Next Article in Journal
Structure Calculations in Nd III and U III Relevant for Kilonovae Modelling
Previous Article in Journal
Atomic Processes, Including Photoabsorption, Subject to Outside Charge-Neutral Plasma
 
 
Font Type:
Arial Georgia Verdana
Font Size:
Aa Aa Aa
Line Spacing:
Column Width:
Background:
Article

Electron Impact Excitation of Ge-like Te20+–Cd16+ Ions

1
Department of Physics, Indian Institute of Technology, Roorkee 247667, India
2
Department of Physics, Bareilly College, Bareilly 243001, India
*
Author to whom correspondence should be addressed.
Atoms 2022, 10(1), 17; https://doi.org/10.3390/atoms10010017
Submission received: 31 December 2021 / Revised: 31 January 2022 / Accepted: 3 February 2022 / Published: 7 February 2022

Abstract

:
We study electron impact excitation of dipole allowed transitions in the extreme ultraviolet range—8–55 nm—for the germanium isoelectronic sequence Te20+–Cd16+. The fine structure transitions between the ground state having configuration 4s24p2 and the excited states with configurations 4s4p3 and 4s24p4d are considered for these ions. We employ the relativistic distorted wave method to calculate the excitation cross sections in the incident electron energy range from the excitation threshold to 5000 eV. To obtain the required ionic bound state wavefunctions we have used the multi-configuration Dirac-Fock method with correlations within the n = 5 complexes as well as performed relativistic configuration interaction calculations to include the quantum electrodynamic effects. The accuracy of these wavefunctions is established by comparing our calculated wavelengths and oscillator strengths of the considered transitions with the previously reported measurements and other available theoretical results. We also provide the fitting parameters of the calculated cross sections and the excitation rate coefficients for their direct applications in plasma modeling.

1. Introduction

Extreme ultraviolet (EUV) emissions from highly charged ions play an important role in the study of a wide variety of astrophysical and laboratory plasmas [1,2,3,4,5,6,7,8,9], particularly for laser-produced plasmas, fusion devices and electron beam ion traps (EBITs). The lines observed in the EUV spectra unveil information about plasma characteristics, viz., electron temperature, ion density and chemical composition. Thus, the knowledge of these ions’ structure, radiative and collisional properties are increasingly in great demand to understand the underlying processes in plasma. Due to various technical constraints in experimental studies, reliable theoretical methods are the primary sources to meet the growing demand for atomic data. In the present work, we aim to carry out a theoretical study of electron impact excitation of highly charged Ge-like Te20+, Sb19+, Sn18+, In17+ and Cd16+ ions. EUV emissions from highly charged tin ions in laser-produced plasma are used in state-of-the-art nanolithography [4,6,7]. Cd ions are of huge interest in Tokamak fusion research [5] like several other fifth row elements of the periodic table. Moreover, Ge-like ions with closed n = 3 core and four valence electrons are excellent candidates for testing strong electron correlation effects on closely spaced levels in heavy open-shell atoms.
There are a few theoretical investigations related to the atomic structure properties of Te20+–Cd16+ ions. Recently, Hao et al. [10] reported multi-configuration Dirac-Hartree-Fock (MCDHF) calculations for the energy levels, wavelengths, transition rates and line strengths for the electric dipole 4s24p2–4s4p3 and 4s24p2–4s24p4d transitions in Ge-like Te20+, Xe22+ and Ba24+ ions. The correlations within n = 6 complex and quantum electrodynamic effects were taken into account in these calculations. Nagy and Sayed [11] used the multi-configuration Dirac-Fock (MCDF) method for calculating wavelengths, transition probabilities and oscillator strengths for the dipole allowed fine-structure transitions from the initial states of the configuration 4s24p2 to the final states of the configurations 4s4p3, 4s24p4d and 4p4 in Ge-like Kr4+, Mo10+, Sn18+ and Xe22+ ions. Chen and Wang [12] performed MCDF calculations for Ge-like ions from In17+ to Ce26+ (49 ≤ Z ≤ 58) and reported the energy levels, wavelengths, oscillator strengths, and radiative electric dipole (E1), magnetic quadrupole (M2) transition probabilities for the fine structure levels belonging to 4s24p2, 4s24p4d, 4s4p3, 4s4p24d, 4s24d2, and 4p4 configurations. Wu et al. [13] calculated energy levels, wavelengths, probabilities, and oscillator strengths of resonance lines for Ge-like Pd14+, Ag15+ and Cd16+ ions using MCDHF method and incorporated contributions from Breit interaction, vacuum polarization, self-energy and finite nuclear mass corrections in these calculations.
From an experimental perspective, Litzén and Zeng [9] identified the resonance lines arising from 4s24p2–4s4p3 transitions in Ge-like Ru12+, Rh13+, Pd14+, Ag15+ and Cd16+ in the spectra emitted from laser produced plasmas. Very recently, Suzuki et al. [4] measured EUV spectra from Sn XIX–Sn XXII ions in low-density and high-temperature plasmas produced in the large helical device. To identify the discrete lines in the observed wavelength region, they also preformed theoretical calculations from the Cowan code [14].
It is evident from above that most of the work reported on the Ge isoelectronic sequence Te20+–Cd16+ have focused on their structure and radiative properties, while studies on excitation of these ions by electron impact are not available. Therefore, in the present work we have employed a fully relativistic distorted wave (RDW) method to perform extensive calculations of electron impact excitation cross sections of Ge-like Te20+, Sb19+, Sn18+, In17+ and Cd16+ at the incident electron energy ranging from excitation threshold to 5 keV. The ground state configuration 4s24p2 has five fine-structure levels in each ion. We consider E1 transitions from these five states to the fine-structure levels pertaining to the configurations 4s4p3 and 4s24p4d and lying in the EUV wavelength range, 8–55 nm. These transitions are, in general, expected to be responsible for the more intense lines in the EUV spectra. In our calculations, the target ions’ initial and final state wavefunctions are calculated within the multi-configuration Dirac-Fock approximation using the GRASP2k program [15]. The energies, wavelengths and oscillator strengths as obtained using these MCDF wavefunctions are compared with other experimental and theoretical results. The ionic wavefunctions are further used to calculate the continuum wavefunctions for the projectile and scattered electrons by solving the coupled Dirac equations with appropriate boundary conditions. For this purpose, the distortion potential is taken to be the spherically averaged potential of the ion in its initial and final states. Thus, the relativistic effects are included in our calculations in a consistent manner. Finally, we have calculated electron impact excitation cross sections up to 5 keV electron energy for all the transitions considered in the five ions and fitted them with analytical expressions suitable for low and high energies. Also, the excitation rate coefficients in the electron temperature range up to 40 eV are reported by averaging our calculated cross sections over the Maxwellian electron energy distribution.

