Dark Energy Is the Cosmological Quantum Vacuum Energy of Light Particles—The Axion and the Lightest Neutrino
Abstract
1. Introduction and Results
- We investigate the evolution of scalars and fermions as an initial value problem (Cauchy problem) for the corresponding quantum fields on a cosmological space-time.
- We find that the initial temperature has a negligible effect on the vacuum energy for late times.
- Both axions and neutrinos can lead to vacuum effects lasting cosmological time scales. Any of the two heavier neutrino mass eigenstates, and , would produce a large negative dark energy in the range. Hence:
- (i)
- either the heavier neutrinos, and , annihilate with their respective anti-neutrinos in a time scale of the age of the universe, or
- (ii)
- a stable scalar particle with mass in the meV range must be present in order to reproduce the observed value of the dark energy Equation (2).
However, we find in this paper that possibility (ii) is inconsistent with the observed dark energy equation of state.
- The fast scale is the microscopic quantum evolution scale,typically , where M and m are the scalar and fermion masses, respectively.
- The slow scale is the Hubble scale of the universe expansion.When , and hence the scale factor can be considered as constant.
- Therefore, the cosmological quantum field evolution for the fields and is just the Minkowski evolution with effective masses and , respectively, as seen from Equation (3).
- We therefore obtain for the axion mass M and for the equation of state today the following values:The left and right ends of the intervals in Equation (15) correspond to no neutrino contribution and to the lightest neutrino contribution, respectively, as a Dirac fermion with mass meV.
- We see that is slightly below by an amount ranging from to , while the axion mass results are between 4 and 5 meV, which is within the range of axion masses allowed by astrophysical and cosmological constraints, e.g., [73,74,75].If the scalar particle is not the axion, the value of will depend on the dynamics of such scalar particle.
- In general, we express the contribution of the quantum vacuum of light particles to dark energy and pressure in terms of two parameters: the particle masses and the redshifts when they are decoupled. There is also a dependence on the number of states per particle (1 for a scalar, for a fermion).
- We uncover in this paper the general mechanism producing the dark energy today. This mechanism is only based on well-known quantum physics and cosmology. The observed dark energy in the universe today appears as a quantum vacuum effect only due to the (classical) cosmological space-time expansion. That is to say, dark energy in the present universe is a semiclassical gravity effect.
- The dark energy arises for a quantum field in the cosmological context in an analogous way to how the Casimir effect arises for a quantum field in Minkowski space-time with non-trivial boundary conditions in space.
- All physical (finite) results are independent of any energy cutoff as well as of the regularization method used.
- We obtain and solve in this paper the self-consistent Einstein–Friedmann equation for the scale factor when dark energy dominates and the universe expansion accelerates. The growth of the energy density Equation (4) as the logarithm of the scale factor implies an expansion faster than in de Sitter space-time. More precisely, we find that the Universe will reach in the future an asymptotic phase where it expands exponentially aswhereand stands for the Hubble parameter today. The left and right ends of the interval for in Equation (17) correspond to no neutrino contribution and to the lightest neutrino contribution, respectively, as a Dirac fermion with mass meV.
- Notice that the time scale of the accelerated expansion is huge: Gyr. In the exponent of Equation (16), the quadratic term dominates over the linear term by a time to .In this accelerated universe, we see from the Friedman equation and Equation (4) that the Hubble radius decreases with time as .
2. Scalar Fields in Cosmological Space-Times
3. Fermion Fields in Cosmological Space-Times
4. The Cosmological Quantum Vacuum
5. Vacuum Energy Density and Pressure for Late Times
6. The Quantum Nature of the Cosmological Vacuum
7. Dark Energy from the Cosmological Quantum Vacuum
- A scalar particle can produce the dark energy today Equation (89) through its quantum cosmological vacuum provided:
- Its mass is of the order of 1 meV, and it is very weakly coupled.
- Its lifetime is of the order of the age of the universe.
- An axion with mass meV and hence GeV decouples from the plasma at a scale of energies GeV, that is, at redshift . The temperatures of the axions and neutrinos today are lower than that of photons today,Because the axion lifetime is of the order or larger than the age of the universe, no specific properties of the axion play a role in dark energy, except for its mass and decoupling redshift. However, the dark energy depends on the decoupling redshift rather weakly because it is through its logarithm (see Equation (77)).
- Neutrinos in the universe are believed to be effectively free particles when the temperature of the universe is below MeV. That is, neutrinos decouple at a redshift . Before such time, electrons and neutrinos interacted, keeping them in thermal equilibrium.
- Therefore, we can treat the axion with mass meV and the lightest neutrino as free particles in the universe for redshifts and , respectively.
