Abstract
Maximal center gauge (MCG) aims to detect some of the most important vacuum configurations, suggesting thick magnetic flux tubes quantized to non-trivial center elements of the gauge group being responsible for confinement. Due to the NP-hardness of a global maximization of the gauge functional only numeric procedures aiming for local maxima are possible. We observe a linear decrease in the string tension with increasing gauge functional value of the local maxima. This implies that the request to get as close as possible to the absolute maximum is unattainable. We compare global properties of the ensemble of local maxima with other methods to detect center vortices and with determinations of the string tension from full configurations. This comparison indicates that the information about the number and positions of center vortices is contained in the structure of the ensemble of local maxima. This may pave the way for a future more successful formulation of the gauge condition.
1. Introduction
The fundamental role of center vortices in the ground-state vacuum fields has been shown in Lattice QCD in the past decades [1,2,3,4,5,6,7,8,9,10,11,12,13]. The center vortex model for quark-confinement assumes that closed quantized color-magnetic flux tubes percolating the QCD vacuum are responsible for a non-vanishing string tension. It explains confinement, topological charge and chiral symmetry breaking [14,15,16,17,18,19,20,21,22,23,24,25,26,27,28,29,30,31,32,33,34,35], and reproduces the expected behavior of the string tension throughout a wide range of -values, although the detection of center vortices in field configurations can prove difficult.
The main methods to detect center vortices are based on maximal center gauge (MCG) [4,36,37] via maximizing the gauge functional (2) of the link variables. It is not possible to numerically identify a global maximum and one can only consider an ensemble of gauge copies which can be seen as a partially ordered set with respect to . During an optimization procedure the structure of the P-vortices can vary, but differences should decrease with the gauge functional approaching its maximal value. If they do not, one speaks of Gribov ambiguities or Gribov problems and care has to be taken when interpreting such gauge configurations. It turns out, however, that the P-vortices extracted by center projection from the gauge transformed configurations with maximal values of the gauge functional underestimates the string tension considerably.
We were able to mitigate this problem with the absolute maximum of the gauge functional by usage of non-trivial center regions [38,39,40,41,42,43,44], where the gauge fixing is not performed solely on a microscopic level (taking only single lattice points and the links attached to them into account), but the non-trivial center regions, macroscopic structures guiding the gauge fixing procedure. This method is very involved and increasingly difficult for large lattices.
With the aim to circumvent the problem with the absolute maximum and to obtain a handier method for the identification of thick center vortices, we present an extended investigation of the ensembles of local maxima of the gauge functionals after a first test in [45]. We create a reasonable large number of gauge copies and perform a gradient ascent towards the nearest local maximum of the gauge functional. After center projection, average values of Wilson loops and the quark–antiquark potentials are determined. This is different from quantum gauge gixing [46], which does not only take the local maxima into account but suggests to integrate over the full gauge orbits with a gauge functional generating the weight function with an appropriately chosen scale. In SU(2) gauge theory we compare the results of ensemble averages to other center gauges such as adjoint Laplacian Landau gauge (ALLG) and direct Laplacian Landau gauge (DLCG) whose aim is to preselect appropriate, smooth gauge copies as starting points for a local maximization of the gauge functional. The predictions of these methods we compare to the potentials measured on the unprojected (original) field configurations. The string tensions extracted from averages over the ensembles of local maxima give upper bounds of the string tensions. The individual values of the gauge functional demonstrate that in a wide range of gauge couplings the above mentioned extreme maxima do not contribute to the chosen large ensembles. The string tension extracted from the ensemble averages scales reasonably well with renormalization group predictions.
2. Methods and Formalism
We work on periodic lattices with denoting a gluonic link at lattice site x pointing in direction . We apply the Wilson action
with corresponding to a plaquette in the plane spanned by the directions and is used in a Monte Carlo procedure. For the inverse coupling we choose .
