Key Space and Ground Facilities in GRB Science
Abstract
1. Introduction
2. Gamma-Ray Facilities
2.1. Past Missions
2.1.1. Konus (Venera 11–14)
2.1.2. CGRO-BATSE
2.1.3. BeppoSAX
2.1.4. HETE-2
2.1.5. Suzaku-WAM
2.1.6. IKAROS-GAP
2.1.7. Lomonosov
2.1.8. Polar
2.2. Current Missions
2.2.1. Konus-Wind
2.2.2. INTEGRAL
2.2.3. Swift-BAT
2.2.4. AGILE-MCAL
2.2.5. Fermi-GBM
2.2.6. AstroSAT-SZTI
2.2.7. CALET-CGBM
2.2.8. Insight-HXMT
2.2.9. ASIM-MXGS
2.2.10. GECAM
2.3. The Interplanetary Network
2.4. CubeSat Constellations
3. X-ray Observations
3.1. CXO (Chandra)
3.2. XMM-Newton
3.3. Swift/XRT
3.4. MAXI/GSC
3.5. NuSTAR
4. Optical Facilities
4.1. Global Networks of Robotic Telescopes/Rapid Follow-Up
4.1.1. BOOTES
4.1.2. COATLI
4.1.3. DDOTI
4.1.4. FRAM
4.1.5. GIT
4.1.6. GRANDMA
4.1.7. IKI GRB-FuN
4.1.8. KAIT
4.1.9. Liverpool Telescope
4.1.10. MASTER
4.1.11. PAIRITEL
4.1.12. Pi of the Sky
4.1.13. RAPTOR
4.1.14. RATIR
4.1.15. REM
4.1.16. ROTSE III
4.1.17. SARA
4.1.18. SkyNet
4.1.19. Swift/UVOT
4.1.20. TAROT
4.1.21. TORTORA and Mini-MegaTORTORA
4.1.22. WATCHER
4.2. Surveys
4.2.1. Pan-STARRS
4.2.2. PTF/iPTF/ZTF
4.2.3. Vera C. Rubin Observatory (LSST)
4.3. Telescopes for Spectroscopic and Photometric Studies
4.3.1. BTA/SCORPIO
4.3.2. CAHA/CAFOS
4.3.3. Gemini/GMOS
4.3.4. GROND
4.3.5. GTC/OSIRIS
4.3.6. HST
4.3.7. Keck-II/DEIMOS
4.3.8. Keck-I/HIRES
4.3.9. Keck-I/LRIS
4.3.10. LDT/LMI
4.3.11. NOT
4.3.12. VLT/X-Shooter
4.3.13. VLT/FORS
5. Observations in the Radio Band
ATCA
6. Very High Energy Observations
6.1. HAWC
6.2. HESS
6.3. Fermi/LAT
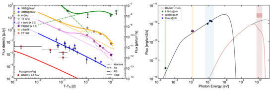
6.4. MAGIC
7. Summary and Future Prospect
Author Contributions
Funding
Institutional Review Board Statement
Informed Consent Statement
Data Availability Statement
Acknowledgments
Conflicts of Interest
Abbreviations
| AGN | Active galactic nuclei |
| BH | Black hole |
| CCD | Charge coupled devices |
| FoV | Field of view |
| FRB | Fast Radio Burst |
| GRB | Gamma-ray burst |
| GW | Gravitational wave |
| HEN | High-energy neutrino |
| HEO | High-Earth orbit |
| IACT | Imaging Atmospheric Cherenkov Telescope |
| IGM | Intergalactic medium |
| LGRB | Long gamma-ray burst |
| LEO | Low-Earth orbit |
| NEO | Near-Earth object |
| NIR | Near-infrared |
| NS | Neutron star |
| OT | Optical transient |
| PMT | Photomultiplier tube |
| PSF | Point spread function |
| QSO | Quasar (quasi-stellar object) |
| SED | Spectral energy distribution |
| SGR | Soft gamma-repeater |
| SGRB | Short gamma-ray burst |
| SF | Solar flare |
| SNe | Supernovae |
| SNR | Signal-to-noise ratio |
| TDE | Tidal disruption event |
| TGF | Terrestrial gamma-ray flash |
| ToO | Target of opportunity |
| VHE | Very high energy |
| WCD | Water Cherenkov Detector |
| YSO | Young stellar object |
References
- Frederiks, D.D.; Hurley, K.; Svinkin, D.S.; Pal’shin, V.D.; Mangano, V.; Oates, S.; Aptekar, R.L.; Golenetskii, S.V.; Mazets, E.P.; Oleynik, P.P.; et al. The Ultraluminous GRB 110918A. Astrophys. J. 2013, 779, 151. [Google Scholar] [CrossRef]
- Cucchiara, A.; Levan, A.J.; Fox, D.B.; Tanvir, N.R.; Ukwatta, T.N.; Berger, E.; Krühler, T.; Küpcü Yoldaş, A.; Wu, X.F.; Toma, K.; et al. A Photometric Redshift of z ∼ 9.4 for GRB 090429B. Astrophys. J. 2011, 736, 7. [Google Scholar] [CrossRef]
- Zhang, B.; Zhang, B.B.; Virgili, F.J.; Liang, E.W.; Kann, D.A.; Wu, X.F.; Proga, D.; Lv, H.J.; Toma, K.; Mészáros, P.; et al. Discerning the Physical Origins of Cosmological Gamma-ray Bursts Based on Multiple Observational Criteria: The Cases of z = 6.7 GRB 080913, z = 8.2 GRB 090423, and Some Short/Hard GRBs. Astrophys. J. 2009, 703, 1696–1724. [Google Scholar] [CrossRef]
- Blinnikov, S.I.; Novikov, I.D.; Perevodchikova, T.V.; Polnarev, A.G. Exploding Neutron Stars in Close Binaries. Sov. Astron. Lett. 1984, 10, 177–179. [Google Scholar]
- Paczynski, B. Gamma-ray bursters at cosmological distances. Astrophys. J. Lett. 1986, 308, L43–L46. [Google Scholar] [CrossRef]
- Eichler, D.; Livio, M.; Piran, T.; Schramm, D.N. Nucleosynthesis, neutrino bursts and gamma-rays from coalescing neutron stars. Nature 1989, 340, 126–128. [Google Scholar] [CrossRef]
- Paczynski, B. Cosmological gamma-ray bursts. Acta Astron. 1991, 41, 257–267. [Google Scholar]
- Narayan, R.; Paczynski, B.; Piran, T. Gamma-ray bursts as the death throes of massive binary stars. Astrophys. J. Lett. 1992, 395, L83–L86. [Google Scholar] [CrossRef]
- Mazets, E.P.; Golenetskii, S.V.; Ilinskii, V.N.; Panov, V.N.; Aptekar, R.L.; Gurian, I.A.; Proskura, M.P.; Sokolov, I.A.; Sokolova, Z.I.; Kharitonova, T.V. Catalog of cosmic gamma-ray bursts from the KONUS experiment data. I. Astrophys. Space Sci. 1981, 80, 3–83. [Google Scholar] [CrossRef]
- Kouveliotou, C.; Meegan, C.A.; Fishman, G.J.; Bhat, N.P.; Briggs, M.S.; Koshut, T.M.; Paciesas, W.S.; Pendleton, G.N. Identification of Two Classes of Gamma-Ray Bursts. Astrophys. J. Lett. 1993, 413, L101. [Google Scholar] [CrossRef]
- Woosley, S.E. Gamma-ray bursts from stellar mass accretion disks around black holes. Astrophys. J. 1993, 405, 273–277. [Google Scholar] [CrossRef]
- Paczyński, B. Are Gamma-Ray Bursts in Star-Forming Regions? Astrophys. J. Lett. 1998, 494, L45–L48. [Google Scholar] [CrossRef]
- MacFadyen, A.I.; Woosley, S.E. Collapsars: Gamma-Ray Bursts and Explosions in “Failed Supernovae”. Astrophys. J. 1999, 524, 262–289. [Google Scholar] [CrossRef]
- Woosley, S.E.; Bloom, J.S. The Supernova Gamma-Ray Burst Connection. Annu. Rev. Astron Astrophys. 2006, 44, 507–556. [Google Scholar] [CrossRef]
- Petitjean, P.; Wang, F.Y.; Wu, X.F.; Wei, J.J. GRBs and Fundamental Physics. Space Sci. Rev. 2016, 202, 195–234. [Google Scholar] [CrossRef]
- Klebesadel, R.W.; Strong, I.B.; Olson, R.A. Observations of Gamma-Ray Bursts of Cosmic Origin. Astrophys. J. Lett. 1973, 182, L85. [Google Scholar] [CrossRef]
- Golenetskii, S.V.; Mazets, E.P.; Aptekar, R.L.; Ilinskii, V.N. Correlation between luminosity and temperature in γ-ray burst sources. Nature 1983, 306, 451–453. [Google Scholar] [CrossRef]
- Meegan, C.A.; Fishman, G.J.; Wilson, R.B.; Paciesas, W.S.; Pendleton, G.N.; Horack, J.M.; Brock, M.N.; Kouveliotou, C. Spatial distribution of γ-ray bursts observed by BATSE. Nature 1992, 355, 143–145. [Google Scholar] [CrossRef]
- Costa, E.; Frontera, F.; Heise, J.; Feroci, M.; in’t Zand, J.; Fiore, F.; Cinti, M.N.; Dal Fiume, D.; Nicastro, L.; Orlandini, M.; et al. Discovery of an X-ray afterglow associated with the γ-ray burst of 28 February 1997. Nature 1997, 387, 783–785. [Google Scholar] [CrossRef]
