Abstract
Strange stars ought to exist in the universe according to the strange quark matter hypothesis, which states that matter made of roughly equal numbers of up, down, and strange quarks could be the true ground state of baryonic matter rather than ordinary atomic nuclei. Theoretical models of strange quark matter, such as the standard MIT bag model, the density-dependent quark mass model, or the quasi-particle model, however, appear to be unable to reproduce some of the properties (masses, radii, and tidal deformabilities) of recently observed compact stars. This is different if alternative gravity theory (e.g., non-Newtonian gravity) or dark matter (e.g., mirror dark matter) are considered, which resolve these issues. The possible existence of strange stars could thus provide a clue to new physics, as discussed in this review.
1. Introduction
The equation of state (EOS) of the dense matter in compact stars (neutron stars, strange stars) is still a mystery today [1]. The observations of the global properties of compact stars, such as masses and radii, have the potential to unravel this mystery [2,3]. In the past few years, tight constraints on the EOS of dense matter were obtained from the tidal deformability derived from the LIGO/Virgo observation of the binary neutron star merger GW170817 and the precise measurements of the mass and radius of compact stars with NICER (Neutron star Interior Composition Explorer) [4,5,6,7,8,9,10,11,12,13].
Aside from neutron stars (NSs), strange stars (SSs) could also exist in the universe [14,15,16,17,18,19], being made of strange quark matter (SQM) consisting of up, down, and strange quarks. This is a consequence of the hypothesis proposed by Itoh [20], Bodmer [21], Witten [22], and Terazawa [23,24] which states that SQM could be the true ground state of baryonic matter rather than conventional atomic nuclei. The galaxy is likely to be contaminated by strange quark nuggets if SQM is the true ground state, and NSs could be converted to SSs by these strange quark nuggets [18,25,26]. Therefore, many compact stars (neutron stars) could actually be SSs [19].
Many researchers have attempted to identify SSs through observations of compact stars (see [19,27] and references therein). For example, Di Clemente et al. [28] and Horvath et al. [29] suggest that the central compact object within the supernova remnant HESS J1731-347 could be an SS rather than an NS because of its small mass (a mass of the order or smaller than one solar mass) [30]. This is because the analysis of various types of supernova explosions indicates that it is not possible to produce an NS with a mass smaller than about [31], but it is possible to produce an SS with a small mass. In fact, the mass and radius observations of compact stars have long been used to identify SSs, and some SS candidates have been reported, such as compact stars in the X-ray sources SAX J1808.4-3658 [32], 4U 1728-34 [33], RX J1856.5-3754 [34,35], and 4U 1746-37 [36], as well as the radio pulsar PSR B0943+10 [37].
Besides the possible absolute stability of SQM and the existence of SSs (which is the case for this review), there are other possibilities that have been widely investigated:
- If SQM is not the true ground state of baryonic matter but is only a metastable state, hybrid stars (NSs consisting of an SQM core or a hadron–quark mixed phase) might exist (e.g., [38,39,40]).
- There is the possibility that metastable hadronic stars could coexist with SSs, which is called the two-families scenario (e.g., [41,42,43,44,45]).
- Compact stars (neutron stars) might be strangeon stars made of strangeons (coined by combining the words “strange” and “nucleon”) (e.g., [46,47,48]).
- Instead of SSs, up–down quark stars might exist because quark matter made of up and down quarks could be more stable than ordinary nuclear matter and SQM in some models (e.g., [49,50,51,52]).
The parameters of the SQM model could be constrained by the observations of compact stars [53,54,55,56,57,58,59,60,61,62,63]. For the MIT bag model, Weissenborn et al. [53] found that the parameters of the model could be constrained if one demands that the maximum mass of SSs must be greater than the mass of PSR J1614-2230 ( [64]). The parameters of the model were further constrained by Zhou et al. [56] using both the mass of PSR J0348+0432 ( [65]) and the tidal deformability of GW170817 [66]. It was found that SSs could exist in certain ranges of the values of the parameters of the SQM model. However, [66] [ is the dimensionless tidal deformability for a star] was used in this paper, which was updated to [we will use in this review] [67]. Moreover, the largest observed mass of pulsars was updated to (PSR J0740+6620) in 2020 [68]. With these new data, Yang et al. [57] found that the existence of SSs seems can be ruled out if the standard MIT bag model of SQM is used. Note that the above conclusion remains correct [58] although the mass of PSR J0740+6620 was updated to [69]. In addition to the standard MIT bag model, SSs are ruled out by the observations of compact stars for the density-dependent quark mass model [59] and the quasi-particle model [60].
However, Yang et al. [57] found that SSs cannot be ruled out if non-Newtonian gravity effects are considered.1 Moreover, aside from the non-Newtonian gravity effects, Yang et al. [58] found that the observations of compact stars could be satisfied if a mirror-dark-matter (MDM) core exists in some SSs.
Non-Newtonian gravity is one of the alternative theories of gravity beyond general relativity (GR). MDM is one of the possible candidates of dark matter (DM) theory, which is beyond the standard model (SM) of particles. Both the alternative theory of gravity and DM constitute the new physics that is being vividly discussed today.
Compact stars (NSs or SSs) are dense objects with strong gravity. Although GR agrees well with the experiments in the solar system, it is not fully tested in the strong-field domain [6,70]. Thus, compact stars are ideal places to test gravity theories. The properties of compact stars in the framework of the alternative theory of gravity have been studied extensively (e.g., [71,72,73,74,75,76,77,78,79,80,81,82,83,84,85,86,87,88,89,90,91,92,93,94,95,96,97,98,99,100,101,102,103,104]). For recent reviews, see [6,105,106].
The nature of DM is still unknown today. If DM is self-interacting (but has a negligible annihilation rate) [107,108,109], compact stars might contain a DM core (or a DM halo), which will impact the global properties of the stars. Additionally, the observations of compact stars might help us to reveal the nature of DM. The properties of compact stars with a DM core (or a DM halo) have been widely studied (e.g., [110,111,112,113,114,115,116,117,118,119,120,121,122,123,124,125,126,127,128,129,130,131,132,133,134,135,136,137,138,139,140,141,142,143]), and recent reviews can be seen in the introductory part of [125].
This review is organized as follows: In Section 2, we briefly review the EOS of SQM employed in this paper (i.e., the standard MIT bag model). In Section 3, we study the structure and the dimensionless tidal deformability of SSs without the consideration of the new physics and show that in this case, SSs can be ruled out via the observations of compact stars. Then, SSs with the non-Newtonian gravity effects are outlined in Section 4, and SSs with an MDM core are discussed in Section 5. Finally, the conclusions are given in Section 6.
2. EOS of SQM
In this review, we use the standard MIT bag model for SQM [14,15,16,19]. The mass of u and d quarks is taken to be zero, while the mass of s quarks is nonzero (both MeV and MeV are considered in this review [144].2 The first-order perturbative corrections in (the strong interaction coupling constant) are considered.
The thermodynamic potentials for each species of the quarks and the electrons are given by [16,57,58]
where , is a renormalization constant which is of the order of the chemical potential of s quarks. In this review, we take MeV.
The energy density and the pressure are given by
where B is the bag constant, () are the chemical potentials, and are the number densities as follows:
To calculate and , the condition of the chemical equilibrium
and electric charge neutrality condition
should be employed.
3. SSs without the Consideration of the New Physics
3.1. The Global Properties of SSs
In the following review, geometrized units are used.
The structure of SSs can be calculated by solving the Tolman–Oppenheimer–Volkoff (TOV) equations (which are for static stars and are derived in the framework of GR) [145,146]:
For a given EOS and for a given pressure at the center of the star, these equations can be solved using the following boundary conditions: , .
The definition of the dimensionless tidal deformability is , where is the tidal deformability parameter.3 Considering that ( is the dimensionless tidal Love number and R is the radius) [147,148,149,150], we can obtain
where () is the compactness of the star.
One can calculate the tidal Love number using the following expression [3]:
where
Note that in Equations (14) and (15), is not equal to the value of at the surface of the star []. In fact, , because the energy density is nonzero inside the surface of SSs [151]. The quantity satisfies
where
One can solve Equation (16) together with the TOV equations for a given EOS, and the boundary condition is .
The mass–radius relation of SSs is shown in Figure 1, which is calculated by solving the TOV equations using the standard MIT bag model. All the parameter sets of [(MeV), ] can satisfy both the “2-flavor line” and “3-flavor line” constraints (see Figure 2). From Figure 1, we find that for the fixed value of , both the maximum mass of SSs and the radius of a 1.4 SS increase significantly with the decreasing of . Meanwhile, for the fixed value of , these properties change slightly for different values of (see the green line and the black dashed line in Figure 1).
Figure 1.
The mass–radius relation of SSs for MeV. The black lines are for (the solid one is for MeV, and the dashed one is for MeV), the red lines are for (the solid one is for MeV, and the dashed one is for MeV), and the green line is for the data set (, MeV). The red data point corresponds to the radius of a compact star obtained from the observations of GW170817 [152]. The blue and green regions correspond to the mass and radius of PSR J0030+0451 obtained from NICER data, which are given by Riley et al. [153] and Miller et al. [154], respectively. The cyan and pink regions are for PSR J0740+6620, where the mass is from [69], and the radius is obtained from the NICER and XMM-Newton data by Riley et al. [155] and Miller et al. [156], respectively. The gray region corresponds to the central compact object within the supernova remnant HESS J1731-347 [30].
Figure 2.
Constraints on the parameters of the standard MIT model for MeV. The gray solid and dashed lines are for and , respectively. The red solid and dashed lines are for and , respectively. The magenta dots in (b) correspond to (125.1, 0.7) and (137.3, 0.7), which will be used later in Figure 8 and Figure 9. Image from [58]. Data from Riley et al. [153] and Miller et al. [154].
As shown in Figure 1, the red solid line, the green line, and the black dashed line can comply with all the observed data. However, this result turns out to be not true as we will show later in Section 3.2. The reason for this is that the data of GW170817 shown in this figure is from [152], which is not based on the study of SSs or the standard MIT bag model.
3.2. Parameter Space of SQM
The allowed parameter space of the standard MIT model can be calculated with the following constraints [53,54,55,56,57,58,59,60,61,62,157]:
First, pure SSs can exist only if SQM is the true ground state of baryonic matter, which means that the energy per baryon of SQM must be smaller than that of Fe ( MeV). It is common to compare the energy per baryon of SQM to Fe although the latter is only the third lowest after Ni and Fe. The parameter regions that satisfy this constraint are the areas below the 3-flavor line in Figure 2.
The second constraint follows that the energy per baryon of the nonstrange quark matter (quark matter made of u and d quarks) in bulk must be larger than 934 MeV (the additional 4 MeV comes from the correction of the surface effects [14,18,53,56]). This constraint ensures that atomic nuclei do not dissolve into their constituent quarks. The parameter regions that satisfy this constraint are the areas above the 2-flavor line in Figure 2. Here, a small value of the surface tension [ = (70 MeV) ] is employed [14]. However, the exact surface tension value is still uncertain, and it could be much larger [158,159,160,161,162,163,164]. Therefore, the critical value of 934 MeV could be smaller, and the 2-flavor line in Figure 2 will shift downward, leading to a larger allowed parameter region.
The two constraints mentioned above must be fulfilled, as we discuss other constraints in the following sections. In other words, we are only interested in the areas between the 3-flavor line and the 2-flavor line.
The third constraint is [ is the dimensionless tidal deformability of a star], which follows from the observation of GW170817 [] [67]. This constraint leads to the gray-shadowed areas in Figure 2.
The fourth constraint is , where is the maximum mass of SSs derived from the TOV equations, and is the mass of PSR J0740+6620 [69].4 The parameter regions that satisfy this constraint are the areas below the red solid lines in Figure 2. Since the mass of PSR J0740+6620 was first reported to be [68], we also use in Section 4.2 following our previous papers [57,59,62]. The red dashed lines for are also shown in Figure 2. As can be seen from Figure 2, both for and , one can reach the same conclusion that SSs can be ruled out due to the observations of PSR J0740+6620 and GW170817.
The last constraint is from the observed mass and radius of PSR J0030+0451. Two independent data are derived from the NICER observations, namely, and km by Riley et al. [153], and and km by Miller et al. [154]. These data have been translated into the – space and are shown in Figure 2 (see the blue lines). The cyan-shadowed areas in Figure 2 correspond to the parameter space allowed by this constraint.
In fact, as can be seen from Figure 2, the cyan-shadowed areas can satisfy not only the constraint from the observation of PSR J0030+0451 but also the constraint from the observation of PSR J0740+6620. We find that the cyan-shadowed area and the gray-shadowed area (remember that the gray-shadowed area corresponds to the parameter space allowed by the tidal deformability of GW170817) do not overlap, which means that for the standard MIT bag model, SSs can be ruled out via the observations concerning compact stars.
Here, we want to stress that, in addition to the standard MIT bag model, SSs can be ruled out by the observations of compact stars for the density-dependent quark mass model [59] and the quasi-particle model [60] if one does not consider alternative theories of gravity or the existence of a DM core in the stars.