Center vortices are usually detected in a direct maximal center gauge (DMCG) that uses a gradient ascent to identify the gauge transformation maximizing the gauge functional
with and the number of links. Starting on multiple random gauge copies, this procedure is executed and the gauge copy with the largest value of the gauge functional is taken for further processing. The link variables are projected to the center degrees of freedom, that is for SU(2),
The resulting non-trivial center projected plaquettes are known as P-plaquettes, , which contain one or three non-trivial links. The duals of P-plaquettes form closed surfaces in the four dimensional dual lattice and the dual P-vortices correspond to the closed flux lines evolving in time. Center projection is the common ground of center detection methods, only the specific gauge fixing procedures vary. Since , where
is the adjoint representation, MCG also maximizes
the gauge functional of the Landau gauge in the adjoint representation, which is blind to center elements. Landau gauge finds the configuration closest to a trivial field configuration. Hence, the functionals and may fail to detect vortices in smooth field configurations, especially in the continuum limit. As was raised by Engelhardt and Reinhardt [9] in the context of continuum Yang–Mills theory a thin vortex becomes singular in this limit and must fail to approach a smooth configuration.
Gauges not directly suffering from Gribov copies are Laplacian gauges which require to solve the lattice Laplacian eigenvalue problem. They were first applied in Laplacian Landau gauge by Vink and Wiese [47] for the detection of Abelian monopoles and modified to Laplacian center gauge in [15,48] for center vortices which requires solving the eigenvalue problem of the lattice Laplacian in the adjoint representation
The three lowest eigenvectors of this Laplacian are combined to matrices in adjoint Laplacian Landau gauge (ALLG) which maximizes the functional
with “on average”, that is, with weakened orthogonality constrained . Even if the solution of the eigenvalue problem is a unique procedure, small modifications of the configuration may lead to different eigenfunctions corresponding to different positions of vortices. The combination of ALLG followed by DMCG [49,50] is referred to as direct Laplacian center gauge (DLCG).
2.1. The Problem of the Gauge Functional
To find the absolute maximum of the gauge functional (2) is an NP-hard problem, hence it is practically impossible to find the absolute maximum. Moreover, the local numeric maximization of the gauge functional suffers from a severe problem as was discussed first by Engelhardt and Reinhardt [9] in the continuum and then numerically by Kovacs and Tomboulis [51] and by Bornyakov, Komarov, and Polikarpov [52] with simulated annealing. The largest maxima of the functional underestimate the density of vortices . For smooth vortex surfaces the vortex density gives an upper limit for the string tension [38]
Hence, a reduced vortex density comes with a reduced string tension for smooth vortex surfaces. We describe now a direct method to obtain the false local maxima, showing the origin of this problem.
Random gauge copies are usually determined by random gauge matrices with a homogeneous density on the SU(2) group manifold, as produced by the Box–Muller method [53]. One can directly produce consecutively increasing local maxima of the gauge functional using a bias in the random gauge transformations by restricting them to the trivial sector of the residual gauge group which the maximal center gauge condition (2) leaves free. For we have to choose random gauge matrices with positive trace. In the two diagrams in Figure 1, we show the maximizing histories for 2 independently created field configurations (out of 200) and for 10 of their random gauge copies. For each of these 20 field configurations we perform 100 times the following two steps: First, we maximize the functional by gradient ascent. Secondly, we apply the biased random gauge transformations. For center projected field configurations of sufficient large lattice size already one configuration can reasonable estimate the string tension from Creutz-ratios
for small Wilson loops of size . In Figure 1, we show pairs for the evolution through the biased gauge fixing iterations. A nearly linear relation between and can be observed. With increasing gauge functional we observe a linear decrease in the string tension, underestimating the expected value of [54].
Figure 1.
In the two diagrams we show the maximizing histories of two independent field configurations on a lattice for ten random gauge copies each. Interchanging hundred times gradient ascents and biased random gauge transformations, we obtain one hundred points in the plane connected by a line. Observe the nearly linear relation between Creutz ratio and gauge functional and especially the final low value of , much lower than the expected string tension [54].
With this method we did not find any configuration where the maximum of the gauge functional did not dramatically underbid the string tension.
