A Concept of Assessment of LIV Tests with THESEUS Using the Gamma-Ray Bursts Detected by Fermi/GBM
Abstract
1. Introduction
2. Instrumentation and Data
3. Methodology
3.1. Brief Introduction to the Basics of the Speed of Light Variance
3.2. Observed Spectral Lag as a Function of Redshift
3.3. The Technique of Averaging over the Sample
3.4. GRB Intrinsic Spectral Lags vs. Quantum Gravity Effects
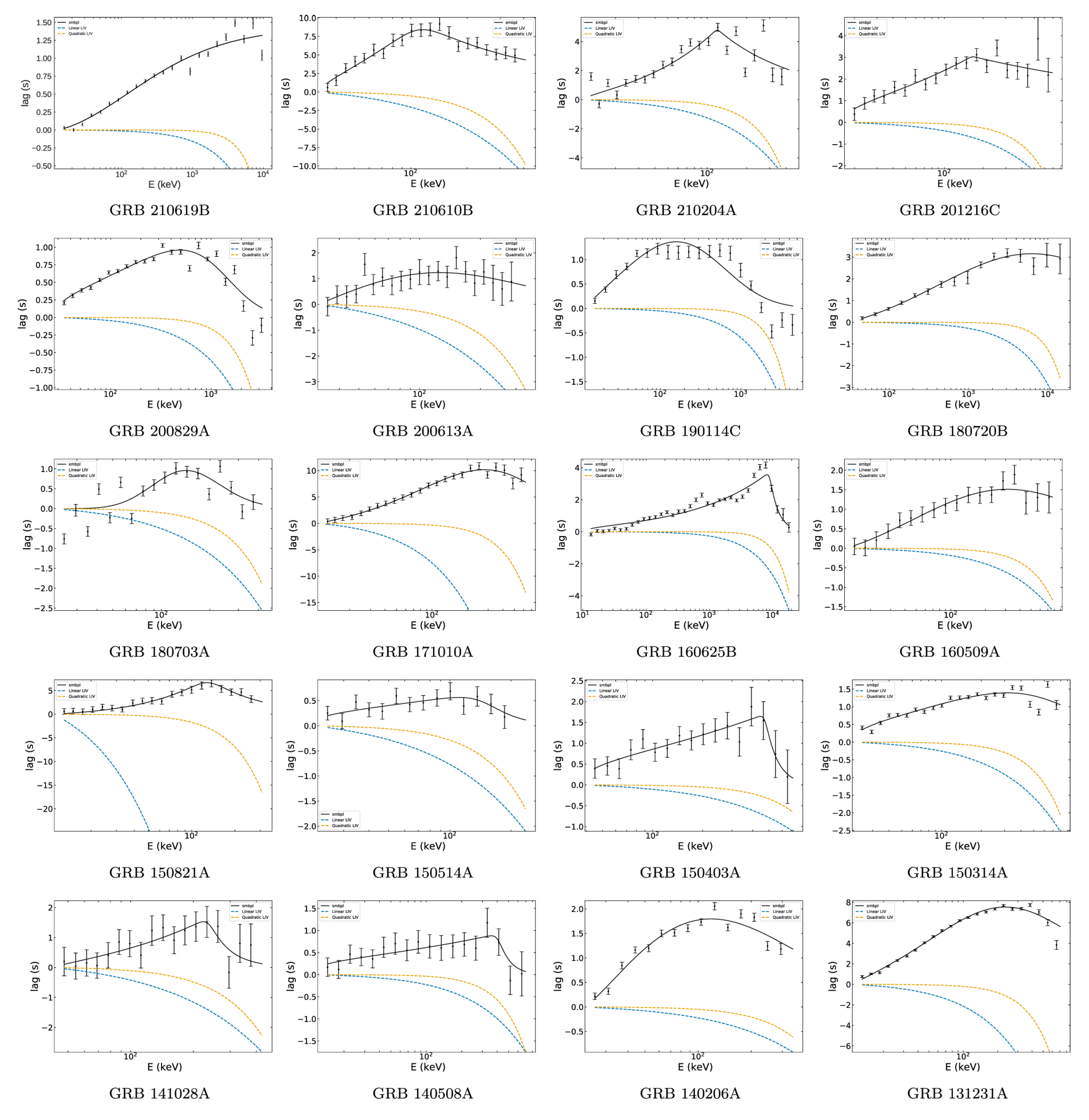
3.5. Computation of Spectral Lags
3.6. Obtaining GRB Redshifts
4. Discussion
5. Conclusions
Author Contributions
Funding
Data Availability Statement
Conflicts of Interest
Abbreviations
| GRB | Gamma-ray burst |
| GUP | Generalized uncertainty principle |
| FoV | Field of view |
| LIV | Lorentz invariance violation |
| QG | Quantum gravity |
| 1 | The name of the model was inspired by the insect, whose ability to fly has been questioned theoretically. |
| 2 | This value reflects only the mathematical transformation from the observer frame to the rest frame as, at the moment of emission of two photons, the QG lag between them equals zero. |
| 3 | https://sites.astro.caltech.edu/grbox/grbox.php, accessed on 2 May 2023. |
| 4 | https://www.mpe.mpg.de/~jcg/grbgen.html, accessed on 2 May 2023. |
References
- Rovelli, C.; Smolin, L. Knot theory and quantum gravity. Phys. Rev. Lett. 1988, 61, 1155–1158. [Google Scholar] [CrossRef] [PubMed]
- Rovelli, C.; Smolin, L. Loop space representation of quantum general relativity. Nuclear Phys. B 1990, 331, 80–152. [Google Scholar] [CrossRef]
- Rovelli, C. Loop Quantum Gravity. Living Rev. Relativ. 1998, 1, 1. [Google Scholar] [CrossRef] [PubMed]
- Hossenfelder, S. Minimal Length Scale Scenarios for Quantum Gravity. Living Rev. Relativ. 2013, 16, 2. [Google Scholar] [CrossRef]
- Kostelecký, V.A.; Samuel, S. Spontaneous breaking of Lorentz symmetry in string theory. Phys. Rev. D 1989, 39, 683–685. [Google Scholar] [CrossRef]
- Kostelecký, V.A.; Samuel, S. Gravitational phenomenology in higher-dimensional theories and strings. Phys. Rev. D 1989, 40, 1886–1903. [Google Scholar] [CrossRef]
- Carroll, S.M.; Harvey, J.A.; Kostelecký, V.A.; Lane, C.D.; Okamoto, T. Noncommutative Field Theory and Lorentz Violation. Phys. Rev. Lett. 2001, 87, 141601. [Google Scholar] [CrossRef]
- Ferrari, A.F.; Gomes, M.; Nascimento, J.R.; Passos, E.; Petrov, A.Y.; da Silva, A.J. Lorentz violation in the linearized gravity. Phys. Lett. B 2007, 652, 174–180. [Google Scholar] [CrossRef]
- Santos, V.; Almeida, C.A.S. On gravity localization under Lorentz violation in warped scenario. Phys. Lett. B 2013, 718, 1114–1118. [Google Scholar] [CrossRef]
- Hořava, P. Quantum gravity at a Lifshitz point. Phys. Rev. D 2009, 79, 084008. [Google Scholar] [CrossRef]
- Kostelecký, V.A. Gravity, Lorentz violation, and the standard model. Phys. Rev. D 2004, 69, 105009. [Google Scholar] [CrossRef]
- Bertolami, O.; Páramos, J. Vacuum solutions of a gravity model with vector-induced spontaneous Lorentz symmetry breaking. Phys. Rev. D 2005, 72, 044001. [Google Scholar] [CrossRef]
- Tawfik, A.N.; Magdy, H.; Ali, A.F. Lorentz invariance violation and generalized uncertainty principle. Phys. Part. Nucl. Lett. 2016, 13, 59–68. [Google Scholar] [CrossRef]
- Lambiase, G.; Scardigli, F. Lorentz violation and generalized uncertainty principle. Phys. Rev. D 2018, 97, 075003. [Google Scholar] [CrossRef]
- Kanzi, S.; Sakallı, İ. GUP modified Hawking radiation in bumblebee gravity. Nuclear Phys. B 2019, 946, 114703. [Google Scholar] [CrossRef]