8. Neutrino Mass Eigenstates
9. Light Particle Masses and the Dark Energy Density Today
10. The Future Evolution of the Universe
11. Discussion
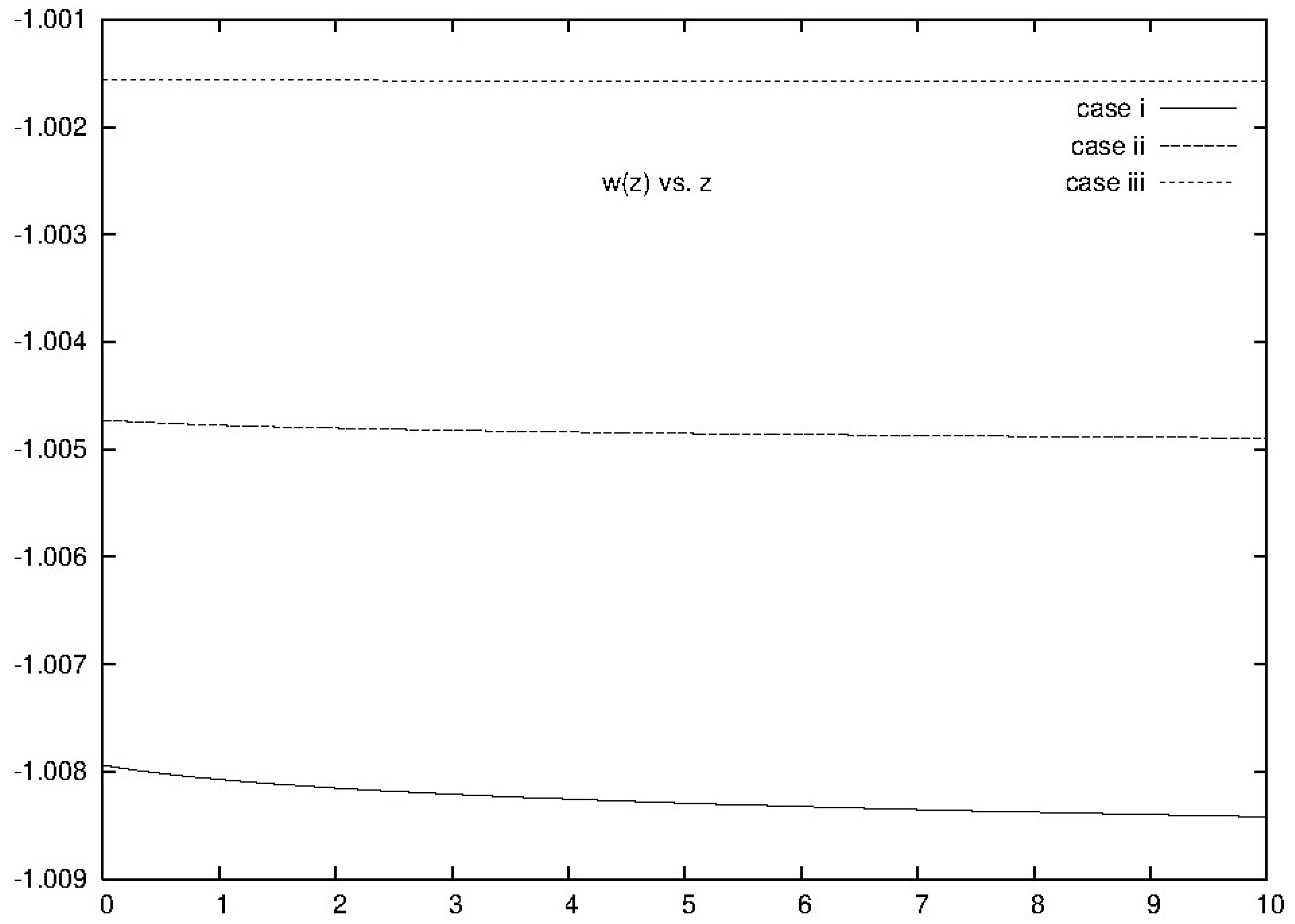
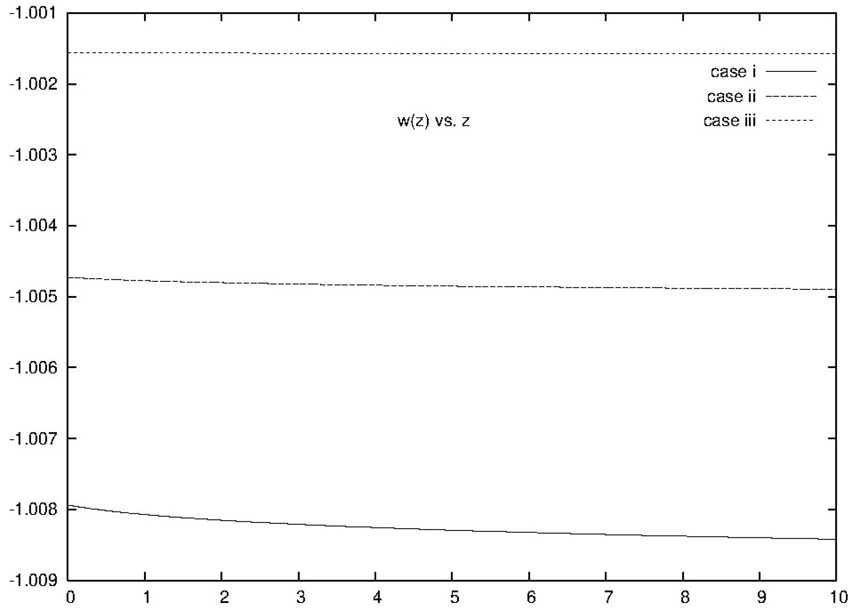
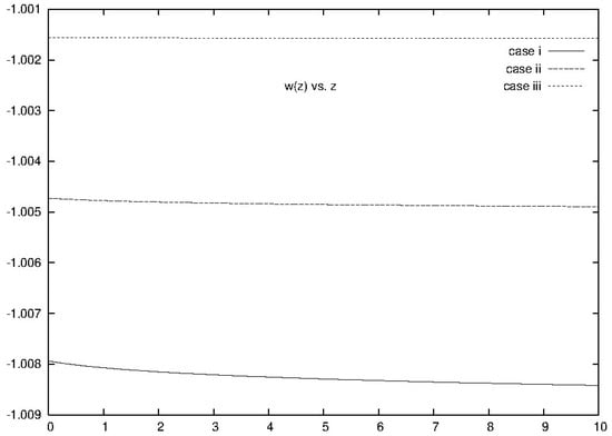
- In Figure 1, we plot the equation of state w(z) as a function of z for the three cases explicitly calculated in this paper:
- (i) No neutrino contribution to the dark energy and the scalar mass meV.
- (ii) A Majorana neutrino with mass meV and the scalar mass meV.
- (iii) A Dirac neutrino with mass meV and the scalar mass meV (see the discussion in Section 9).
- We see that the equation of state in all the three cases (i)–(iii) differs from the cosmological constant case by less than .