2.2. The Importance of the Ensemble
DMCG predicts the string tension successfully [6,19] when using a few gauge copies and choosing the one with the highest value of the functional for the further analysis, avoiding the global maximization problem. In DLCG [49,50] the problem is circumvented using the eigenfunctions of the adjoint Laplacian operator to select a smooth gauge field before maximizing the gauge functional in a gradient ascent. In this article, we use ensemble averages of maximal center gauge (EaMCG) to investigate the relation between the average value of the gauge functional and the average value of the string tension extracted from projected Wilson loops. We produce random gauge copies with the correct -weight, approach the next local maximum by the gradient method and take the average of an ensemble of such random gauge copies. The idea is that not the best local maximum alone carries the physical information, but the ensemble of local maxima.
Performing the gauge fixing procedure with a gradient ascend defines a map f of gauge transformations g to the gauge corresponding to the nearest local maximum
Every has a catchment area such that
serving as an implicit weight in a functional integral over gauge transformations. Every observable is therefore mapped to via
Maxima with an improbably high value of the gauge functional result in a reduced string tension, but they do not dominate the ensemble as our numerical results will show. The same holds for lower valued maxima, which overestimate the string tension.
3. Numerical Results and Discussion
In Monte-Carlo runs on a lattice we did for each 20 random starts, 3000 initial sweeps and produced 1000 configurations with a distance of 100 sweeps. For these sets of 20,000 configurations we determined the averages of unprojected Wilson loops. Due to the large computational needs we did center projection by ALLG, DLCG, and EaMCG for every 100th of these 20,000 configurations only. For EaMCG we did 100 unbiased gauge copies for each of the 200 configurations. Further, we compare the data for unprojected configurations with the same number of analogously produced configurations.
3.1. Gauge Functional Distributions and Creutz Ratios
In Figure 2, we show the distribution of 20 000 gauge functional vs. Creutz ratio pairs for . For all -values we see a clear linear correlation as expected from Figure 1. The average slope of the distributions agrees in both figures (not only for the case of shown in Figure 1). Further, we observe that the few extreme values of the gauge functional reached by the procedure performed in Figure 1 are far from the main peak of central distribution in Figure 2 corresponding to . We therefore conclude, that they do not play a major role in the ensemble average.
Figure 2.
Correlations between Creutz ratios from center projected configurations and their values of the maximized gauge functionals for on -lattices. We produced density plots from 20 random starts and 10 configurations with a distance of 10,000 MC iterations and 100 gauge copies each, the average values of the distributions are marked by a “★” symbol.
The average values of the Creutz ratio (vs. data) are marked by a “★” symbol in Figure 2, which give first estimates of the string tension. From the distributions it is clear that the gauge configurations with extremely high values of the gauge functional (2) do not contribute to the average. Creutz ratios from larger Wilson loops show broader distributions due to larger statistical errors and give therefore less confidential values for the string tension than fitting the static potential. Therefore we have a look at the static potentials and fits thereof in the next sections, from which we can extract the string tension with high precision.
3.2. Center Dominance and Precocious Linearity
In this section, we compare the potentials extracted from original configurations with those which we obtain after center projections, especially with the ensemble averages over the local maxima of the gauge functional. To extract the physical parameters of the gluonic quark–antiquark string we fit the static potentials extracted from Wilson loops with a Cornell type of potential
with three parameters, self energy , string tension , and Coulomb coefficient c. For DLCG and EaMCG we observe the feature of precocious linearity; i.e., the fact that the Coulombic term is strongly suppressed. Therefore we choose and start the fit at some .
For we show in Figure 3 the potential values of unprojected configurations, the fit potential , its contributions and together with the data of [54]. We compare them with the potentials and their fits resulting from the three center projection methods, ALLG, DLCG, and EaMCG. ALLG has a sizeable Coulomb contribution, differing in this respect from DLCG and EaMCG. Its potential is more difficult to resolve than for DLCG and EaMCG. ALLG has a smaller linear term than DLCG, where this term agrees nicely with the linear term of the unprojected configurations. Over the whole R region the EaMCG values are very well resolvable and start at to predict a stable value for the string tension . It is interesting to observe in Figure 3 that, despite the linear term is larger than for DLCG and the unprojected configurations, the potential runs at large R nicely parallel to the unprojected potential. When fitting the potential from unprojected configurations, the Coulomb factor is reasonably close to , fixing the latter value in the fit changes the other fit parameters more or less within errors only, as can be seen from the numbers in Table 1.