- Lamb, D.Q.; Reichart, D.E. Gamma-Ray Bursts as a Probe of the Very High Redshift Universe. Astrophys. J. 2000, 536, 1–18. [Google Scholar] [CrossRef]
- Vanderspek, R.; Crew, G.; Doty, J.; Villasenor, J.; Monnelly, G.; Butler, N.; Cline, T.; Jernigan, J.G.; Levine, A.; Martel, F.; et al. GRB030329 (=H2652): A long, extremely bright GRB localized by the HETE WXM and SXC. GRB Coord. Netw. 2003, 1997, 1. [Google Scholar]
- Abbott, B.P.; Abbott, R.; Abbott, T.D.; Aceari, R.X.; Adyrnese, F.; Ackley, K.; Adams, C.; Adams, T.; Addesso, P.; Adhika, V.B.; et al. Multi-messenger Observations of a Binary Neutron Star Merger. Astrophys. J. Lett. 2017, 848, L12. [Google Scholar] [CrossRef]
- Sacahui, J.R.; Penacchioni, A.V.; Braga, J.; Castro, M.A.; D’Amico, F. MIRAX sensitivity for Gamma Ray Bursts. J. High Energy Astrophys. 2016, 9, 16–24. [Google Scholar] [CrossRef]
- Yamaoka, K.; Ohno, M.; Tashiro, M.S.; Hurley, K.; Krimm, H.A.; Lien, A.Y.; Ohmori, N.; Sugita, S.; Urata, Y.; Yasuda, T.; et al. Suzaku Wide-band All-sky Monitor (WAM) observations of GRBs and SGRs. Publ. Astron. Soc. Jpn. 2017, 69, R2. [Google Scholar] [CrossRef]
- Lipunov, V.M.; Gorosabel, J.; Pruzhinskaya, M.V.; Postigo, A.d.U.; Pelassa, V.; Tsvetkova, A.E.; Sokolov, I.V.; Kann, D.A.; Xu, D.; Gorbovskoy, E.S.; et al. The optical identification of events with poorly defined locations: The case of the Fermi GBM GRB 140801A. Mon. Not. R. Astron. Soc 2016, 455, 712–724. [Google Scholar] [CrossRef]
- Mazets, E.P.; Golenetskii, S.V.; Il’Inskii, V.N. Flare of cosmic gamma radiation as observed with “Cosmos-461” satellite. Sov. J. Exp. Theor. Phys. Lett. 1974, 19, 77. [Google Scholar]
- Horack, J.M. Development of the Burst And Transient Source Experiment (BATSE); NASA: Washington, DC, USA, 1991. [Google Scholar]
- Goldstein, A.; Preece, R.D.; Mallozzi, R.S.; Briggs, M.S.; Fishman, G.J.; Kouveliotou, C.; Paciesas, W.S.; Burgess, J.M. The BATSE 5B Gamma-Ray Burst Spectral Catalog. Astrophys. J. Suppl. 2013, 208, 21. [Google Scholar] [CrossRef]
- Band, D.; Matteson, J.; Ford, L.; Schaefer, B.; Palmer, D.; Teegarden, B.; Cline, T.; Briggs, M.; Paciesas, W.; Pendleton, G.; et al. BATSE Observations of Gamma-Ray Burst Spectra. I. Spectral Diversity. Astrophys. J. 1993, 413, 281. [Google Scholar] [CrossRef]
- Ford, L.A.; Band, D.L.; Matteson, J.L.; Briggs, M.S.; Pendleton, G.N.; Preece, R.D.; Paciesas, W.S.; Teegarden, B.J.; Palmer, D.M.; Schaefer, B.E.; et al. BATSE Observations of Gamma-Ray Burst Spectra. II. Peak Energy Evolution in Bright, Long Bursts. Astrophys. J. 1995, 439, 307. [Google Scholar] [CrossRef]
- Boella, G.; Butler, R.C.; Perola, G.C.; Piro, L.; Scarsi, L.; Bleeker, J.A.M. BeppoSAX, the wide band mission for X-ray astronomy. Astron. Astrophys. Suppl. 1997, 122, 299–307. [Google Scholar] [CrossRef]
- Jager, R.; Mels, W.A.; Brinkman, A.C.; Galama, M.Y.; Goulooze, H.; Heise, J.; Lowes, P.; Muller, J.M.; Naber, A.; Rook, A.; et al. The Wide Field Cameras onboard the BeppoSAX X-ray Astronomy Satellite. Astron. Astrophys. Suppl. 1997, 125, 557–572. [Google Scholar] [CrossRef]
- van Paradijs, J.; Groot, P.J.; Galama, T.; Kouveliotou, C.; Strom, R.G.; Telting, J.; Rutten, R.G.M.; Fishman, G.J.; Meegan, C.A.; Pettini, M.; et al. Transient optical emission from the error box of the γ-ray burst of 28 February 1997. Nature 1997, 386, 686–689. [Google Scholar] [CrossRef]
- Metzger, M.R.; Djorgovski, S.G.; Kulkarni, S.R.; Steidel, C.C.; Adelberger, K.L.; Frail, D.A.; Costa, E.; Frontera, F. Spectral constraints on the redshift of the optical counterpart to the γ-ray burst of 8 May 1997. Nature 1997, 387, 878–880. [Google Scholar] [CrossRef]
- Reichart, D.E. The Redshift of GRB 970508. Astrophys. J. Lett. 1998, 495, L99–L101. [Google Scholar] [CrossRef]
- Frontera, F. The key role of BeppoSAX in the GRB history. Rend. Lincei. Sci. Fis. Nat. 2019, 30, 171–184. [Google Scholar] [CrossRef]
- Galama, T.J.; Vreeswijk, P.M.; van Paradijs, J.; Kouveliotou, C.; Augusteijn, T.; Böhnhardt, H.; Brewer, J.P.; Doublier, V.; Gonzalez, J.F.; Leibundgut, B.; et al. An unusual supernova in the error box of the γ-ray burst of 25 April 1998. Nature 1998, 395, 670–672. [Google Scholar] [CrossRef]
- Amati, L.; Frontera, F.; Tavani, M.; in’t Zand, J.J.M.; Antonelli, A.; Costa, E.; Feroci, M.; Guidorzi, C.; Heise, J.; Masetti, N.; et al. Intrinsic spectra and energetics of BeppoSAX Gamma-Ray Bursts with known redshifts. Astron. Astrophys. 2002, 390, 81–89. [Google Scholar] [CrossRef]
- Ricker, G.R.; Atteia, J.L.; Crew, G.B.; Doty, J.P.; Fenimore, E.E.; Galassi, M.; Graziani, C.; Hurley, K.; Jernigan, J.G.; Kawai, N.; et al. The High Energy Transient Explorer (HETE): Mission and Science Overview. In Gamma-Ray Burst and Afterglow Astronomy 2001: A Workshop Celebrating the First Year of the HETE Mission; Ricker, G.R., Vanderspek, R.K., Eds.; American Institute of Physics Conference Series; American Institute of Physics: College Park, MD, USA, 2003; Volume 662, pp. 3–16. [Google Scholar] [CrossRef]
- Lamb, D.Q.; Ricker, G.R.; Atteia, J.L.; Barraud, C.; Boer, M.; Braga, J.; Butler, N.; Cline, T.; Crew, G.B.; Dezalay, J.P.; et al. Scientific highlights of the HETE-2 mission. New Astron. Rev. 2004, 48, 423–430. [Google Scholar] [CrossRef]
- Yamaoka, K.; Endo, A.; Enoto, T.; Fukazawa, Y.; Hara, R.; Hanabata, Y.; Hong, S.; Kamae, T.; Kira, C.; Kodaka, N.; et al. Design and In-Orbit Performance of the Suzaku Wide-Band All-Sky Monitor. Publ. Astron. Soc. Jpn. 2009, 61, S35–S53. [Google Scholar] [CrossRef]
- Mitsuda, K.; Bautz, M.; Inoue, H.; Kelley, R.L.; Koyama, K.; Kunieda, H.; Makishima, K.; Ogawara, Y.; Petre, R.; Takahashi, T.; et al. The X-Ray Observatory Suzaku. Publ. Astron. Soc. Jpn. 2007, 59, S1–S7. [Google Scholar] [CrossRef]
- Yonetoku, D.; Murakami, T.; Gunji, S.; Mihara, T.; Sakashita, T.; Morihara, Y.; Kikuchi, Y.; Takahashi, T.; Fujimoto, H.; Toukairin, N.; et al. Gamma-Ray Burst Polarimeter (GAP) aboard the Small Solar Power Sail Demonstrator IKAROS. Publ. Astron. Soc. Jpn. 2011, 63, 625. [Google Scholar] [CrossRef]
- Yonetoku, D.; Murakami, T.; Gunji, S.; Mihara, T.; Toma, K.; Sakashita, T.; Morihara, Y.; Takahashi, T.; Toukairin, N.; Fujimoto, H.; et al. Detection of Gamma-Ray Polarization in Prompt Emission of GRB 100826A. Astrophys. J. Lett. 2011, 743, L30. [Google Scholar] [CrossRef]
- Amelushkin, A.; Bogomolov, V.; Benghin, V.; Garipov, G.; Gorbovskoy, E.; Grossan, B.; Klimov, P.; Khrenov, B.; Lee, J.; Lipunov, V.; et al. Space experiments on-board of lomonosov mission to study gamma-ray bursts and UHECRS. Eur. Astron. Soc. Publ. Ser. 2013, 61, 545–552. [Google Scholar] [CrossRef]