4. SSs in the Framework of Non-Newtonian Gravity
The inverse-square law of gravity is expected to be modified because of the geometrical effect of the extra space–time dimensions predicted by string theory, which tries to unify gravity with the other three fundamental forces [167,168,169]. Non-Newtonian gravity also arises due the exchange of weakly interacting bosons in the super-symmetric extension of SM [170,171]. Many efforts have been made to constrain the deviations from Newton’s gravity; see [172] for reviews.
The effects of non-Newtonian gravity on the properties of compact stars have been widely investigated [57,59,62,71,72,173,174,175,176,177,178,179]. The inclusion of non-Newtonian gravity leads to stiffer EOSs, which can support higher maximum masses of compact stars. Thus, some soft EOS of dense nuclear matter cannot be ruled out by the observed massive pulsars under non-Newtonian gravity effects [72].
4.1. EOS of SQM in the Framework of Non-Newtonian Gravity
The deviation from the inverse-square law of gravity is often characterized by a Yukawa potential [180].5 Considering the non-Newtonian gravity effects, the potential energy describing the interaction between the two objects with masses and is
where is the Newtonian potential, is the Yukawa correction, G is the gravitational constant, is the dimensionless strength parameter of the Yukawa force, and is the length scale of the Yukawa force.
In the boson exchange picture, the range of the Yukawa force is
where is the mass of the bosons exchanged between and . Meanwhile, the strength parameter is
where the ± sign refers to scalar/vector bosons.6
As will be shown later in Section 4.2, SSs can exist for 1.37 GeV 7.28 GeV. This theoretical region is compared with the constraints from terrestrial experiments in Figure 3. One can see that the theoretical region is allowed by many experiments.
Figure 3.
Theoretical bounds on in comparison with constraints on the strength parameter and the range of the Yukawa force from different experiments: curves 1 and 2 are from [181]; 3 and 4 are from [182]; 5 and 6 are from [183]; and 7, 8, 9 are from [184,185,186], respectively. The image is from [57].
A neutral weakly coupled spin-1 gauge U-boson is suggested to be a candidate for the exchanged boson. This U-boson is proposed in the super-symmetric extension of SM [170,171], and many terrestrial experiments have been conducted to search for it [187]. It has also been found that this U-boson can help to explain the 511 keV -ray observation from the galactic bulge [188,189,190].
The extra energy density results from the Yukawa correction of Equation (18) is [57,178,191]
where and are the densities, , and V is the normalization volume. The prefactor of three appears before and because the baryon number of quarks is . The extra pressure resulting from the Yukawa correction is
Assuming that the boson mass is independent of the density, one can obtain the following:
Thus, the total energy density and pressure of SQM are
where and are given by Equations (5) and (6), respectively.
When we employ the EOS of SQM described by , the Yukawa correction is considered as a part of the matter system in GR:
As a result, the effects of non-Newtonian gravity on compact stars can be studied by solving the TOV equations [71,72,192].
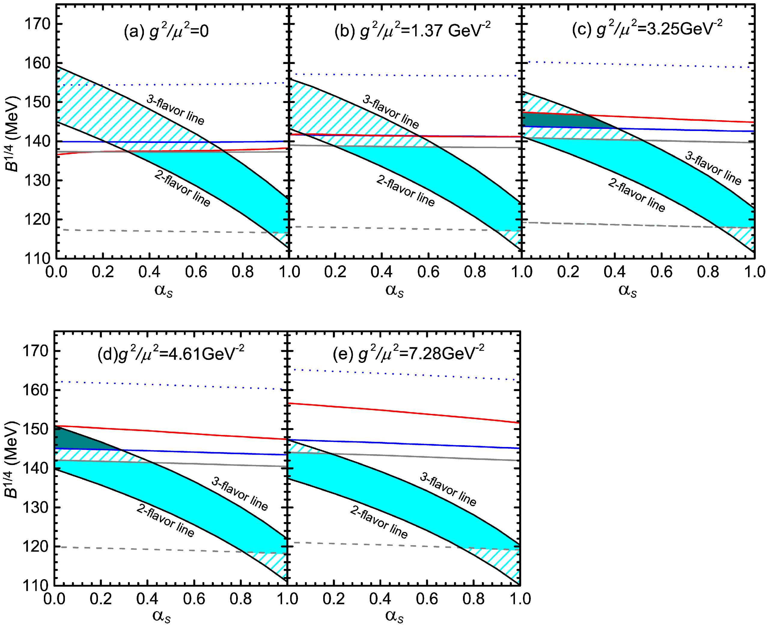
4.2. The Allowed Parameter Space of SQM in the Framework of Non-Newtonian Gravity
Considering the non-Newtonian gravity effects, the mass–radius relation of SSs is shown in Figure 4. Both parameter sets of [(MeV), ] used in Figure 4 can satisfy the “2-flavor line” and “3-flavor line” constraint as will be shown in Figure 5. One can find that the inclusion of the non-Newtonian gravity leads to a larger maximum mass of SSs.
Figure 4.
The mass–radius relation of SSs for MeV. The black and cyan lines are for parameter sets of [(MeV), ] with (142, 0.2) and (146, 0), respectively. For each color, the lines are for , 1, 3, 5, and 7 GeV from left to right. The observational data are the same as those shown in Figure 1 for GW171807 and PSR J0030+0451. The image is from [57]. Data from Capano et al. [152], Riley et al. [153] and Miller et al. [154].
Figure 5.
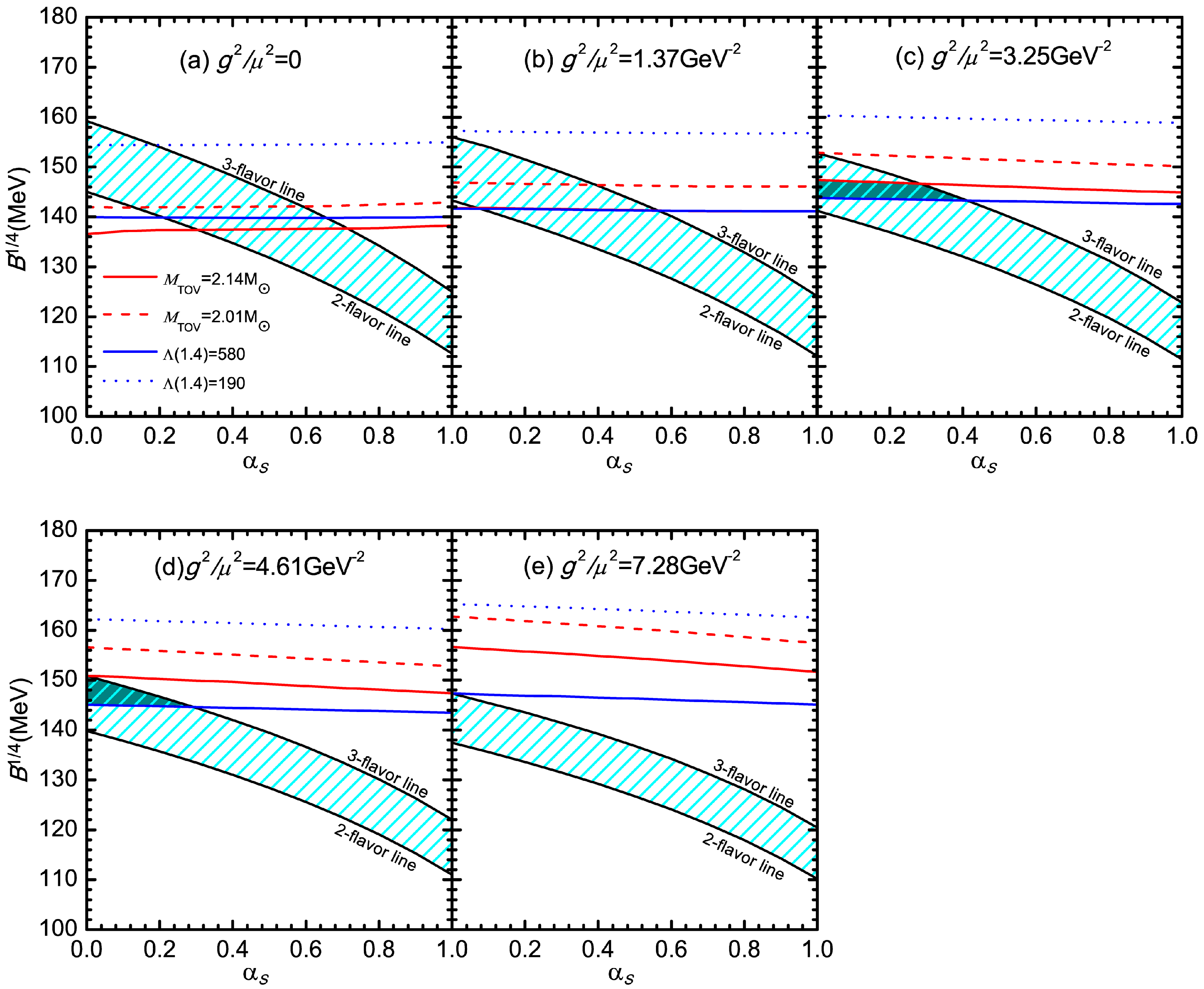
Constraints on the parameters of the standard MIT model for MeV and different values of . The image is from [57].
By imposing the first four constraints presented in Section 3.2 (i.e., the last constraint from the observation of PSR J0030+0451 is not considered here), the allowed parameter space of the standard MIT model is restricted to the dark cyan-shadowed regions shown in Figure 5c,d, which correspond to GeV and 4.61 GeV, respectively.
As can be seen from Figure 5a, the constraints and cannot be satisfied simultaneously for the case of . However, the gap between the line and the line becomes smaller as the value of increases, and finally these two lines almost completely overlap with each other when is as large as 1.37 GeV [see Figure 5b], which indicates that all four constraints can be satisfied. The allowed parameter space continues to exist as the value of increases until it vanishes for GeV [see Figure 5e], where the “2-flavor line” and “3-flavor line” constraint cannot be satisfied simultaneously. Therefore, we have the conclusion that SSs can exist for 1.37 GeV 7.28 GeV.
Moreover, one can find that for the existence of SSs, must be larger than 141.3 MeV, and must be smaller than 0.56 [see Figure 5b, where the line (the line) meets the 3-flavor line at the point (141.3, 0.56)], while the upper limit of is 150.9 MeV [see Figure 5d, where the line cuts across the 3-flavor line at the point (150.9, 0)] [57].
We also find that the largest allowed maximum mass of SSs is , corresponding to the parameter set GeV, and MeV. Thus, the GW190814’s secondary component with mass [193] could not be a static SS even considering the non-Newtonian effect. However, it could be a rotating SS [194].
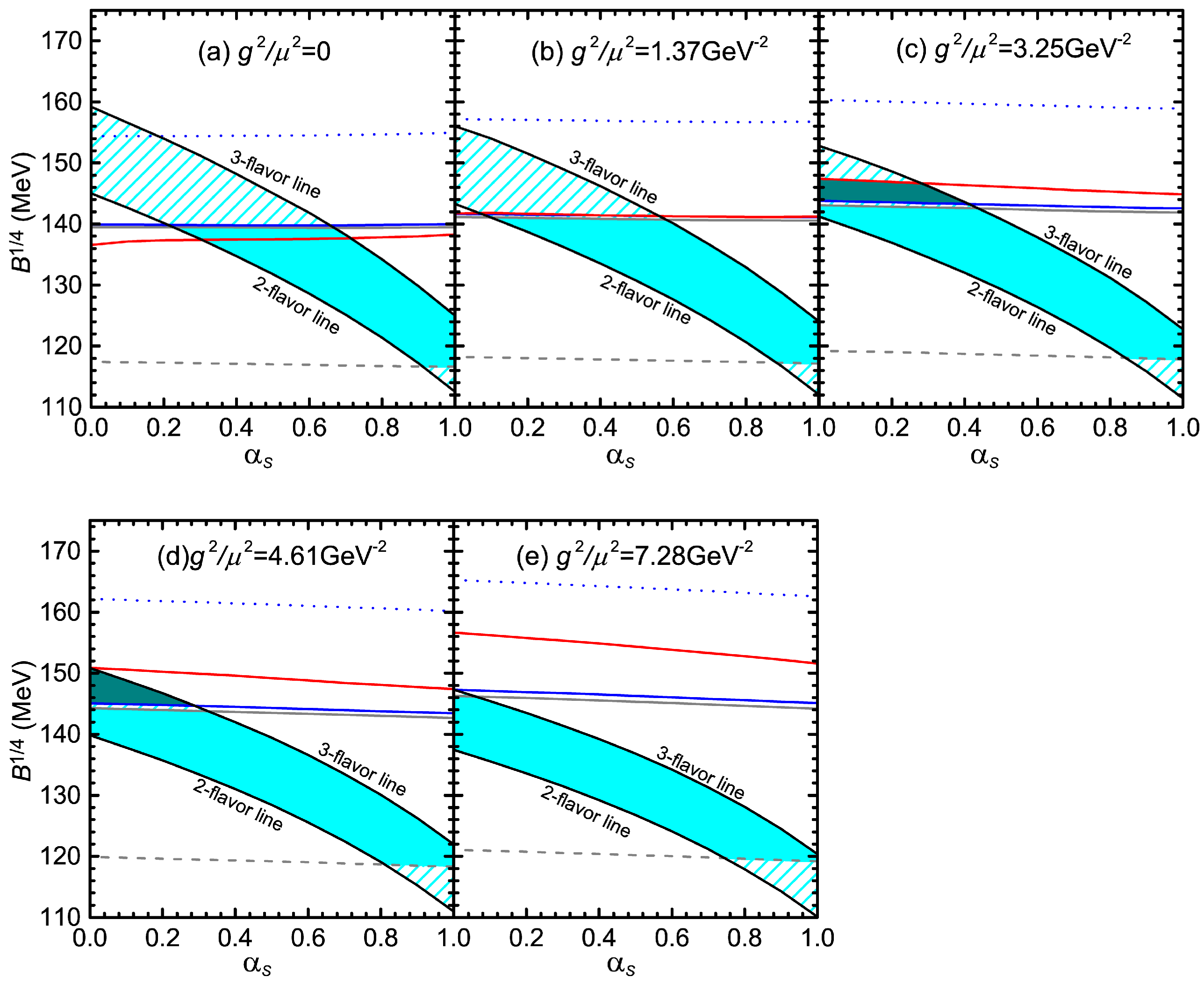
Now, we consider all the five constraints presented in Section 3.2. From Figure 6 and Figure 7, one sees that the gap between the blue solid line and the gray solid line is almost unchanged as the value of increases. As a result, the dark cyan-shadowed regions and the cyan-shadowed regions cannot overlap for all the choices of the value of , which means that for the standard MIT model, SSs are ruled out by the observations of compact stars even if the effects of non-Newtonian gravity are considered.
