Dynamical Systems Analysis of f(Q) Gravity
Abstract
1. Introduction
2. Brief Review on the Standard Approach to the Construction of a Dynamical System
3. Dynamical Systems Formulation
3.1. General Setup with Two Fluids
3.2. Fixed Points
3.3. Physical Parameters of the General System
4. Applications to Models
4.1. Anagnostopoulos et al. Model
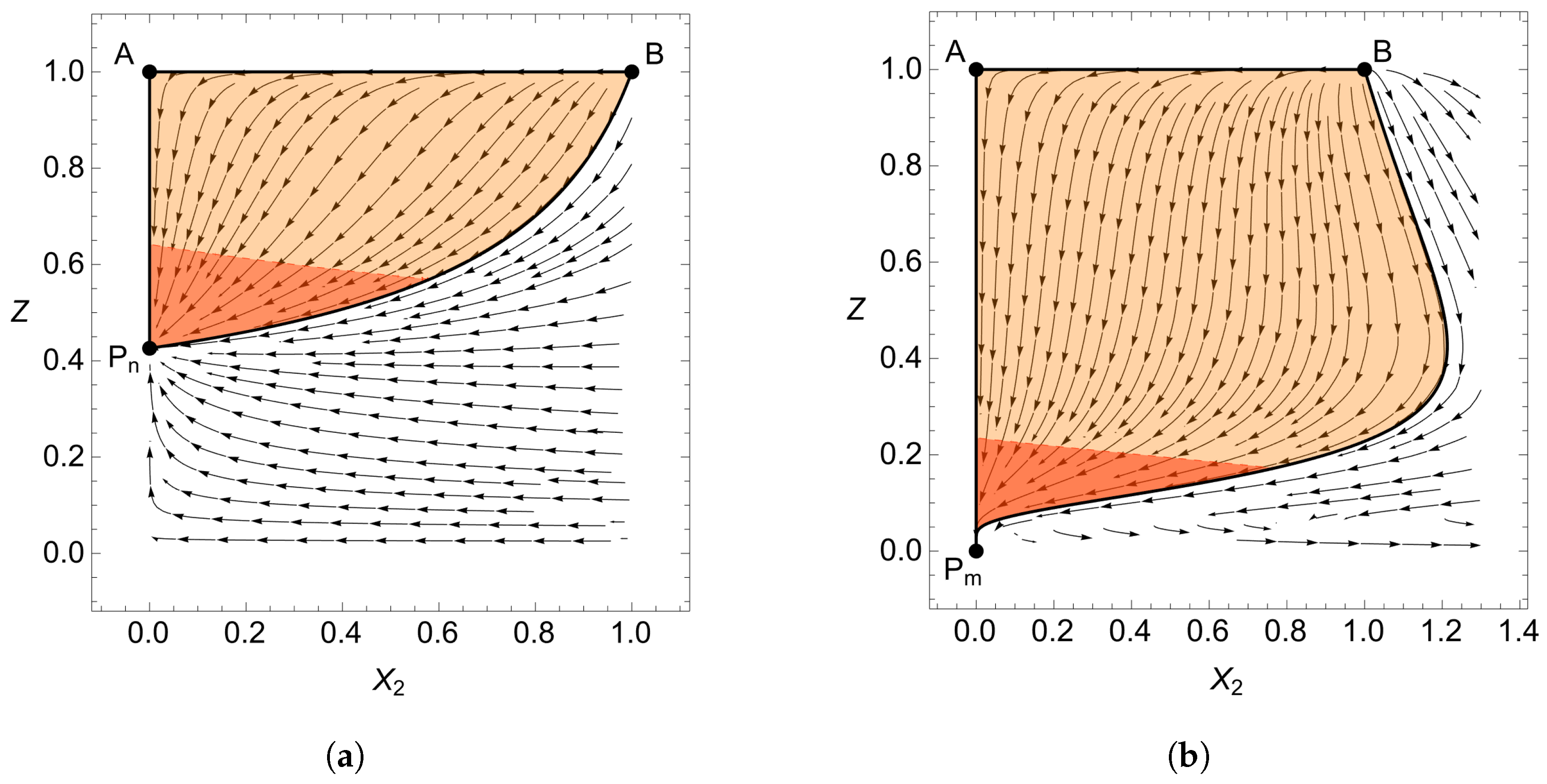
4.2. Phase Space Analysis
5. Summary
Author Contributions
Funding
Data Availability Statement
Acknowledgments
Conflicts of Interest
Appendix A. Stability Analysis of Anagnostopoulos et al. Model

References
- Abbott, B.P.; Abbott, R.; Abbott, T.D.; Abernathy, M.R.; Acernese, F.; Ackley, K.; Adams, C.; Adams, T.; Addesso, P.; Adhikari, R.X.; et al. Observation of Gravitational Waves from a Binary Black Hole Merger. Phys. Rev. Lett. 2016, 116, 061102. [Google Scholar] [CrossRef] [PubMed]
- Aghanim, N.; Akrami, Y.; Ashdown, M.; Aumont, J.; Baccigalupi, C.; Ballardini, M.; Banday, A.J.; Barreiro, R.B.; Bartolo, N.; Basak, S.; et al. Planck 2018 results. VI. Cosmological parameters. Astron. Astrophys. 2020, 641, A6, Erratum in: Astron. Astrophys. 2021, 652, C4. [Google Scholar] [CrossRef]
- Will, C.M. Theory and Experiment in Gravitational Physics; Cambridge University Press: Cambridge, UK, 2018; ISBN 978-1-108-67982-4/978-1-107-11744-0. [Google Scholar]
- Saadeh, D.; Feeney, S.M.; Pontzen, A.; Peiris, H.V.; McEwen, J.D. How isotropic is the Universe? Phys. Rev. Lett. 2016, 117, 131302. [Google Scholar] [CrossRef] [PubMed]
- Efstathiou, G.; Gratton, S. The evidence for a spatially flat Universe. Mon. Not. Roy. Astron. Soc. 2020, 496, L91–L95. [Google Scholar] [CrossRef]
- Copeland, E.J.; Sami, M.; Tsujikawa, S. Dynamics of dark energy. Int. J. Mod. Phys. D 2006, 15, 1753–1936. [Google Scholar] [CrossRef]
- Jain, B.; Zhang, P. Observational Tests of Modified Gravity. Phys. Rev. D 2008, 78, 063503. [Google Scholar] [CrossRef]
- Lombriser, L.; Lima, N.A. Challenges to Self-Acceleration in Modified Gravity from Gravitational Waves and Large-Scale Structure. Phys. Lett. B 2017, 765, 382–385. [Google Scholar] [CrossRef]
- Koyama, K. Cosmological Tests of Modified Gravity. Rep. Prog. Phys. 2016, 79, 046902. [Google Scholar] [CrossRef]
- Nunes, R.C.; Pan, S.; Saridakis, E.N. New observational constraints on f(T) gravity from cosmic chronometers. JCAP 2016, 08, 011. [Google Scholar] [CrossRef]
- Koyama, K. Gravity beyond general relativity. Int. J. Mod. Phys. D 2018, 27, 1848001. [Google Scholar] [CrossRef]
- Lombriser, L. Parametrizations for tests of gravity. Int. J. Mod. Phys. D 2018, 27, 1848002. [Google Scholar] [CrossRef]
- Lazkoz, R.; Lobo, F.S.N.; Nos, M.O.; Salzano, V. Observational constraints of f(Q) gravity. Phys. Rev. D 2019, 100, 104027. [Google Scholar] [CrossRef]