- Övgün, A.; Jusufi, K.; Sakallı, I. Exact traversable wormhole solution in bumblebee gravity. Phys. Rev. D 2019, 99, 024042. [Google Scholar] [CrossRef]
- Kanzi, S.; Sakallı, I. Greybody radiation and quasinormal modes of Kerr-like black hole in Bumblebee gravity model. Eur. Phys. J. C 2021, 81, 501. [Google Scholar] [CrossRef]
- Delhom, A.; Nascimento, J.R.; Olmo, G.J.; Petrov, A.Y.; Porfírio, P.J. Metric-affine bumblebee gravity: Classical aspects. Eur. Phys. J. C 2021, 81, 287. [Google Scholar] [CrossRef]
- Gogoi, D.J.; Dev Goswami, U. Quasinormal modes and Hawking radiation sparsity of GUP corrected black holes in bumblebee gravity with topological defects. J. Cosmol. Astropart. Phys. 2022, 2022, 029. [Google Scholar] [CrossRef]
- Gogoi, D.J.; Dev Goswami, U. Tideless traversable wormholes surrounded by cloud of strings in f(R) gravity. J. Cosmol. Astropart. Phys. 2023, 2023, 027. [Google Scholar] [CrossRef]
- Neves, J.C.S. Kasner cosmology in bumblebee gravity. Ann. Phys. 2023, 454, 169338. [Google Scholar] [CrossRef]
- Amelino-Camelia, G. Are We at the Dawn of Quantum-Gravity Phenomenology? In Toward Quantum Gravity; Kowalski-Glikman, J., Ed.; Springer: Berlin/Heidelberg, Germany, 2000; Volume 541, p. 1. [Google Scholar]
- Burderi, L.; Di Salvo, T.; Iaria, R. Quantum clock: A critical discussion on spacetime. Phys. Rev. D 2016, 93, 064017. [Google Scholar] [CrossRef]
- Sanchez, N.G. New Quantum Structure of Space-Time. Gravit. Cosmol. 2019, 25, 91–102. [Google Scholar] [CrossRef]
- Amelino-Camelia, G.; Ellis, J.; Mavromatos, N.E.; Nanopoulos, D.V.; Sarkar, S. Tests of quantum gravity from observations of γ-ray bursts. Nature 1998, 393, 763–765, Erratum in Nature 1998, 395, 525. [Google Scholar] [CrossRef]
- Amelino-Camelia, G.; Ellis, J.; Mavromatos, N.E.; Nanopoulos, D.V. Distance Measurement and Wave Dispersion in a Liouville-String Approach to Quantum Gravity. Int. J. Mod. Phys. A 1997, 12, 607–623. [Google Scholar] [CrossRef]
- Ellis, J.; Mavromatos, N.E.; Nanopoulos, D.V.; Sakharov, A.S. Quantum-gravity analysis of gamma-ray bursts using wavelets. Astron. Astrophys. 2003, 402, 409–424. [Google Scholar] [CrossRef]
- Ellis, J.; Mavromatos, N.E.; Nanopoulos, D.V.; Sakharov, A.S.; Sarkisyan, E.K.G. Robust limits on Lorentz violation from gamma-ray bursts. Astropart. Phys. 2006, 25, 402–411. [Google Scholar] [CrossRef]
- Abdo, A.A.; Ackermann, M.; Ajello, M.; Asano, K.; Atwood, W.B.; Axelsson, M.; Baldini, L.; Ballet, J.; Barbiellini, G.; Baring, M.G.; et al. A limit on the variation of the speed of light arising from quantum gravity effects. Nature 2009, 462, 331–334. [Google Scholar] [CrossRef]
- Vasileiou, V.; Granot, J.; Piran, T.; Amelino-Camelia, G. A Planck-scale limit on spacetime fuzziness and stochastic Lorentz invariance violation. Nat. Phys. 2015, 11, 344–346. [Google Scholar] [CrossRef]
- Zhang, S.; Ma, B.Q. Lorentz violation from gamma-ray bursts. Astropart. Phys. 2015, 61, 108–112. [Google Scholar] [CrossRef]
- Pan, Y.; Gong, Y.; Cao, S.; Gao, H.; Zhu, Z.H. Constraints on the Lorentz Invariance Violation with Gamma-Ray Bursts via a Markov Chain Monte Carlo Approach. Astrophys. J. 2015, 808, 78. [Google Scholar] [CrossRef]
- Xu, H.; Ma, B.Q. Light speed variation from gamma ray burst GRB 160509A. Phys. Lett. B 2016, 760, 602–604. [Google Scholar] [CrossRef]
- Xu, H.; Ma, B.Q. Light speed variation from gamma-ray bursts. Astropart. Phys. 2016, 82, 72–76. [Google Scholar] [CrossRef]
- Chang, Z.; Li, X.; Lin, H.N.; Sang, Y.; Wang, P.; Wang, S. Constraining Lorentz invariance violation from the continuous spectra of short gamma-ray bursts. Chin. Phys. C 2016, 40, 045102. [Google Scholar] [CrossRef]