2. Theory

We have used the RDW approximation [16] for studying the electron impact excitation of highly charged Ge-like Te20+–Cd16+ from initial state | γ i J i M i to final state | γ f J f M f and obtained excitation cross sections using the following expression (in atomic units):
σ i f = 2 π 2 ( 2 J i + 1 ) k f k i × M i μ i M f μ f | T i f R D W ( J f , M f , k f , μ f ; J i , M i , k i , μ i ) | 2 d Ω
Here J i / f , M i / f denote the total angular momentum and associated magnetic quantum numbers, while γ i / f includes rest all the other quantum numbers for unique identification of the ionic states. k i / f and μ i / f represent the magnitude of relativistic linear momentum and the spin projection of the incident/scattered electron. The integration has been carried over the solid angle of the scattered electron direction. We assume the direction of the incoming electrons to be along the z-axis and that the scattering takes place in the xz-plane. In the first order RDW approximation, the T-matrix T i f R D W in Equation (1) for an ion having N electrons and Z nuclear charge can be expressed as:
T i f R D W ( J f , M f , k f , μ f ; J i , M i , k i , μ i ) = Φ f ( 1 , 2 , , N ) F f , μ f D W ( k f , r N + 1 ) | V U ( N + 1 ) | A { Φ i ( 1 , 2 , , N ) F i , μ i D W + ( k i ,   r N + 1 ) }
Φ i / f refers to the N-electron target wavefunctions in initial/final state and F i ( f ) , μ i ( f ) D W ± represents the projectile-electron distorted-wavefunction with +/− sign indicating the incoming/outgoing waves. The anti-symmetrization operator A accounts for the exchange of projectile electrons with the ionic electrons. V is the Coulomb interaction between projectile electron and target ion and it is given by:
V = Z r N + 1 + i = 1 N 1 | r i r N + 1 |
Here r i   ( i = 1 ,   , N ) and r N + 1 are the position coordinates of the atomic and projectile electrons with respect to the nucleus of the ion. The distortion potential U ( r N + 1 ) is considered to be the function of radial coordinate of the projectile electron only. It is obtained from spherical average of the target ions’ static potential by considering only the first term in the multipole expansion of the electron-electron interaction and can be written as:
U ( r N + 1 ) = Z r N + 1 + Φ i / f ( 1 , 2 , , N ) | 1 r > | Φ i / f ( 1 , 2 , , N ) N + 1 .
Here r > is greater of r N and r N + 1 . Since the integration is carried over the ionic electron’s coordinates, U depends only on r N + 1 . Further, distorted wavefunctions of the incident electron are calculated using the ion’s initial state wavefunctions in Equation (4), whereas, for the scattered electrons, final state wavefunctions are used. This choice of distortion potential has been widely used in previous studies [17,18] and is known to provide results that are consistent with measurements.
For the evaluation of the T-matrix in Equation (2), the N-electron bound state wavefunction of the target ion are calculated from the GRASP2k [15] code within the MCDF framework. In this approach, the atomic state functions (ASFs) are written as a linear combination of configuration state functions (CSFs) having the same parity P and angular momentum quantum number J as follows:
Φ ( P J M ) = i = 1 n c a i ψ i ( P J M )
The CSFs ψ i ( P J M ) are the anti-symmetrized products of a common set of orthonormal orbitals, given by:
| n κ m = 1 r ( P ( n κ ; r ) ζ κ m ( Ω ) i Q ( n κ ; r ) ζ κ m ( Ω ) )
where P ( n κ ; r ) and Q ( n κ ; r ) are the large and small components of the radial wavefunctions, ζ ± κ m ( Ω ) are 2-component spin-orbit functions and κ denotes the relativistic quantum number. The MCDF method implements a relativistic self-consistent field procedure based on Dirac-Coulomb Hamiltonian for obtaining the radial functions P ( n κ ; r ) and Q ( n κ ; r ) which are used further to determine the mixing coefficients a i by solving the related matrix eigenvalue problem. At this level, higher-order corrections, i.e., Breit and quantum electrodynamic corrections viz, electron self-energy and vacuum polarization along with the transverse photon interaction [19,20], are added to the Dirac-Coulomb Hamiltonian. First, we included all CSFs resulting from single excitations from all levels with n = 3, 4 to those with n = 4, 5 to represent the initial and final states of the five Ge-like ions. Then we identified the CSFs with the value of mixing coefficient greater or equal to 0.001. These correspond to 4 s 2 4 p 2 and 4 s 2 4 d 2 configurations with even parity and 4 s 4 p 3 ,   4 s 2 4 p 4 d ,   3 d 9 4 s 2 4 p 3 ,   4 s 2 4 p 5 d ,   4 s 5 p 3   and   4 s 4 p 2 5 p configurations with odd parity. The above configurations are written in their non-relativistic notations for the sake of brevity. Finally, using the ionic wavefunctions, the distortion potential is obtained from Equation (4) and subsequently implemented in the Dirac equations. The numerical solution of the Dirac equations with appropriate boundary conditions provides the distorted wavefunctions. More details can be followed from our previous work [16].
From the calculated excitation cross sections σ i f , we can obtain the rate coefficients k i f [21] of the considered transitions by using the following expression:
k i f = 2 2 π m e ( k B T ) 3 2 E i f E σ i f ( E )   exp ( E k B T ) d E
In the above equation σ i f (E) is the electron impact excitation cross section at the incident electron energy E , m e denotes the electron mass, k B is the Boltzmann constant and E i f represents the excitation energy required for a particular transition. Here, to determine the rate coefficients, the Maxwellian electron energy probability function is used to average the cross sections.