- Park, I.H.; Grossan, B.; Lim, H.; Nam, J.W.; Chen, P.; Khrenov, B.A.; Kim, Y.K.; Lee, C.H.; Lee, J.; Linder, E.V.; et al. The UFFO (Ultra-Fast Flash Observatory) Pathfinder. arXiv 2009, arXiv:0912.0773. [Google Scholar]
- Park, I.H.; Brandt, S.; Budtz-Jørgensen, C.; Castro-Tirado, A.J.; Chen, P.; Connell, P.; Eyles, C.; Grossan, B.; Huang, M.H.A.; Jeong, S.; et al. Ultra-Fast Flash Observatory for the observation of early photons from gamma-ray bursts. New J. Phys. 2013, 15, 023031. [Google Scholar] [CrossRef]
- Amelyushkin, A.M.; Galkin, V.I.; Goncharov, B.V.; Gorbovskoy, E.S.; Kornilov, V.G.; Lipunov, V.M.; Panasyuk, M.I.; Petrov, V.L.; Smoot, G.F.; Svertilov, S.I.; et al. The BDRG and SHOK instruments for studying gamma-ray burst prompt emission onboard the Lomonosov spacecraft. Cosm. Res. 2013, 51, 434–438. [Google Scholar] [CrossRef]
- Sadovnichy, V.A.; Panasyuk, M.I.; Svertilov, S.I.; Lipunov, V.M.; Bogomolov, V.V.; Bogomolov, A.V.; Gorbovskoy, E.S.; Iyudin, A.F.; Kalegaev, V.V.; Kornilov, V.G.; et al. Lomonosov GRB Catalogue: The First Experience of Prompt Emission Multi-Wavelength Observations. Universe 2021, 7, 375. [Google Scholar] [CrossRef]
- Produit, N.; Barao, F.; Deluit, S.; Hajdas, W.; Leluc, C.; Pohl, M.; Rapin, D.; Vialle, J.P.; Walter, R.; Wigger, C. POLAR, a compact detector for gamma-ray bursts photon polarization measurements. Nucl. Instrum. Methods Phys. Res. A 2005, 550, 616–625. [Google Scholar] [CrossRef]
- Zhang, S.N.; Kole, M.; Bao, T.W.; Batsch, T.; Bernasconi, T.; Cadoux, F.; Chai, J.Y.; Dai, Z.G.; Dong, Y.W.; Gauvin, N.; et al. Detailed polarization measurements of the prompt emission of five gamma-ray bursts. Nat. Astron. 2019, 3, 258–264. [Google Scholar] [CrossRef]
- Aptekar, R.L.; Frederiks, D.D.; Golenetskii, S.V.; Ilynskii, V.N.; Mazets, E.P.; Panov, V.N.; Sokolova, Z.J.; Terekhov, M.M.; Sheshin, L.O.; Cline, T.L.; et al. Konus-W Gamma-Ray Burst Experiment for the GGS Wind Spacecraft. Space Sci. Rev. 1995, 71, 265–272. [Google Scholar] [CrossRef]
- Svinkin, D.S.; Frederiks, D.D.; Aptekar, R.L.; Golenetskii, S.V.; Pal’shin, V.D.; Oleynik, P.P.; Tsvetkova, A.E.; Ulanov, M.V.; Cline, T.L.; Hurley, K. The Second Konus-Wind Catalog of Short Gamma-Ray Bursts. Astrophys. J. Suppl. 2016, 224, 10. [Google Scholar] [CrossRef]
- Tsvetkova, A.; Frederiks, D.; Golenetskii, S.; Lysenko, A.; Oleynik, P.; Pal’shin, V.; Svinkin, D.; Ulanov, M.; Cline, T.; Hurley, K.; et al. The Konus-Wind Catalog of Gamma-Ray Bursts with Known Redshifts. I. Bursts Detected in the Triggered Mode. Astrophys. J. 2017, 850, 161. [Google Scholar] [CrossRef]
- Tsvetkova, A.; Frederiks, D.; Svinkin, D.; Aptekar, R.; Cline, T.L.; Golenetskii, S.; Hurley, K.; Lysenko, A.; Ridnaia, A.; Ulanov, M. The Konus-Wind Catalog of Gamma-Ray Bursts with Known Redshifts. II. Waiting-Mode Bursts Simultaneously Detected by Swift/BAT. Astrophys. J. 2021, 908, 83. [Google Scholar] [CrossRef]
- Kozlova, A.V.; Svinkin, D.S.; Lysenko, A.L.; Ulanov, M.V.; Tsvetkova, A.E.; Frederiks, D.D. A search for transient events in Konus-Wind data. J. Phys. Conf. Ser. 2019, 1400, 022014. [Google Scholar] [CrossRef]
- Aptekar, R.L.; Butterworth, P.S.; Cline, T.L.; Frederiks, D.D.; Golenetskii, S.V.; Il’inskii, V.N.; Mazets, E.P.; Stilwell, D.E.; Terekhov, M.M. Hard X-Ray Bursts from GRO J1744-28. I. Observations by the Konus-Wind and Konus-A Experiments. Astrophys. J. 1998, 493, 404–407. [Google Scholar] [CrossRef]
- Ubertini, P.; Lebrun, F.; Di Cocco, G.; Bazzano, A.; Bird, A.J.; Broenstad, K.; Goldwurm, A.; La Rosa, G.; Labanti, C.; Laurent, P.; et al. IBIS: The Imager on-board INTEGRAL. Astron. Astrophys. 2003, 411, L131–L139. [Google Scholar] [CrossRef]
- Vedrenne, G.; Roques, J.P.; Schönfelder, V.; Mandrou, P.; Lichti, G.G.; von Kienlin, A.; Cordier, B.; Schanne, S.; Knödlseder, J.; Skinner, G.; et al. SPI: The spectrometer aboard INTEGRAL. Astron. Astrophys. 2003, 411, L63–L70. [Google Scholar] [CrossRef]
- Von Kienlin, A.; Beckmann, V.; Rau, A.; Arend, N.; Bennett, K.; McBreen, B.; Connell, P.; Deluit, S.; Hanlon, L.; Hurley, K.; et al. INTEGRAL Spectrometer SPI’s GRB detection capabilities. GRBs detected inside SPI’s FoV and with the anticoincidence system ACS. Astron. Astrophys. 2003, 411, L299–L305. [Google Scholar] [CrossRef]
- Forot, M.; Laurent, P.; Grenier, I.A.; Gouiffès, C.; Lebrun, F. Polarization of the Crab Pulsar and Nebula as Observed by the INTEGRAL/IBIS Telescope. Astrophys. J. Lett. 2008, 688, L29. [Google Scholar] [CrossRef]
- Marcinkowski, R.; Denis, M.; Bulik, T.; Goldoni, P.; Laurent, P.; Rau, A. GRB 030406—An extremely hard burst outside of the INTEGRAL field of view. Astron. Astrophys. 2006, 452, 113–117. [Google Scholar] [CrossRef]
- Götz, D.; Gouiffès, C.; Rodriguez, J.; Laurent, P.; Jourdain, E.; Roques, J.P.; Mereghetti, S.; Lutovinov, A.; Savchenko, V.; Hanlon, L.; et al. INTEGRAL results on gamma-ray bursts and polarization of hard X-ray sources. New Astron. Rev. 2019, 87, 101537. [Google Scholar] [CrossRef]
- Kuulkers, E.; Ferrigno, C.; Kretschmar, P.; Alfonso-Garzón, J.; Baab, M.; Bazzano, A.; Bélanger, G.; Benson, I.; Bird, A.J.; Bozzo, E.; et al. INTEGRAL reloaded: Spacecraft, instruments and ground system. New Astron. Rev. 2021, 93, 101629. [Google Scholar] [CrossRef]
- Gehrels, N.; Chincarini, G.; Giommi, P.; Mason, K.O.; Nousek, J.A.; Wells, A.A.; White, N.E.; Barthelmy, S.D.; Burrows, D.N.; Cominsky, L.R.; et al. The Swift Gamma-Ray Burst Mission. Astrophys. J. 2004, 611, 1005–1020. [Google Scholar] [CrossRef]
- Barthelmy, S.D.; Barbier, L.M.; Cummings, J.R.; Fenimore, E.E.; Gehrels, N.; Hullinger, D.; Krimm, H.A.; Markwardt, C.B.; Palmer, D.M.; Parsons, A.; et al. The Burst Alert Telescope (BAT) on the SWIFT Midex Mission. Space Sci. Rev. 2005, 120, 143–164. [Google Scholar] [CrossRef]
- Hill, J.E.; Zugger, M.E.; Shoemaker, J.; Witherite, M.E.; Koch, T.S.; Chou, L.L.; Case, T.; Burrows, D.N. Laboratory x-ray CCD camera electronics: A test bed for the Swift X-Ray Telescope. In X-ray and Gamma-Ray Instrumentation for Astronomy XI; Flanagan, K.A., Siegmund, O.H., Eds.; Society of Photo-Optical Instrumentation Engineers (SPIE) Conference Series; SPIE Press: Bellingham, DC, USA, 2000; Volume 4140, pp. 87–98. [Google Scholar] [CrossRef]
- Burrows, D.N.; Hill, J.E.; Nousek, J.A.; Kennea, J.A.; Wells, A.; Osborne, J.P.; Abbey, A.F.; Beardmore, A.; Mukerjee, K.; Short, A.D.T.; et al. The Swift X-Ray Telescope. Space Sci. Rev. 2005, 120, 165–195. [Google Scholar] [CrossRef]