Figure 3.
For on a lattice, potentials determined with different methods are shown and compared to Ref [54]. To ease comparisons, the potentials of EaMCG and DLCG are shifted by the self energy of the potential extracted from unprojected configurations.
Table 1.
The parameters, self energy , string tension , and Coulomb factor c of the potential fits (13) are compared for the various methods.
A similar behavior is observed for all tested values of as can be seen in Figure 4. The parameters of the potentials are summarized in Table 1. The indicated errors are the statistical errors only. The systematic errors are difficult to quantify, but they are at least of the same size as the statistical errors as we can see comparing the data.
Figure 4.
For on a lattice, the different methods to extract potentials and string tension are compared. For better visual comparison, the potentials of EaMCG and DLCG are shifted by the self energies of potentials extracted from original configurations.
3.3. Scaling Behavior
The string tension is expected to be proportional to the square of the lattice spacing a. For the SU(2) gauge group in the quenched approximation [55] asymptotic freedom predicts in two-loop order
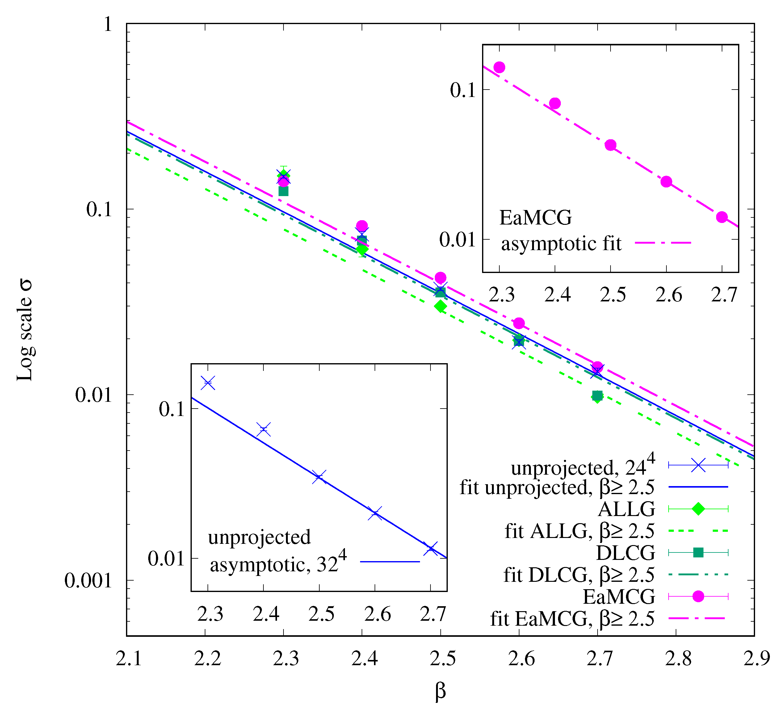
where is the standard lattice scale parameter. In Figure 5, we compare the string tensions extracted from unprojected configurations and the three methods of center projection, see Table 1, with the asymptotic freedom prediction of Equation (14). The main diagram shows the results of our calculations on a lattice. In the insets we show fits to the asymptotic behavior , in the upper inset for EaMCG and in the lower inset for unprojected configurations on a lattice. All our obtained results, including EaMCG data, approach the expected asymptotic scaling with increasing .
Figure 5.
The -dependence of the string tensions extracted from unprojected and center projected configurations is compared with the predictions in Equation (14) in the main figure. The insets show fits for the asymptotic behavior . For each of the methods the lattice scale parameter is adjusted separately to the data with . The error bars are underestimated because we did not take (auto-)correlations and other systematic effects into account.