3. Results and Discussion

We present the electron impact excitation cross sections for electric dipole allowed fine structure transitions of Ge-like Te20+, Sb19+, Sn18+, In17+ and Cd16+ ions from 4s24p2 to 4s4p3 and 4s24p4d levels in the wavelength region 8–55 nm and incident electron energy range up to 5 keV. No experimental and theoretical results are available for the above ions to compare with our calculated cross sections. Therefore, to ensure the validity of our results we first check the accuracy of the bound state ionic wavefunctions, which are the main ingredient of the present calculations. In this regard, we have carried out a detailed comparison of our calculated energies, wavelengths and oscillator strengths with the available theoretical and experimental values. For the sake of conciseness in presenting these results, we show here the relative errors among different results through Figure 1. At the same time an elaborated comparison is provided in Tables S1–S10 in the Supplementary Materials. The left panel of Figure 1 shows relative percentage errors in the energy values of Te20+–Cd16+ ions. We notice that most of our calculated values lie within 4% of the other results. Further, Tables S1–S5 in the Supplementary Materials include the energies of the fine structure levels of these five ions and show their comparison with the other available theoretical and experimental results. To indicate the fine structure states we use the LS coupling notations and their corresponding configurations in the relativistic j-j coupling scheme, in which each orbital except s, splits into two sub-orbitals with j = l ± 1 / 2 . Energy levels of Te20+ ion are shown and compared with theoretical results of Hao et al. [10] and Chen and Wang [12] in Table S1. For comparison we have interchanged the energies of levels 3 and 4 as well as 19 and 24, which appear to be flipped in [12]. Our calculated energy values show better agreement with the energies reported in [10], having a maximum disagreement of ~2%. Therefore, we find all the three theoretical results match very well and lie within 4%. In Table S2, we have presented energy levels for Sb19+ ion and compared these with the theoretical results of Chen and Wang [12]. For Sb19+, pair of levels 3 and 4, 12 and 14, 19 and 23, and 24 and 26 flipped with each other in [12]. Our results are in good agreement with the results of [12] with maximum errors within 4%. Table S3 presents the calculated energy levels of Sn18+ ion and their comparison with the MCDF results of Nagy and Sayed [11] and Chen and Wang [12]. We noticed that 3P1 and 3D1 states (indices 19 and 23) are interchanged in [12] for Sn18+ also as was observed for Te20+ and Sb19+ ions. Apart from this, there is very good agreement between the energies from the present as well as previous calculations [11,12]. Table S4 displays comparison of the present calculations for the energy levels for In17+ with the MCDF results [12]. While comparing in Table S4, we swapped the energies of the levels 19 with 23, and 24 with 26 as given in [12]. We see that the two theoretical results are in good agreement except for the energy level 8, which shows maximum disagreement close to 4%. In Table S5 we listed the energy levels for Ge-like Cd16+ ion and compared them with the available measurement of Litzén and Zeng [9] and found a very good agreement within ~3%. We also compared our results with the MCDHF calculations of Wu et al. [13] and observed an overall good match within 0.2–5%.