- Roming, P.W.A.; Kennedy, T.E.; Mason, K.O.; Nousek, J.A.; Ahr, L.; Bingham, R.E.; Broos, P.S.; Carter, M.J.; Hancock, B.K.; Huckle, H.E.; et al. The Swift Ultra-Violet/Optical Telescope. Space Sci. Rev. 2005, 120, 95–142. [Google Scholar] [CrossRef]
- Sakamoto, T.; Barthelmy, S.D.; Barbier, L.; Cummings, J.R.; Fenimore, E.E.; Gehrels, N.; Hullinger, D.; Krimm, H.A.; Markwardt, C.B.; Palmer, D.M.; et al. The First Swift BAT Gamma-Ray Burst Catalog. Astrophys. J. Suppl. 2008, 175, 179–190. [Google Scholar] [CrossRef]
- Sakamoto, T.; Barthelmy, S.D.; Baumgartner, W.H.; Cummings, J.R.; Fenimore, E.E.; Gehrels, N.; Krimm, H.A.; Markwardt, C.B.; Palmer, D.M.; Parsons, A.M.; et al. The Second Swift Burst Alert 76 Telescope Gamma-Ray Burst Catalog. Astrophys. J. Suppl. 2011, 195, 2. [Google Scholar] [CrossRef]
- Lien, A.; Sakamoto, T.; Barthelmy, S.D.; Baumgartner, W.H.; Cannizzo, J.K.; Chen, K.; Collins, N.R.; Cummings, J.R.; Gehrels, N.; Krimm, H.A.; et al. The Third Swift Burst Alert Telescope Gamma-Ray Burst Catalog. Astrophys. J. 2016, 829, 7. [Google Scholar] [CrossRef]
- Tavani, M.; Barbiellini, G.; Argan, A.; Boffelli, F.; Bulgarelli, A.; Caraveo, P.; Cattaneo, P.W.; Chen, A.W.; Cocco, V.; Costa, E.; et al. The AGILE Mission. Astron. Astrophys. 2009, 502, 995–1013. [Google Scholar] [CrossRef]
- Ursi, A.; Romani, M.; Verrecchia, F.; Pittori, C.; Tavani, M.; Marisaldi, M.; Galli, M.; Labanti, C.; Parmiggiani, N.; Bulgarelli, A.; et al. The Second AGILE MCAL Gamma-Ray Burst Catalog: 13 yr of Observations. Astrophys. J. 2022, 925, 152. [Google Scholar] [CrossRef]
- Labanti, C.; Marisaldi, M.; Fuschino, F.; Galli, M.; Argan, A.; Bulgarelli, A.; Di Cocco, G.; Gianotti, F.; Tavani, M.; Trifoglio, M. Design and construction of the Mini-Calorimeter of the AGILE satellite. Nucl. Instrum. Methods Phys. Res. A 2009, 598, 470–479. [Google Scholar] [CrossRef]
- Marisaldi, M.; Fuschino, F.; Labanti, C.; Galli, M.; Longo, F.; Del Monte, E.; Barbiellini, G.; Tavani, M.; Giuliani, A.; Moretti, E.; et al. Detection of terrestrial gamma ray flashes up to 40 MeV by the AGILE satellite. J. Geophys. Res. Space Phys. 2010, 115, A00E13. [Google Scholar] [CrossRef]
- Marisaldi, M.; Fuschino, F.; Tavani, M.; Dietrich, S.; Price, C.; Galli, M.; Pittori, C.; Verrecchia, F.; Mereghetti, S.; Cattaneo, P.W.; et al. Properties of terrestrial gamma ray flashes detected by AGILE MCAL below 30 MeV. J. Geophys. Res. Space Phys. 2014, 119, 1337–1355. [Google Scholar] [CrossRef]
- Meegan, C.; Lichti, G.; Bhat, P.N.; Bissaldi, E.; Briggs, M.S.; Connaughton, V.; Diehl, R.; Fishman, G.; Greiner, J.; Hoover, A.S.; et al. The Fermi Gamma-ray Burst Monitor. Astrophys. J. 2009, 702, 791–804. [Google Scholar] [CrossRef]
- Atwood, W.B.; Abdo, A.A.; Ackermann, M.; Althouse, W.; Anderson, B.; Axelsson, M.; Baldini, L.; Ballet, J.; Band, D.L.; Barbiellini, G.; et al. The Large Area Telescope on the Fermi Gamma-Ray Space Telescope Mission. Astrophys. J. 2009, 697, 1071–1102. [Google Scholar] [CrossRef]
- Goldstein, A.; Fletcher, C.; Veres, P.; Briggs, M.S.; Cleveland, W.H.; Gibby, M.H.; Hui, C.M.; Bissaldi, E.; Burns, E.; Hamburg, R.; et al. Evaluation of Automated Fermi GBM Localizations of Gamma-Ray Bursts. Astrophys. J. 2020, 895, 40. [Google Scholar] [CrossRef]
- Hoover, A.S.; Kippen, R.M.; Wallace, M.S.; Pendleton, G.N.; Fishman, G.J.; Meegan, C.A.; Kouveliotou, C.; Wilson-Hodge, C.A.; Bissaldi, E.; Diehl, R.; et al. GLAST Burst Monitor Instrument Simulation and Modeling. In Gamma-Ray Bursts 2007; Galassi, M., Palmer, D., Fenimore, E., Eds.; American Institute of Physics Conference Series; American Institute of Physics: College Park, MA, USA, 2008; Volume 1000, pp. 565–568. [Google Scholar] [CrossRef]
- Bissaldi, E.; von Kienlin, A.; Lichti, G.; Steinle, H.; Bhat, P.N.; Briggs, M.S.; Fishman, G.J.; Hoover, A.S.; Kippen, R.M.; Krumrey, M.; et al. Ground-based calibration and characterization of the Fermi gamma-ray burst monitor detectors. Exp. Astron. 2009, 24, 47–88. [Google Scholar] [CrossRef]
- Wilson-Hodge, C.A.; Cherry, M.L.; Case, G.L.; Baumgartner, W.H.; Beklen, E.; Narayana Bhat, P.; Briggs, M.S.; Camero-Arranz, A.; Chaplin, V.; Connaughton, V.; et al. When a Standard Candle Flickers. Astrophys. J. Lett. 2011, 727, L40. [Google Scholar] [CrossRef]
- Paciesas, W.S.; Meegan, C.A.; von Kienlin, A.; Bhat, P.N.; Bissaldi, E.; Briggs, M.S.; Burgess, J.M.; Chaplin, V.; Connaughton, V.; Diehl, R.; et al. The Fermi GBM Gamma-Ray Burst Catalog: The First Two Years. Astrophys. J. Suppl. 2012, 199, 18. [Google Scholar] [CrossRef]
- Von Kienlin, A.; Meegan, C.A.; Paciesas, W.S.; Bhat, P.N.; Bissaldi, E.; Briggs, M.S.; Burns, E.; Cleveland, W.H.; Gibby, M.H.; Giles, M.M.; et al. The Fourth Fermi-GBM Gamma-Ray Burst Catalog: A Decade of Data. Astrophys. J. 2020, 893, 46. [Google Scholar] [CrossRef]
- Chattopadhyay, T.; Vadawale, S.V.; Rao, A.R.; Sreekumar, S.; Bhattacharya, D. Prospects of hard X-ray polarimetry with Astrosat-CZTI. Exp. Astron. 2014, 37, 555–577. [Google Scholar] [CrossRef]
- Vadawale, S.V.; Chattopadhyay, T.; Rao, A.R.; Bhattacharya, D.; Bhalerao, V.B.; Vagshette, N.; Pawar, P.; Sreekumar, S. Hard X-ray polarimetry with Astrosat-CZTI. Astron. Astrophys. 2015, 578, A73. [Google Scholar] [CrossRef]
- Chattopadhyay, T.; Vadawale, S.V.; Aarthy, E.; Mithun, N.P.S.; Chand, V.; Ratheesh, A.; Basak, R.; Rao, A.R.; Bhalerao, V.; Mate, S.; et al. Prompt Emission Polarimetry of Gamma-Ray Bursts with the AstroSat CZT Imager. Astrophys. J. 2019, 884, 123. [Google Scholar] [CrossRef]
- Chand, V.; Chattopadhyay, T.; Oganesyan, G.; Rao, A.R.; Vadawale, S.V.; Bhattacharya, D.; Bhalerao, V.B.; Misra, K. AstroSat-CZTI Detection of Variable Prompt Emission Polarization in GRB 171010A. Astrophys. J. 2019, 874, 70. [Google Scholar] [CrossRef]
- Torii, S.; Marrocchesi, P.S.; Calet Collaboration. The CALorimetric Electron Telescope (CALET) on the International Space Station. Adv. Space Res. 2019, 64, 2531–2537. [Google Scholar] [CrossRef]
- Yamaoka, K.; Yoshida, A.; Sakamoto, T.; Takahashi, I.; Hara, T.; Yamamoto, T.; Kawakubo, Y.; Inoue, R.; Terazawa, S.; Fujioka, R.; et al. CALET Gamma-ray Burst Monitor (CGBM). Int. Cosm. Ray Conf. 2013, 33, 2948. [Google Scholar]
- Kawakubo, Y. Gamma-ray burst observations with the CALET Gamma-ray Burst Monitor. In Proceedings of the 36th International Cosmic Ray Conference (ICRC2019), Madison, WI, USA, 24 July–1 August 2019; p. 571. [Google Scholar] [CrossRef]