- The value of the lightest neutrino mass Equation (104) is well below the neutrino mass splittings and and consistent with both direct and inverse mass hierarchies. A quasi-degenerate mass spectrum will give a large negative contribution to the dark energy and will require a scalar particle with a mass meV to reproduce the observed dark energy data Equation (89). Such a particle can very well exist, but it cannot be the axion (see Equation (93)). Indeed, the scalar particle can have the mass value given by Equation (106) in case all three neutrinos decay in a time scale of the age of the universe in order to dissipate their cosmological vacuum energy, as discussed in Section 8.
- On the other hand, a range of neutrino masses from eV to eV in agreement with neutrino mass differences from oscillations and the value Equation (104) for the mass of the lightest neutrinos is compatible with a consistent baryogenesis.
12. Conclusions
- We find that the presence of a cosmological quantum vacuum energy with an equation of state just below is the unavoidable consequence of the existence of light particles with very weak couplings. Bosons yield positive contributions and fermions yield negative contributions to the vacuum energy.
- It must be noticed that there is a present lack of knowledge about the low-energy (energy meV) particle physics region. Actually, most of the constraints on this sector follow from astrophysics and cosmology, including the new constraints that we obtain here on the axion mass.
- No exotic physics need to be invoked to explain the dark energy. Since the observed energy scale of the dark energy is very low, we find it natural to explain it only through low-energy physics. The effects from energy scales higher than 1 eV or even 1 MeV arrive strongly suppressed to the dark energy scale of 1 meV.
- In summary, dark energy can be explained by a very light and very weakly coupled scalar particle, which decouples by redshift . If the scalar particle is the axion, then .We have four main cases:
- (i)
- No neutrino contribution. This happens when the lightest neutrino has a mass meV and when the vacuum neutrino contribution dissipates in the time scale of the age of the universe (see Equation (99)). The scalar mass must beIf the scalar is the axion, then meV in this case.
- (ii)
- The lightest neutrino is Majorana and has a mass meV. Then, the scalar mass must beIf the scalar is the axion, then meV in this case.
- (iii)
- The lightest neutrino is Dirac and has a mass meV. Then, the scalar mass must beIf the scalar is the axion, then meV in this case.
- Therefore, in all the three cases (i)–(iii) above where the axion explains the dark energy, we predict its mass in the range:The left and right ends of the interval in Equation (114) correspond to no neutrino contribution and to the lightest neutrino as a Dirac fermion with mass meV, respectively.
- In short, we uncovered here the general mechanism producing the dark energy today. This mechanism has it grounds in well-known quantum physics and cosmology. The dark energy appears as a quantum vacuum effect arising when stable and weakly coupled quantum fields live in expanding cosmological space-times. That is to say, dark energy in the universe today is a QFT effect in (classical) curved space-times. That is to say, this is a semiclassical gravity effect.
- In addition, we have found here that the axion with mass in the meV range is a very serious candidate for dark energy, while we have shown already [112,113] that it is robustely excluded as a dark matter candidate. The cosmic dark energy today is on the meV scale, while the dark matter (cosmic and galactic) particle is on the keV scale [113,114,115,116,117,118,119,120].
- Many research avenues are open now connecting dark energy and light particles physics. The more immediate being:
- (1)
- The study of the radiative corrections to the axion and neutrino cosmological vacuum evolution from their interactions.
- (2)
- The study of the early neutrino and axion dynamics at temperatures MeV and GeV, respectively.
- (3)
- The study of particle propagation in the media formed by the axion and the neutrino vacuum.
- (4)
- Last but not least: The probable deep connection between dark energy and dark matter through low-energy particle states beyond the standard model of particle physics.
Author Contributions
Funding
Data Availability Statement
Acknowledgments
Conflicts of Interest
Appendix A. Dimensional and Cutoff Regularization of the Vacuum Energy
References
- Riess, A.G.; Filippenko, A.V.; Challis, P.; Clocchiatti, A.; Diercks, A.; Garnavich, P.M.; Gilliland, R.L.; Hogan, C.J.; Jha, S.; Kirshner, R.P.; et al. Observational Evidence from Supernovae for an Accelerating Universe and a Cosmological Constant. Astron. J. 1998, 116, 1009. [Google Scholar] [CrossRef]