- Benetti, M.; Capozziello, S.; Lambiase, G. Updating constraints on f(T) teleparallel cosmology and the consistency with Big Bang Nucleosynthesis. Mon. Not. Roy. Astron. Soc. 2020, 500, 1795–1805. [Google Scholar] [CrossRef]
- Braglia, M.; Ballardini, M.; Finelli, F.; Koyama, K. Early modified gravity in light of the H0 tension and LSS data. Phys. Rev. D 2021, 103, 043528. [Google Scholar] [CrossRef]
- Valentino, E.D.; Mena, O.; Pan, S.; Visinelli, L.; Yang, W.; Melchiorri, A.; Mota, D.F.; Riess, A.G.; Silk, J. In the realm of the Hubble tension—a review of solutions. Class. Quant. Grav. 2021, 38, 153001. [Google Scholar] [CrossRef]
- Abdalla, E.; Abellán, G.F.; Aboubrahim, A.; Agnello, A.; Akarsu, O.; Akrami, Y.; Alestas, G.; Aloni, D.; Amendola, L.; Anchordoqui, L.A.; et al. Cosmology intertwined: A review of the particle physics, astrophysics, and cosmology associated with the cosmological tensions and anomalies. JHEAp 2022, 34, 49–211. [Google Scholar] [CrossRef]
- Valentino, E.D.; Anchordoqui, L.A.; Akarsu, O.; Ali-Haimoud, Y.; Amendola, L.; Arendse, N.; Asgari, M.; Ballardini, M.; Basilakos, S.; Battistelli, E.; et al. Snowmass2021 - Letter of interest cosmology intertwined II: The hubble constant tension. Astropart. Phys. 2021, 131, 102605. [Google Scholar] [CrossRef]
- Valentino, E.D.; Anchordoqui, L.A.; Akarsu, Ö.; Ali-Haimoud, Y.; Amendola, L.; Arendse, N.; Asgari, M.; Ballardini, M.; Basilakos, S.; Battistelli, E.; et al. Cosmology Intertwined III: fσ8 and S8. Astropart. Phys. 2021, 131, 102604. [Google Scholar] [CrossRef]
- Goenner, H.F.M. On the history of unified field theories. Living Rev. Rel. 2004, 7, 2. [Google Scholar]
- Goenner, H.F.M. On the History of Unified Field Theories. Part II. (ca. 1930–ca. 1965). Living Rev. Rel. 2014, 17, 5. [Google Scholar] [CrossRef]
- Capozziello, S. Curvature quintessence. Int. J. Mod. Phys. D 2002, 11, 483–492. [Google Scholar] [CrossRef]
- Ferraro, R.; Fiorini, F. Modified teleparallel gravity: Inflation without inflaton. Phys. Rev. D 2007, 75, 084031. [Google Scholar] [CrossRef]
- Sotiriou, T.P.; Faraoni, V. f(R) Theories Of Gravity. Rev. Mod. Phys. 2010, 82, 451–497. [Google Scholar] [CrossRef]
- Felice, A.D.; Tsujikawa, S. f(R) theories. Living Rev. Rel. 2010, 13, 3. [Google Scholar] [CrossRef]
- Nojiri, S.; Odintsov, S.D. Unified cosmic history in modified gravity: From F(R) theory to Lorentz non-invariant models. Phys. Rep. 2011, 505, 59–144. [Google Scholar] [CrossRef]
- Capozziello, S.; Laurentis, M.D. Extended Theories of Gravity. Phys. Rep. 2011, 509, 167–321. [Google Scholar] [CrossRef]
- Harko, T.; Lobo, F.S.N.; Nojiri, S.; Odintsov, S.D. f(R,T) gravity. Phys. Rev. D 2011, 84, 024020. [Google Scholar] [CrossRef]
- Clifton, T.; Ferreira, P.G.; Padilla, A.; Skordis, C. Modified Gravity and Cosmology. Phys. Rep. 2012, 513, 1–189. [Google Scholar]