- Liu, C.; Zhang, Y.; Li, X.; Lu, X.; Chang, Z.; Li, Z.; Zhang, A.; Jin, Y.; Yu, H.; Zhang, Z.; et al. The High Energy X-ray telescope (HE) onboard the Insight-HXMT astronomy satellite. Sci. China Phys. Mech. Astron. 2020, 63, 249503. [Google Scholar] [CrossRef]
- Cao, X.; Jiang, W.; Meng, B.; Zhang, W.; Luo, T.; Yang, S.; Zhang, C.; Gu, Y.; Sun, L.; Liu, X.; et al. The Medium Energy X-ray telescope (ME) onboard the Insight-HXMT astronomy satellite. Sci. China Phys. Mech. Astron. 2020, 63, 249504. [Google Scholar] [CrossRef]
- Chen, Y.; Cui, W.; Li, W.; Wang, J.; Xu, Y.; Lu, F.; Wang, Y.; Chen, T.; Han, D.; Hu, W.; et al. The Low Energy X-ray telescope (LE) onboard the Insight-HXMT astronomy satellite. Sci. China Phys. Mech. Astron. 2020, 63, 249505. [Google Scholar] [CrossRef]
- Neubert, T.; Østgaard, N.; Reglero, V.; Blanc, E.; Chanrion, O.; Oxborrow, C.A.; Orr, A.; Tacconi, M.; Hartnack, O.; Bhanderi, D.D. The ASIM Mission on the International Space Station. Space Sci. Rev. 2019, 215, 26. [Google Scholar] [CrossRef]
- Østgaard, N.; Balling, J.E.; Bjørnsen, T.; Brauer, P.; Budtz-Jørgensen, C.; Bujwan, W.; Carlson, B.; Christiansen, F.; Connell, P.; Eyles, C.; et al. The Modular X- and Gamma-Ray Sensor (MXGS) of the ASIM Payload on the International Space Station. Space Sci. Rev. 2019, 215, 23. [Google Scholar] [CrossRef]
- Castro-Tirado, A.J.; Østgaard, N.; Göǧüş, E.; Sánchez-Gil, C.; Pascual-Granado, J.; Reglero, V.; Mezentsev, A.; Gabler, M.; Marisaldi, M.; Neubert, T.; et al. Very-high-frequency oscillations in the main peak of a magnetar giant flare. Nature 2021, 600, 621–624. [Google Scholar] [CrossRef]
- Hurley, K.; Mitrofanov, I.G.; Golovin, D.; Litvak, M.L.; Sanin, A.B.; Boynton, W.; Fellows, C.; Harshman, K.; Starr, R.; Golenetskii, S.; et al. The Interplanetary Network; Castro-Tirado, A.J., Gorosabel, J., Park, I.H., Eds.; EAS Publications Series; EAS: Les Ulis, France, 2013; Volume 61, pp. 459–464. [Google Scholar] [CrossRef]
- Saunders, R.S.; Arvidson, R.E.; Badhwar, G.D.; Boynton, W.V.; Christensen, P.R.; Cucinotta, F.A.; Feldman, W.C.; Gibbs, R.G.; Kloss, C.J.; Landano, M.R.; et al. 2001 Mars Odyssey Mission Summary. Space Sci. Rev. 2004, 110, 1–36. [Google Scholar] [CrossRef]
- Boynton, W.V.; Feldman, W.C.; Mitrofanov, I.G.; Evans, L.G.; Reedy, R.C.; Squyres, S.W.; Starr, R.; Trombka, J.I.; D’Uston, C.; Arnold, J.R.; et al. The Mars Odyssey Gamma-Ray Spectrometer Instrument Suite. Space Sci. Rev. 2004, 110, 37–83. [Google Scholar] [CrossRef]
- Hurley, K.; Mitrofanov, I.; Kozyrev, A.; Litvak, M.; Grinkov, V.; Sanin, A.; Charyshnikov, S.; Boynton, W.; Fellows, C.; Harshman, K.; et al. Mars Odyssey Joins the Third Interplanetary Network. Astrophys. J. Suppl. 2006, 164, 124–129. [Google Scholar] [CrossRef]
- Benkhoff, J.; Murakami, G.; Baumjohann, W.; Besse, S.; Bunce, E.; Casale, M.; Cremosese, G.; Glassmeier, K.H.; Hayakawa, H.; Heyner, D.; et al. BepiColombo—Mission Overview and Science Goals. Space Sci. Rev. 2021, 217, 90. [Google Scholar] [CrossRef]
- Mitrofanov, I.G.; Kozyrev, A.S.; Konovalov, A.; Litvak, M.L.; Malakhov, A.A.; Mokrousov, M.I.; Sanin, A.B.; Tret’ykov, V.I.; Vostrukhin, A.V.; Bobrovnitskij, Y.I.; et al. The Mercury Gamma and Neutron Spectrometer (MGNS) on board the Planetary Orbiter of the BepiColombo mission. Planet. Space Sci. 2010, 58, 116–124. [Google Scholar] [CrossRef]
- Mitrofanov, I.G.; Kozyrev, A.S.; Lisov, D.I.; Litvak, M.L.; Malakhov, A.A.; Mokrousov, M.I.; Benkhoff, J.; Owens, A.; Schulz, R.; Quarati, F. The Mercury Gamma-Ray and Neutron Spectrometer (MGNS) Onboard the Mercury Planetary Orbiter of the BepiColombo Mission: Design Updates and First Measurements in Space. Space Sci. Rev. 2021, 217, 67. [Google Scholar] [CrossRef]
- Goldsten, J.O.; Rhodes, E.A.; Boynton, W.V.; Feldman, W.C.; Lawrence, D.J.; Trombka, J.I.; Smith, D.M.; Evans, L.G.; White, J.; Madden, N.W.; et al. The MESSENGER Gamma-Ray and Neutron Spectrometer. Space Sci. Rev. 2007, 131, 339–391. [Google Scholar] [CrossRef]
- Gold, R.E.; Solomon, S.C.; McNutt, R.L.; Santo, A.G.; Abshire, J.B.; Acuña, M.H.; Afzal, R.S.; Anderson, B.J.; Andrews, G.B.; Bedini, P.D.; et al. The MESSENGER mission to Mercury: Scientific payload. Planet. Space Sci. 2001, 49, 1467–1479. [Google Scholar] [CrossRef]
- Solomon, S.C.; McNutt, R.L.; Gold, R.E.; Domingue, D.L. MESSENGER Mission Overview. Space Sci. Rev. 2007, 131, 3–39. [Google Scholar] [CrossRef]
- Lin, R.P.; Dennis, B.R.; Hurford, G.J.; Smith, D.M.; Zehnder, A.; Harvey, P.R.; Curtis, D.W.; Pankow, D.; Turin, P.; Bester, M.; et al. The Reuven Ramaty High-Energy Solar Spectroscopic Imager (RHESSI). Sol. Phys. 2002, 210, 3–32. [Google Scholar] [CrossRef]
- Smith, D.M.; Lin, R.P.; Turin, P.; Curtis, D.W.; Primbsch, J.H.; Campbell, R.D.; Abiad, R.; Schroeder, P.; Cork, C.P.; Hull, E.L.; et al. The RHESSI Spectrometer. Sol. Phys. 2002, 210, 33–60. [Google Scholar] [CrossRef]
- Svinkin, D.; Frederiks, D.; Hurley, K.; Aptekar, R.; Golenetskii, S.; Lysenko, A.; Ridnaia, A.V.; Tsvetkova, A.; Ulanov, M.; Cline, T.L.; et al. A bright γ-ray flare interpreted as a giant magnetar flare in NGC 253. Nature 2021, 589, 211–213. [Google Scholar] [CrossRef]
- Ahumada, T.; Singer, L.P.; Anand, S.; Coughlin, M.W.; Kasliwal, M.M.; Ryan, G.; Andreoni, I.; Cenko, S.B.; Fremling, C.; Kumar, H.; et al. Discovery and confirmation of the shortest gamma-ray burst from a collapsar. Nat. Astron. 2021, 5, 917–927. [Google Scholar] [CrossRef]
- Ho, A.Y.Q.; Perley, D.A.; Yao, Y.; Svinkin, D.; de Ugarte Postigo, A.; Perley, R.A.; Kann, D.A.; Burns, E.; Andreoni, I.; Bellm, E.C.; et al. Cosmological Fast Optical Transients with the Zwicky Transient Facility: A Search for Dirty Fireballs. arXiv 2022, arXiv:2201.12366. [Google Scholar]
- Hurley, K.C. Gamma-Ray Burst Triangulation with a Near-Earth Network. Astrophys. J. 2020, 905, 82. [Google Scholar] [CrossRef]
- Racusin, J.; Perkins, J.S.; Briggs, M.S.; de Nolfo, G.; Krizmanic, J.; Caputo, R.; McEnery, J.E.; Shawhan, P.; Morris, D.; Connaughton, V.; et al. BurstCube: A CubeSat for Gravitational Wave Counterparts. arXiv 2017, arXiv:1708.09292. [Google Scholar]
- Smith, J. BurstCube: Mission Concept, Performance, and Status. In Proceedings of the 36th International Cosmic Ray Conference (ICRC2019), Madison, WI, USA, 24 July–1 August 2019; Volume 36, p. 604. [Google Scholar]
- Wen, J.X.; Zheng, X.T.; Yu, J.D.; Che, Y.P.; Yang, D.X.; Gao, H.Z.; Jin, Y.F.; Long, X.Y.; Liu, Y.H.; Xu, D.C.; et al. Compact CubeSat Gamma-Ray Detector for GRID Mission. arXiv 2021, arXiv:2104.14228. [Google Scholar] [CrossRef]