Figure 6.
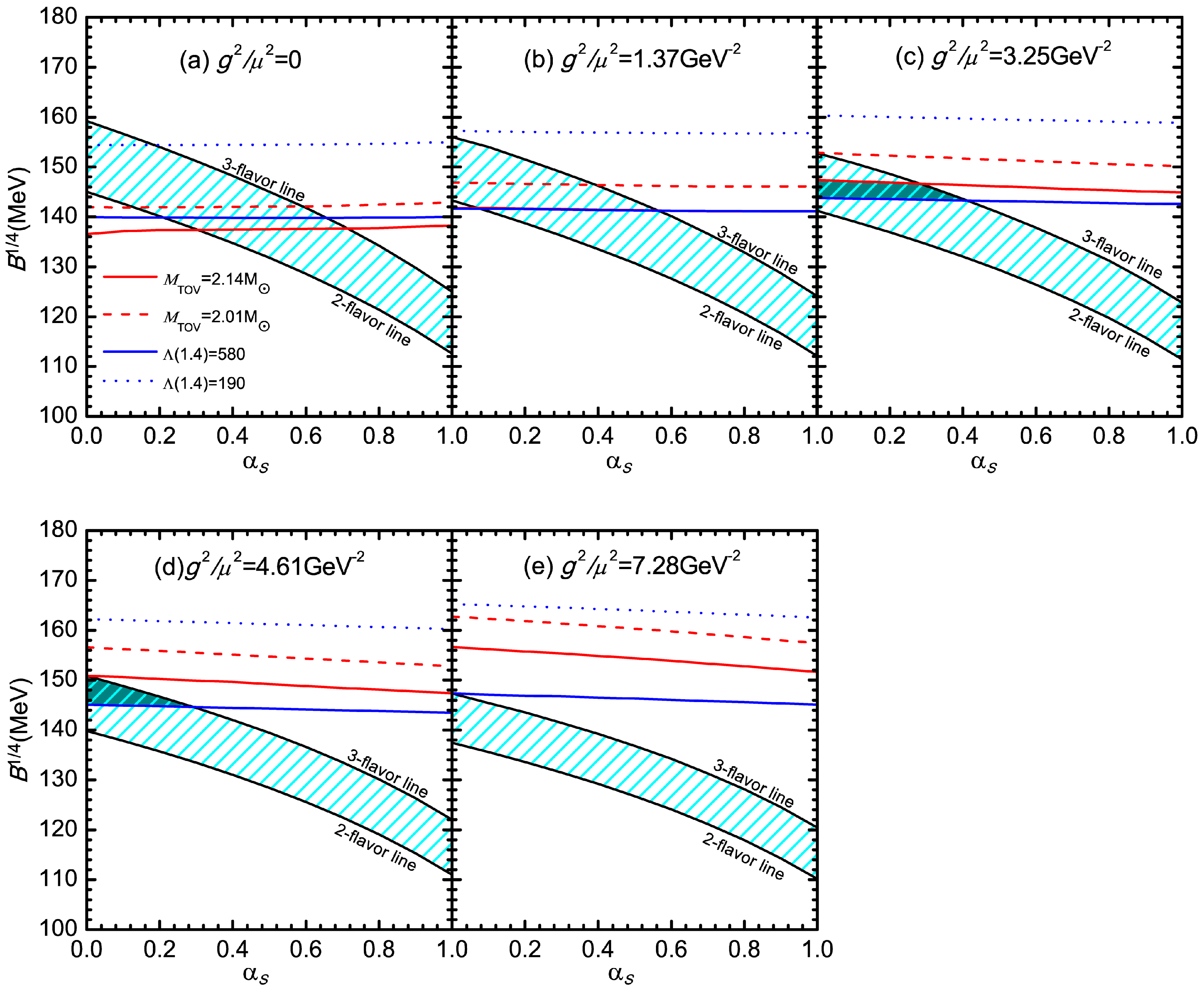
Constraints on the parameters of the standard MIT model for MeV. The red and blue lines are the same as those in Figure 5 except that the dashed red line is not shown in this figure. The dark cyan-shadowed regions are also the same as those in Figure 5, which are restricted by the first four constraints presented in Section 3.2. The last constraint (i.e., the constraint from the observation of PSR J0030+0451) leads to the cyan-shaded region. This figure is for the case of Riley et al. [153], where the gray solid and dashed lines are for the [), R (km)] sets (1.49, 11.52) and (1.18, 13.85), respectively. The image is from [62].
Figure 7.
The same as Figure 6, but for the case of Miller et al. [154], where the gray solid and dashed lines are for the [), R (km)] sets (1.59, 11.96) and (1.30, 14.26), respectively. The image is from [62].
5. SSs with a Mirror-Dark-Matter Core
As a consequence of the parity symmetric extension of SM of particles, mirror dark matter (MDM) is regarded as a type of DM candidate [195]. The idea of MDM was first realized by Lee and Yang in 1956 when the weak interaction was found to violate parity [196]. These authors suggested that the existence of a set of unknown particles could restore the symmetry. There are many reviews about MDM [197,198,199,200,201].
The properties of MDM-admixed compact stars have been widely investigated [58,110,111,121,122,123,124,136]. It was found that the existence of an MDM core in compact stars leads to a softer EOS and that the mass and radius observations of compact stars might serve as a signature for the existence of an MDM core in NSs [111].
5.1. EOS of MDM
In the minimal parity-symmetric extension of SM [110,111,195,202], the ordinary matter and MDM are described by the same lagrangians, and the only difference between them is that ordinary particles have left-handed interactions while mirror particles have right-handed interactions. Therefore, the microphysics of MDM and ordinary matter are exactly the same, which means that they have the same EOS. In this review, MDM is the mirror strange quark matter made of mirror up (), mirror down (), and mirror strange () quarks and mirror electrons (), which has the same EOS as that of SQM.
MDM and ordinary matter could interact directly. For example, photon–mirror photon kinetic mixing has been studied, and its strength is of order [123,201]. This interaction is too weak to have an apparent effect on the structure of compact stars [110]. The interactions between quarks and mirror quarks have not been studied thus far. Meanwhile, it is reasonable to suppose that these interactions are weak and their effects on the structure of SSs could be ignored.7
5.2. The Properties of SSs with an MDM Core
For SSs with an MDM core, although the SQM and MDM components do not interact directly, they can interact with each other through the gravitational interaction. Thus, a two-fluid formalism is employed to study the properties of SSs with an MDM core.
The TOV equations in the two-fluid formalism are given by (e.g., [110,111,123,128])
with
where the subscript Q and M are for SQM and MDM, respectively.
In the two-fluid formalism, the dimensionless tidal deformability () can be calculated in similar fashion to that described in Section 3.1, except that Equation (17) should be changed into (e.g., [123,128])
To obtain , Equation (16) should be calculated together with Equations (27)–(29) for a given SQM and MDM pressure at the center of the star under the following boundary conditions: , , , and (R is the radius of SSs, and is the radius of the MDM core).
Besides the energy density jump at the surface of SS, another energy density jump exists at the surface of the MDM core. As a result, an additional term should be added to .
Obviously, the properties of SSs with an MDM core change with the mass fraction of MDM (), where (M is the total mass of the star, and is the mass of the MDM core).
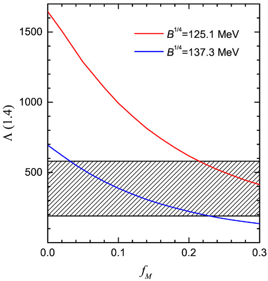
Figure 8 shows the mass–radius relation of SSs for different values of . Two sets of SQM parameters [(MeV), ] [(125.1, 0.7) and (137.3, 0.7)] are chosen, which are shown by the magenta dots in Figure 2b. From Figure 8, one sees that for fixed values of and , the maximum mass of SSs decreases as the value of increases. In other words, the existence of an MDM core leads to a softer EOS.
Figure 8.
The mass–radius relation of SSs for MeV and . The black and red lines are for MeV and MeV, respectively. For each color, the lines are for , 10%, 20%, and 30% from right to left. The observational data are the same as those shown in Figure 1 for PSR J0030+0451 and PSR J0740+6620. The image is from [58]. Data from Riley et al. [153,155] and Miller et al. [154,156].
Figure 8.
The mass–radius relation of SSs for MeV and . The black and red lines are for MeV and MeV, respectively. For each color, the lines are for , 10%, 20%, and 30% from right to left. The observational data are the same as those shown in Figure 1 for PSR J0030+0451 and PSR J0740+6620. The image is from [58]. Data from Riley et al. [153,155] and Miller et al. [154,156].

Figure 9 shows the relation between and . One can see that for a given value of , the value of increases with the decrease of . It also can be seen from Figure 9 that decreases as the value of increases. For both parameter sets considered in Figure 9, SSs cannot agree with the observation of GW170817 if is not large enough. The critical values of are 3.1% and 21.4% for MeV and MeV, respectively.
Figure 9.
Relation between and for MeV. The shaded region corresponds to the observation of GW170817 []. The image is from Ref. [58].
Figure 9.
Relation between and for MeV. The shaded region corresponds to the observation of GW170817 []. The image is from Ref. [58].

5.3. The Allowed Parameter Space of SQM for SSs with an MDM Core
The allowed parameter space of the standard MIT model is investigated by imposing all the five constraints presented in Section 3.2, and the result is shown in Figure 10. Note that the cyan-shadowed areas in Figure 10 are for the case of SSs without an MDM core, which could fulfill the constraints from the observations of PSR J0740+6620 and PSR J0030+0451 (see Section 3.2). From Figure 10, one sees that the parameter space area which satisfies the tidal deformability observation of GW170817 (the area above the line) shifts downward as the value of increases and that area begins to overlap with the cyan-shadowed area for % for the case of Riley et al. [153] (Figure 10a) and % for the case of Miller et al. [154] (Figure 10b).
Figure 10.
Constraints on the parameters of the standard MIT model for MeV. The cyan-shadowed areas are the same as those in Figure 2. The gray lines are for with , 5%, 10%, and 20% from top to bottom. The red lines also correspond to , which are for % in (a) and for % in (b). The image is from [58]. Data from Riley et al. [153] and Miller et al. [154].
Thus, we have the conclusion that assuming PSR J0740+6620 and PSR J0030+0451 do not have an MDM core, all the observations of compact stars could be satisfied if SSs in GW170817 have a large enough MDM core (% for Riley et al. [153] and % for Miller et al. [154]). However, PSR J0740+6620 or PSR J0030+0451 might also have an MDM core. In that case, one can easily deduce that SSs in GW170817 should have a larger MDM core in order to satisfy all the observations of compact stars.
6. Conclusions
In this review, it is shown that for the standard MIT bag model, SSs are ruled out by the observations from GW170817 and PSR J0740+6620 (and PSR J0030+0451). In fact, SSs are also ruled out for the density-dependent quark mass model [59] and the quasi-particle model [60]. However, the tension between the theory of SSs and the observations of compact stars could be resolved if alternative gravity (i.e., non-Newtonian gravity) or dark matter (i.e., mirror dark matter) is considered.