4. Conclusions
Center gauge methods suffer from the large differences between the center projected and unprojected field configurations. These differences appear especially in the region of center vortices. Unconditionally maximizing the center blind gauge functional (2) underestimates the vortex density and therefore the string tension. This problem is related to an approximate linear relation between the gauge functional and the string tension as shown in Figure 1 and Figure 2. This indicates that the request for a global maximization of the gauge functional is erroneous.
There were different suggestions to overcome this failure of the global maximization condition. A first idea [49,50] was to preselect a region of smooth gauge configurations where we maximize the gauge functional. With the three lowest eigenfunctions of the center blind lattice Laplacian in the adjoint representation one defines in ALLG a smooth gauge transformed configuration to start the maximization procedure by a gradient ascent to arrive at DLCG. In [38,40,42], we suggested a completely different, but computationally rather involved approach, where we proposed to use global structures, non-trivial center regions, to guide the gauge fixing procedure.
The investigations in this article support the importance of the ensemble versus global maximization. This could possibly hint at a conditional maximization prescription within the ensemble, requiring further investigations. Such conditional maximization procedure is given by the aforementioned non-trivial center regions and proofed promising for single configurations.
An attempt to systematically address the issue of a heuristically defined gauge has been presented in the context of Coulomb gauge [56].
Recently, an improved method for computing the static quark–antiquark potential in lattice QCD was investigated in [57,58,59], which is not based on Wilson loops, but formulated in terms of (temporal) Laplace trial state correlators, formed by eigenvector components of the covariant lattice Laplace operator. This approach seems very promising and an application to center vortex configurations as well as a generalization of the methods introduced in this article to is left for future investigations.
Author Contributions
Conceptualization, Z.D., R.H. and M.F.; methodology, Z.D. and R.G.; software, Z.D., R.G. and R.H.; visualization, Z.D., R.G. and R.H.; writing—original draft preparation, Z.D. and R.G.; writing—review and editing, Z.D., R.G., R.H. and M.F.; supervision, M.F.; All authors have read and agreed to the published version of the manuscript.
Funding
R.H. was supported by the MKW NRW under the funding code NW21-024-A.
Data Availability Statement
The data presented in this study are available on request from the corresponding author.
Acknowledgments
The authors gratefully acknowledge the Vienna Scientific Cluster (VSC) for providing supercomputer resources and Open Access funding by TU Wien. We thank Sedigheh Deldar for valuable discussions.
Conflicts of Interest
The authors declare no conflict of interest.
References
- Hooft, G. On the Phase Transition Towards Permanent Quark Confinement. Nucl. Phys. B 1978, 138, 1–25. [Google Scholar] [CrossRef]
- Hooft, G. A Property of Electric and Magnetic Flux in Nonabelian Gauge Theories. Nucl. Phys. B 1979, 153, 141–160. [Google Scholar] [CrossRef]