Further, we have calculated the wavelengths and oscillator strengths for different transitions in Ge-like Te20+–Cd16+ ions and listed them in Tables S6–S10 in the Supplementary Materials. However, to quickly check the accuracy of our wavelength results, the relative percentage errors are shown here in Figure 1 (right panel). Except for a few transitions, the majority of the results are within 5%. For comparison, we converted the transition rates reported by Hao et al. [10] into oscillator strengths by using the expression as given below [22]:
f i k = λ 2 6.67 × 10 15 × g k g i × A k i
where A k i is the atomic transition probability, g k = ( 2 J k + 1 ) and g i = ( 2 J i + 1 ) are the statistical weight factors and λ is wavelength in Å unit. In Table S6 we have compared our calculated wavelengths and oscillator strengths of Te20+ ion with the available theoretical results of Hao et al. [10] and Chen and Wang [12] and found an overall good agreement. For Sb19+, our calculated wavelengths are in good agreement with the other MCDF results [12] as shown in Table S7 but deviates ~15 Å and ~31 Å for transitions 4 s 2 4 p ¯ 4 p  3P2e    4 s 4 p ¯ 2 4 p  5S2o and 4 s 2 4 p 2  1D2e    4 s 4 p ¯ 2 4 p  5S2o. Present calculations for Sn18+ ion are compared with the MCDF results [10,11] as well as measurements and Cowan code calculations of Suzuki et al. [4] in Table S8. Our calculated wavelengths agree well with the other two MCDF results but deviates from the experimental values by ~20 Å and ~15 Å for 4s24p2 1D2e   4s24p4 d ¯ 3P2o and 4s24 p ¯ 2 3P0e 4s2   4 p ¯ 4 d ¯  3D1o transitions, respectively. Excluding these two transitions, our results match reasonably well with the measurements. The main reason for the difference between experimental and our calculated wavelengths could be that here we did not consider core-valence interaction in detail. It would lead to the generation of a large number of CSFs in representing a given ASF for these open-shell ions. This makes the RDW calculations for cross sections computationally very extensive. Also, it does not change the cross sections significantly as the direct T-matrix for double excitation would be zero in the first order RDW approximation and contribution from exchange T-matrix would be smaller. The agreement between the present oscillator strengths and those reported in [12] is better than the Cowan code results [4]. A comparison of the transition wavelengths and oscillator strengths for In17+ ion with the MCDF calculations [12] is shown in Table S9. We find that the two theoretical wavelengths are in good agreement but shows some deviations of ~17 Å, ~19 Å, ~35 Å for the transitions 4 s 2 4 p ¯ 4 p  3P1e    4 s 4 p ¯ 2 4 p  5S2o, 4 s 2 4 p ¯ 4 p  3P2e    4 s 4 p ¯ 2 4 p  5S2o and 4 s 2 4 p 2  1D2e    4 s 4 p ¯ 2 4 p  5S2o, respectively. In Table S10, we include the present transition wavelengths and oscillator strengths for Cd16+ ion and compare them with the calculations of Wu et al. [13] and the measurements of Litzén and Zeng [9]. Our wavelengths agree well with the theoretical results [13] but differ by ~5 Å from the measurements [9]. The two theories also show a reasonable agreement for the oscillator strength values.