- Wei, J.J.; Zhang, B.B.; Shao, L.; Wu, X.F.; Mészáros, P. A New Test of Lorentz Invariance Violation: The Spectral Lag Transition of GRB 160625B. Astrophys. J. Lett. 2017, 834, L13. [Google Scholar] [CrossRef]
- Ganguly, S.; Desai, S. Statistical significance of spectral lag transition in GRB 160625B. Astropart. Phys. 2017, 94, 17–21. [Google Scholar] [CrossRef]
- Liu, Y.; Ma, B.Q. Light speed variation from gamma ray bursts: Criteria for low energy photons. Eur. Phys. J. C 2018, 78, 825. [Google Scholar] [CrossRef]
- Zou, X.B.; Deng, H.K.; Yin, Z.Y.; Wei, H. Model-independent constraints on Lorentz invariance violation via the cosmographic approach. Phys. Lett. B 2018, 776, 284–294. [Google Scholar] [CrossRef]
- Ellis, J.; Konoplich, R.; Mavromatos, N.E.; Nguyen, L.; Sakharov, A.S.; Sarkisyan-Grinbaum, E.K. Robust constraint on Lorentz violation using Fermi-LAT gamma-ray burst data. Phys. Rev. D 2019, 99, 083009. [Google Scholar] [CrossRef]
- Wei, J.J. New constraints on Lorentz invariance violation with polarized gamma-ray bursts. Mon. Not. RAS 2019, 485, 2401–2406. [Google Scholar] [CrossRef]
- Pan, Y.; Qi, J.; Cao, S.; Liu, T.; Liu, Y.; Geng, S.; Lian, Y.; Zhu, Z.H. Model-independent Constraints on Lorentz Invariance Violation: Implication from Updated Gamma-Ray Burst Observations. Astrophys. J. 2020, 890, 169. [Google Scholar] [CrossRef]
- Acciari, V.A.; Ansoldi, S.; Antonelli, L.A.; Arbet Engels, A.; Baack, D.; Babić, A.; Banerjee, B.; Barres de Almeida, U.; Barrio, J.A.; Becerra González, J.; et al. Bounds on Lorentz Invariance Violation from MAGIC Observation of GRB 190114C. Phys. Rev. Lett. 2020, 125, 021301. [Google Scholar] [CrossRef] [PubMed]
- Du, S.S.; Lan, L.; Wei, J.J.; Zhou, Z.M.; Gao, H.; Jiang, L.Y.; Zhang, B.B.; Liu, Z.K.; Wu, X.F.; Liang, E.W.; et al. Lorentz Invariance Violation Limits from the Spectral-lag Transition of GRB 190114C. Astrophys. J. 2021, 906, 8. [Google Scholar] [CrossRef]
- Agrawal, R.; Singirikonda, H.; Desai, S. Search for Lorentz Invariance Violation from stacked Gamma-Ray Burst spectral lag data. J. Cosmol. Astropart. Phys. 2021, 2021, 029. [Google Scholar] [CrossRef]
- Wei, J.J.; Wu, X.F. Testing fundamental physics with astrophysical transients. Front. Phys. 2021, 16, 44300. [Google Scholar] [CrossRef]
- Bartlett, D.J.; Desmond, H.; Ferreira, P.G.; Jasche, J. Constraints on quantum gravity and the photon mass from gamma ray bursts. Phys. Rev. D 2021, 104, 103516. [Google Scholar] [CrossRef]
- Xiao, S.; Xiong, S.L.; Wang, Y.; Zhang, S.N.; Gao, H.; Zhang, Z.; Cai, C.; Yi, Q.B.; Zhao, Y.; Tuo, Y.L.; et al. A Robust Estimation of Lorentz Invariance Violation and Intrinsic Spectral Lag of Short Gamma-Ray Bursts. Astrophys. J. Lett. 2022, 924, L29. [Google Scholar] [CrossRef]
- Desai, S.; Agrawal, R.; Singirikonda, H. Search for Lorentz invariance violation using Bayesian model comparison applied to Xiao et al. GRB spectral lag catalog. Eur. Phys. J. C 2023, 83, 63. [Google Scholar] [CrossRef]
- Vasileiou, V.; Jacholkowska, A.; Piron, F.; Bolmont, J.; Couturier, C.; Granot, J.; Stecker, F.W.; Cohen-Tanugi, J.; Longo, F. Constraints on Lorentz invariance violation from Fermi-Large Area Telescope observations of gamma-ray bursts. Phys. Rev. D 2013, 87, 122001. [Google Scholar] [CrossRef]
- Abdo, A.A.; Ackermann, M.; Arimoto, M.; Asano, K.; Atwood, W.B.; Axelsson, M.; Baldini, L.; Ballet, J.; Band, D.L.; Barbiellini, G.; et al. Fermi Observations of High-Energy Gamma-Ray Emission from GRB 080916C. Science 2009, 323, 1688. [Google Scholar] [CrossRef] [PubMed]