- Garnavich, P.; Jha, S.; Challis, P.; Clocchiatti, A.; Diercks, A.; Filippenko, A.V.; Gilliland, R.L.; Hogan, C.J.; Kirshner, R.P.; Leibundgut, L.B.; et al. Supernova Limits on the Cosmic Equation of State. Astrophys. J. 1998, 509, 74. [Google Scholar] [CrossRef]
- Perlmutter, S.; Aldering, G.; Goldhaber, G.; Knop, R.A.; Nugent, P.; Castro, P.G.; Deustua, S.; Fabbro, S.; Goobar, A.; Groom, D.E.; et al. Measurements of Ω and Λ from 42 High-Redshift Supernovae. Astrophys. J. 1999, 517, 565. [Google Scholar] [CrossRef]
- Schmidt, B.P. Measuring global curvature and Cosmic acceleration with Supernovae. In Phase Transitions in Cosmology: Theory and Observations; de Vega, H.J., Khalatnikov, I.M., Sanchez, N.G., Eds.; NATO ASI Series; Kluwer Publishing: Philadelphia, PA, USA, 2001; Volume 40, pp. 249–266. [Google Scholar]
- Knop, R.A. et al. [The Supernova Cosmology Project] New Constraints on ΩM, ΩΛ, and w from an Independent Set of 11 High-Redshift Supernovae Observed with the Hubble Space Telescope. Astrophys. J. 2003, 598, 102. [Google Scholar] [CrossRef]
- Riess, A.G.; Strolger, L.-G.; Tonry, J.; Casertano, S.; Ferguson, H.C.; Mobasher, B.; Challis, P.; Filippenko, A.V.; Jha, S.; Li, W.; et al. Type Ia Supernova Discoveries at z >1 from the Hubble Space Telescope: Evidence for Past Deceleration and Constraints on Dark Energy Evolution. Astrophys. J. 2004, 607, 665. [Google Scholar] [CrossRef]
- Astier, P.; Guy, J.; Regnault, N.; Pain, R.; Aubourg, E.; Balam, D.; Basa, S.; Carlberg, R.G.; Fabbro, S.; Fouchez, D.; et al. The Supernova Legacy Survey: Measurement of ΩM, ΩΛ, and w from the first year data set. Astron. Astrophys. 2006, 447, 31. [Google Scholar] [CrossRef]
- Eisenstein, D.J.; Zehavi, I.; Hogg, D.W.; Scoccimarro, R.; Blanton, M.R.; Nichol, R.C.; Scranton, R.; Seo, H.J.; Tegmark, M.; Zheng, Z.; et al. Detection of the Baryon Acoustic Peak in the Large-Scale Correlation Function of SDSS Luminous Red Galaxies. Astrophys. J. 2005, 633, 560. [Google Scholar] [CrossRef]
- Conley, A. et al. [The Supernova Cosmology Project] Measurement of ΩM, ΩΛ from a Blind Analysis of Type Ia Supernovae with CMAGIC: Using Color Information to Verify the Acceleration of the Universe. Astrophys. J. 2006, 644, 1. [Google Scholar] [CrossRef]
- Wood-Vasey, W.M.; Miknaitis, G.; Stubbs, C.W.; Jha, S.; Riess, A.G.; Garnavich, P.M.; Kirshner, R.P.; Aguilera, C.; Becker, A.C.; Blackman, J.W.; et al. Observational Constraints on the Nature of Dark Energy: First Cosmological Results from the ESSENCE Supernova Survey. Astrophys. J. 2007, 666, 694–715. [Google Scholar] [CrossRef]
- Miknaitis, G.; Pignata, G.; Rest, A.; Wood-Vasey, W.M.; Blondin, S.; Challis, P.; Smith, R.C.; Stubbs, C.W.; Suntzeff, N.B.; Foley, R.J.; et al. The ESSENCE Supernova Survey: Survey Optimization, Observations, and Supernova Photometry. Astrophys. J. 2007, 666, 674–693. [Google Scholar] [CrossRef]
- Riess, A.G.; Strolger, L.G.; Casertano, S.; Ferguson, H.C.; Mobasher, B.; Gold, B.; Challis, P.J.; Filippenko, A.V.; Jha, S.; Li, W.; et al. New Hubble Space Telescope Discoveries of Type Ia Supernovae at z ≥ 1: Narrowing Constraints on the Early Behavior of Dark Energy. Astrophys. J. 2007, 659, 98–121. [Google Scholar] [CrossRef]
- Abbott, T. et al. [Dark Energy Survey Collaboration] The Dark Energy Survey: More than dark energy—An overview. MNRAS 2016, 460, 1270. [Google Scholar]
- Abbott, T.M.C. et al. [DES Collaboration] First Cosmology Results using Type Ia Supernovae from the Dark Energy Survey: Constraints on Cosmological Parameters. Astrophys. J. Lett. 2019, 872, L30. [Google Scholar] [CrossRef]
- Abbott, T.M.C. et al. [DES Collaboration] Dark Energy Survey Year 3 Results: Cosmological Constraints from Galaxy Clustering and Weak Lensing. Phys. Rev. D 2022, 105, 023520. [Google Scholar] [CrossRef]
- Euclid. Available online: https://sci.esa.int/web/euclid/ (accessed on 22 March 2023).
- Legacy Survey of Space and Time LSST-Vera C. Rubin Observatory. Available online: https://www.lsst.org/ (accessed on 22 March 2023).
- Peebles, P.J.E.; Ratra, B. The cosmological constant and dark energy. Revs. Mods. Phys. 2003, 75, 559. [Google Scholar] [CrossRef]
- Padmanabhan, T. Cosmological constant—The weight of the vacuum. Phys. Rept. 2003, 380, 235. [Google Scholar] [CrossRef]
- Copeland, E.J.; Sami, M.; Tsujikawa, S. Dynamics of Dark Energy. Int. J. Mod. Phys. 2006, D15, 1753–1936. [Google Scholar] [CrossRef]
- Nobbenhuis, S. Categorizing Different Approaches to the Cosmological Constant Problem. Found. Phys. 2006, 36, 613. [Google Scholar] [CrossRef]
- Frieman, J.A.; Turner, M.S.; Huterer, D. Dark Energy and the Accelerating Universe. Ann. Rev. Astron. Astrophys. 2008, 46, 385–432. [Google Scholar] [CrossRef]
- Huterer, D.; Shafer, D.L. Dark Energy Two Decades after: Observables, Probes, Consistency Tests. Rep. Prog. Phys. 2018, 81, 016901. [Google Scholar] [CrossRef]
- Fardon, R.; Nelson, A.E.; Weiner, N. Dark energy from mass varying neutrinos. J. Cosmol. Astropart. Phys. 2004, 410, 5. [Google Scholar] [CrossRef]