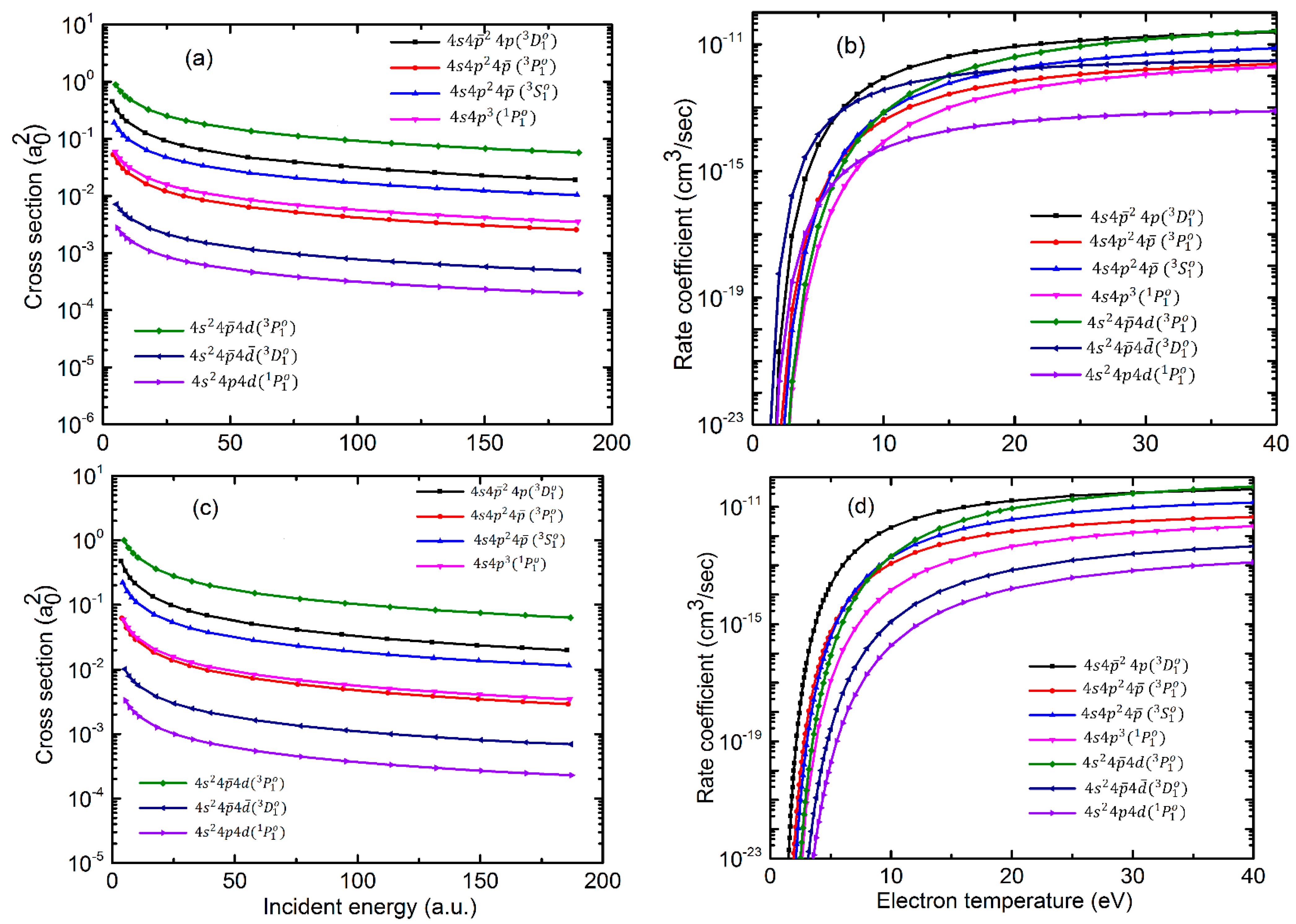
Thus, it can be concluded from the above comparison of energy levels, wavelengths and oscillator strengths through Figure 1 and Tables S1–S10 that the ionic wavefunctions used in the present work are reasonably accurate. Since, these are further utilized in computing the distorted wavefunctions and hence, the T-matrix, their quality directly affects the accuracy of the scattering parameters. Using these wavefunctions we calculated the electron impact excitation cross sections for transitions from 4s24p2 3P0,1,2, 1D2 and 1S0 levels to the fine—structure states of the excited state configurations 4s4p3 and 4s24p4d. The total number of E1 transitions in the wavelength range 8–55 nm, are 69 for Te20+, Sb19+ and Sn18+, 66 for In17+ and 68 for Cd16+. For illustration purpose, we have shown cross sections as a function of incident electron energy in the left panel of Figure 2 and Figure 3 for excitation from the 4s24p2 3P0 ground state. We observe that the cross sections decrease with increasing electron energy and fall off as ln ( E ) / E at high energies which is the usual feature of an E1 transition. The relative magnitude of the cross sections can be traced back to the corresponding values of oscillator strengths. A transition with higher oscillator strength has larger cross section at a given energy. Further, transitions involving a change of spin viz., triplet to singlet, have smaller cross sections. The entire cross section results are made available through Tables S11–S15 in the Supplementary Materials. To make our results easily applicable, we have fitted our calculated cross sections using two separate analytical expressions for low and high incident electron energies. The following fitting equation applies for energies from excitation threshold to 1.5 keV:
σ i f = i = 0 n b i E i c 0 + c 1 E + c 2 E 2
For dipole allowed transitions the Bethe-Born formula, as given below, is more appropriate for fitting the cross sections in the energy range, 1.5–5 keV:
σ i f = 1 E ( d 0 + d 1 ln ( E ) )
Here σ i f and E are taken in atomic units. b i , c i , d 0 and d 1 are fitting coefficients provided in Tables S16–S20 of Supplementary Materials for the five ions along with their corresponding fine structure transitions. We have used up to six functions in Equation (9) to fit our calculations from threshold excitation energy. The uncertainty in the fitted cross sections is not more than 5% for all the E1 transitions considered in the five ions.
Further, we have computed rate coefficients k i f as given in Equation (7) by using our calculated cross sections and assuming the Maxwell distribution for electron energies. The right panels of Figure 2 and Figure 3 display the behaviour of excitation rate coefficients in the electron temperature range up to 40 eV corresponding to the transitions from the 3P0 ground state. We observe that with respect to temperature, the rate coefficients rise faster close to 8 eV, and then increase logarithmically at a slower pace. The values of k i f at different electron temperatures are provided through Tables S21–S25 in the Supplementary Materials.