- Acciari, V.A.; Ansoldi, S.; Antonelli, L.A.; Arbet Engels, A.; Baack, D.; Babić, A.; Banerjee, B.; Barres de Almeida, U.; Barrio, J.A.; et al.; MAGIC Collaboration Teraelectronvolt emission from the γ-ray burst GRB 190114C. Nature 2019, 575, 455–458. [Google Scholar] [CrossRef]
- Liu, Z.K.; Zhang, B.B.; Meng, Y.Z. Spectral Lag Transition of 32 Fermi Gamma-Ray Bursts and Their Application on Constraining Lorentz Invariance Violation. Astrophys. J. 2022, 935, 79. [Google Scholar] [CrossRef]
- Rees, M.J.; Meszaros, P. Unsteady Outflow Models for Cosmological Gamma-Ray Bursts. Astrophys. J. Lett. 1994, 430, L93. [Google Scholar] [CrossRef]
- Zhang, B.; Zhang, B.B.; Virgili, F.J.; Liang, E.W.; Kann, D.A.; Wu, X.F.; Proga, D.; Lv, H.J.; Toma, K.; Mészáros, P.; et al. Discerning the Physical Origins of Cosmological Gamma-ray Bursts Based on Multiple Observational Criteria: The Cases of z = 6.7 GRB 080913, z = 8.2 GRB 090423, and Some Short/Hard GRBs. Astrophys. J. 2009, 703, 1696–1724. [Google Scholar] [CrossRef]
- Blinnikov, S.I.; Novikov, I.D.; Perevodchikova, T.V.; Polnarev, A.G. Exploding Neutron Stars in Close Binaries. Sov. Astron. Lett. 1984, 10, 177–179. [Google Scholar]
- Paczynski, B. Gamma-ray bursters at cosmological distances. Astrophys. J. Lett. 1986, 308, L43–L46. [Google Scholar] [CrossRef]
- Eichler, D.; Livio, M.; Piran, T.; Schramm, D.N. Nucleosynthesis, neutrino bursts and γ-rays from coalescing neutron stars. Nature 1989, 340, 126–128. [Google Scholar] [CrossRef]
- Paczynski, B. Cosmological gamma-ray bursts. Acta Astron. 1991, 41, 257–267. [Google Scholar]
- Mazets, E.P.; Golenetskii, S.V.; Ilinskii, V.N.; Panov, V.N.; Aptekar, R.L.; Gurian, I.A.; Proskura, M.P.; Sokolov, I.A.; Sokolova, Z.I.; Kharitonova, T.V. Catalog of cosmic gamma-ray bursts from the KONUS experiment data. Astrophys. Space Sci. 1981, 80, 3–83. [Google Scholar] [CrossRef]
- Kouveliotou, C.; Meegan, C.A.; Fishman, G.J.; Bhat, N.P.; Briggs, M.S.; Koshut, T.M.; Paciesas, W.S.; Pendleton, G.N. Identification of Two Classes of Gamma-Ray Bursts. Astrophys. J. Lett. 1993, 413, L101. [Google Scholar] [CrossRef]
- Woosley, S.E. Gamma-Ray Bursts from Stellar Mass Accretion Disks around Black Holes. Astrophys. J. 1993, 405, 273. [Google Scholar] [CrossRef]
- Paczyński, B. Are Gamma-Ray Bursts in Star-Forming Regions? Astrophys. J. Lett. 1998, 494, L45–L48. [Google Scholar] [CrossRef]
- MacFadyen, A.I.; Woosley, S.E. Collapsars: Gamma-Ray Bursts and Explosions in “Failed Supernovae”. Astrophys. J. 1999, 524, 262–289. [Google Scholar] [CrossRef]
- Woosley, S.E.; Bloom, J.S. The Supernova Gamma-Ray Burst Connection. Annu. Rev. Astron Astrophys. 2006, 44, 507–556. [Google Scholar] [CrossRef]
- Norris, J.P.; Share, G.H.; Messina, D.C.; Dennis, B.R.; Desai, U.D.; Cline, T.L.; Matz, S.M.; Chupp, E.L. Spectral Evolution of Pulse Structures in Gamma-Ray Bursts. Astrophys. J. 1986, 301, 213. [Google Scholar] [CrossRef]
- Norris, J.P.; Marani, G.F.; Bonnell, J.T. Connection between Energy-dependent Lags and Peak Luminosity in Gamma-Ray Bursts. Astrophys. J. 2000, 534, 248–257. [Google Scholar] [CrossRef]
- Band, D.L. Gamma-Ray Burst Spectral Evolution through Cross-Correlations of Discriminator Light Curves. Astrophys. J. 1997, 486, 928–937. [Google Scholar] [CrossRef]
- Chen, L.; Lou, Y.Q.; Wu, M.; Qu, J.L.; Jia, S.M.; Yang, X.J. Distribution of Spectral Lags in Gamma-Ray Bursts. Astrophys. J. 2005, 619, 983–993. [Google Scholar] [CrossRef]