- Cornwall, J.M. Quark confinement and vortices in massive gauge-invariant QCD. Nucl. Phys. B 1979, 157, 392–412. [Google Scholar] [CrossRef]
- Debbio, L.D.; Faber, M.; Greensite, J.; Olejník, Š. Center dominance and Z(2) vortices in SU(2) lattice gauge theory. Phys. Rev. D 1997, 55, 2298–2306. [Google Scholar] [CrossRef]
- Faber, M.; Greensite, J.; Olejnik, S. Casimir scaling from center vortices: Towards an understanding of the adjoint string tension. Phys. Rev. D 1998, 57, 2603–2609. [Google Scholar] [CrossRef]
- Del Debbio, L.; Faber, M.; Giedt, J.; Greensite, J.; Olejnik, S. Detection of center vortices in the lattice Yang-Mills vacuum. Phys. Rev. D 1998, 58, 094501. [Google Scholar] [CrossRef]
- Bertle, R.; Faber, M.; Greensite, J.; Olejnik, S. The Structure of projected center vortices in lattice gauge theory. JHEP 1999, 03, 019. [Google Scholar] [CrossRef]
- Faber, M.; Greensite, J.; Olejnik, S.; Yamada, D. The Vortex finding property of maximal center (and other) gauges. JHEP 1999, 12, 012. [Google Scholar] [CrossRef]
- Engelhardt, M.; Reinhardt, H. Center projection vortices in continuum Yang-Mills theory. Nucl. Phys. B 2000, 567, 249. [Google Scholar] [CrossRef]
- Bertle, R.; Faber, M.; Greensite, J.; Olejnik, S. P vortices, gauge copies, and lattice size. JHEP 2000, 10, 007. [Google Scholar] [CrossRef]
- Greensite, J. The Confinement problem in lattice gauge theory. Prog. Part. Nucl. Phys. 2003, 51, 1. [Google Scholar] [CrossRef]
- Engelhardt, M.; Quandt, M.; Reinhardt, H. Center vortex model for the infrared sector of SU(3) Yang-Mills theory: Confinement and deconfinement. Nucl. Phys. B 2004, 685, 227–248. [Google Scholar] [CrossRef]
- Greensite, J. Confinement from Center Vortices: A review of old and new results. EPJ Web Conf. 2017, 137, 01009. [Google Scholar] [CrossRef]
- de Forcrand, P.; D’Elia, M. On the relevance of center vortices to QCD. Phys. Rev. Lett. 1999, 82, 4582–4585. [Google Scholar] [CrossRef]
- Alexandrou, C.; de Forcrand, P.; D’Elia, M. The Role of center vortices in QCD. Nucl. Phys. A 2000, 663, 1031–1034. [Google Scholar] [CrossRef]
- Reinhardt, H.; Engelhardt, M. Center vortices in continuum Yang-Mills theory. In Quark Confinement and the Hadron Spectrum IV; Lucha, W., Maung, K.M., Eds.; World Scientific: Singapore, 2002; pp. 150–162. [Google Scholar]
- Engelhardt, M. Center vortex model for the infrared sector of Yang-Mills theory: Quenched Dirac spectrum and chiral condensate. Nucl. Phys. B 2002, 638, 81–110. [Google Scholar] [CrossRef]
- VBornyakov, G.; Ilgenfritz, E.-M.; Martemyanov, B.V.; Morozov, S.M.; Müller-Preussker, M.; Veselov, A.I. Interrelation between monopoles, vortices, topological charge and chiral symmetry breaking: Analysis using overlap fermions for SU(2). Phys. Rev. D 2008, 77, 074507. [Google Scholar] [CrossRef]
- Höllwieser, R.; Faber, M.; Greensite, J.; Heller, U.M.; Olejník, Š. Center Vortices and the Dirac Spectrum. Phys. Rev. D 2008, 78, 054508. [Google Scholar] [CrossRef]
- Höllwieser, R.; Faber, M.; Heller, U.M. Intersections of thick Center Vortices, Dirac Eigenmodes and Fractional Topological Charge in SU(2) Lattice Gauge Theory. JHEP 2011, 06, 052. [Google Scholar] [CrossRef]
- Schweigler, T.; Höllwieser, R.; Faber, M.; Heller, U.M. Colorful SU(2) center vortices in the continuum and on the lattice. Phys. Rev. D 2013, 87, 054504. [Google Scholar] [CrossRef]