4. Conclusions

In the present work, we have implemented the RDW method to calculate the integrated cross sections for electron impact excitation of E1 transitions in Ge-like Te20+–Cd16+ ions in the incident electron energy range from excitation threshold to 5 keV. The bound state wavefunctions of the ions are calculated using the MCDF method and their accuracy is determined by comparing our calculated energy levels, oscillator strengths and transition wavelengths with the available theoretical and experimental results. A good match of our calculations with other results indicates the quality of the wavefunctions used in the present work. We fitted our cross section results by analytical expressions for plasma modeling purposes. The fitted cross sections are found to be within 5% of the calculated values. Further, these cross sections are averaged over the Maxwellian electron energy distribution to calculate the excitation rate coefficients up to 40 eV electron temperature. We hope our results will be useful in plasma modeling.

Supplementary Materials

The following supporting information can be downloaded at: https://www.mdpi.com/article/10.3390/atoms10010017/s1, Table S1: Energy (in cm−1) for the fine-structure levels of Ge-like Te20+ ion. Table S2: Energy (in cm−1) for the fine-structure levels of Ge-like Sb19+ ion. Table S3: Energy (in cm−1) for the fine-structure levels of Ge-like Sn18+ ion. Table S4: Energy (in cm−1) for the fine-structure levels of Ge-like In17+ ion. Table S5: Energy (in cm−1) for the fine-structure levels of Ge-like Cd16+ ion. Table S6. Transition wavelengths (in Å) and oscillator strengths for the transition between the energy levels of Ge-like Te20+ ion. Table S7. Transition wavelengths (in Å) and oscillator strengths for the transition between the energy levels of Ge-like Sb19+ ion. Table S8. Transition wavelengths (in Å) and oscillator strengths for the transition between the energy levels of Ge-like Sn18+ ion. Table S9. Transition wavelengths (in Å) and oscillator strengths for the transition between the energy levels of Ge-like In17+ ion. Table S10. Transition wavelengths (in Å) and oscillator strengths for the transition between the energy levels of Ge-like Cd16+ ion. Table S11. Cross sections (cm2) for Ge-like Te20+ for the transitions from initial to final levels with respective indices ‘i’ and ‘f’ and at scattered electron energies 50–5000 eV. Table S12. Cross sections (cm2) for Ge-like Sb19+ for the transitions from initial to final levels with respective indices ‘i’ and ‘f’ and at scattered electron energies 50–5000 eV. Table S13. Cross sections (cm2) for Ge-like Sn18+ for the transitions from initial to final levels with respective indices ‘i’ and ‘f’ and at scattered electron energies 50–5000 eV. Table S14. Cross sections (cm2) for Ge-like In17+ for the transitions from initial to final levels with respective indices ‘i’ and ‘f’ and at scattered electron energies 50–5000 eV. Table S15. Cross sections (cm2) for Ge-like Cd16+ for the transitions from initial to final levels with respective indices ‘i’ and ‘f’ and at scattered electron energies 50–5000 eV. Table S16. Fitting coefficients for Ge-like Te20+ ion. Table S17. Fitting coefficients for Ge-like Sb19+ ion. Table S18. Fitting coefficients for Ge-like Sn18+ ion. Table S19. Fitting coefficients for Ge-like In17+ ion. Table S20. Fitting coefficients for Ge-like Cd16+ ion. Table S21. Rate coefficient (cm3/sec) for Ge-like Te20+ for the transitions from initial to final levels with respective indices ‘i’ and ‘f’ and electron temperature 1–40 eV. Table S22. Rate coefficient (cm3/sec) for Ge-like Sb19+ for the transitions from initial to final levels with respective indices ‘i’ and ‘f’ and electron temperature 1–40 eV. Table S23. Rate coefficient (cm3/sec) for Ge-like Sn18+ for the transitions from initial to final levels with respective indices ‘i’ and ‘f’ and electron temperature 1–40 eV. Table S24. Rate coefficient (cm3/sec) for Ge-like In17+ for the transitions from initial to final levels with respective indices ‘i’ and ‘f’ and electron temperature 1–40 eV. Table S25. Rate coefficient (cm3/sec) for Ge-like Cd16+ for the transitions from initial to final levels with respective indices ‘i’ and ‘f’ and electron temperature 1–40 eV.