We find that the non-Newtonian gravity effects of SSs could help to relieve the tension between the observations of the tidal deformability of GW170817 and the mass of PSR J0740+6620. However, if the constraints from the mass and radius of PSR J0030+0451 are added, the existence of SSs is still ruled out even if the effects of non-Newtonian gravity are considered. However, the possibility of the existence of SSs should be investigated under the framework of other alternative gravity theories [6,105,106].
In the scenario of SSs with an MDM core, it is found that to explain all the observations of compact stars, an MDM core should exist in the SSs of GW170817. Moreover, although this result is derived for the case of MDM, it is qualitatively valid for other kinds of DM that could exist inside SSs. As a result, one arrives at the conclusion that for the standard MIT bag model, the current observations of compact stars could serve as evidence for the existence of a DM core inside SSs.
One obvious difference between the non-Newtonian scenario and the MDM scenario is that the equilibrium sequence of SSs with non-Newtonian gravity effects is a single line, while the equilibrium sequence of SSs with an MDM core is nonunique and is a fan-shaped region as shown in Figure 11. Since the value of for each SS is different (which depends on its evolutionary history) [111], SSs could be located everywhere on that region. Given further mass and radius observations of compact stars in the near future, one will be able to distinguish between these two scenarios.
Figure 11.
The mass–radius relation of SSs for MeV and MeV. The rightmost line is for SSs without an MDM core (i.e., ). Other lines are for SSs with different , namely, from % to 50% with step 2% (From right to left. For %, the MDM core has the same radius as that of the SS with an ordinary SQM). The observational data are the same as those shown in Figure 1.
From the aspect of the study of SQM, this review is limited to the standard MIT bag model, the density-dependent quark mass model [61,208,209,210,211,212], and the quasi-particle model [213,214,215,216,217]. However, similar investigations should be carried out in the future that are based on other phenomenological SQM models such as the Nambu–Jona–Lasinio (NJL) model [218,219,220,221,222], the perturbative QCD approach [223,224,225], and the models considering isospin interaction [226,227,228,229]. Moreover, SQM is supposed to be in a color superconducting state [230,231,232,233,234,235], and the quarks might pair in different patterns such as CFL (color-flavor locked phase) [236,237,238] and 2SC (two-flavor superconducting) [230,231]. Therefore, similar investigations should also be carried out for color superconducting SQM. Note that recently SSs made of CFL SQM were employed to explain the large mass of the GW190814’s secondary component () [44,239,240,241].
In summary, alternative gravity theory and DM could play a significant role in the study of SSs and the possibility of the existence of SSs could provide a clue to new physics. More observations of compact stars are expected in the near future using the gravitational wave detectors aLIGO, aVirgo, Kagra, the Einstein Telescope (ET), and the Cosmic Explorer (CE); the X-ray missions eXTP and STROBE-X; and the radio observatory SKA. With these new data, we might finally confirm (or rule out) the existence of SSs (In this review, we mainly discuss SSs by considering the bulk properties of compact stars such as the mass, radius, and tidal deformability. However, the study of SSs is far beyond these issues. For example, some special phenomena associated with compact stars might also help to reveal their nature. In fact, the neutrinos emitted during the combustion of an NS into an SS could be possibly directly detected [242]. Some explosions, especially fast radio bursts, may point to the existence of SSs [243], and it has also been suggested identify strange quark objects may be identified via a search for close-in exoplanets around pulsars [244]). This would provide useful information concerning the gravity theory or the properties of DM.
Author Contributions
Conceptualization, S.Y., C.P., X.Z. and F.W.; methodology, S.Y., C.P., X.Z. and F.W.; software, S.Y.; validation, S.Y., C.P., X.Z. and F.W.; formal analysis, S.Y., C.P., X.Z. and F.W.; investigation, S.Y., C.P., X.Z. and F.W.; resources, S.Y., C.P., X.Z. and F.W.; data curation, S.Y., C.P., X.Z. and F.W.; writing—original draft preparation, S.Y.; writing—review and editing, C.P., X.Z. and F.W.; visualization, S.Y., C.P., X.Z. and F.W.; supervision, X.Z. and F.W.; project administration, S.Y., C.P., X.Z. and F.W.; funding acquisition, S.Y., X.Z. and F.W. All authors have read and agreed to the published version of the manuscript.
Funding
This work is supported by the National Key R&D Program of China under grant no. 2021YFA0718504, the National SKA Program of China under grant no. 2020SKA0120300, and the Scientific Research Program of the National Natural Science Foundation of China under grant no. 12033001. F.W. acknowledges support from the U.S. National Science Foundation under grant no. PHY-2012152.
Institutional Review Board Statement
Not applicable.
Informed Consent Statement
Not applicable.
Data Availability Statement
Observational data used in this paper are quoted from the cited works.
Acknowledgments
The authors are grateful to the anonymous referees for their useful suggestions which greatly helped us to improve the paper.
Conflicts of Interest
The authors declare no conflict of interest.
Abbreviations
The following abbreviations are used in this review:
| DM | dark matter |
| EOS | equation of state |
| eXTP | enhanced X-ray timing and polarimetry mission |
| GR | general relativity |
| LIGO | laser interferometer gravitational wave observatory |
| MDM | mirror dark matter |
| MIT | Massachusetts Institute of Technology |
| NICER | Neutron star Interior Composition Explorer |
| NS | neutron star |
| SM | Standard Model |
| SQM | strange quark matter |
| SS | strange star |
| STROBE-X | Spectroscopic Time-Resolving Observatory for Broadband Energy X-rays |
| SKA | Square Kilometre Array observatory |
| TOV | Tolman–Oppenheimer–Volkoff |
| Virgo | Virgo interferometer |
Notes
| 1 | For the standard MIT model, this is true considering the constraints from the observations of PSR J0740+6620 and GW170817, which are mentioned in the previous paragraph. However, if the observation data of PSR J0030+0451 are also considered, SSs will be ruled out even if we consider the effects of non-Newtonian gravity [62]. The details can be seen in Section 4.2 of this review. |
| 2 | For the choice of the value of , we simply follow the early papers related to this review. The results are similar whether we choose MeV or MeV. In fact, the results will not be changed qualitatively even if we choose MeV, as shown in [57,58]. |
| 3 | |
| 4 | a new massive compact star with a mass of was reported recently (PSR J0952-0607) [165]. It is one of the fastest-spinning pulsars with a spin period of 1.41 ms, and the rotation effects on the mass and radius cannot be ignored for this star [166]. |
| 5 | in the weak-field limit, a Yukawa term also appears in alternative theories of gravity such as f(R), the nonsymmetric gravitational theory, and modified gravity [6]. |
| 6 | Scalar bosons lead to a softer EOS of dense matter, while vector bosons make the EOS stiffer [71]. In the following section of this review, we will focus on vector bosons. This is necessary because a stiff EOS is needed to explain the large mass of PSR J0740+6620, with g being the boson–baryon coupling constant and being the baryon mass. |
| 7 | In the study of neutron–mirror neutron () mixing [203,204,205,206,207], it was found that a mirror-matter core could develop in ordinary NSs through the process of conversion [122]. However, since SQM is self-bound, the transformation to mirror matter is suppressed [122]. |
References
- Mann, A. The golden age of neutron-star physics has arrived. Nature 2020, 579, 20–22. [Google Scholar] [CrossRef] [PubMed]
- Özel, F.; Freire, P. Masses, radii, and the equation of state of neutron stars. Annu. Rev. Astron. Astrophys. 2016, 88, 401–440. [Google Scholar] [CrossRef]
- Lattimer, J.M.; Prakash, M. The equation of state of hot, dense matter and neutron stars. Phys. Rep. 2016, 621, 127–164. [Google Scholar] [CrossRef]
- Lattimer, J.M. Neutron Star Mass and Radius Measurements. Universe 2019, 5, 159. [Google Scholar] [CrossRef]
- Raithel, C.A. Constraints on the Neutron Star Equation of State from GW170817. Eur. Phys. J. A 2019, 55, 80. [Google Scholar] [CrossRef]
- Li, B.-A.; Krastev, P.G.; Wen, D.-H.; Zhang, N.-B. Towards understanding astrophysical effects of nuclear symmetry energy. Eur. Phys. J. A 2019, 55, 117. [Google Scholar] [CrossRef]
- Orsaria, M.G.; Malfatti, G.; Mariani, M.; Ranea-Sandoval, I.F.; Garcá, F.; Spinella, W.M.; Contrera, G.A.; Lugones, G.; Weber, F. Phase transitions in neutron stars and their links to gravitational waves. J. Phys. G: Nucl. Part. Phys. 2019, 46, 073002. [Google Scholar] [CrossRef]
- Baiotti, L. Gravitational waves from neutron star mergers and their relation to the nuclear equation of state. Prog. Part. Nucl. Phys. 2019, 109, 103714. [Google Scholar] [CrossRef]
- Li, A.; Zhu, Z.-Y.; Zhou, E.-P.; Dong, J.-M.; Hu, J.-N.; Xia, C.-J. Neutron star equation of state: Quark mean-field (QMF) modeling and applications. J. High Energy Astrophys. 2020, 28, 19. [Google Scholar] [CrossRef]
- Burgio, G.F.; Vidaña, I. The Equation of State of Nuclear Matter: From Finite Nuclei to Neutron Stars. Universe 2020, 6, 119. [Google Scholar] [CrossRef]
- Chatziioannou, K. Neutron-star tidal deformability and equation-of-state constraints. Gen. Rel. Grav. 2020, 52, 109. [Google Scholar] [CrossRef]
- Lattimer, J.M. Neutron Stars and the Nuclear Matter Equation of State. Annu. Rev. Nucl. Part. Sci. 2021, 71, 433–464. [Google Scholar] [CrossRef]
- Li, B.-A.; Cai, B.-J.; Xie, W.-J.; Zhang, N.-B. Progress in Constraining Nuclear Symmetry Energy Using Neutron Star Observables Since GW170817. Universe 2021, 7, 182. [Google Scholar] [CrossRef]
- Farhi, E.; Jaffe, R.L. Strange matter. Phys. Rev. D 1984, 30, 2379–2390. [Google Scholar] [CrossRef]
- Haensel, P.; Zdunik, J.L.; Schaefer, R. Strange quark stars. Astron. Astrophys. 1986, 160, 121–128. [Google Scholar]