- Zhang, Y.H.; Treves, A.; Celotti, A.; Chiappetti, L.; Fossati, G.; Ghisellini, G.; Maraschi, L.; Pian, E.; Tagliaferri, G.; Tavecchio, F. Four Years of Monitoring Blazar PKS 2155-304 with BeppoSAX: Probing the Dynamics of the Jet. Astrophys. J. 2002, 572, 762–785. [Google Scholar] [CrossRef]
- Cheng, L.X.; Ma, Y.Q.; Cheng, K.S.; Lu, T.; Zhou, Y.Y. The time delay of gamma-ray bursts in the soft energy band. Astron. Astrophys. 1995, 300, 746. [Google Scholar]
- Wu, B.; Fenimore, E. Spectral Lags of Gamma-Ray Bursts From Ginga and BATSE. Astrophys. J. Lett. 2000, 535, L29–L32. [Google Scholar] [CrossRef] [PubMed][Green Version]
- Norris, J.P.; Bonnell, J.T.; Kazanas, D.; Scargle, J.D.; Hakkila, J.; Giblin, T.W. Long-Lag, Wide-Pulse Gamma-Ray Bursts. Astrophys. J. 2005, 627, 324–345. [Google Scholar] [CrossRef]
- Hakkila, J.; Giblin, T.W. Quiescent Burst Evidence for Two Distinct Gamma-Ray Burst Emission Components. Astrophys. J. 2004, 610, 361–367. [Google Scholar] [CrossRef]
- Salmonson, J.D.; Galama, T.J. Discovery of a Tight Correlation between Pulse Lag/Luminosity and Jet-Break Times: A Connection between Gamma-Ray Bursts and Afterglow Properties. Astrophys. J. 2002, 569, 682–688. [Google Scholar] [CrossRef]
- Yi, T.; Liang, E.; Qin, Y.; Lu, R. On the spectral lags of the short gamma-ray bursts. Mon. Not. RAS 2006, 367, 1751–1756. [Google Scholar] [CrossRef]
- Ioka, K.; Nakamura, T. Peak Luminosity-Spectral Lag Relation Caused by the Viewing Angle of the Collimated Gamma-Ray Bursts. Astrophys. J. Lett. 2001, 554, L163–L167. [Google Scholar] [CrossRef]
- Shen, R.F.; Song, L.M.; Li, Z. Spectral lags and the energy dependence of pulse width in gamma-ray bursts: Contributions from the relativistic curvature effect. Mon. Not. RAS 2005, 362, 59–65. [Google Scholar] [CrossRef][Green Version]
- Lu, R.J.; Qin, Y.P.; Zhang, Z.B.; Yi, T.F. Spectral lags caused by the curvature effect of fireballs. Mon. Not. RAS 2006, 367, 275–289. [Google Scholar] [CrossRef][Green Version]
- Shenoy, A.; Sonbas, E.; Dermer, C.; Maximon, L.C.; Dhuga, K.S.; Bhat, P.N.; Hakkila, J.; Parke, W.C.; Maclachlan, G.A.; Eskandarian, A.; et al. Probing Curvature Effects in the Fermi GRB 110920. Astrophys. J. 2013, 778, 3. [Google Scholar] [CrossRef][Green Version]
- Uhm, Z.L.; Zhang, B. Toward an Understanding of GRB Prompt Emission Mechanism. I. The Origin of Spectral Lags. Astrophys. J. 2016, 825, 97. [Google Scholar] [CrossRef]
- Norris, J.P. Gamma-Ray Bursts: The Time Domain. Astrophys. Space Sci. 1995, 231, 95–102. [Google Scholar] [CrossRef]
- Ryde, F. Interpretations of gamma-ray burst spectroscopy. I. Analytical and numerical study of spectral lags. Astron. Astrophys. 2005, 429, 869–879. [Google Scholar] [CrossRef]
- Norris, J.P.; Bonnell, J.T. Short Gamma-Ray Bursts with Extended Emission. Astrophys. J. 2006, 643, 266–275. [Google Scholar] [CrossRef]
- Amati, L.; O’Brien, P.; Götz, D.; Bozzo, E.; Tenzer, C.; Frontera, F.; Ghirlanda, G.; Labanti, C.; Osborne, J.P.; Stratta, G.; et al. The THESEUS space mission concept: Science case, design and expected performances. Adv. Space Res. 2018, 62, 191–244. [Google Scholar] [CrossRef]
- Gehrels, N.; Chincarini, G.; Giommi, P.; Mason, K.O.; Nousek, J.A.; Wells, A.A.; White, N.E.; Barthelmy, S.D.; Burrows, D.N.; Cominsky, L.R.; et al. The Swift Gamma-Ray Burst Mission. Astrophys. J. 2004, 611, 1005–1020. [Google Scholar] [CrossRef]
- Meegan, C.; Lichti, G.; Bhat, P.N.; Bissaldi, E.; Briggs, M.S.; Connaughton, V.; Diehl, R.; Fishman, G.; Greiner, J.; Hoover, A.S.; et al. The Fermi Gamma-ray Burst Monitor. Astrophys. J. 2009, 702, 791–804. [Google Scholar] [CrossRef]