Author Contributions

Data curation, P.M.; formal analysis, L.S.; investigation, P.M.; methodology, L.S.; software, P.M.; supervision, L.S.; validation, P.M. and L.S.; visualization, L.S.; writing—original draft, P.M.; writing—review & editing, L.S., P.M. and L.S. have contributed equally in performing calculations. All authors have read and agreed to the published version of the manuscript.

Funding

This research received no external funding.

Institutional Review Board Statement

Not applicable.

Informed Consent Statement

Not applicable.

Data Availability Statement

The data presented in this study are available in the article or supplementary material here.

Acknowledgments

We thank our Department’s computational facility and Institute’s library for access to the required journals in carrying out the present work. We are grateful to M. K. Srivastava for useful discussions.

Conflicts of Interest

The funders had no role in the design of the study; in the collection, analyses, or interpretation of data; in the writing of the manuscript, or in the decision to publish the results.

References

  1. Dunne, P.; Carroll, P.K.; Corcoran, R.E.; Costello, J.T.; O’Sullivan, G. 4s-4p transitions in Ge-like Ru and Rh. J. Phys. B At. Mol. Opt. Phys. 1990, 23, L239–L245. [Google Scholar] [CrossRef]
  2. Breton, C.; DeMichelis, C.; Hecq, W.; Mattioli, M.; Ramette, J.; Saoutic, B.; Bauche-Arnoult, C.; Bauche, J.; Wyart, J.F. Highly ionized xenon spectra (95–260 Å) excited in TFR tokamak plasmas. Phys. Scr. 1988, 37, 33–37. [Google Scholar] [CrossRef]
  3. Reader, J.; Gillaspy, J.D.; Osin, D.; Ralchenko, Y. Extreme ultraviolet spectra and analysis of Δn = 0 transitions in highly charged barium. J. Phys. B At. Mol. Opt. Phys. 2014, 47, 145003. [Google Scholar] [CrossRef]
  4. Suzuki, C.; Kato, T.; Sakaue, H.A.; Kato, D.; Sato, K.; Tamura, N.; Sudo, S.; Yamamoto, N.; Tanuma, H.; Ohashi, H.; et al. Analysis of EUV spectra of Sn XIX–XXII observed in low-density plasmas in the Large Helical Device. J. Phys. B At. Mol. Opt. Phys. 2010, 43, 074027. [Google Scholar] [CrossRef]
  5. Bakhiet, M.; Su, M.; Cao, S.; Wu, Y.; Li, M.; Dong, C. Analysis of ion radiation characteristics in the middle and late stages of laser-produced Cd plasma evolution in vacuum. J. Quant. Spectrosc. Radiat. Transf. 2021, 263, 107535. [Google Scholar] [CrossRef]
  6. Träbert, E.; Santana, J.A.; Quinet, P.; Palmeri, P. Intercombination Transitions in the n = 4 Shell of Zn-, Ga-, and Ge-Like Ions of Elements Kr through Xe. Atoms 2018, 6, 40. [Google Scholar] [CrossRef] [Green Version]
  7. Gambino, N.; Rollinger, B.; Brandstätter, M.; Abhari, R.S. Vacuum ultraviolet spectral emission properties of Ga, In and Sn droplet-based laser produced plasmas. Spectrochim. Acta Part B At. Spectrosc. 2016, 122, 149. [Google Scholar] [CrossRef] [Green Version]
  8. Cao, S.; Su, M.; Min, Q.; Sun, D.; Wu, L.; He, S.; Wang, K.; Ma, P.; Dong, C.Z. Measurement and analysis of the extreme ultraviolet emission band of laser-produced antimony plasmas. Plasma Sci. Technol. 2019, 21, 045001. [Google Scholar] [CrossRef]
  9. Litzén, U.; Zeng, X. The 4s24p2–4s4p3 transition array and energy levels of the Ge-like ions Ru XIII-Cd XVII. J. Phys. B At. Mol. Opt. Phys. 1991, 24, L45–L50. [Google Scholar] [CrossRef]
  10. Hao, L.H.; Kang, X.P.; Liu, J.J. Energies and spectral lines for the states of 4s24p2, 4s4p3, and 4s24p4d configurations in Ge-Like Te, Xe, and Ba ions. J. Appl. Spectrosc. 2017, 84, 351–360. [Google Scholar] [CrossRef]
  11. Nagy, O.; El_Sayed, F. Energies, wavelengths, and transition probabilities for Ge-like Kr, Mo, Sn, and Xe ions. At. Data Nucl. Data Tables 2012, 98, 373–390. [Google Scholar] [CrossRef]
  12. Chen, Z.-B.; Wang, K. Energies and transition rates in Ge-like ions between In XVIII and Ce XXVII. At. Data Nucl. Data Tables 2017, 114, 61–261. [Google Scholar] [CrossRef]
  13. Wu, M.; He, Z.; Hu, F. Energy levels, wavelengths, probabilities, and oscillator strengths of transition for Ge-Like Pd, Ag, and Cd ions. J. Appl. Spectrosc. 2021, 87, 1148–1156. [Google Scholar] [CrossRef]