- Alcock, C.; Farhi, E.; Olinto, A. Strange Stars. Astrophys. J. 1986, 310, 261. [Google Scholar] [CrossRef]
- Alcock, C.; Olinto, A. Exotic phases of hadronic matter and their astrophysical application. Annu. Rev. Nucl. Part. Sci. 1988, 38, 161–184. [Google Scholar] [CrossRef]
- Madsen, J. Physics and Astrophysics of Strange Quark Matter. Lect. Notes Phys. 1999, 516, 162–203. [Google Scholar]
- Weber, F. Strange quark matter and compact stars. Prog. Part. Nucl. Phys. 2005, 54, 193–288. [Google Scholar] [CrossRef]
- Itoh, N. Hydrostatic Equilibrium of Hypothetical Quark Stars. Prog. Theor. Phys. 1970, 44, 291–292. [Google Scholar] [CrossRef]
- Bodmer, A.R. Collapsed Nuclei. Phys. Rev. D 1971, 4, 1601–1606. [Google Scholar] [CrossRef]
- Witten, E. Cosmic separation of phases. Phys. Rev. D 1984, 30, 272–285. [Google Scholar] [CrossRef]
- Terazawa, H. Super-Hypernuclei in the Quark-Shell Model. J. Phys. Soc. Jpn. 1989, 58, 3555–3563. [Google Scholar] [CrossRef]
- Terazawa, H. Super-Hypernuclei in the Quark-Shell Model. II. J. Phys. Soc. Jpn. 1989, 58, 4388–4393. [Google Scholar] [CrossRef]
- Glendenning, N.K. Fast Pulsars, Strange Stars:. An Opportunity in Radio Astronomy. Mod. Phys. Lett. A 1990, 5, 2197–2207. [Google Scholar] [CrossRef]
- Caldwell, R.R.; Friedman, J.L. Evidence against a strange ground state for baryons. Phys. Lett. B 1991, 264, 143–148. [Google Scholar] [CrossRef]
- Bhattacharyya, S.; Bombaci, I.; Logoteta, D.; Thampan, A.V. Fast spinning strange stars: Possible ways to constrain interacting quark matter parameters. Mon. Not. R. Astron. Soc. 2016, 457, 3101–3114. [Google Scholar] [CrossRef]
- Di Clemente, F.; Drago, A.; Pagliara, G. Is the compact object associated with HESS J1731-347 a strange quark star? arXiv 2022, arXiv:2211.07485. [Google Scholar]
- Horvath, J.E.; Rocha, L.S.; de Sá, L.M.; Moraes, P.H.R.S.; Barão, L.G.; de Avellar, M.G.B.; Bernardo, A.; Bachega, R.R.A. A light strange star in the remnant HESS J1731-347: Minimal consistency checks. arXiv 2023, arXiv:2303.10264. [Google Scholar] [CrossRef]
- Doroshenko, V.; Suleimanov, V.; Pühlhofer, G.; Santangelo, A. A strangely light neutron star within a supernova remnant. Nat. Astron. 2022, 6, 1444–1451. [Google Scholar] [CrossRef]
- Suwa, Y.; Yoshida, T.; Shibata, M.; Umeda, H.; Takahashi, K. On the minimum mass of neutron stars. Mon. Not. Roy. Astron. Soc. 2018, 481, 3305–3312. [Google Scholar] [CrossRef]
- Li, X.-D.; Bombaci, I.; Dey, M.; Dey, J.; van den Heuvel, E.P.J. Is SAX J1808.4-3658 a Strange Star? Phys. Rev. Lett. 1999, 83, 3776–3779. [Google Scholar] [CrossRef]
- Li, X.-D.; Ray, S.; Dey, J.; Dey, M.; Bombaci, I. On the Nature of the Compact Star in 4U 1728-34. Astrophys. J. 1999, 527, L51–L54. [Google Scholar] [CrossRef] [PubMed]
- Drake, J.J.; Marshall, H.L.; Dreizler, S.; Freeman, P.E.; Fruscione, A.; Juda, M.; Kashyap, V.; Nicastro, F.; Pease, D.O.; Wargelin, B.J.; et al. Is RX J1856.5-3754 a Quark Star? Astrophys. J. 2002, 572, 996–1001. [Google Scholar] [CrossRef]
- Burwitz, V.; Haberl, F.; Neuhäuser, R.; Predehl, P.; Trümper, J.; Zavlin, V.E. The thermal radiation of the isolated neutron star RX J1856.5-3754 observed with Chandra and XMM-Newton. Astron. Astrophy. 2003, 399, 1109–1114. [Google Scholar] [CrossRef]
- Li, Z.; Qu, Z.; Chen, L.; Guo, Y.; Qu, J.; Xu, R. An Ultra-low-mass and Small-radius Compact Object in 4U 1746-37? Astrophys. J. 2015, 798, 56. [Google Scholar] [CrossRef]
- Yue, Y.L.; Cui, X.H.; Xu, R.X. Is PSR B0943+10 a Low-Mass Quark Star? Astrophys. J. 2006, 649, L95–L98. [Google Scholar] [CrossRef]
- Glendenning, N.K. Compact Stars: Nuclear Physics, Particle Physics, and General Relativity, 2nd ed.; Springer: New York, NY, USA, 2000; pp. 337–362. [Google Scholar]
- Blaschke, D.; Chamel, N. Phases of Dense Matter in Compact Stars. In The Physics and Astrophysics of Neutron Stars; Rezzolla, L., Pizzochero, P., Jones, D.I., Rea, N., Vidaña, I., Eds.; Springer Nature Switzerland AG: Cham, Switzerland, 2018; pp. 337–400. [Google Scholar]
- Annala, E.; Gorda, T.; Kurkela, A.; Nättilä, J.; Vuorinen, A. Evidence for quark-matter cores in massive neutron stars. Nat. Phys. 2020, 16, 907–910. [Google Scholar] [CrossRef]
- Berezhiani, Z.; Bombaci, I.; Drago, A.; Frontera, F.; Lavagno, A. Gamma-Ray Bursts from Delayed Collapse of Neutron Stars to Quark Matter Stars. Astrophys. J. 2003, 586, 1250–1253. [Google Scholar] [CrossRef]
- Bombaci, I.; Parenti, I.; Vidaña, I. Quark Deconfinement and Implications for the Radius and the Limiting Mass of Compact Stars. Astrophys. J. 2004, 614, 314–325. [Google Scholar] [CrossRef]
- Drago, A.; Lavagno, A.; Pagliara, G. The Supernova-GRB connection. Eur. Phys. J. A 2004, 19, 197–201. [Google Scholar] [CrossRef]
- Bombaci, I.; Drago, A.; Logoteta, D.; Pagliara, G.; Vidaña, I. Was GW190814 a Black Hole-Strange Quark Star System? Phys. Rev. Lett. 2021, 126, 162702. [Google Scholar] [CrossRef] [PubMed]
- Bombaci, I. The Equation of State of Neutron Star Matter. In Millisecond Pulsars; Bhattacharyya, S., Papitto, A., Bhattacharya, D., Eds.; Springer Nature Switzerland AG: Cham, Switzerland, 2022; pp. 281–317. [Google Scholar]
- Xu, R.X. Solid Quark Stars? Astrophys. J. Lett. 2003, 596, L59. [Google Scholar] [CrossRef]
- Miao, Z.-Q.; Xia, C.-J.; Lai, X.-Y.; Maruyama, T.; Xu, R.-X.; Zhou, E.-P. A bag model of matter condensed by the strong interaction. Int. J. Mod. Phys. E 2022, 31, 2250037. [Google Scholar] [CrossRef]
- Lai, X.; Xia, C.; Xu, R. Bulk strong matter: The trinity. Adv. Phys. X 2023, 8, 2137433. [Google Scholar] [CrossRef]
- Holdom, B.; Ren, J.; Zhang, C. Quark Matter May Not Be Strange. Phys. Rev. Lett. 2018, 120, 222001. [Google Scholar] [CrossRef]
- Zhao, T.; Zheng, W.; Wang, F.; Li, C.-M.; Yan, Y.; Huang, Y.-F.; Zong, H.-S. Do current astronomical observations exclude the existence of nonstrange quark stars? Phys. Rev. D 2019, 100, 043018. [Google Scholar] [CrossRef]
- Zhang, C. Probing up-down quark matter via gravitational waves. Phys. Rev. D 2020, 101, 043003. [Google Scholar] [CrossRef]
- Cao, Z.; Chen, L.-W.; Chu, P.-C.; Zhou, Y. GW190814: Circumstantial evidence for up-down quark star. Phys. Rev. D 2022, 106, 083007. [Google Scholar] [CrossRef]
- Weissenborn, S.; Sagert, I.; Pagliara, G.; Hempel, M.; Schaffner-Bielich, J. Quark matter in massive compact stars. Astrophys. J. Lett. 2011, 740, L14. [Google Scholar] [CrossRef]
- Wei, W.; Zheng, X.-P. Quark stars with the density-dependent quark mass model. Astropart. Phys. 2012, 37, 1–4. [Google Scholar] [CrossRef]
- Pi, C.-M.; Yang, S.-H.; Zheng, X.-P. R-mode instability of strange stars and observations of neutron stars in LMXBs. Res. Astron. Astrophys. 2015, 15, 871–878. [Google Scholar] [CrossRef]
- Zhou, E.-P.; Zhou, X.; Li, A. Constraints on interquark interaction parameters with GW170817 in a binary strange star scenario. Phys. Rev. D 2018, 97, 083015. [Google Scholar] [CrossRef]
- Yang, S.-H.; Pi, C.-M.; Zheng, X.-P.; Weber, F. Non-Newtonian Gravity in Strange Quark Stars and Constraints from the Observations of PSR J0740+6620 and GW170817. Astrophys. J. 2020, 902, 32. [Google Scholar] [CrossRef]
- Yang, S.-H.; Pi, C.-M.; Zheng, X.-P. Strange stars with a mirror-dark-matter core confronting with the observations of compact stars. Phys. Rev. D 2021, 104, 083016. [Google Scholar] [CrossRef]
- Yang, S.-H.; Pi, C.-M.; Zheng, X.-P.; Weber, F. Constraints from compact star observations on non-Newtonian gravity in strange stars based on a density dependent quark mass model. Phys. Rev. D 2021, 103, 043012. [Google Scholar] [CrossRef]
- Cai, W.-H.; Wang, Q.-W. Strange quark star and the parameter space of the quasi-particle model. Commun. Theor. Phys. 2021, 73, 105202. [Google Scholar] [CrossRef]
- Backes, B.C.; Hafemann, E.; Marzola, I.; Menezes, D.P. Density-dependent quark mass model revisited: Thermodynamic consistency, stability windows and stellar properties. J. Phys. G: Nucl. Part. Phys. 2021, 48, 055104. [Google Scholar] [CrossRef]
- Pi, C.-M.; Yang, S.-H. Non-Newtonian gravity in strange stars and constraints from the observations of compact stars. New Astron. 2022, 90, 101670. [Google Scholar] [CrossRef]
- Pi, C.-M.; Yang, S.-H. Strange stars confronting with the observations: Non-Newtonian gravity effects, or the existence of a dark-matter core. Astron. Nachr. 2023, e20220083. [Google Scholar] [CrossRef]
- Demorest, P.B.; Pennucci, T.; Ransom, S.M.; Roberts, M.S.E.; Hessels, J.W.T. A two-solar-mass neutron star measured using Shapiro delay. Nature 2010, 467, 1081–1083. [Google Scholar] [CrossRef]
- Antoniadis, J.; Freire, P.C.C.; Wex, N.; Tauris, T.M.; Lynch, R.S.; van Kerkwijk, M.H.; Kramer, M.; Bassa, C.; Dhillon, V.S.; Driebe, T.; et al. A Massive Pulsar in a Compact Relativistic Binary. Science 2013, 340, 1233232. [Google Scholar] [CrossRef] [PubMed]
- Abbott, B.P. et al. [LIGO Scientific and Virgo Collaborations] GW170817: Observation of Gravitational Waves from a Binary Neutron Star Inspiral. Phys. Rev. Lett. 2017, 119, 161101. [Google Scholar] [CrossRef] [PubMed]
- Abbott, B.P. et al. [LIGO Scientific and Virgo Collaborations] GW170817: Measurements of Neutron Star Radii and Equation of State. Phys. Rev. Lett. 2018, 121, 161101. [Google Scholar] [CrossRef] [PubMed]
- Cromartie, H.T.; Fonseca, E.; Ransom, S.M.; Demorest, P.B.; Arzoumanian, Z.; Blumer, H.; Brook, P.R.; DeCesar, M.E.; Dolch, T.; Ellis, J.A.; et al. Relativistic Shapiro delay measurements of an extremely massive millisecond pulsar. Nat. Astron 2020, 4, 72–76. [Google Scholar] [CrossRef]
- Fonseca, E.; Cromartie, H.; Pennucci, T.T.; Ray, P.S.; Kirichenko, A.Y.; Ransom, S.M.; Demorest, P.B.; Stairs, I.H.; Arzoumanian, Z.; Guillemot, L.; et al. Refined Mass and Geometric Measurements of the High-Mass PSR J0740+6620. Astrophys. J. Lett. 2021, 915, L12. [Google Scholar] [CrossRef]
- Doneva, D.D.; Pappas, G. Universal Relations and Alternative Gravity Theories. In The Physics and Astrophysics of Neutron Stars; Rezzolla, L., Pizzochero, P., Jones, D.I., Rea, N., Vidaña, I., Eds.; Springer Nature Switzerland AG: Cham, Switzerland, 2018; pp. 737–806. [Google Scholar]
- Krivoruchenko, M.I.; Šimkovic, F.; Faessler, A. Constraints for weakly interacting light bosons from existence of massive neutron stars. Phys. Rev. D 2009, 79, 125023. [Google Scholar] [CrossRef]
- Wen, D.-H.; Li, B.-A.; Chen, L.W. Supersoft symmetry energy encountering non-Newtonian gravity in neutron stars. Phys. Rev. Lett. 2009, 103, 211102. [Google Scholar] [CrossRef]