- Aptekar, R.L.; Frederiks, D.D.; Golenetskii, S.V.; Ilynskii, V.N.; Mazets, E.P.; Panov, V.N.; Sokolova, Z.J.; Terekhov, M.M.; Sheshin, L.O.; Cline, T.L.; et al. Konus-W Gamma-Ray Burst Experiment for the GGS Wind Spacecraft. Space Sci. Rev. 1995, 71, 265–272. [Google Scholar] [CrossRef]
- Tsvetkova, A.; Svinkin, D.; Karpov, S.; Frederiks, D. Key Space and Ground Facilities in GRB Science. Universe 2022, 8, 373. [Google Scholar] [CrossRef]
- Thompson, D.J.; Wilson-Hodge, C.A. Fermi Gamma-ray Space Telescope. arXiv 2022, arXiv:2210.12875. [Google Scholar]
- Atwood, W.B.; Abdo, A.A.; Ackermann, M.; Althouse, W.; Anderson, B.; Axelsson, M.; Baldini, L.; Ballet, J.; Band, D.L.; Barbiellini, G.; et al. The Large Area Telescope on the Fermi Gamma-Ray Space Telescope Mission. Astrophys. J. 2009, 697, 1071–1102. [Google Scholar] [CrossRef]
- Amelino-Camelia, G.; Smolin, L. Prospects for constraining quantum gravity dispersion with near term observations. Phys. Rev. D 2009, 80, 084017. [Google Scholar] [CrossRef]
- Jacob, U.; Piran, T. Lorentz-violation-induced arrival delays of cosmological particles. J. Cosmol. Astropart. Phys. 2008, 2008, 031. [Google Scholar] [CrossRef]
- Tsvetkova, A.; Frederiks, D.; Golenetskii, S.; Lysenko, A.; Oleynik, P.; Pal’shin, V.; Svinkin, D.; Ulanov, M.; Cline, T.; Hurley, K.; et al. The Konus-Wind Catalog of Gamma-Ray Bursts with Known Redshifts. I. Bursts Detected in the Triggered Mode. Astrophys. J. 2017, 850, 161. [Google Scholar] [CrossRef]
- Fenimore, E.E.; Madras, C.D.; Nayakshin, S. Expanding Relativistic Shells and Gamma-Ray Burst Temporal Structure. Astrophys. J. 1996, 473, 998. [Google Scholar] [CrossRef]
- Salmonson, J.D. On the Kinematic Origin of the Luminosity-Pulse Lag Relationship in Gamma-Ray Bursts. Astrophys. J. Lett. 2000, 544, L115–L117. [Google Scholar] [CrossRef]
- Kumar, P.; Panaitescu, A. Afterglow Emission from Naked Gamma-Ray Bursts. Astrophys. J. Lett. 2000, 541, L51–L54. [Google Scholar] [CrossRef]
- Qin, Y.P. Doppler effect of gamma-ray bursts in the fireball framework. Astron. Astrophys. 2002, 396, 705–713. [Google Scholar] [CrossRef]
- Qin, Y.P.; Zhang, Z.B.; Zhang, F.W.; Cui, X.H. Characteristics of Profiles of Gamma-Ray Burst Pulses Associated with the Doppler Effect of Fireballs. Astrophys. J. 2004, 617, 439–460. [Google Scholar] [CrossRef]
- Dermer, C.D. Curvature Effects in Gamma-Ray Burst Colliding Shells. Astrophys. J. 2004, 614, 284–292. [Google Scholar] [CrossRef]
- Li, Z. Prompt GeV Emission from Residual Collisions in Gamma-Ray Burst Outflows: Evidence from Fermi Observations of Grb 080916c. Astrophys. J. 2010, 709, 525–534. [Google Scholar] [CrossRef][Green Version]
- Zhang, B.B.; Zhang, B.; Liang, E.W.; Fan, Y.Z.; Wu, X.F.; Pe’er, A.; Maxham, A.; Gao, H.; Dong, Y.M. A Comprehensive Analysis of Fermi Gamma-ray Burst Data. I. Spectral Components and the Possible Physical Origins of LAT/GBM GRBs. Astrophys. J. 2011, 730, 141. [Google Scholar] [CrossRef]
- Toma, K.; Wu, X.F.; Mészáros, P. An Up-Scattered Cocoon Emission Model of Gamma-Ray Burst High-Energy Lags. Astrophys. J. 2009, 707, 1404–1416. [Google Scholar] [CrossRef]
- Tsvetkova, A.; Frederiks, D.; Svinkin, D.; Aptekar, R.; Cline, T.L.; Golenetskii, S.; Hurley, K.; Lysenko, A.; Ridnaia, A.; Ulanov, M. The Konus-Wind Catalog of Gamma-Ray Bursts with Known Redshifts. II. Waiting-Mode Bursts Simultaneously Detected by Swift/BAT. Astrophys. J. 2021, 908, 83. [Google Scholar] [CrossRef]
