | 1.2 |
| +0.99 | 39.12 | 0.72 | 78.2 | 0.8 |
| −0.99 | 36.35 | 2.05 | 80.2 | 1.2 |
| +0.95 | 69.90 | 1.34 | 141.0 | 0.4 |
| −0.53 | 72.31 | 3.75 | 141.0 | 0.4 |
| −0.22 | 130.50 | 1.50 | 52.5 | 1.1 |
| +0.82 | 196.00 | 0.20 | 151.0 | 0.0 |
| −0.88 | 197.60 | 1.40 | 150.6 | 0.4 |
| +0.99 | 288.00 | 1.10 | 90.2 | 0.4 |
| −0.97 | 290.30 | 1.20 | 91.0 | 0.4 |
| +0.97 | 640.00 | 1.10 | 129.0 | 0.4 |
| −1.00 | 628.00 | 10.90 | 130.2 | 0.8 |
(eV) | (deg.) | (cm) | (cm) |
|---|---|---|---|
| 12.65 | 43.0 | 2.33 | 1.49 |
| 14.75 | 123.5 | 2.57 | 1.04 |
| 27.26 | 81.0 | 1.46 | 9.48 |
| 100.06 | 128.5 | 2.94 | 2.89 |
| 156.01 | 107.0 | 1.02 | 3.76 |
| 200.01 | 85.5 | 1.62 | 4.29 |
| 230.68 | 36.0 | 3.01 | 4.26 |
| 252.17 | 145.5 | 3.27 | 1.64 |
| 307.74 | 118.5 | 8.54 | 2.94 |
| 453.76 | 66.5 | 1.14 | 3.00 |
| 526.09 | 153.0 | 2.36 | 1.00 |
| 882.63 | 98.5 | 3.85 | 2.21 |
| 1594.10 | 136.5 | 1.80 | 1.93 |
| (eV) | (eV) | (deg) | (deg) | |
|---|---|---|---|---|
| −1.00 | 13.67 | 1.02 | 39.5 | 3.5 |
| +1.00 | 10.9 | 1.75 | 52.7 | 9.7 |
| −1.00 | 15.66 | 0.91 | 126.5 | 3.0 |
| +1.00 | 11.51 | 3.24 | 117.0 | 6.5 |
| −0.40 | 44.00 | 16.74 | 85.0 | 4.0 |
| +1.00 | 19.90 | 7.36 | 77.5 | 3.5 |
| −1.00 | 110.03 | 9.97 | 125.0 | 3.5 |
| +1.00 | 92.30 | 7.76 | 131.5 | 3.0 |
| −0.99 | 157.08 | 1.07 | 109.5 | 2.5 |
| +1.00 | 157.27 | 1.26 | 103.5 | 3.5 |
| −1.00 | 215.93 | 15.92 | 83.5 | 2.0 |
| +1.00 | 185.00 | 15.01 | 88.5 | 3.0 |
| −0.26 | 203.92 | 26.76 | 39.0 | 3.0 |
| −0.96 | 250.39 | 1.78 | 146.5 | 1.0 |
| +0.98 | 253.28 | 1.11 | 144.5 | 1.0 |
| −1.00 | 324.61 | 16.87 | 117.0 | 1.5 |
| +0.99 | 296.19 | 11.55 | 120.0 | 1.5 |
| −0.97 | 474.09 | 20.33 | 66.5 | 0.0 |
| +1.00 | 432.71 | 21.05 | 66.5 | 0.0 |
| −0.87 | 529.35 | 3.26 | 152.5 | 0.5 |
| +1.00 | 523.37 | 2.72 | 153.5 | 0.5 |
| −0.97 | 879.02 | 3.61 | 100.0 | 1.5 |
| +1.00 | 854.77 | 27.86 | 98.0 | 0.5 |
| −1.00 | 1506.30 | 87.80 | 138.5 | 2.0 |
| +1.00 | 1643.70 | 49.60 | 135.0 | 1.5 |
| Element | n | ||
|---|---|---|---|
| Na | 11 | 1 | – |
| K | 19 | 2 | 3 |
| Ni | 28 | 2 | 5 |
| Cu | 29 | 2 | 7 |
| Rb | 37 | 3 | 6 |
| Pd | 46 | 3 | 7 |
| Cs | 55 | 4 | 14 |
| Yb | 70 | 4 | 11 |
| Pt | 78 | 4 | 11 |
Publisher’s Note: MDPI stays neutral with regard to jurisdictional claims in published maps and institutional affiliations. |
© 2022 by the authors. Licensee MDPI, Basel, Switzerland. This article is an open access article distributed under the terms and conditions of the Creative Commons Attribution (CC BY) license (https://creativecommons.org/licenses/by/4.0/).
Share and Cite
Jakubassa-Amundsen, D.H.; Haque, A.K.F.; Haque, M.M.; Billah, M.M.; Basak, A.K.; Saha, B.C.; Uddin, M.A. Electron and Positron Scattering from Precious Metal Atoms in the eV to MeV Energy Range. Atoms 2022, 10, 82. https://doi.org/10.3390/atoms10030082
Jakubassa-Amundsen DH, Haque AKF, Haque MM, Billah MM, Basak AK, Saha BC, Uddin MA. Electron and Positron Scattering from Precious Metal Atoms in the eV to MeV Energy Range. Atoms. 2022; 10(3):82. https://doi.org/10.3390/atoms10030082
Chicago/Turabian StyleJakubassa-Amundsen, Doris H., Abul Kalam Fazlul Haque, Md. Monirul Haque, Md. Masum Billah, Arun Kumar Basak, Bidhan Chandra Saha, and Md. Alfaz Uddin. 2022. "Electron and Positron Scattering from Precious Metal Atoms in the eV to MeV Energy Range" Atoms 10, no. 3: 82. https://doi.org/10.3390/atoms10030082
APA StyleJakubassa-Amundsen, D. H., Haque, A. K. F., Haque, M. M., Billah, M. M., Basak, A. K., Saha, B. C., & Uddin, M. A. (2022). Electron and Positron Scattering from Precious Metal Atoms in the eV to MeV Energy Range. Atoms, 10(3), 82. https://doi.org/10.3390/atoms10030082