- Cooney, A.; Dedeo, S.; Psaltis, D. Neutron stars in f(R) gravity with perturbative constraints. Phys. Rev. D 2010, 82, 064033. [Google Scholar] [CrossRef]
- Arapoǧlu, S.; Deliduman, C.; Ekşi, K.Y. Constraints on perturbative f(R) gravity via neutron stars. J. Cosmol. Astropart. Phys. 2011, 07, 020. [Google Scholar] [CrossRef]
- Pani, P.; Cardoso, V.; Delsate, T. Compact Stars in Eddington Inspired Gravity. Phys. Rev. Lett 2011, 107, 031101. [Google Scholar] [CrossRef] [PubMed]
- Pani, P.; Berti, E.; Cardoso, V.; Read, J. Compact stars in alternative theories of gravity: Einstein-Dilaton-Gauss-Bonnet gravity. Phys. Rev. D 2011, 84, 104035. [Google Scholar] [CrossRef]
- Rahaman, F.; Sharma, R.; Ray, S.; Maulick, R.; Karar, I. Strange stars in Krori-Barua space-time. Eur. Phys. J. C 2012, 72, 2071. [Google Scholar] [CrossRef]
- Harko, T.; Lobo, F.S.N.; Mak, M.K.; Sushkov, S.V. Structure of neutron, quark, and exotic stars in Eddington-inspired Born-Infeld gravity. Phys. Rev. D 2013, 88, 044032. [Google Scholar] [CrossRef]
- Staykov, K.V.; Doneva, D.D.; Yazadjiev, S.S.; Kokkotas, K.D. Slowly rotating neutron and strange stars in R2 gravity. J. Cosmol. Astropart. Phys. 2014, 10, 6. [Google Scholar] [CrossRef]
- Sham, Y.-H.; Lin, L.-M.; Leung, P.T. Testing Universal Relations of Neutron Stars with a Nonlinear Matter-Gravity Coupling Theory. Astrophys. J. 2014, 781, 66. [Google Scholar] [CrossRef]
- Moraes, P.H.R.S.; Arbañil, J.D.V.; Malheiro, M. Stellar equilibrium configurations of compact stars in f(R, T) theory of gravity. J. Cosmol. Astropart. Phys. 2016, 6, 5. [Google Scholar] [CrossRef]
- Yagi, K.; Yunes, N. Approximate universal relations for neutron stars and quark stars. Phys. Rep. 2017, 681, 1–72. [Google Scholar] [CrossRef]
- Yazadjiev, S.S.; Doneva, D.D.; Kokkotas, K.D. Tidal Love numbers of neutron stars in f(R) gravity. Eur. Phys. J. C 2018, 78, 818. [Google Scholar] [CrossRef]
- Lopes, I.; Panotopoulos, G. Dark matter admixed strange quark stars in the Starobinsky model. Phys. Rev. D 2018, 97, 024030. [Google Scholar] [CrossRef]
- Deb, D.; Ketov, S.V.; Khlopov, M.; Ray, S. Study on charged strange stars in f(R, T) gravity. J. Cosmol. Astropart. Phys. 2019, 10, 070. [Google Scholar] [CrossRef]
- Salako, I.G.; Khlopov, M.; Ray, S.; Arouko, M.Z.; Saha, P.; Debnath, U. Study on Anisotropic Strange Stars in f(T, T) Gravity. Universe 2020, 6, 167. [Google Scholar] [CrossRef]
- Majid, A.; Sharif, M. Quark Stars in Massive Brans-Dicke Gravity with Tolman-Kuchowicz Spacetime. Universe 2020, 6, 124. [Google Scholar] [CrossRef]
- Astashenok, A.V.; Capozziello, S.; Odintsov, S.D.; Oikonomou, V.K. Extended gravity description for the GW190814 supermassive neutron star. Phys. Lett. B 2020, 811, 135910. [Google Scholar] [CrossRef]
- Danchev, V.I.; Doneva, D.D. Constraining the equation of state in modified gravity via universal relations. Phys. Rev. D 2021, 103, 024049. [Google Scholar] [CrossRef]
- Saffer, A.; Yagi, K. Tidal deformabilities of neutron stars in scalar-Gauss-Bonnet gravity and their applications to multimessenger tests of gravity. Phys. Rev. D 2021, 104, 124052. [Google Scholar] [CrossRef]
- Banerjee, A.; Tangphati, T.; Channuie, P. Strange Quark Stars in 4D Einstein-Gauss-Bonnet Gravity. Astrophys. J. 2021, 909, 14. [Google Scholar] [CrossRef]
- Astashenok, A.V.; Capozziello, S.; Odintsov, S.D.; Oikonomou, V.K. Maximum baryon masses for static neutron stars in f(R) gravity. Europhys. Lett. 2021, 136, 59001. [Google Scholar] [CrossRef]
- Prasetyo, I.; Maulana, H.; Ramadhan, H.S.; Sulaksono, A. 2.6 M⊙ compact object and neutron stars in Eddington-inspired Born-Infeld theory of gravity. Phys. Rev. D 2021, 104, 084029. [Google Scholar] [CrossRef]
- Panotopoulos, G.; Tangphati, T.; Banerjee, A.; Jasim, M.K. Anisotropic quark stars in R2 gravity. Phys. Lett. B 2021, 817, 136330. [Google Scholar] [CrossRef]
- Xu, R.; Gao, Y.; Shao, L. Neutron stars in massive scalar-Gauss-Bonnet gravity: Spherical structure and time-independent perturbations. Phys. Rev. D 2022, 105, 024003. [Google Scholar] [CrossRef]
- Tangphati, T.; Hansraj, S.; Banerjee, A.; Pradhan, A. Quark stars in f(R, T) gravity with an interacting quark equation of state. Phys. Dark Universe 2022, 35, 100990. [Google Scholar] [CrossRef]
- Lin, R.-H.; Chen, X.-N.; Zhai, X.-H. Realistic neutron star models in f(T) gravity. Eur. Phys. J. C 2022, 82, 308. [Google Scholar] [CrossRef]
- Jiménez, J.C.; Pretel, J.M.Z.; Fraga, E.S.; Jorás, S.E.; Reis, R.R.R. R2-gravity quark stars from perturbative QCD. J. Cosmol. Astropart. Phys. 2022, 7, 17. [Google Scholar] [CrossRef]
- Pretel, J.M.Z.; Arbañil, J.D.V.; Duarte, S.B.; Jorś, S.E.; Reis, R.R.R. Charged quark stars in metric f(R) gravity. J. Cosmol. Astropart. Phys. 2022, 9, 58. [Google Scholar] [CrossRef]
- Shao, L.; Yagi, K. Neutron stars as extreme laboratories for gravity tests. Sci. Bull. 2022, 67, 1946–1949. [Google Scholar] [CrossRef]
- El Hanafy, W. Impact of Rastall Gravity on Mass, Radius, and Sound Speed of the Pulsar PSR J0740+6620. Astrophys. J. 2022, 940, 51. [Google Scholar] [CrossRef]
- Yang, R.-X.; Xie, F.; Liu, D.-J. Tidal Deformability of Neutron Stars in Unimodular Gravity. Universe 2022, 8, 576. [Google Scholar] [CrossRef]
- Carvalho, G.A.; Lobato, R.V.; Deb, D.; Moraes, P.H.R.S.; Malheiro, M. Quark stars with 2.6 M⊙ in a non-minimal geometry-matter coupling theory of gravity. Eur. Phys. J. C 2022, 82, 1096. [Google Scholar] [CrossRef]
- Maurya, S.K.; Singh, K.N.; Govender, M.; Ray, S. Observational constraints on maximum mass limit and physical properties of anisotropic strange star models by gravitational decoupling in Einstein-Gauss-Bonnet gravity. Mon. Not. R. Astron. Soc. 2023, 519, 4303–4324. [Google Scholar] [CrossRef]
- Shao, L. Degeneracy in studying the supranuclear equation of state and modified gravity with neutron stars. AIP Conf. Proc. 2019, 2127, 020016. [Google Scholar]
- Olmo, G.J.; Rubiera-Garcia, D.; Wojnar, A. Stellar structure models in modified theories of gravity: Lessons and challenges. Phys. Rep. 2020, 876, 1–75. [Google Scholar] [CrossRef]
- Spergel, D.N.; Steinhardt, P.J. Observational Evidence for Self-Interacting Cold Dark Matter. Phys. Rev. Lett. 2000, 84, 3760. [Google Scholar] [CrossRef] [PubMed]
- Tulin, S.; Yu, H.-B. Dark matter self-interactions and small scale structure. Phys. Rep. 2018, 730, 1–57. [Google Scholar] [CrossRef]
- Bertone, G.; Tait, T.M.P. A new era in the search for dark matter. Nature 2018, 562, 51–56. [Google Scholar] [CrossRef]
- Sandin, F.; Ciarcelluti, P. Effects of mirror dark matter on neutron stars. Astropart. Phys. 2009, 32, 278–284. [Google Scholar] [CrossRef]
- Ciarcelluti, P.; Sandin, F. Have neutron stars a dark matter core? Phys. Lett. B 2011, 695, 19–21. [Google Scholar] [CrossRef]
- Leung, S.-C.; Chu, M.-C.; Lin, L.-M. Dark-matter admixed neutron stars. Phys. Rev. D 2011, 84, 107301. [Google Scholar] [CrossRef]
- Li, A.; Huang, F.; Xu, R.-X. Too massive neutron stars: The role of dark matter? Astropart. Phys. 2012, 37, 70–74. [Google Scholar] [CrossRef]
- Li, X.Y.; Wang, F.Y.; Cheng, K.S. Gravitational effects of condensate dark matter on compact stellar objects. J. Cosmol. Astropart. Phys. 2012, 10, 031. [Google Scholar] [CrossRef]
- Xiang, Q.-F.; Jiang, W.-Z.; Zhang, D.-R.; Yang, R.-Y. Effects of fermionic dark matter on properties of neutron stars. Phys. Rev. C 2014, 89, 025803. [Google Scholar] [CrossRef]
- Mukhopadhyay, S.; Atta, D.; Imam, K.; Basu, D.N.; Samanta, C. Compact bifluid hybrid stars: Hadronic matter mixed with self-interacting fermionic asymmetric dark matter. Eur. Phys. J. C 2017, 77, 440. [Google Scholar] [CrossRef]
- Ellis, J.; Hütsi, G.; Kannike, K.; Marzola, L.; Raidal, M.; Vaskonen, V. Dark matter effects on neutron star properties. Phys. Rev. D 2018, 97, 123007. [Google Scholar] [CrossRef]
- Deliyergiyev, M.; Del Popolo, A.; Tolos, L.; Le Delliou, M.; Lee, X.; Burgio, F. Dark compact objects: An extensive overview. Phys. Rev. D 2019, 99, 063015. [Google Scholar] [CrossRef]
- Bezares, M.; Vigano, D.; Palenzuela, C. Gravitational wave signatures of dark matter cores in binary neutron star mergers by using numerical simulations. Phys. Rev. D 2019, 100, 044049. [Google Scholar] [CrossRef]
- Ivanytskyi, O.; Sagun, V.; Lopes, I. Neutron stars: New constraints on asymmetric dark matter. Phys. Rev. D 2020, 102, 063028. [Google Scholar] [CrossRef]
- Kain, B. Dark matter admixed neutron stars. Phys. Rev. D 2021, 103, 043009. [Google Scholar] [CrossRef]
- Berezhiani, Z.; Biondi, R.; Mannarelli, M.; Tonelli, F. Neutron-mirror neutron mixing and neutron stars. Eur. Phys. J. C 2021, 81, 1036. [Google Scholar] [CrossRef]
- Ciancarella, R.; Pannarale, F.; Addazi, A.; Marciano, A. Constraining mirror dark matter inside neutron stars. Phys. Dark Universe 2021, 32, 100796. [Google Scholar] [CrossRef]
- Emma, M.; Schianchi, F.; Pannarale, F.; Sagun, V.; Dietrich, T. Numerical Simulations of Dark Matter Admixed Neutron Star Binaries. Particles 2022, 5, 273–286. [Google Scholar] [CrossRef]
- Rafiei Karkevandi, D.; Shakeri, S.; Sagun, V.; Ivanytskyi, O. Bosonic dark matter in neutron stars and its effect on gravitational wave signal. Phys. Rev. D 2022, 105, 023001. [Google Scholar] [CrossRef]
- Di Giovanni, F.; Sanchis-Gual, N.; Cerdá-Durán, P.; Font, J.A. Can fermion-boson stars reconcile multimessenger observations of compact stars? Phys. Rev. D 2022, 105, 063005. [Google Scholar] [CrossRef]
- Leung, K.-L.; Chu, M.-C.; Lin, L.-M. Tidal deformability of dark matter admixed neutron stars. Phys. Rev. D 2022, 105, 123010. [Google Scholar] [CrossRef]
- Das, A.; Malik, T.; Nayak, A.C. Dark matter admixed neutron star properties in light of gravitational wave observations: A two fluid approach. Phys. Rev. D 2022, 105, 123034. [Google Scholar] [CrossRef]
- Gleason, T.; Brown, B.; Kain, B. Dynamical evolution of dark matter admixed neutron stars. Phys. Rev. D 2022, 105, 023010. [Google Scholar] [CrossRef]
- Dengler, Y.; Schaffner-Bielich, J.; Tolos, L. Second Love number of dark compact planets and neutron stars with dark matter. Phys. Rev. D 2022, 105, 043013. [Google Scholar] [CrossRef]
- Miao, Z.; Zhu, Y.; Li, A.; Huang, F. Dark Matter Admixed Neutron Star Properties in the Light of X-Ray Pulse Profile Observations. Astrophys. J. 2022, 936, 69. [Google Scholar] [CrossRef]