  14. Cowan, R.D. The Theory of Atomic Structure and Spectra; Los Alamos Series in Basic and Applied Sciences; University of California Press: Berkeley, CA, USA, 1981. [Google Scholar]
  15. Jönsson, P.; He, X.; Froese Fischer, C.; Grant, I.P. The grasp2K relativistic atomic structure package. Comput. Phys. Commun. 2007, 177, 597–622. [Google Scholar] [CrossRef]
  16. Sharma, L.; Surzhykov, A.; Srivastava, R.; Fritzsche, S. Electron-impact excitation of singly charged metal ions. Phys. Rev. A 2011, 83, 062701. [Google Scholar] [CrossRef]
  17. Sharma, L.; Srivastava, R.; Stauffer, A.D. Excitation of the 3p5 5p levels of argon from the 3p5 4s metastable states. Phys. Rev. A 2007, 76, 024701. [Google Scholar] [CrossRef]
  18. Sharma, L.; Srivastava, R.; Stauffer, A.D. Excitation of atomic oxygen by electron impact. J. Phys. B At. Mol. Opt. Phys. 2007, 40, 403025. [Google Scholar] [CrossRef]
  19. Mann, J.B.; Johnson, W.R. Breit interaction in multielectron atoms. Phys. Rev. A 1971, 4, 41. [Google Scholar] [CrossRef]
  20. Mackenzie, B.; Grant, I.; Norrington, P. A program to calculate transverse Breit and QED corrections to energy levels in a multiconfiguration Dirac-Fock environment. Comput. Phys. Commun. 1980, 21, 233–246. [Google Scholar] [CrossRef]
  21. Gupta, S.; Sharma, L.; Srivastava, R. Electron-impact excitation of Xe+ and polarization of its subsequent emissions. J. Quant. Spectrosc. Radiat. Transf. 2018, 219, 7–22. [Google Scholar] [CrossRef]
  22. Atomic Spectroscopy—Spectral Lines | NIST. Available online: https://www.nist.gov/pml/atomic-spectroscopy-compendium-basic-ideas-notation-data-and-formulas/atomic-spectroscopy (accessed on 30 August 2021).
Figure 1. Percentage errors relative to the present energies (left panel) and wavelengths (right panel). Other results are from Sujuki et al. [4], Litzén and Zeng [9], Hao et al. [10], Nagy and Sayed [11], Chen and Wang [12] and Wu et al. [13].
Figure 1. Percentage errors relative to the present energies (left panel) and wavelengths (right panel). Other results are from Sujuki et al. [4], Litzén and Zeng [9], Hao et al. [10], Nagy and Sayed [11], Chen and Wang [12] and Wu et al. [13].
Atoms 10 00017 g001
Figure 2. Integrated cross section vs. incident electron energy (left panel) and excitation rate coefficients vs. electron temperature (right panel) for (a,b) Te20+, (c,d) Sb19+ and (e,f) Sn18+ ions.
Figure 2. Integrated cross section vs. incident electron energy (left panel) and excitation rate coefficients vs. electron temperature (right panel) for (a,b) Te20+, (c,d) Sb19+ and (e,f) Sn18+ ions.
Atoms 10 00017 g002
Figure 3. Integrated cross section vs. incident electron energy (left panel) and excitation rate coefficients vs. electron temperature (right panel) for (a,b) In17+, and (c,d) Cd16+ ions.
Figure 3. Integrated cross section vs. incident electron energy (left panel) and excitation rate coefficients vs. electron temperature (right panel) for (a,b) In17+, and (c,d) Cd16+ ions.
Atoms 10 00017 g003
Publisher’s Note: MDPI stays neutral with regard to jurisdictional claims in published maps and institutional affiliations.

Share and Cite

MDPI and ACS Style

Malker, P.; Sharma, L. Electron Impact Excitation of Ge-like Te20+–Cd16+ Ions. Atoms 2022, 10, 17. https://doi.org/10.3390/atoms10010017

AMA Style

Malker P, Sharma L. Electron Impact Excitation of Ge-like Te20+–Cd16+ Ions. Atoms. 2022; 10(1):17. https://doi.org/10.3390/atoms10010017

Chicago/Turabian Style

Malker, Pooja, and Lalita Sharma. 2022. "Electron Impact Excitation of Ge-like Te20+–Cd16+ Ions" Atoms 10, no. 1: 17. https://doi.org/10.3390/atoms10010017

APA Style

Malker, P., & Sharma, L. (2022). Electron Impact Excitation of Ge-like Te20+–Cd16+ Ions. Atoms, 10(1), 17. https://doi.org/10.3390/atoms10010017

Note that from the first issue of 2016, this journal uses article numbers instead of page numbers. See further details here.

Article Metrics

Back to TopTop