- Bamba, K.; Capozziello, S.; Nojiri, S.; Odintsov, S.D. Dark energy cosmology: The equivalent description via different theoretical models and cosmography tests. Astrophys. Space Sci. 2012, 342, 155–228. [Google Scholar] [CrossRef]
- Nesseris, S.; Basilakos, S.; Saridakis, E.N.; Perivolaropoulos, L. Viable f(T) models are practically indistinguishable from ΛCDM. Phys. Rev. D 2013, 88, 103010. [Google Scholar] [CrossRef]
- Joyce, A.; Jain, B.; Khoury, J.; Trodden, M. Beyond the Cosmological Standard Model. Phys. Rep. 2015, 568, 1–98. [Google Scholar] [CrossRef]
- Cai, Y.F.; Capozziello, S.; Laurentis, M.D.; Saridakis, E.N. f(T) teleparallel gravity and cosmology. Rep. Prog. Phys. 2016, 79, 106901. [Google Scholar] [CrossRef] [PubMed]
- Nojiri, S.; Odintsov, S.D.; Oikonomou, V.K. Modified Gravity Theories on a Nutshell: Inflation, Bounce and Late-time Evolution. Phys. Rep. 2017, 692, 1–104. [Google Scholar] [CrossRef]
- Böhmer, C.G.; Jensko, E. Modified gravity: A unified approach. Phys. Rev. D 2021, 104, 024010. [Google Scholar] [CrossRef]
- Saridakis, E.N.; CANTATA. Modified Gravity and Cosmology: An Update by the CANTATA Network; Springer: Berlin/Heidelberg, Germany, 2021; ISBN 978-3-030-83715-0. [Google Scholar]
- Böhmer, C.G. Foundations of gravity—Modifications and extensions. In Modified Gravity and Cosmology: An Update by the CANTATA Network; Sari-dakis, E.N., Lazkoz, R., Salzano, V., Moniz, P.V., Capozziello, S., Beltrán Jiménez, J., De Laurentis, M., Olmo, G.J., Eds.; Springer International Publishing: Cham, Switzerland, 2021; pp. 27–38. [Google Scholar] [CrossRef]
- Bahamonde, S.; Böhmer, C.G.; Carloni, S.; Copeland, E.J.; Fang, W.; Tamanini, N. Dynamical systems applied to cosmology: Dark energy and modified gravity. Phys. Rep. 2018, 775–777, 1–122. [Google Scholar] [CrossRef]
- Amendola, L.; Gannouji, R.; Polarski, D.; Tsujikawa, S. Conditions for the cosmological viability of f(R) dark energy models. Phys. Rev. D 2007, 75, 083504. [Google Scholar] [CrossRef]
- Carloni, S. A new approach to the analysis of the phase space of f(R)-gravity. JCAP 2015, 9, 013. [Google Scholar] [CrossRef]
- Alho, A.; Carloni, S.; Uggla, C. On dynamical systems approaches and methods in f(R) cosmology. JCAP 2016, 8, 064. [Google Scholar] [CrossRef]
- Chakraborty, S.; Dunsby, P.K.S.; Macdevette, K. A note on the dynamical system formulations in f(R) gravity. Int. J. Geom. Meth. Mod. Phys. 2022, 19, 2230003. [Google Scholar] [CrossRef]
- Hohmann, M.; Jarv, L.; Ualikhanova, U. Dynamical systems approach and generic properties of f(T) cosmology. Phys. Rev. D 2017, 96, 043508. [Google Scholar] [CrossRef]
- Böhmer, C.G.; Jensko, E.; Lazkoz, R. Cosmological dynamical systems in modified gravity. Eur. Phys. J. C 2022, 82, 500. [Google Scholar] [CrossRef]
- Jiménez, J.B.; Heisenberg, L.; Koivisto, T.S.; Pekar, S. Cosmology in f(Q) geometry. Phys. Rev. D 2020, 101, 103507. [Google Scholar] [CrossRef]