- Collier, M.; Croon, D.; Leane, R.K. Tidal Love numbers of novel and admixed celestial objects. Phys. Rev. D 2022, 106, 123027. [Google Scholar] [CrossRef]
- Rutherford, N.; Raaijmakers, G.; Prescod-Weinstein, C.; Watts, A. Constraining bosonic asymmetric dark matter with neutron star mass-radius measurements. arXiv 2022, arXiv:2208.03282. [Google Scholar]
- Giangrandi, E.; Sagun, V.; Ivanytskyi, O.; Providência, C.; Dietrich, T. The effects of self-interacting bosonic dark matter on neutron star properties. arXiv 2022, arXiv:2209.10905. [Google Scholar]
- Shakeri, S.; Rafiei Karkevandi, D. Bosonic Dark Matter in Light of the NICER Precise Mass-Radius Measurements. arXiv 2022, arXiv:2210.17308. [Google Scholar]
- Hippert, M.; Dillingham, E.; Tan, H.; Curtin, D.; Noronha-Hostler, J.; Yunes, N. Dark Matter or Regular Matter in Neutron Stars? How to tell the difference from the coalescence of compact objects. arXiv 2022, arXiv:2211.08590. [Google Scholar]
- Fynn Diedrichs, R.; Becker, N.; Jockel, C.; Christian, J.-E.; Sagunski, L.; Schaffner-Bielich, J. Tidal Deformability of Fermion-Boson Stars: Neutron Stars Admixed with Ultra-Light Dark Matter. arXiv 2023, arXiv:2303.04089. [Google Scholar]
- Mukhopadhyay, P.; Schaffner-Bielich, J. Quark stars admixed with dark matter. Phys. Rev. D 2016, 93, 083009. [Google Scholar] [CrossRef]
- Panotopoulos, G.; Lopes, I. Gravitational effects of condensed dark matter on strange stars. Phys. Rev. D 2017, 96, 023002. [Google Scholar] [CrossRef]
- Panotopoulos, G.; Lopes, I. Radial oscillations of strange quark stars admixed with fermionic dark matter. Phys. Rev. D 2018, 98, 083001. [Google Scholar] [CrossRef]
- Jiménez, J.C.; Fraga, E.S. Radial Oscillations of Quark Stars Admixed with Dark Matter. Universe 2022, 8, 34. [Google Scholar] [CrossRef]
- Ferreira, O.; Fraga, E.S. Strange magnetars admixed with fermionic dark matter. J. Cosmol. Astropart. Phys. 2023, 4, 12. [Google Scholar] [CrossRef]
- Lopes, L.L.; Das, H.C. Strange Stars within Bosonic and Fermionic Admixed Dark Matter. arXiv 2023, arXiv:2301.00567. [Google Scholar]
- Zyla, P.A. et al. [Particle Data Group] Review of Particle Physics. Prog. Theor. Exp. Phys. 2020, 2020, 083C01. [Google Scholar]
- Tolman, R.C. Static Solutions of Einstein’s Field Equations for Spheres of Fluid. Phys. Rev. 1939, 55, 364–373. [Google Scholar] [CrossRef]
- Oppenheimer, J.R.; Volkoff, G.M. On Massive Neutron Cores. Phys. Rev. 1939, 55, 374–381. [Google Scholar] [CrossRef]
- Flanagan, É.É.; Hinderer, T. Constraining neutron-star tidal Love numbers with gravitational-wave detectors. Phys. Rev. D 2008, 77, 021502. [Google Scholar] [CrossRef]
- Hinderer, T. Tidal Love Numbers of Neutron Stars. Astrophys. J. 2008, 677, 1216–1220. [Google Scholar] [CrossRef]
- Damour, T.; Nagar, A. Relativistic tidal properties of neutron stars. Phys. Rev. D 2009, 80, 084035. [Google Scholar] [CrossRef]
- Hinderer, T.; Lackey, B.D.; Lang, R.N.; Read, J.S. Tidal deformability of neutron stars with realistic equations of state and their gravitational wave signatures in binary inspiral. Phys. Rev. D 2010, 81, 123016. [Google Scholar] [CrossRef]
- Postnikov, S.; Prakash, M.; Lattimer, J.M. Tidal Love numbers of neutron and self-bound quark stars. Phys. Rev. D 2010, 82, 024016. [Google Scholar] [CrossRef]
- Capano, C.D.; Tews, I.; Brown, S.M.; Margalit, B.; De, S.; Kumar, S.; Brown, D.A.; Krishnan, B.; Reddy, S. Stringent constraints on neutron-star radii from multimessenger observations and nuclear theory. Nat. Astron. 2020, 4, 625–632. [Google Scholar] [CrossRef]
- Riley, T.E.; Watts, A.L.; Bogdanov, S.; Ray, P.S.; Ludlam, R.M.; Guillot, S.; Arzoumanian, Z.; Baker, C.L.; Bilous, A.V.; Chakrabarty, D.; et al. A NICER View of PSR J0030+0451: Millisecond Pulsar Parameter Estimation. Astrophys. J. Lett. 2019, 887, L21. [Google Scholar] [CrossRef]
- Miller, M.C.; Lamb, F.K.; Dittmann, A.J.; Bogdanov, S.; Arzoumanian, Z.; Gendreau, K.C.; Guillot, S.; Harding, A.K.; Ho, W.C.G.; Lattimer, J.M.; et al. PSR J0030+0451 Mass and Radius from NICER Data and Implications for the Properties of Neutron Star Matter. Astrophys. J. Lett. 2019, 887, L24. [Google Scholar] [CrossRef]
- Riley, T.E.; Watts, A.L.; Ray, P.S.; Bogdanov, S.; Guillot, S.; Morsink, S.M.; Bilous, A.V.; Arzoumanian, Z.; Choudhury, D.; Deneva, J.S.; et al. A NICER View of the Massive Pulsar PSR J0740+6620 Informed by Radio Timing and XMM-Newton Spectroscopy. Astrophys. J. Lett. 2021, 918, L27. [Google Scholar] [CrossRef]
- Miller, M.C.; Lamb, F.K.; Dittmann, A.J.; Bogdanov, S.; Arzoumanian, Z.; Gendreau, K.C.; Guillot, S.; Ho, W.C.G.; Lattimer, J.M.; Loewenstein, M.; et al. The Radius of PSR J0740+6620 from NICER and XMM-Newton Data. Astrophys. J. Lett. 2021, 918, L28. [Google Scholar] [CrossRef]
- Schaab, C.; Hermann, B.; Weber, F.; Weigel, M.K. Are strange stars distinguishable from neutron stars by their cooling behaviour? J. Phys. G: Nucl. Part. Phys. 1997, 23, 2029–2037. [Google Scholar] [CrossRef]
- Alford, M.; Rajagopal, K.; Reddy, S.; Wilczek, F. Minimal color-flavor-locked-nuclear interface. Phys. Rev. D 2001, 64, 074017. [Google Scholar] [CrossRef]
- Oertel, M.; Urban, M. Surface effects in color superconducting strange-quark matter. Phys. Rev. D 2008, 77, 074015. [Google Scholar] [CrossRef]
- Lugones, G.; Grunfeld, A.; Ajmi, M.A. Surface tension and curvature energy of quark matter in the Nambu-Jona-Lasinio model. Phys. Rev. C 2013, 88, 045803. [Google Scholar] [CrossRef]
- Xia, C.J.; Peng, G.X.; Sun, T.T.; Guo, W.L.; Lu, D.H.; Jaikumar, P. Interface effects of strange quark matter with density dependent quark masses. Phys. Rev. D 2018, 98, 034031. [Google Scholar] [CrossRef]
- Fraga, E.S.; Hippert, M.; Schmitt, A. Surface tension of dense matter at the chiral phase transition. Phys. Rev. D 2019, 99, 014046. [Google Scholar] [CrossRef]
- Lugones, G.; Grunfeld, A.G. Surface tension of hot and dense quark matter under strong magnetic fields. Phys. Rev. C 2019, 99, 035804. [Google Scholar] [CrossRef]
- Wang, L.; Hu, J.; Xia, C.-J.; Xu, J.-F.; Peng, G.-X.; Xu, R.-X. Stable Up-Down Quark Matter Nuggets, Quark Star Crusts, and a New Family of White Dwarfs. Galaxies 2021, 9, 70. [Google Scholar] [CrossRef]
- Romani, R.W.; Kandel, D.; Filippenko, A.V.; Brink, T.G.; Zheng, W. PSR J0952-0607: The Fastest and Heaviest Known Galactic Neutron Star. Astrophys. J. Lett. 2022, 934, L17. [Google Scholar] [CrossRef]
- Konstantinou, A.; Morsink, S.M. Universal Relations for the Increase in the Mass and Radius of a Rotating Neutron Star. Astrophys. J. 2022, 934, 139. [Google Scholar] [CrossRef]
- Adelberger, E.G.; Gundlach, J.H.; Heckel, B.R.; Hoedl, S.; Schlamminger, S. Torsion balance experiments: A low-energy frontier of particle physics. Prog. Part. Nucl. Phys. 2009, 62, 102–134. [Google Scholar] [CrossRef]
- Adelberger, E.G.; Heckel, B.R.; Nelson, A.E. Tests of the gravitational inverse-square law. Annu. Rev. Nucl. Part. Sci. 2003, 53, 77–121. [Google Scholar] [CrossRef]
- Fischbach, E.; Talmadge, C.L. The Search for Non-Newtonian Gravity; Springer: New York, NY, USA, 1999. [Google Scholar]
- Fayet, P. Effects of the spin-1 partner of the goldstino (gravitino) on neutral current phenomenology. Phys. Lett. B 1980, 95, 285–289. [Google Scholar] [CrossRef]
- Fayet, P. A la recherche d’un nouveau boson de spin un. Nucl. Phys. B 1980, 187, 184–204. [Google Scholar] [CrossRef]
- Murata, J.; Tanaka, S. A review of short-range gravity experiments in the LHC era. Class. Quant. Grav. 2015, 32, 033001. [Google Scholar] [CrossRef]
- Wen, D.-H.; Li, B.-A.; Chen, L.-W. Can the maximum mass of neutron stars rule out any equation of state of dense stellar matter before gravity is well understood? arXiv 2011, arXiv:1101.1504. [Google Scholar]
- Sulaksono, A.; Marliana; Kasmudin. Effects of In-Medium Modification of Weakly Interacting Light Boson Mass in Neutron Stars. Mod. Phys. Lett. A 2011, 26, 367–375. [Google Scholar] [CrossRef]
- Zhang, D.-R.; Yin, P.-L.; Wang, W.; Wang, Q.-C.; Jiang, W.-Z. Effects of a weakly interacting light U boson on the nuclear equation of state and properties of neutron stars in relativistic models. Phys. Rev. C 2011, 83, 035801. [Google Scholar] [CrossRef]
- Wen, D.-H.; Yan, J. R-mode Instability of Neutron Star with Non-Newtonian Gravity. Commun. Theor. Phys. 2013, 59, 47–52. [Google Scholar]
- Lin, W.; Li, B.-A.; Chen, L.-W.; Wen, D.-H.; Xu, J. Breaking the EOS-gravity degeneracy with masses and pulsating frequencies of neutron stars. J. Phys. G: Nucl. Part. Phys. 2014, 41, 075203. [Google Scholar] [CrossRef]
- Lu, Z.-Y.; Peng, G.-X.; Zhou, K. Effects of non-Newtonian gravity on the properties of strange stars. Res. Astron. Astrophys. 2017, 17, 11. [Google Scholar] [CrossRef]
- Yu, Z.; Xu, Y.; Zhang, G.-Q.; Hu, T.-P. Effects of a Weakly Interacting Light U Boson on Protoneutron Stars Including the Hyperon-Hyperon Interactions. Commun. Theor. Phys. 2018, 69, 417–424. [Google Scholar] [CrossRef]
- Fujii, Y. Dilaton and Possible Non-Newtonian Gravity. Nat. Phys. Sci. 1971, 234, 5–7. [Google Scholar] [CrossRef]
- Kamyshkov, Y.; Tithof, J.; Vysotsky, M. Bounds on new light particles from high-energy and very small momentum transfer np elastic scattering data. Phys. Rev. D 2008, 78, 114029. [Google Scholar] [CrossRef]
- Xu, J.; Li, B.-A.; Chen, L.-W.; Zheng, H. Nuclear constraints on non-Newtonian gravity at femtometer scale. J. Phys. G: Nucl. Part. Phys. 2013, 40, 035107. [Google Scholar] [CrossRef]
- Pokotilovski, Y.N. Constraints on new interactions from neutron scattering experiments. Phys. At. Nucl. 2006, 69, 924–931. [Google Scholar] [CrossRef]
- Klimchitskaya, G.L.; Kuusk, P.; Mostepanenko, V.M. Constraints on non-Newtonian gravity and axionlike particles from measuring the Casimir force in nanometer separation range. Phys. Rev. D 2020, 101, 056013. [Google Scholar] [CrossRef]
- Kamiya, Y.; Itagaki, K.; Tani, M.; Kim, G.N.; Komamiya, S. Constraints on New Gravitylike Forces in the Nanometer Range. Phys. Rev. Lett. 2015, 114, 161101. [Google Scholar] [CrossRef]
- Chen, Y.-J.; Tham, W.K.; Krause, D.E.; López, D.; Fischbach, E.; Decca, R.S. Stronger Limits on Hypothetical Yukawa Interactions in the 30-8000 nm Range. Phys. Rev. Lett. 2016, 116, 221102. [Google Scholar] [CrossRef]
- Yong, G.-C.; Li, B.-A. Effects of nuclear symmetry energy on η meson production and its rare decay to the dark U-boson in heavy-ion reactions. Phys. Lett. B 2013, 723, 388–392. [Google Scholar] [CrossRef]