- Werner, N.; Řípa, J.; Pál, A.; Ohno, M.; Tarcai, N.; Torigoe, K.; Tanaka, K.; Uchida, N.; Mészáros, L.; Galgóczi, G.; et al. CAMELOT: Cubesats Applied for MEasuring and LOcalising Transients mission overview. In Space Telescopes and Instrumentation 2018: Ultraviolet to Gamma Ray; den Herder, J.W.A., Nikzad, S., Nakazawa, K., Eds.; Society of Photo-Optical Instrumentation Engineers (SPIE) Conference Series; SPIE Press: Bellingham, DC, USA, 2018; Volume 10699, pp. 672–686. [Google Scholar] [CrossRef]
- Fuschino, F.; Campana, R.; Labanti, C.; Evangelista, Y.; Feroci, M.; Burderi, L.; Fiore, F.; Ambrosino, F.; Baldazzi, G.; Bellutti, P.; et al. HERMES: An ultra-wide band X and gamma-ray transient monitor on board a nano-satellite constellation. Nucl. Instrum. Methods Phys. Res. A 2019, 936, 199–203. [Google Scholar] [CrossRef]
- Fiore, F.; Burderi, L.; Lavagna, M.; Bertacin, R.; Evangelista, Y.; Campana, R.; Fuschino, F.; Lunghi, P.; Monge, A.; Negri, B.; et al. The HERMES-Technologic and Scientific Pathfinder; Society of Photo-Optical Instrumentation Engineers (SPIE) Conference Series; SPIE Press: Bellingham, DC, USA, 2020; Volume 11444, pp. 214–228. [Google Scholar] [CrossRef]
- Inceoglu, F.; Hernández Marcano, N.J.; Jacobsen, R.H.; Karoff, C. A General Overview for Localising Short Gamma-ray Bursts with a CubeSat Mega-Constellation. Front. Astron. Space Sci. 2020, 7, 75. [Google Scholar] [CrossRef]
- Pál, A.; Ohno, M.; Mészáros, L.; Werner, N.; Ripa, J.; Frajt, M.; Hirade, N.; Hudec, J.; Kapuš, J.; Koleda, M.; et al. GRBAlpha: A 1U CubeSat Mission for Validating Timing-Based Gamma-Ray Burst Localization; Society of Photo-Optical Instrumentation Engineers (SPIE) Conference Series; SPIE Press: Bellingham, DC, USA, 2020; Volume 11444, pp. 825–833. [Google Scholar] [CrossRef]
- Granja, C.; Hudec, R.; Maršíková, V.; Inneman, A.; Pína, L.; Doubravova, D.; Matej, Z.; Daniel, V.; Oberta, P. Directional-Sensitive X-ray/Gamma-ray Imager on Board the VZLUSAT-2 CubeSat for Wide Field-of-View Observation of GRBs in Low Earth Orbit. Universe 2022, 8, 241. [Google Scholar] [CrossRef]
- Murphy, D.; Joe, F.; Thompson, J.W.; Doyle, M.; Erkal, J.; Gloster, A.; O’Toole, C.; Salmon, L.; Sherwin, D.; Walsh, S.; et al. EIRSAT-1 - The Educational Irish Research Satellite. In Proceedings of the 2nd Symposium on Space Educational Activities, Budapest, Hungary, 11–13 April 2018. [Google Scholar]
- Sanna, A.; Burderi, L.; Di Salvo, T.; Fiore, F.; Riggio, A.; Gambino, A.; Lavagna, M.; Bertacin, R.; Evangelista, Y.; Campana, R.; et al. Timing Techniques Applied to Distributed Modular High-Energy Astronomy: The H.E.R.M.E.S. Project; Society of Photo-Optical Instrumentation Engineers (SPIE) Conference Series; SPIE Press: Bellingham, DC, USA, 2020; Volume 11444, pp. 844–862. [Google Scholar] [CrossRef]
- Burderi, L.; Di Salvo, T.; Riggio, A.; Gambino, A.F.; Sanna, A.; Fiore, F.; Amarilli, F.; Amati, L.; Ambrosino, F.; Amelino-Camelia, G.; et al. GrailQuest and HERMES: Hunting for Gravitational Wave Electromagnetic Counterparts and Probing Space-Time Quantum Foam; Society of Photo-Optical Instrumentation Engineers (SPIE) Conference Series; SPIE Press: Bellingham, DC, USA, 2020; Volume 11444, pp. 863–881. [Google Scholar] [CrossRef]
- Evangelista, Y.; Fiore, F.; Fuschino, F.; Campana, R.; Ceraudo, F.; Demenev, E.; Guzman, A.; Labanti, C.; La Rosa, G.; Fiorini, M.; et al. The Scientific Payload On-Board the HERMES-TP and HERMES-SP CubeSat Missions; Society of Photo-Optical Instrumentation Engineers (SPIE) Conference Series; SPIE Press: Bellingham, DC, USA, 2020; Volume 11444, pp. 241–256. [Google Scholar] [CrossRef]
- Burderi, L.; Sanna, A.; Di Salvo, T.; Amati, L.; Amelino-Camelia, G.; Branchesi, M.; Capozziello, S.; Coccia, E.; Colpi, M.; Costa, E.; et al. GrailQuest: Hunting for atoms of space and time hidden in the wrinkle of Space-Time. Exp. Astron. 2021, 51, 1255–1297. [Google Scholar] [CrossRef]
- Paczynski, B.; Rhoads, J.E. Radio Transients from Gamma-Ray Bursters. Astrophys. J. Lett. 1993, 418, L5. [Google Scholar] [CrossRef]
- Sari, R.; Piran, T.; Narayan, R. Spectra and Light Curves of Gamma-Ray Burst Afterglows. Astrophys. J. Lett. 1998, 497, L17–L20. [Google Scholar] [CrossRef]
- Piran, T. The physics of gamma-ray bursts. Rev. Mod. Phys. 2004, 76, 1143–1210. [Google Scholar] [CrossRef]
- Granot, J.; Sari, R. The Shape of Spectral Breaks in Gamma-Ray Burst Afterglows. Astrophys. J. 2002, 568, 820–829. [Google Scholar] [CrossRef]
- Mészáros, P.; Rees, M.J. GRB 990123: Reverse and internal shock flashes and late afterglow behaviour. Mon. Not. R. Astron. Soc. 1999, 306, L39–L43. [Google Scholar] [CrossRef]
- Rhoads, J.E. The Dynamics and Light Curves of Beamed Gamma-Ray Burst Afterglows. Astrophys. J. 1999, 525, 737–749. [Google Scholar] [CrossRef]
- Sari, R.; Piran, T.; Halpern, J.P. Jets in Gamma-Ray Bursts. Astrophys. J. Lett. 1999, 519, L17–L20. [Google Scholar] [CrossRef]
- Weisskopf, M.C.; Tananbaum, H.D.; Van Speybroeck, L.P.; O’Dell, S.L. Chandra X-ray Observatory (CXO): Overview. In X-Ray Optics, Instruments, and Missions III; Truemper, J.E., Aschenbach, B., Eds.; Society of Photo-Optical Instrumentation Engineers (SPIE) Conference Series; SPIE Press: Bellingham, DC, USA, 2000; Volume 4012, pp. 2–16. [Google Scholar] [CrossRef]
- Weisskopf, M.C.; Brinkman, B.; Canizares, C.; Garmire, G.; Murray, S.; Van Speybroeck, L.P. An Overview of the Performance and Scientific Results from the Chandra X-Ray Observatory. Publ. Astron. Soc. Pac. 2002, 114, 1–24. [Google Scholar] [CrossRef]
- Schwartz, D.A. The Development and Scientific Impact of the Chandra X-Ray Observatory. Int. J. Mod. Phys. D 2004, 13, 1239–1247. [Google Scholar] [CrossRef]
- Jansen, F.; Lumb, D.; Altieri, B.; Clavel, J.; Ehle, M.; Erd, C.; Gabriel, C.; Guainazzi, M.; Gondoin, P.; Much, R.; et al. XMM-Newton observatory. I. The spacecraft and operations. Astron. Astrophys. 2001, 365, L1–L6. [Google Scholar] [CrossRef]
- Burrows, D.N.; Kennea, J.A.; Abbey, A.F.; Beardmore, A.P.; Campana, S.; Capalbi, M.; Chincarini, G.L.; Cusumano, G.; Evans, P.A.; Hill, J.E.; et al. The swift x-ray telescope: Status and performance. In SPIE Optical Engineering + Applications; SPIE Press: Bellingham, DC, USA, 2007. [Google Scholar]
- Racusin, J.L.; Liang, E.W.; Burrows, D.N.; Falcone, A.; Sakamoto, T.; Zhang, B.B.; Zhang, B.; Evans, P.; Osborne, J. Jet Breaks and Energetics of Swift Gamma-Ray Burst X-Ray Afterglows. Astrophys. J. 2009, 698, 43–74. [Google Scholar] [CrossRef]