- Jiménez, J.B.; Heisenberg, L.; Koivisto, T.S. The Geometrical Trinity of Gravity. Universe 2019, 5, 173. [Google Scholar] [CrossRef]
- Hohmann, M. General covariant symmetric teleparallel cosmology. Phys. Rev. D 2021, 104, 124077. [Google Scholar] [CrossRef]
- Jiménez, J.B.; Heisenberg, L.; Koivisto, T. Coincident General Relativity. Phys. Rev. D 2018, 98, 044048. [Google Scholar] [CrossRef]
- Harko, T.; Koivisto, T.S.; Lobo, F.S.N.; Olmo, G.J.; Rubiera-Garcia, D. Coupling matter in modified Q gravity. Phys. Rev. D 2018, 98, 084043. [Google Scholar] [CrossRef]
- Böhmer, C.G.; Jensko, E. Modified Gravity: A Unified approach to Metric-Affine Models. arXiv 2023. [Google Scholar] [CrossRef]
- Anagnostopoulos, F.K.; Basilakos, S.; Saridakis, E.N. First evidence that non-metricity f(Q) gravity could challenge ΛCDM. Phys. Lett. B 2021, 822, 136634. [Google Scholar] [CrossRef]
- Anagnostopoulos, F.K.; Gakis, V.; Saridakis, E.N.; Basilakos, S. New models and big bang nucleosynthesis constraints in f(Q) gravity. Eur. Phys. J. C 2023, 83, 58. [Google Scholar] [CrossRef]
- Khyllep, W.; Dutta, J.; Saridakis, E.N.; Yesmakhanova, K. Cosmology in f(Q) gravity: A unified dynamical systems analysis of the background and perturbations. Phys. Rev. D 2023, 107, 044022. [Google Scholar] [CrossRef]


| Point | Z | q | Requirement | ||
|---|---|---|---|---|---|
| 0 | |||||
| 0 | |||||
| B | 1 | evaluated at | |||
| C | 0 | evaluated at |
| Point | Z | q | Existence Conditions | Stability | |||
|---|---|---|---|---|---|---|---|
| A | 1 | 0 | 1 | none | Saddle | ||
| B | 0 | 1 | 1 | none | Unstable | ||
| 0 | 0 | 0 | Nonhyperbolic | ||||
| 0 | 0 | Stable |
Disclaimer/Publisher’s Note: The statements, opinions and data contained in all publications are solely those of the individual author(s) and contributor(s) and not of MDPI and/or the editor(s). MDPI and/or the editor(s) disclaim responsibility for any injury to people or property resulting from any ideas, methods, instructions or products referred to in the content. |
© 2023 by the authors. Licensee MDPI, Basel, Switzerland. This article is an open access article distributed under the terms and conditions of the Creative Commons Attribution (CC BY) license (https://creativecommons.org/licenses/by/4.0/).
Share and Cite
Böhmer, C.; Jensko, E.; Lazkoz, R. Dynamical Systems Analysis of f(Q) Gravity. Universe 2023, 9, 166. https://doi.org/10.3390/universe9040166
Böhmer C, Jensko E, Lazkoz R. Dynamical Systems Analysis of f(Q) Gravity. Universe. 2023; 9(4):166. https://doi.org/10.3390/universe9040166
Chicago/Turabian StyleBöhmer, Christian, Erik Jensko, and Ruth Lazkoz. 2023. "Dynamical Systems Analysis of f(Q) Gravity" Universe 9, no. 4: 166. https://doi.org/10.3390/universe9040166
APA StyleBöhmer, C., Jensko, E., & Lazkoz, R. (2023). Dynamical Systems Analysis of f(Q) Gravity. Universe, 9(4), 166. https://doi.org/10.3390/universe9040166