- Höllwieser, R.; Faber, M.; Heller, U.M. Critical analysis of topological charge determination in the background of center vortices in SU(2) lattice gauge theory. Phys. Rev. D 2012, 86, 014513. [Google Scholar] [CrossRef]
- Höllwieser, R.; Schweigler, T.; Faber, M.; Heller, U.M. Center Vortices and Chiral Symmetry Breaking in SU(2) Lattice Gauge Theory. Phys. Rev. D 2013, 88, 114505. [Google Scholar] [CrossRef]
- Höllwieser, R.; Faber, M.; Schweigler, T.; Heller, U.M. Chiral Symmetry Breaking from Center Vortices. arXiv 2014, arXiv:1410.2333. [Google Scholar]
- Höllwieser, R.; Engelhardt, M. Smearing Center Vortices. arXiv 2015, arXiv:1411.7097. [Google Scholar]
- Höllwieser, R.; Altarawneh, D.; Engelhardt, M. Random center vortex lines in continuous 3D space-time. AIP Conf. Proc. 2016, 1701, 030007. [Google Scholar] [CrossRef]
- Greensite, J.; Höllwieser, R. Double-winding Wilson loops and monopole confinement mechanisms. Phys. Rev. D 2015, 91, 054509. [Google Scholar] [CrossRef]
- Höllwieser, R.; Engelhardt, M. Approaching SU(2) gauge dynamics with smeared Z(2) vortices. Phys. Rev. D 2015, 92, 034502. [Google Scholar] [CrossRef]
- Trewartha, D.; Kamleh, W.; Leinweber, D. Evidence that centre vortices underpin dynamical chiral symmetry breaking in SU(3) gauge theory. Phys. Lett. B 2015, 747, 373–377. [Google Scholar] [CrossRef]
- Höllwieser, R.; Altarawneh, D. Center Vortices, Area Law and the Catenary Solution. Int. J. Mod. Phys. A 2015, 30, 1550207. [Google Scholar] [CrossRef]
- Altarawneh, D.; Höllwieser, R.; Engelhardt, M. Confining Bond Rearrangement in the Random Center Vortex Model. Phys. Rev. D 2016, 93, 054007. [Google Scholar] [CrossRef]
- Altarawneh, D.; Engelhardt, M.; Höllwieser, R. Model of random center vortex lines in continuous 2+1-dimensional spacetime. Phys. Rev. D 2016, 94, 114506. [Google Scholar] [CrossRef]
- Trewartha, D.; Kamleh, W.; Leinweber, D. Centre vortex removal restores chiral symmetry. J. Phys. G 2017, 44, 125002. [Google Scholar] [CrossRef]
- Faber, M.; Höllwieser, R. Chiral symmetry breaking on the lattice. Prog. Part. Nucl. Phys. 2017, 97, 312–355. [Google Scholar] [CrossRef]
- Biddle, J.C.; Kamleh, W.; Leinweber, D.B. Gluon propagator on a center-vortex background. Phys. Rev. D 2018, 98, 094504. [Google Scholar] [CrossRef]
- Langfeld, K.; Reinhardt, H.; Tennert, O. Confinement and scaling of the vortex vacuum of SU(2) lattice gauge theory. Phys. Lett. B 1998, 419, 317–321. [Google Scholar] [CrossRef]
- Langfeld, K. Vortex structures in pure SU(3) lattice gauge theory. Phys. Rev. D 2004, 69, 014503. [Google Scholar] [CrossRef]
- Golubich, R.; Faber, M. A Possible Resolution to Troubles of SU(2) Center Vortex Detection in Smooth Lattice Configurations. Universe 2021, 7, 122. [Google Scholar] [CrossRef]
- Golubich, R.; Faber, M. Properties of SU(2) Center Vortex Structure in Smooth Configurations. Particles 2021, 4, 93–105. [Google Scholar] [CrossRef]
- Golubich, R.; Faber, M. Center Regions as a Solution to the Gribov Problem of the Center Vortex Model. Acta Phys. Pol. B Proc. Suppl. 2021, 14, 87. [Google Scholar] [CrossRef]
- Golubich, R.; Faber, M. Thickness and Color Structure of Center Vortices in Gluonic SU(2) QCD. Particles 2020, 3, 444–455. [Google Scholar] [CrossRef]
- Golubich, R. The Road to Solving the Gribov Problem of the Center Vortex Model in Quantum Chromodynamics. Acta Phys. Pol. B Proc. Suppl. 2020. [Google Scholar] [CrossRef]