- Dainotti, M.G.; Lenart, A.Ł.; Fraija, N.; Nagataki, S.; Warren, D.C.; De Simone, B.; Srinivasaragavan, G.; Mata, A. Closure relations during the plateau emission of Swift GRBs and the fundamental plane. Publ. Astron. Soc. Jpn. 2021, 73, 970–1000. [Google Scholar] [CrossRef]
- Klingler, N.J.; Kennea, J.A.; Evans, P.A.; Tohuvavohu, A.; Cenko, S.B.; Barthelmy, S.D.; Beardmore, A.P.; Breeveld, A.A.; Brown, P.J.; Burrows, D.N.; et al. Swift-XRT Follow-up of Gravitational-wave Triggers in the Second Advanced LIGO/Virgo Observing Run. Astrophys. J. Suppl. 2019, 245, 15. [Google Scholar] [CrossRef]
- Page, K.L.; Evans, P.A.; Tohuvavohu, A.; Kennea, J.A.; Klingler, N.J.; Cenko, S.B.; Oates, S.R.; Ambrosi, E.; Barthelmy, S.D.; Beardmore, A.P.; et al. Swift-XRT follow-up of gravitational wave triggers during the third aLIGO/Virgo observing run. Mon. Not. R. Astron. Soc. 2020, 499, 3459–3480. [Google Scholar] [CrossRef]
- Serino, M.; Sakamoto, T.; Kawai, N.; Yoshida, A.; Ohno, M.; Ogawa, Y.; Nishimura, Y.; Fukushima, K.; Higa, M.; Ishikawa, K.; et al. MAXI observations of gamma-ray bursts. Publ. Astron. Soc. Jpn. 2014, 66, 87. [Google Scholar] [CrossRef]
- Sugizaki, M.; Mihara, T.; Serino, M.; Yamamoto, T.; Matsuoka, M.; Kohama, M.; Tomida, H.; Ueno, S.; Kawai, N.; Morii, M.; et al. In-Orbit Performance of MAXI Gas Slit Camera (GSC) on ISS. Publ. Astron. Soc. Jpn. 2011, 63, S635–S644. [Google Scholar] [CrossRef]
- Harrison, F.A.; Craig, W.W.; Christensen, F.E.; Hailey, C.J.; Zhang, W.W.; Boggs, S.E.; Stern, D.; Cook, W.R.; Forster, K.; Giommi, P.; et al. The Nuclear Spectroscopic Telescope Array (NuSTAR) High-energy X-Ray Mission. Astrophys. J. 2013, 770, 103. [Google Scholar] [CrossRef]
- Racusin, J.L.; Karpov, S.V.; Sokolowski, M.; Granot, J.; Wu, X.F.; Pal’Shin, V.; Covino, S.; van der Horst, A.J.; Oates, S.R.; Schady, P.; et al. Broadband observations of the naked-eye γ-ray burst GRB080319B. Nature 2008, 455, 183–188. [Google Scholar] [CrossRef] [PubMed]
- Beskin, G.; Karpov, S.; Bondar, S.; Greco, G.; Guarnieri, A.; Bartolini, C.; Piccioni, A. Fast Optical Variability of a Naked-eye Burst—Manifestation of the Periodic Activity of an Internal Engine. Astrophys. J. Lett. 2010, 719, L10–L14. [Google Scholar] [CrossRef]
- Zhang, B.B.; Zhang, B.; Castro-Tirado, A.J.; Dai, Z.G.; Tam, P.H.T.; Wang, X.Y.; Hu, Y.D.; Karpov, S.; Pozanenko, A.; Zhang, F.W.; et al. Transition from fireball to Poynting-flux-dominated outflow in the three-episode GRB 160625B. Nat. Astron. 2018, 2, 69–75. [Google Scholar] [CrossRef]
- Greiner, J. The Benefit of Simultaneous Seven-filter Imaging: 10 Years of GROND Observations. Publ. Astron. Soc. Pac. 2019, 131, 015002. [Google Scholar] [CrossRef]
- Castro-Tirado, A.J.; Soldán, J.; Bernas, M.; Páta, P.; Rezek, T.; Hudec, R.; Mateo Sanguino, T.J.; de La Morena, B.; Berná, J.A.; Rodríguez, J.; et al. The Burst Observer and Optical Transient Exploring System (BOOTES). Astron. Astrophys. Suppl. 1999, 138, 583–585. [Google Scholar] [CrossRef]
- Castro-Tirado, A.J.; Jelínek, M.; Gorosabel, J.; Kubánek, P.; Cunniffe, R.; Guziy, S.; Lara-Gil, O.; Rabaza-Castillo, O.; de Ugarte Postigo, A.; Sánchez-Ramírez, R.; et al. Building the BOOTES World-Wide Network of Robotic Telescopes; Astronomical Society of India Conference Series; Astronomical Society of India: Hyderabad, India, 2012; Volume 7, pp. 313–320. [Google Scholar]
- Hu, Y.D.; Li, X.Y.; Castro-Tirado, A.J.; Fernandez-García, E.J.; Castellón, A.; Carrasco-García, I.; Perez del Pulgar, C.; Caballero-García, M.D.; Querel, R.; Bai, J.; et al. The BOOTES Network in the Gravitational Wave Era; Revista Mexicana de Astronomia y Astrofisica Conference Series; The Astronomical Institute (Instituto de Astronomia) of the National Autonomous University of Mexico: Mexico City, Mexico, 2021; Volume 53, pp. 75–82. [Google Scholar] [CrossRef]
- Watson, A.M.; Cuevas Cardona, S.; Alvarez Nuñez, L.C.; Ángeles, F.; Becerra-Godínez, R.L.; Chapa, O.; Farah, A.S.; Fuentes-Fernández, J.; Figueroa, L.; Langarica Lebre, R.; et al. COATLI: An all-sky robotic optical imager with 0.3 arcsec image quality. In Ground-Based and Airborne Instrumentation for Astronomy VI; Evans, C.J., Simard, L., Takami, H., Eds.; SPIE Press: Bellingham, DC, USA, 2016; Volume 9908, p. 99100G. [Google Scholar] [CrossRef]
- Watson, A.M.; Lee, W.H.; Troja, E.; Román-Zúñiga, C.G.; Butler, N.R.; Kutyrev, A.S.; Gehrels, N.A.; Ángeles, F.; Basa, S.; Blanc, P.E.; et al. DDOTI: The deca-degree optical transient imager. In Observatory Operations: Strategies, Processes, and Systems VI; Peck, A.B., Seaman, R.L., Benn, C.R., Eds.; Society of Photo-Optical Instrumentation Engineers (SPIE) Conference Series; SPIE Press: Bellingham, DC, USA, 2016; Volume 9910. [Google Scholar] [CrossRef]
- Ebr, J.; Janeček, P.; Prouza, M.; Kubánek, P.; Jelínek, M.; Mašek, M.; Ebrová, I.; Černý, J. FRAM: Showers, Comets, GRBs and Popular Science; Revista Mexicana de Astronomia y Astrofisica Conference Series; The Astronomical Institute (Instituto de Astronomia) of the National Autonomous University of Mexico: Mexico City, Mexico, 2014; Volume 45, p. 114. [Google Scholar]
- Janeček, P.; Ebr, J.; Juryšek, J.; Prouza, M.; Blažek, J.; Trávníček, P.; Mandát, D.; Pech, M.; Karpov, S.; Cunniffe, R.; et al. FRAM telescopes and their measurements of aerosol content at the Pierre Auger Observatory and at future sites of the Cherenkov Telescope Array. Eur. Phys. J. Web Conf. 2019, 197, 02008. [Google Scholar] [CrossRef][Green Version]
- Antier, S.; Agayeva, S.; Aivazyan, V.; Alishov, S.; Arbouch, E.; Baransky, A.; Barynova, K.; Bai, J.M.; Basa, S.; Beradze, S.; et al. The first six months of the Advanced LIGO’s and Advanced Virgo’s third observing run with GRANDMA. Mon. Not. R. Astron. Soc. 2020, 492, 3904–3927. [Google Scholar] [CrossRef]
- Agayeva, S.; Alishov, S.; Antier, S.; Ayvazian, V.R.; Bai, J.M.; Baransky, A.; Barynova, K.; Basa, S.; Beradze, S.; Bertin, E.; et al. Grandma: A Network to Coordinate Them All; Revista Mexicana de Astronomia y Astrofisica Conference Series; The Astronomical Institute (Instituto de Astronomia) of the National Autonomous University of Mexico: Mexico City, Mexico, 2021; Volume 53, pp. 198–205. [Google Scholar] [CrossRef]
- Volnova, A.; Pozanenko, A.; Mazaeva, E.; Belkin, S.; Molotov, I.; Elenin, L.; Tungalag, N.; Buckley, D. IKI GRB-FuN: Observations of GRBs with small-aperture telescopes. An. Acad. Bras. Ciências 2021, 93, 1. [Google Scholar] [CrossRef]