- Fardon, R.; Nelson, A.E.; Weiner, N.J. Supersymmetric theories of neutrino dark energy. J. High Energy Phys. 2006, 3, 042. [Google Scholar] [CrossRef]
- Peccei, R.D. Neutrino models of dark energy. Phys. Rev. 2005, D71, 023527. [Google Scholar] [CrossRef]
- Hung, P.Q.R. Horvat, Mass-varying neutrinos from a variable cosmological constant. J. Cosmol. Astropart. Phys. 2006, 1, 15. [Google Scholar]
- Das, S.; Weiner, N. Late forming dark matter in theories of neutrino dark energy. Phys. Rev. 2011, D84, 123511. [Google Scholar] [CrossRef]
- Guendelman, E.I.; Kaganovich, A.B. Neutrino generated dynamical dark energy with no dark energy field. Phys. Rev. 2013, D87, 044021. [Google Scholar] [CrossRef]
- Valentino, E.D.; Gariazzo, S.; Mena, O.; Vagnozzi, S. Soundness of dark energy properties. J. Cosmol. Astropart. Phys. 2020, 07, 045. [Google Scholar] [CrossRef]
- Mortonson, M.J.; Weinberg, D.H.; White, M. Dark Energy: A Short Review. arXiv 2013, arXiv:1401.0046. [Google Scholar]
- Frusciante, N.; Perenon, L. Effective field theory of dark energy: A review. Phys. Rept. 2020, 857, 1–63. [Google Scholar] [CrossRef]
- Sola Peracaula, J. The cosmological constant problem and running vacuum in the expanding universe. Phil. Trans. R. Soc. A 2022, 380, 20210182. [Google Scholar] [CrossRef]
- Albrecht, A.; Bernstein, G.; Cahn, R.; Freedman, W.L.; Hewitt, J.; Hu, W.; Huth, J.; Kamionkowski, M.; Kolb, E.W.; Knox, L.; et al. Report of the Dark Energy Task Force, DoE, NASA and NSF. arXiv 2006, arXiv:astro-ph/0609591. [Google Scholar]
- Abdalla, E.; Abellan, G.F.; Aboubrahim, A.; Agnello, A.; Akarsu, O.; Akrami, Y.; Alestas, G.; Aloni, D.; Amendola, L.; Anchordoqui, L.A.; et al. Cosmology Intertwined: A Review of the Particle Physics, Astrophysics, and Cosmology Associated with the Cosmological Tensions and Anomalies. J. High Energy Astrophys. 2022, 34, 49–211. [Google Scholar]
- Sanchez, N.G. Quantum discrete levels of the Universe from the early trans-Planckian vacuum to the late dark energy. Phys. Rev. 2021, D104, 123517. [Google Scholar] [CrossRef]
- Sanchez, N.G. New quantum phase of the Universe before inflation and its cosmological and dark energy implications. Int. J. Mod. Phys. 2019, A34, 1950155. [Google Scholar] [CrossRef]
- Sanchez, N.G. The classical-quantum duality of nature including gravity. Int. J. Mod. Phys. 2019, D28, 1950055. [Google Scholar] [CrossRef]
- Boyanovsky, D.; de Vega, H.J.; Holman, R.; Lee, D.S.; Singh, A. Dissipation via particle production in scalar field theories. Phys. Rev. 1995, D51, 4419. [Google Scholar] [CrossRef] [PubMed]
- Boyanovsky, D.; de Vega, H.J.; Holman, R.; Salgado, J.F.J. Analytic and Numerical Study of Preheating Dynamics. Phys. Rev. 1996, D54, 7570. [Google Scholar] [CrossRef] [PubMed]
- Boyanovsky, D.; D’Attanasio, M.; de Vega, H.J.; Holman, R.; Lee, D.-S. Linear versus nonlinear relaxation: Consequences for reheating and thermalization. Phys. Rev. 1995, D52, 6805. [Google Scholar] [CrossRef]
- Baacke, J.; Pätzold, C. Renormalization of the nonequilibrium dynamics of fermions in a flat FRW universe. Phys. Rev. 2000, D62, 084008. [Google Scholar] [CrossRef]
- Boyanovsky, D.; Destri, C.; de Vega, H.J.; Holman, R.; Salgado, J.F.J. Asymptotic dynamics in scalar field theory: Anomalous relaxation. Phys. Rev. 1998, D57, 7388. [Google Scholar] [CrossRef]
- Yao, W.M. et al. [Particle Data Group] . Available online: http://pdg.lbl.gov/ (accessed on 21 March 2023).
- Spergel, D.N.; Bean, R.; Doré, O.; Nolta, M.R.; Bennett, C.L.; Dunkley, J.; Hinshaw, G.; Jarosik, N.; Komatsu, E.; Page, L.; et al. Three-Year Wilkinson Microwave Anisotropy Probe (WMAP) Observations: Implications for Cosmology. Astrophys. J. 2007, 170, 377. [Google Scholar] [CrossRef]
- Aghanim, N. et al. [Planck Collaboration] Planck 2018 results. VI. Cosmological parameters. Astron. Astrophys. 2020, 641, 67. [Google Scholar]
- Peccei, R.D.; Quinn, H.R. CP Conservation in the Presence of Pseudoparticles. Phys. Rev. Lett. 1977, 38, 1440. [Google Scholar] [CrossRef]
- Weinberg, S. A New Light Boson? Phys. Rev. Lett. 1978, 40, 223. [Google Scholar] [CrossRef]
- Wilczek, F. Problem of Strong P and T Invariance in the Presence of Instantons. Phys. Rev. Lett. 1978, 40, 279. [Google Scholar] [CrossRef]
- Co, R.T.; Hall, L.J.; Harigaya, K. Axion Kinetic Misalignment Mechanism. Phys. Rev. Lett. 2020, 124, 251802. [Google Scholar] [CrossRef] [PubMed]
- Kim, J.E. Weak-Interaction Singlet and Strong CP Invariance. Phys. Rev. Lett. 1979, 43, 103. [Google Scholar] [CrossRef]
- Shifman, M.A.; Vainshtein, A.I.; Zakharov, V.I. Can confinement ensure natural CP invariance of strong interactions? Nucl. Phys. 1980, B166, 493. [Google Scholar] [CrossRef]
- Dine, M.; Fischler, W.; Srednicki, M. A simple solution to the strong CP problem with a harmless axion. Phys. Lett. 1981, B104, 199. [Google Scholar] [CrossRef]
- Zhitnitsky, A.R.; Sov, J. On Possible Suppression of the Axion Hadron Interactions. Nucl. Phys. 1980, 31, 260. (In Russian) [Google Scholar]