- Burderi, L.; Di Salvo, T.; Riggio, A.; Gambino, A.F.; Sanna, A.; Fiore, F.; Amarilli, F.; Amati, L.; Ambrosino, F.; Amelino-Camelia, G.; et al. GrailQuest and HERMES: Hunting for gravitational wave electromagnetic counterparts and probing space-time quantum foam. In Proceedings of the Society of Photo-Optical Instrumentation Engineers (SPIE) Conference Series, Online, 14–18 December 2020; Volume 11444, p. 114444. [Google Scholar] [CrossRef]
- Hopkins, A.M. On the Evolution of Star-forming Galaxies. Astrophys. J. 2004, 615, 209–221. [Google Scholar] [CrossRef]
- Bouwens, R.J.; Illingworth, G.D.; Labbe, I.; Oesch, P.A.; Trenti, M.; Carollo, C.M.; van Dokkum, P.G.; Franx, M.; Stiavelli, M.; González, V.; et al. A candidate redshift z ≈ 10 galaxy and rapid changes in that population at an age of 500 Myr. Nature 2011, 469, 504–507. [Google Scholar] [CrossRef]
- Hanish, D.J.; Meurer, G.R.; Ferguson, H.C.; Zwaan, M.A.; Heckman, T.M.; Staveley-Smith, L.; Bland-Hawthorn, J.; Kilborn, V.A.; Koribalski, B.S.; Putman, M.E.; et al. The Survey for Ionization in Neutral Gas Galaxies. II. The Star Formation Rate Density of the Local Universe. Astrophys. J. 2006, 649, 150–162. [Google Scholar] [CrossRef]
- Thompson, R.I.; Eisenstein, D.; Fan, X.; Dickinson, M.; Illingworth, G.; Kennicutt, R.C.J. Star Formation History of the Hubble Ultra Deep Field: Comparison with the Hubble Deep Field-North. Astrophys. J. 2006, 647, 787–798. [Google Scholar] [CrossRef]
- Li, L.X. Star formation history up to z = 7.4: Implications for gamma-ray bursts and cosmic metallicity evolution. Mon. Not. RAS 2008, 388, 1487–1500. [Google Scholar] [CrossRef]
- Atteia, J.L. A simple empirical redshift indicator for gamma-ray bursts. Astron. Astrophys. 2003, 407, L1–L4. [Google Scholar] [CrossRef]
- Amati, L.; Frontera, F.; Tavani, M.; in’t Zand, J.J.M.; Antonelli, A.; Costa, E.; Feroci, M.; Guidorzi, C.; Heise, J.; Masetti, N.; et al. Intrinsic spectra and energetics of BeppoSAX Gamma-Ray Bursts with known redshifts. Astron. Astrophys. 2002, 390, 81–89. [Google Scholar] [CrossRef]
- Reichart, D.E.; Lamb, D.Q.; Fenimore, E.E.; Ramirez-Ruiz, E.; Cline, T.L.; Hurley, K. A Possible Cepheid-like Luminosity Estimator for the Long Gamma-Ray Bursts. Astrophys. J. 2001, 552, 57–71. [Google Scholar] [CrossRef]
- Fenimore, E.E.; Ramirez-Ruiz, E. Redshifts For 220 BATSE Gamma-Ray Bursts Determined by Variability and the Cosmological Consequences. arXiv 2000, arXiv:astro–ph/0004176. [Google Scholar]
- Yonetoku, D.; Murakami, T.; Nakamura, T.; Yamazaki, R.; Inoue, A.K.; Ioka, K. Gamma-Ray Burst Formation Rate Inferred from the Spectral Peak Energy-Peak Luminosity Relation. Astrophys. J. 2004, 609, 935–951. [Google Scholar] [CrossRef]
- Ghisellini, G.; Haardt, F.; Campana, S.; Lazzati, D.; Covino, S. Redshift Determination in the X-ray Band of Gamma-Ray Bursts. Astrophys. J. 1999, 517, 168–173. [Google Scholar] [CrossRef][Green Version]
- D’Isanto, A.; Polsterer, K.L. Photometric redshift estimation via deep learning—Generalized and pre-classification-less, image based, fully probabilistic redshifts. Astron. Astrophys. 2018, 609, A111. [Google Scholar] [CrossRef]
- Dainotti, M.; Petrosian, V.; Bogdan, M.; Miasojedow, B.; Nagataki, S.; Hastie, T.; Nuyngen, Z.; Gilda, S.; Hernandez, X.; Krol, D. Gamma-ray Bursts as distance indicators through a machine learning approach. arXiv 2019, arXiv:1907.05074. [Google Scholar]
- Lee, J.; Shin, M.S. Estimation of Photometric Redshifts. I. Machine-learning Inference for Pan-STARRS1 Galaxies Using Neural Networks. Astron. J. 2021, 162, 297. [Google Scholar] [CrossRef]
- Momtaz, A.; Salimi, M.H.; Shakeri, S. Estimating the Photometric Redshifts of Galaxies and QSOs Using Regression Techniques in Machine Learning. arXiv 2022, arXiv:2201.04391. [Google Scholar]