- Golubich, R.; Faber, M. Improving Center Vortex Detection by Usage of Center Regions as Guidance for the Direct Maximal Center Gauge. Particles 2019, 2, 491–498. [Google Scholar] [CrossRef]
- Golubich, R.C.F. Improvement of Vortex Detection in SU (2)-QCD. Ph.D. Thesis, Technische Universität Wien, Vienna, Austria, 2022. [Google Scholar] [CrossRef]
- Dehghan, Z.; Deldar, S.; Faber, M.; Golubich, R.; Höllwieser, R. Influence of Fermions on Vortices in SU(2)-QCD. Universe 2021, 7, 130. [Google Scholar] [CrossRef]
- Langfeld, K.; Engelhardt, M.; Reinhardt, H.; Tennert, O. Quantum gauge fixing and vortex dominance. Nucl. Phys. B Proc. Suppl. 2000, 83–84, 506–508. [Google Scholar] [CrossRef]
- Vink, J.C.; Wiese, U.J. Gauge fixing on the lattice without ambiguity. Phys. Lett. 1992, B289, 122–126. [Google Scholar] [CrossRef]
- de Forcrand, P.; Pepe, M. Center vortices and monopoles without lattice Gribov copies. Nucl. Phys. B 2001, 598, 557–577. [Google Scholar] [CrossRef]
- Faber, M.; Greensite, J.; Olejník, S. Direct Laplacian Center Gauge. J. High Energy Phys. 2001, 2001, 053. [Google Scholar] [CrossRef]
- Faber, M.; Greensite, J.; Olejník, Š. Center dominance recovered: Direct Laplacian center gauge. Nucl. Phys. B Proc. Suppl. 2002, 106–107, 652–654. [Google Scholar] [CrossRef]
- Kovacs, T.G.; Tomboulis, E.T. Vortices and confinement at weak coupling. Phys. Rev. D 1998, 57, 4054–4062. [Google Scholar] [CrossRef]
- Bornyakov, V.; Komarov, D.; Polikarpov, M. P-vortices and drama of Gribov copies. Phys. Lett. B 2001, 497, 151–158. [Google Scholar] [CrossRef]
- Box, G.E.P.; Muller, M.E. A Note on the Generation of Random Normal Deviates. Ann. Math. Stat. 1958, 29, 610–611. [Google Scholar] [CrossRef]
- Bali, G.S.; Schilling, K.; Schlichter, C. Observing long color flux tubes in SU(2) lattice gauge theory. Phys. Rev. D 1995, 51, 5165. [Google Scholar] [CrossRef] [PubMed]
- Rothe, H. Lattice Gauge Theories: An Introduction, 3rd ed.; World Scientific Lecture Notes In Physics; World Scientific Publishing Company: Singapore, 2005. [Google Scholar]
- Heinzl, T.; Ilderton, A.; Langfeld, K.; Lavelle, M.; McMullan, D. The Ice-limit of Coulomb gauge Yang-Mills theory. Phys. Rev. D 2008, 78, 074511. [Google Scholar] [CrossRef]
- Höllwieser, R.; Knechtli, F.; Korzec, T.; Peardon, M.; Urrea-Niño, J.A. Constructing static quark-anti-quark creation operators from Laplacian eigenmodes. arXiv 2022. [Google Scholar] [CrossRef]
- Höllwieser, R.; Knechtli, F.; Peardon, M. The static energy of a quark-antiquark pair from Laplacian eigenmodes. In Proceedings of the 39th International Symposium on Lattice Field Theory, Bonn, Germany, 8–13 August 2022. [Google Scholar]
- Höllwieser, R.; Knechtli, F.; Peardon, M. The static potential using trial states from Laplacian eigenmodes. EPJ Web Conf. 2022, 274, 02008. [Google Scholar] [CrossRef]
Disclaimer/Publisher’s Note: The statements, opinions and data contained in all publications are solely those of the individual author(s) and contributor(s) and not of MDPI and/or the editor(s). MDPI and/or the editor(s) disclaim responsibility for any injury to people or property resulting from any ideas, methods, instructions or products referred to in the content. |
© 2023 by the authors. Licensee MDPI, Basel, Switzerland. This article is an open access article distributed under the terms and conditions of the Creative Commons Attribution (CC BY) license (https://creativecommons.org/licenses/by/4.0/).