- Kim, J.E.; Carosi, G. Axions and the strong CP problem. Rev. Mod. Phys. 2010, 82, 557–602. [Google Scholar] [CrossRef]
- Chikashige, Y.; Mohapatra, R.N.; Peccei, R.D. Are there real Goldstone bosons associated with broken lepton number? Phys. Lett. B 1981, 98, 265. [Google Scholar] [CrossRef]
- Dodelson, S. Modern Cosmology; Academic Press: San Diego, CA, USA, 2003. [Google Scholar]
- Kolb, E.W.; Turner, M.S. The Early Universe; Addison Wesley: Redwood City, CA, USA, 1990. [Google Scholar]
- Gorbunov, D.S.; Rubakov, V.A. Theory of the Early Universe I. In Hot Big Bang Theory; World Scientific: Singapore, 2011. [Google Scholar]
- Valentino, E.D.; Melchiorri, A.; Mena, O. Dark radiation sterile neutrino candidates after Planck data. J. Cosmol. Astropart. Phys. 2013, 11, 18. [Google Scholar] [CrossRef]
- Archidiacono, M.; Gariazzo, S. wo Sides of the Same Coin: Sterile Neutrinos and Dark Radiation, Status and Perspectives. Universe 2022, 8, 175. [Google Scholar] [CrossRef]
- Peccei, R.D. The Strong CP Problem and Axions. Lect. Notes Phys. 2008, 741, 3–17. [Google Scholar]
- Sikivie, P. Axion Cosmology. Lect. Notes Phys. 2008, 741, 19–50. [Google Scholar]
- Marsh, D.J.E. Axion cosmology. Phys. Rep. 2016, 643, 1–79. [Google Scholar] [CrossRef]
- Borsanyi, S.S.; Dierigl, M.; Fodor, Z.; Katz, S.D.; Mages, S.W.; Nogradi, D.; Redondo, J.; Ringwald, A.; Szabo, K.K. Axion cosmology, lattice QCD and the dilute instanton gas. Phys. Lett. B 2016, 752, 175. [Google Scholar] [CrossRef]
- Ballesteros, G.; Redondo, L.; Ringwald, A.; Tamarit, C. Unifying Inflation with the Axion, Dark Matter, Baryogenesis, and the Seesaw Mechanism. Phys. Rev. Lett. 2017, 118, 071802. [Google Scholar] [CrossRef]
- Balazs, C.; Bloor, S.; Gonzalo, T.E.; Handley, W.; Hoof, S.; Kahlhoefer, F.; Lecroq, M.; Marsh, D.J.E.; Renk, J.J.; Scott, P.; et al. Cosmological constraints on decaying axion-like particles: A global analysis. J. Cosmol. Astropart. Phys. 2022, 12, 27. [Google Scholar] [CrossRef]
- Hlozek, R.; Grin, D.; Marsh, D.J.E.; Ferreira, P.G. A search for ultralight axions using precision cosmological data. Phys. Rev. D 2015, 91, 103512. [Google Scholar] [CrossRef]
- Sirlin, A. A Comment on the mass ratios of elementary fermions. Comm. Nucl. Part. Phys. 1994, 21, 227. [Google Scholar]
- Albright, C.H. Normal vs. inverted hierarchy in type I seesaw models. Phys. Lett. B 2004, 599, 285. [Google Scholar] [CrossRef]
- Casas, J.A.; Ibarra, A.; Jimenez-Alburquerque, F. Hints on the high-energy seesaw mechanism from the low-energy neutrino spectrum. J. High Energy Phys. 2007, 704, 64. [Google Scholar] [CrossRef][Green Version]
- Guo, W.-L.; Xing, Z.-Z.; Zhou, S. Neutrino Masses, Lepton Flavor Mixing and Leptogenesis in the Minimal Seesaw Model. Int. J. Mod. Phys. 2007, E16, 1–50. [Google Scholar] [CrossRef]
- Raffelt, G.G. Astrophysical Axion Bounds. Lect. Notes Phys. 2008, 741, 51–71. [Google Scholar]
- Keil, W.; Janka, H.-T.; Schramm, D.N.; Sigl, G.; Turner, M.S.; Ellis, J. Fresh look at axions and SN 1987A. Phys. Rev. 1997, D56, 2419. [Google Scholar] [CrossRef]
- Janka, H.-T.; Keil, W.; Raffelt, G.; Seckel, D. Nucleon Spin Fluctuations and the Supernova Emission of Neutrinos and Axions. Phys. Rev. Lett. 1996, 76, 2621. [Google Scholar] [CrossRef] [PubMed]
- Birrell, N.D.; Davies, P.C.W. Quantum fields in curved space. In Cambridge Monographs in Mathematical Physics; Cambridge University Press: Cambridge, UK, 1982. [Google Scholar]
- Boyanovsky, D.; de Vega, H.J.; Sanchez, N.G. Quantum corrections to the inflaton potential and the power spectra from superhorizon modes and trace anomalies. Phys. Rev. 2005, D72, 103006. [Google Scholar] [CrossRef]
- Itzykson, C.; Zuber, J.B. Quantum Field Theory; McGraw-Hill: New York, NY, USA, 1980. [Google Scholar]
- Riess, A.G.; Casertano, S.; Yuan, W.; Macri, L.M.; Scolnic, D. Large Magellanic Cloud Cepheid Standards Provide a 1% Foundation for the Determination of the Hubble Constant and Stronger Evidence for Physics beyond ΛCDM. Astrophys. J. 2019, 876, 85. [Google Scholar] [CrossRef]
- Riess, A.G.; Casertano, S.; Yuan, W.; Bowers, J.B.; Macri, L.; Zinn, J.C.; Scolnic, D. Cosmic distances calibrated to 1% precision with gaia EDR3 parallaxes and Hubble space telescope photometry of 75 Milky Way cepheids confirm tension with ΛCDM. Astrophys. J. Lett. 2021, 908, L6. [Google Scholar] [CrossRef]
- Riess, A.G.; Yuan, W.; Macri, L.M.; Scolnic, D.; Brout, D.; Casertano, S.; Jones, D.O.; Murakami, Y.; Anand, G.S.; Breuval, L.; et al. A comprehensive measurement of the local value of the Hubble constant with 1 km s- 1 mpc- 1 uncertainty from the Hubble space telescope and the sh0es team. Astrophys. J. Lett. 2022, 934, L7. [Google Scholar] [CrossRef]
- The H0 Award, Surprises in the Expansion History of the Universe. Available online: https://chalonge-devega.fr/Riess-07Dec22.mp4 (accessed on 8 December 2022).