- Gruber, D.; Greiner, J.; von Kienlin, A.; Rau, A.; Briggs, M.S.; Connaughton, V.; Goldstein, A.; van der Horst, A.J.; Nardini, M.; Bhat, P.N.; et al. Rest-frame properties of 32 gamma-ray bursts observed by the Fermi Gamma-ray Burst Monitor. Astron. Astrophys. 2011, 531, A20. [Google Scholar] [CrossRef][Green Version]
- Atteia, J.L.; Heussaff, V.; Dezalay, J.P.; Klotz, A.; Turpin, D.; Tsvetkova, A.E.; Frederiks, D.D.; Zolnierowski, Y.; Daigne, F.; Mochkovitch, R. The Maximum Isotropic Energy of Gamma-ray Bursts. Astrophys. J. 2017, 837, 119. [Google Scholar] [CrossRef]
- Minaev, P.Y.; Pozanenko, A.S. The Ep,I-Eiso correlation: Type I gamma-ray bursts and the new classification method. Mon. Not. RAS 2021, 492, 1919–1936, Erratum in Mon. Not. RAS 2021, 504, 926–927. [Google Scholar] [CrossRef]
- Lloyd-Ronning, N.M.; Fryer, C.L.; Ramirez-Ruiz, E. Cosmological Aspects of Gamma-Ray Bursts: Luminosity Evolution and an Estimate of the Star Formation Rate at High Redshifts. Astrophys. J. 2002, 574, 554–565. [Google Scholar] [CrossRef]
- Kocevski, D.; Liang, E. Quantifying the Luminosity Evolution in Gamma-Ray Bursts. Astrophys. J. 2006, 642, 371–381. [Google Scholar] [CrossRef]
- Ukwatta, T.N.; Woźniak, P.R.; Gehrels, N. Machine-z: Rapid machine-learned redshift indicator for Swift gamma-ray bursts. Mon. Not. RAS 2016, 458, 3821–3829. [Google Scholar] [CrossRef]
- Amati, L.; O’Brien, P.T.; Götz, D.; Bozzo, E.; Santangelo, A.; Tanvir, N.; Frontera, F.; Mereghetti, S.; Osborne, J.P.; Blain, A.; et al. The THESEUS space mission: Science goals, requirements and mission concept. Exp. Astron. 2021, 52, 183–218. [Google Scholar] [CrossRef]
- Ghirlanda, G.; Salvaterra, R.; Toffano, M.; Ronchini, S.; Guidorzi, C.; Oganesyan, G.; Ascenzi, S.; Bernardini, M.G.; Camisasca, A.E.; Mereghetti, S.; et al. Gamma ray burst studies with THESEUS. Exp. Astron. 2021, 52, 277–308. [Google Scholar] [CrossRef]



Disclaimer/Publisher’s Note: The statements, opinions and data contained in all publications are solely those of the individual author(s) and contributor(s) and not of MDPI and/or the editor(s). MDPI and/or the editor(s) disclaim responsibility for any injury to people or property resulting from any ideas, methods, instructions or products referred to in the content. |
© 2023 by the authors. Licensee MDPI, Basel, Switzerland. This article is an open access article distributed under the terms and conditions of the Creative Commons Attribution (CC BY) license (https://creativecommons.org/licenses/by/4.0/).
Share and Cite
Tsvetkova, A.; Burderi, L.; Riggio, A.; Sanna, A.; Di Salvo, T. A Concept of Assessment of LIV Tests with THESEUS Using the Gamma-Ray Bursts Detected by Fermi/GBM. Universe 2023, 9, 359. https://doi.org/10.3390/universe9080359
Tsvetkova A, Burderi L, Riggio A, Sanna A, Di Salvo T. A Concept of Assessment of LIV Tests with THESEUS Using the Gamma-Ray Bursts Detected by Fermi/GBM. Universe. 2023; 9(8):359. https://doi.org/10.3390/universe9080359
Chicago/Turabian StyleTsvetkova, Anastasia, Luciano Burderi, Alessandro Riggio, Andrea Sanna, and Tiziana Di Salvo. 2023. "A Concept of Assessment of LIV Tests with THESEUS Using the Gamma-Ray Bursts Detected by Fermi/GBM" Universe 9, no. 8: 359. https://doi.org/10.3390/universe9080359
APA StyleTsvetkova, A., Burderi, L., Riggio, A., Sanna, A., & Di Salvo, T. (2023). A Concept of Assessment of LIV Tests with THESEUS Using the Gamma-Ray Bursts Detected by Fermi/GBM. Universe, 9(8), 359. https://doi.org/10.3390/universe9080359