- Jean, P.; Knödlseder, J.; Lonjou, V.; Allain, M.; Roques, J.-P.; Skinner, G.K.; Teegarden, B.J.; Vedrenne, G.; von Ballmoos, P.; Cordier, B.; et al. Early SPI/INTEGRAL measurements of 511 keV line emission from the 4th quadrant of the Galaxy. Astron. Astrophys. 2003, 407, L55–L58. [Google Scholar] [CrossRef]
- Boehm, C.; Fayet, P.; Silk, J. Light and heavy dark matter particles. Phys. Rev. D 2004, 69, 101302. [Google Scholar] [CrossRef]
- Boehm, C.; Hooper, D.; Silk, J.; Casse, M.; Paul, J. MeV Dark Matter: Has It Been Detected? Phys. Rev. Lett. 2004, 92, 101301. [Google Scholar] [CrossRef]
- Long, J.C.; Chan, H.W.; Churnside, A.B.; Gulbis, E.A.; Varney, M.C.M.; Price, J.C. Upper limits to submillimetre-range forces from extra space-time dimensions. Nature 2003, 421, 922–925. [Google Scholar] [CrossRef]
- Fujii, Y. Cosmological Implications of the Fifth Force. In Proceedings of the 130th Symposium of the International Astronomical Union, Balatonfured, Hungary, 15–20 June 1987. [Google Scholar]
- Abbott, R. et al. [LIGO Scientific and Virgo Collaborations] GW190814: Gravitational Waves from the Coalescence of a 23 Solar Mass Black Hole with a 2.6 Solar Mass Compact Object. Astrophys. J. Lett. 2020, 896, L44. [Google Scholar] [CrossRef]
- Zhou, E.; Tsokaros, A.; Uryū, K.; Xu, R.; Shibata, M. Differentially rotating strange star in general relativity. Phys. Rev. D 2019, 100, 043015. [Google Scholar] [CrossRef]
- Foot, R.; Lew, H.; Volkas, R.R. A model with fundamental improper spacetime symmetries. Phys. Lett. B 1991, 272, 67–70. [Google Scholar] [CrossRef]
- Lee, T.D.; Yang, C.N. Question of Parity Conservation in Weak Interactions. Phys. Rev. 1956, 104, 254–258. [Google Scholar] [CrossRef]
- Foot, R. Mirror Matter-Type Dark Matter. Int. J. Mod. Phys. D 2004, 13, 2161–2192. [Google Scholar] [CrossRef]
- Berezhiani, Z. Mirror World and its Cosmological Consequences. Int. J. Mod. Phys. A 2004, 19, 3775–3806. [Google Scholar] [CrossRef]
- Berezhiani, Z. Through the Looking-Glass Alice’s Adventures in Mirror World. In From Fields to Strings: Circumnavigating Theoretical Physics; Shifman, M., Vainshtein, A., Wheater, J., Eds.; World Scientific: Singapore, 2005; pp. 2147–2195. [Google Scholar]
- Okun, L.B. Mirror particles and mirror matter: 50 years of speculation and searching. Phys. Usp. 2007, 50, 380–389. [Google Scholar] [CrossRef]
- Foot, R. Mirror dark matter: Cosmology, galaxy structure and direct detection. Int. J. Mod. Phys. A 2014, 29, 1430013. [Google Scholar] [CrossRef]
- Pavsic, M. External inversion, internal inversion, and reflection invariance. Int. J. Theor. Phys. 1974, 9, 229–244. [Google Scholar] [CrossRef]
- Berezhiani, Z.; Bento, L. Neutron-Mirror-Neutron Oscillations: How Fast Might They Be? Phys. Rev. Lett. 2006, 96, 081801. [Google Scholar] [CrossRef]
- Berezhiani, Z. More about neutron-mirror neutron oscillation. Eur. Phys. J. C 2009, 64, 421–431. [Google Scholar] [CrossRef]
- Goldman, I.; Mohapatra, R.N.; Nussinov, S. Bounds on neutron-mirror neutron mixing from pulsar timing. Phys. Rev. D 2019, 100, 123021. [Google Scholar] [CrossRef]
- McKeen, D.; Pospelov, M.; Raj, N. Neutron Star Internal Heating Constraints on Mirror Matter. Phys. Rev. Lett. 2021, 127, 061805. [Google Scholar] [CrossRef]
- Goldman, I.; Mohapatra, R.N.; Nussinov, S.; Zhang, Y. Neutron-Mirror-Neutron Oscillation and Neutron Star Cooling. Phys. Rev. Lett. 2022, 129, 061103. [Google Scholar] [CrossRef]
- Chakrabarty, S.; Raha, S.; Sinha, B. Strange quark matter and the mechanism of confinement. Phys. Lett. B 1989, 229, 112–116. [Google Scholar] [CrossRef]
- Benvenuto, O.G.; Lugones, G. Strange matter equation of state in the quark mass-density-dependent model. Phys. Rev. D 1995, 51, 1989–1993. [Google Scholar] [CrossRef] [PubMed]
- Lugones, G.; Benvenuto, O.G. Strange matter equation of state and the combustion of nuclear matter into strange matter in the quark mass-density-dependent model at T>0. Phys. Rev. D 1995, 52, 1276–1280. [Google Scholar] [CrossRef]
- Peng, G.X.; Chiang, H.C.; Zou, B.S.; Ning, P.Z.; Luo, S.J. Thermodynamics, strange quark matter, and strange stars. Phys. Rev. C 2000, 62, 025801. [Google Scholar] [CrossRef]
- Xia, C.J.; Peng, G.X.; Chen, S.W.; Lu, Z.Y.; Xu, J.F. Thermodynamic consistency, quark mass scaling, and properties of strange matter. Phys. Rev. D 2014, 89, 105027. [Google Scholar] [CrossRef]
- Peshier, A.; Kämpfer, B.; Pavlenko, O.P.; Soff, G. An effective model of the quark-gluon plasma with thermal parton masses. Phys. Lett. B 1994, 337, 235–239. [Google Scholar] [CrossRef]
- Gorenstein, M.I.; Yang, S.N. Gluon plasma with a medium-dependent dispersion relation. Phys. Rev. D 1995, 52, 5206–5212. [Google Scholar] [CrossRef]
- Peshier, A.; Kämpfer, B.; Soff, G. Equation of state of deconfined matter at finite chemical potential in a quasiparticle description. Phys. Rev. C 2000, 61, 045203. [Google Scholar] [CrossRef]
- Zong, H.-S.; Sun, W.-M. A Model Study of the Equation of State of QCD. Int. J. Mod. Phys. A 2008, 23, 3591–3612. [Google Scholar] [CrossRef]
- Li, B.-L.; Cui, Z.-F.; Yu, Z.-H.; Yan, Y.; An, S.; Zong, H.-S. Structures of the strange quark stars within a quasiparticle model. Phys. Rev. D 2019, 99, 043001. [Google Scholar] [CrossRef]
- Rüster, S.B.; Rischke, D.H. Effect of color superconductivity on the mass and radius of a quark star. Phys. Rev. D 2004, 69, 045011. [Google Scholar] [CrossRef]
- Buballa, M. NJL-model analysis of dense quark matter. Phys. Rep. 2005, 407, 205–376. [Google Scholar] [CrossRef]
- Menezes, D.P.; Providência, C.; Melrose, D.B. Quark stars within relativistic models. J. Phys. G: Nucl. Part. Phys. 2006, 32, 1081–1095. [Google Scholar] [CrossRef]
- Klähn, T.; Lastowiecki, R.; Blaschke, D. Implications of the measurement of pulsars with two solar masses for quark matter in compact stars and heavy-ion collisions: A Nambu-Jona-Lasinio model case study. Phys. Rev. D 2013, 88, 085001. [Google Scholar] [CrossRef]
- Chu, P.-C.; Wang, B.; Ma, H.-Y.; Dong, Y.-M.; Chang, S.-L.; Zheng, C.-H.; Liu, J.-T.; Zhang, X.-M. Quark matter in an SU(3) Nambu-Jona-Lasinio model with two types of vector interactions. Phys. Rev. D 2016, 93, 094032. [Google Scholar] [CrossRef]
- Freedman, B.; Mclerran, L. Fermions and gauge vector mesons at finite temperature and density. III. The ground-state energy of a relativistic quark gas. Phys. Rev. D 1977, 16, 1169–1185. [Google Scholar] [CrossRef]
- Freedman, B.; Mclerran, L. Quark star phenomenology. Phys. Rev. D 1978, 17, 1109–1122. [Google Scholar] [CrossRef]
- Kurkela, A.; Romatschke, P.; Vuorinen, A. Cold quark matter. Phys. Rev. D 2010, 81, 105021. [Google Scholar] [CrossRef]
- Chu, P.-C.; Chen, L.-W. Quark Matter Symmetry Energy and Quark Stars. Astrophys. J. 2014, 780, 135. [Google Scholar] [CrossRef]
- Liu, H.; Xu, J.; Chen, L.-W.; Sun, K.-J. Isospin properties of quark matter from a 3-flavor NJL model. Phys. Rev. D 2016, 94, 065032. [Google Scholar] [CrossRef]
- Chen, L. Symmetry Energy in Nucleon and Quark Matter. Nucl. Phys. Rev. 2017, 34, 20–28. [Google Scholar]
- Chu, P.-C.; Zhou, Y.; Qi, X.; Li, X.-H.; Zhang, Z.; Zhou, Y. Isospin properties in quark matter and quark stars within isospin-dependent quark mass models. Phys. Rev. C 2019, 99, 035802. [Google Scholar] [CrossRef]
- Alford, M.; Rajagopal, K.; Wilczek, F. QCD at finite baryon density: Nucleon droplets and color superconductivity. Phys. Lett. B 1998, 422, 247–256. [Google Scholar] [CrossRef]
- Rapp, R.; Schäfer, T.; Shuryak, E.V.; Velkovsky, M. Diquark Bose Condensates in High Density Matter and Instantons. Phys. Rev. Lett. 1998, 81, 53–56. [Google Scholar] [CrossRef]
- Rapp, R.; Schäfer, T.; Shuryak, E.V.; Velkovsky, M. High-Density QCD and Instantons. Ann. Phys. 2000, 280, 35–99. [Google Scholar] [CrossRef]
- Rajagopal, K.; Wilczek, F. The Condensed Matter Physics of QCD, In At the Frontier of Particle Physics: Handbook of QCD; Shifman, M., Ed.; World Scientific: Singapore, 2001; pp. 2061–2151. [Google Scholar]
- Alford, M. Color-Superconducting Quark Matter. Ann. Rev. Nucl. Part. Sci. 2001, 51, 131–160. [Google Scholar] [CrossRef]
- Alford, M.G.; Schmitt, A.; Rajagopal, K.; Schäfer, T. Color superconductivity in dense quark matter. Rev. Mod. Phys. 2008, 80, 1455–1515. [Google Scholar] [CrossRef]
- Alford, M.; Rajagopal, K.; Wilczek, F. Color-flavor locking and chiral symmetry breaking in high density QCD. Nucl. Phys. B 1999, 537, 443–458. [Google Scholar] [CrossRef]
- Rajagopal, K.; Wilczek, F. Enforced Electrical Neutrality of the Color-Flavor Locked Phase. Phys. Rev. Lett. 2001, 86, 3492–3495. [Google Scholar] [CrossRef]
- Lugones, G.; Horvath, J.E. Color-flavor locked strange matter. Phys. Rev. D 2002, 66, 074017. [Google Scholar] [CrossRef]
- Roupas, Z.; Panotopoulos, G.; Lopes, I. QCD color superconductivity in compact stars: Color-flavor locked quark star candidate for the gravitational-wave signal GW190814. Phys. Rev. D 2021, 103, 083015. [Google Scholar] [CrossRef]
- Horvath, J.E.; Moraes, P.H.R.S. Modeling a 2.5 M⊙ compact star with quark matter. Int. J. Mod. Phys. D 2021, 30, 2150016. [Google Scholar] [CrossRef]
- Miao, Z.; Jiang, J.-L.; Li, A.; Chen, L.-W. Bayesian Inference of Strange Star Equation of State Using the GW170817 and GW190425 Data. Astrophys. J. Lett. 2021, 917, L22. [Google Scholar] [CrossRef]
- Pagliara, G.; Herzog, M.; Röpke, F.K. Combustion of a neutron star into a strange quark star: The neutrino signal. Phys. Rev. D 2013, 87, 103007. [Google Scholar] [CrossRef]
- Geng, J.; Li, B.; Huang, Y. Repeating fast radio bursts from collapses of the crust of a strange star. Innovation 2021, 2, 100152. [Google Scholar] [CrossRef]
- Kuerban, A.; Geng, J.-J.; Huang, Y.-F.; Zong, H.-S.; Gong, H. Close-in Exoplanets as Candidates for Strange Quark Matter Objects. Astrophys. J. 2020, 890, 41. [Google Scholar] [CrossRef]
Disclaimer/Publisher’s Note: The statements, opinions and data contained in all publications are solely those of the individual author(s) and contributor(s) and not of MDPI and/or the editor(s). MDPI and/or the editor(s) disclaim responsibility for any injury to people or property resulting from any ideas, methods, instructions or products referred to in the content. |
© 2023 by the authors. Licensee MDPI, Basel, Switzerland. This article is an open access article distributed under the terms and conditions of the Creative Commons Attribution (CC BY) license (https://creativecommons.org/licenses/by/4.0/).