- Abbott, B.P.; The LIGO Scientific Collaboration; Virgo Collaboration. Tests of general relativity with the binary black hole signals from the LIGO-Virgo catalog GWTC-1. Phys. Rev. D 2019, 100, 104036. [Google Scholar] [CrossRef]
- Valle, J.W.F. Gauge Theories and the Physics of Neutrino Mass. Prog. Part. Nucl. Phys. 1991, 26, 91. [Google Scholar] [CrossRef]
- Valle, J.W.F. Neutrinos in astroparticle physics. AIP Conf. Proc. 2006, 878, 369–384. [Google Scholar]
- Valle, J.W.F. Concluding talk at NOW 2006. Nucl. Phys. Proc. Suppl. 2007, 168, 413–422. [Google Scholar] [CrossRef]
- Lesgourgues, J.; Pastor, S. Massive neutrinos and cosmology. Phys. Rept. 2006, 429, 307. [Google Scholar] [CrossRef]
- Mohapatra, R.N.; Smirnov, A.Y. Neutrino Mass and New Physics. Annu. Rev. Nucl. Part. Sci. 2006, 56, 569. [Google Scholar] [CrossRef]
- Hannestad, S. Primordial Neutrinos. Annu. Rev. Nucl. Part. Sci. 2006, 56, 137. [Google Scholar] [CrossRef]
- Sikivie, P.; Yang, Q. Bose-Einstein Condensation of Dark Matter Axions. Phys. Rev. Lett. 2009, 103, 111301. [Google Scholar] [CrossRef]
- Erken, O.; Sikivie, P.; Tam, H.; Yang, Q. Cosmic axion thermalization. Phys. Rev. 2012, D85, 063520. [Google Scholar]
- Crisosto, N.; Sikivie, P.; Sullivan, N.S.; Tanner, D.B.; Yang, J.; Rybka, G. ADMX SLIC: Results from a Superconducting LC Circuit Investigating Cold Axions. Phys. Rev. Lett. 2020, 124, 241101. [Google Scholar] [CrossRef]
- Turner, M.S. Early-Universe Thermal Production of Not-So-Invisible Axions. Phys. Rev. Lett. 1987, 59, 2489. [Google Scholar] [CrossRef]
- Massó, E.; Rota, F.; Zsembinszki, G. Axion thermalization in the early universe. Phys. Rev. 2002, D66, 023004. [Google Scholar] [CrossRef]
- Chacko, Z.; Hall, L.J.; Okui, T.; Oliver, S.J. CMB signals of neutrino mass generation. Phys. Rev. 2004, D70, 085008. [Google Scholar] [CrossRef]
- Chacko, Z.; Hall, L.J.; Oliver, S.J.; Perelstein, M. Late Time Neutrino Masses, the LSND Experiment, and the Cosmic Microwave Background. Phys. Rev. Lett. 2005, 94, 111801. [Google Scholar] [CrossRef] [PubMed]
- Okui, T. Searching for composite neutrinos in the cosmic microwave background. J. High Energy Phys. 2005, 09, 017. [Google Scholar] [CrossRef][Green Version]
- Hall, L.J.; Oliver, S.J. Why Are Neutrinos Light?—An Alternative. Nucl. Phys. Proc. Suppl. 2004, 137, 269. [Google Scholar] [CrossRef]
- Davoudiasl, H.; Kitano, R.; Kribs, G.D.; Murayama, H. Models of neutrino mass with a low cutoff scale. Phys. Rev. 2005, D71, 113004. [Google Scholar] [CrossRef]
- Boehm, C.; Farzan, Y.; Hambye, T.; Palomares-Ruiz, S.; Pascoli, S. Is it possible to explain neutrino masses with scalar dark matter? Phys. Rev. 2008, D77, 043516. [Google Scholar] [CrossRef]
- Bell, N.F.; Pierpaoli, E.; Sigurdson, K. Cosmological signatures of interacting neutrinos. Phys. Rev. 2006, D73, 063523. [Google Scholar] [CrossRef]
- Farzan, Y. Bounds on the coupling of the Majoron to light neutrinos from supernova cooling. Phys. Rev. 2003, D67, 073015. [Google Scholar] [CrossRef]
- Baker, J.L.; Goldberg, H.; Perez, G.; Sarcevic, I. Probing late neutrino mass properties with supernova neutrinos. Phys. Rev. 2007, D76, 063004. [Google Scholar] [CrossRef]
- Goldberg, H.; Perez, G.; Sarcevic, I. Mini Z′ burst from relic supernova neutrinos and late neutrino masses. J. High Energy Phys. 2006, 11, 23. [Google Scholar] [CrossRef]
- Markevitch, M.; Gonzalez, A.H.; Clowe, D.; Vikhlinin, A.; Forman, W.; Jones, C.; Murray, S.; Tucker, W. Direct Constraints on the Dark Matter Self-Interaction Cross Section from the Merging Galaxy Cluster 1E 0657-56. ApJ 2004, 606, 819. [Google Scholar] [CrossRef]
- Boyanovsky, D.; de Vega, H.J.; Holman, R. Nonequilibrium evolution of scalar fields in FRW cosmologies. Phys. Rev. 1994, D49, 2769. [Google Scholar] [CrossRef] [PubMed]
- Boyanovsky, D.; de Vega, H.J.; Sanchez, N.G. CMB quadrupole suppression. I. Initial conditions of inflationary perturbations. Phys. Rev. 2006, D74, 123006. [Google Scholar] [CrossRef]
- Boyanovsky, D.; de Vega, H.J.; Sanchez, N.G. CMB quadrupole suppression. II. The early fast roll stage. Phys. Rev. 2006, D74, 123007. [Google Scholar] [CrossRef]
- Cao, C.; de Vega, H.J.; Sanchez, N.G. Quantum slow-roll and quantum fast-roll inflationary initial conditions: CMB quadrupole suppression and further effects on the low CMB multipoles. Phys. Rev. 2008, D78, 083508. [Google Scholar] [CrossRef]
- Destri, C.; de Vega, H.J.; Sanchez, N.G. CMB quadrupole depression produced by early fast-roll inflation: Monte Carlo Markov chains analysis of WMAP and SDSS data. Phys. Rev. 2008, D78, 023013. [Google Scholar] [CrossRef]
- Destri, C.; de Vega, H.J.; Sanchez, N.G. Preinflationary and inflationary fast-roll eras and their signatures in the low CMB multipoles. Phys. Rev. 2010, D81, 063520. [Google Scholar] [CrossRef]
- de Vega, H.J.; Sanchez, N.G. Galaxy phase-space density data exclude Bose-Einstein condensate Axion Dark Matter. Universe 2022, 8, 419. [Google Scholar] [CrossRef]
- Special Issue keV Warm Dark Matter in Agreement with Observations in Tribute to Hector de Vega. Available online: https://www.mdpi.com/journal/universe/special_issues/kWDM (accessed on 28 May 2022).
- de Vega, H.J.; Sanchez, N.G. Model independent analysis of dark matter points to a particle mass at the keV scale. Mon. Not. Roy. Astron. Soc. 2010, 404, 885. [Google Scholar] [CrossRef]
- de Vega, H.J.; Sanchez, N.G. Equation of state, universal profiles, scaling and macroscopic quantum effects in warm dark matter galaxies. Eur. Phys. J. C 2017, 77, 81. [Google Scholar] [CrossRef][Green Version]
- Destri, C.; de Vega, H.J.; Sanchez, N.G. Quantum WDM fermions and gravitation determine the observed galaxy structures. Astrop. Phys. 2013, 46, 14. [Google Scholar] [CrossRef][Green Version]
- de Vega, H.J.; Sanchez, N.G. Cosmological evolution of warm dark matter fluctuations. II. Solution from small to large scales and keV sterile neutrinos. Phys. Rev. D 2012, 85, 043516–043517. [Google Scholar] [CrossRef]
- Destri, C.; de Vega, H.J.; Sanchez, N.G. Warm dark matter primordial spectra and the onset of structure formation at redshift zz. Phys. Rev. D 2013, 88, 083512. [Google Scholar] [CrossRef]
- de Vega, H.J.; Salucci, P.; Sanchez, N.G. Observational rotation curves and density profiles versus the Thomas–Fermi galaxy structure theory. Mon. Not. Roy. Astron. Soc. 2014, 442, 2717. [Google Scholar] [CrossRef]
- de Vega, H.J.; Sanchez, N.G. Warm Dark Matter Galaxies with Central Supermassive Black Holes. Universe 2022, 8, 154. [Google Scholar] [CrossRef]
- Bollini, C.G.; Giambiagi, J.J. Dimensional renorinalization: The number of dimensions as a regularizing parameter. Nuovo Cimento 1972, B12, 20. [Google Scholar] [CrossRef]
- Bollini, C.G.; Giambiagi, J.J. Lowest order “divergent” graphs in v-dimensional space. Phys. Lett. 1972, B40, 566. [Google Scholar] [CrossRef]
- ’t Hooft, G.; Veltman, M. Regularization and renormalization of gauge fields. Nucl. Phys. 1972, B44, 189. [Google Scholar] [CrossRef]
- de Vega, H.J.; Schaposnik, F.A. Dimensional renormalization. J. Math. Phys. 1974, 15, 1998. [Google Scholar] [CrossRef]

| Neutrino Type | Scalar Mass | Equation of State Today |
|---|---|---|
| No vacuum neutrino energy | meV | |
| Majorana neutrino | meV | |
| meV | ||
| Dirac neutrino | meV | |
| meV |
Disclaimer/Publisher’s Note: The statements, opinions and data contained in all publications are solely those of the individual author(s) and contributor(s) and not of MDPI and/or the editor(s). MDPI and/or the editor(s) disclaim responsibility for any injury to people or property resulting from any ideas, methods, instructions or products referred to in the content. |
© 2023 by the authors. Licensee MDPI, Basel, Switzerland. This article is an open access article distributed under the terms and conditions of the Creative Commons Attribution (CC BY) license (https://creativecommons.org/licenses/by/4.0/).
Share and Cite
de Vega, H.J.; Sanchez, N.G. Dark Energy Is the Cosmological Quantum Vacuum Energy of Light Particles—The Axion and the Lightest Neutrino. Universe 2023, 9, 167. https://doi.org/10.3390/universe9040167
de Vega HJ, Sanchez NG. Dark Energy Is the Cosmological Quantum Vacuum Energy of Light Particles—The Axion and the Lightest Neutrino. Universe. 2023; 9(4):167. https://doi.org/10.3390/universe9040167
Chicago/Turabian Stylede Vega, Héctor J., and Norma G. Sanchez. 2023. "Dark Energy Is the Cosmological Quantum Vacuum Energy of Light Particles—The Axion and the Lightest Neutrino" Universe 9, no. 4: 167. https://doi.org/10.3390/universe9040167
APA Stylede Vega, H. J., & Sanchez, N. G. (2023). Dark Energy Is the Cosmological Quantum Vacuum Energy of Light Particles—The Axion and the Lightest Neutrino. Universe, 9(4), 167. https://doi.org/10.3390/universe9040167