- Pozanenko, A.; Elenin, L.; Litvinenko, E.; Volnova, A.; Erofeeva, A.; Matkin, A.; Ivanov, A.; Ivanov, V.; Varda, D.; Sinyakov, E.; et al. Gamma-Ray Burst Observations with Ison Network; Castro-Tirado, A.J., Gorosabel, J., Park, I.H., Eds.; EAS Publications Series; EDP Sciences: Les Ulis, France, 2013; Volume 61, pp. 259–261. [Google Scholar] [CrossRef]
- Pozanenko, A.; Mazaeva, E.; Volnova, A.; Elenin, L.; Inasaridze, R.; Aivazyan, V.; Reva, I.; Kusakin, A.; Tungalag, N.; Schmalz, S.; et al. GRB Afterglow Observations by International Scientific Optical Network (ISON). In Eighth Huntsville Gamma-Ray Burst Symposium; LPI Contributions; Lunar and Planetary Institute: Houston, TX, USA, 2016; Volume 1962, p. 4074. [Google Scholar]
- Richmond, M.; Treffers, R.R.; Filippenko, A.V. The Berkeley Automatic Imaging Telescope. Publ. Astron. Soc. Pac. 1993, 105, 1164. [Google Scholar] [CrossRef]
- Filippenko, A.V.; Li, W.D.; Treffers, R.R.; Modjaz, M. The Lick Observatory Supernova Search with the Katzman Automatic Imaging Telescope. In IAU Colloq. 183: Small Telescope Astronomy on Global Scales; Paczynski, B., Chen, W.P., Lemme, C., Eds.; Astronomical Society of the Pacific Conference Series; Astronomical Society of the Pacific: San Francisco, CA, USA, 2001; Volume 246, p. 121. [Google Scholar]
- Butler, N.; Bloom, J.; Filippenko, A.; Li, W.; Foley, R.; Alatalo, K.; Kocevski, D.; Perley, D.; Pooley, D. Rapidly Detecting Extincted Bursts with KAIT and PAIRITEL. In Gamma-Ray Bursts in the Swift Era; Holt, S.S., Gehrels, N., Nousek, J.A., Eds.; American Institute of Physics Conference Series; American Institute of Physics: College Park, MA, USA, 2006; Volume 836, pp. 277–280. [Google Scholar] [CrossRef]
- Guidorzi, C.; Monfardini, A.; Gomboc, A.; Mottram, C.J.; Mundell, C.G.; Steele, I.A.; Carter, D.; Bode, M.F.; Smith, R.J.; Fraser, S.N.; et al. The Automatic Real-Time Gamma-Ray Burst Pipeline of the 2 m Liverpool Telescope. Publ. Astron. Soc. Pac. 2006, 118, 288–296. [Google Scholar] [CrossRef][Green Version]
- Lipunov, V.; Kornilov, V.; Gorbovskoy, E.; Shatskij, N.; Kuvshinov, D.; Tyurina, N.; Belinski, A.; Krylov, A.; Balanutsa, P.; Chazov, V.; et al. Master Robotic Net. Adv. Astron. 2010, 2010, 349171. [Google Scholar] [CrossRef]
- Troja, E.; Lipunov, V.M.; Mundell, C.G.; Butler, N.R.; Watson, A.M.; Kobayashi, S.; Cenko, S.B.; Marshall, F.E.; Ricci, R.; Fruchter, A.; et al. Significant and variable linear polarization during the prompt optical flash of GRB 160625B. Nature 2017, 547, 425–427. [Google Scholar] [CrossRef]
- Gorbovskoy, E.S.; Lipunova, G.V.; Lipunov, V.M.; Kornilov, V.G.; Belinski, A.A.; Shatskiy, N.I.; Tyurina, N.V.; Kuvshinov, D.A.; Balanutsa, P.V.; Chazov, V.V.; et al. Prompt, early and afterglow optical observations of five γ-ray bursts: GRB 100901A, GRB 100902A, GRB 100905A, GRB 100906A and GRB 101020A. Mon. Not. R. Astron. Soc. 2012, 421, 1874–1890. [Google Scholar] [CrossRef]
- Pruzhinskaya, M.V.; Krushinsky, V.V.; Lipunova, G.V.; Gorbovskoy, E.S.; Balanutsa, P.V.; Kuznetsov, A.S.; Denisenko, D.V.; Kornilov, V.G.; Tyurina, N.V.; Lipunov, V.M.; et al. Optical polarization observations with the MASTER robotic net. New Astron. 2014, 29, 65–74. [Google Scholar] [CrossRef]
- Tyurina, N.; Lipunov, V.; Kornilov, V.; Gorbovskoy, E.; Shatskij, N.; Kuvshinov, D.; Balanutsa, P.; Belinski, A.; Krushinsky, V.; Zalozhnyh, I.; et al. MASTER Prompt and Follow-Up GRB Observations. Adv. Astron. 2010, 2010, 763629. [Google Scholar] [CrossRef]
- Bloom, J.S.; Starr, D.L.; Blake, C.H.; Skrutskie, M.F.; Falco, E.E. Autonomous Observing and Control Systems for PAIRITEL, a 1.3m Infrared Imaging Telescope. In Astronomical Data Analysis Software and Systems XV; Gabriel, C., Arviset, C., Ponz, D., Enrique, S., Eds.; Astronomical Society of the Pacific Conference Series; Astronomical Society of the Pacific: San Francisco, CA, USA, 2006; Volume 351, p. 751. [Google Scholar]
- Burd, A.; Cwiok, M.; Czyrkowski, H.; Dabrowski, R.; Dominik, W.; Grajda, M.; Husejko, M.; Jegier, M.; Kalicki, A.; Kasprowicz, G.; et al. Pi of the Sky - all-sky, real-time search for fast optical transients. New Astron. 2005, 10, 409–416. [Google Scholar] [CrossRef]
- Mankiewicz, L.; Batsch, T.; Castro-Tirado, A.; Czyrkowski, H.; Cwiek, A.; Cwiok, M.; Dabrowski, R.; Jelínek, M.; Kasprowicz, G.; Majcher, A.; et al. Pi of the Sky Full System and the New Telescope; Revista Mexicana de Astronomia y Astrofisica Conference Series; The Astronomical Institute (Instituto de Astronomia) of the National Autonomous University of Mexico: Mexico City, Mexico, 2014; Volume 45, p. 7. [Google Scholar]
- Vestrand, W.T.; Borozdin, K.N.; Brumby, S.P.; Casperson, D.E.; Fenimore, E.E.; Galassi, M.C.; McGowan, K.; Perkins, S.J.; Priedhorsky, W.C.; Starr, D.; et al. The RAPTOR experiment: A system for monitoring the optical sky in real time. In Advanced Global Communications Technologies for Astronomy II; Kibrick, R.I., Ed.; Society of Photo-Optical Instrumentation Engineers (SPIE) Conference Series; SPIE Press: Bellingham, DC, USA, 2002; Volume 4845, pp. 126–136. [Google Scholar] [CrossRef]
- Borozdin, K.N.; Brumby, S.P.; Galassi, M.C.; McGowan, K.; Starr, D.; Vestrand, T.; White, R.; Wozniak, P.; Wren, J.A. Real-Time Detection of Optical Transients with RAPTOR. In Astronomical Data Analysis II; Starck, J.L., Murtagh, F.D., Eds.; Society of Photo-Optical Instrumentation Engineers (SPIE) Conference Series; SPIE Press: Bellingham, DC, USA, 2002; Volume 4847, pp. 344–353. [Google Scholar] [CrossRef]
- Butler, N.; Klein, C.; Fox, O.; Lotkin, G.; Bloom, J.; Prochaska, J.X.; Ramirez-Ruiz, E.; de Diego, J.A.; Georgiev, L.; González, J.; et al. First Light with RATIR: An Automated 6-band Optical/NIR Imaging Camera. In Ground-based and Airborne Instrumentation for Astronomy IV; McLean, I.S., Ramsay, S.K., Takami, H., Eds.; Society of Photo-Optical Instrumentation Engineers (SPIE) Conference Series; SPIE Press: Bellingham, DC, USA, 2012; Volume 8446, p. 844610. [Google Scholar] [CrossRef]
- Watson, A.M.; Richer, M.G.; Bloom, J.S.; Butler, N.R.; Ceseña, U.; Clark, D.; Colorado, E.; Córdova, A.; Farah, A.; Fox-Machado, L.; et al. Automation of the OAN/SPM 1.5-meter Johnson telescope for operations with RATIR. In Ground-based and Airborne Telescopes IV; Stepp, L.M., Gilmozzi, R., Hall, H.J., Eds.; Society of Photo-Optical Instrumentation Engineers (SPIE) Conference Series; SPIE Press: Bellingham, DC, USA, 2012; Volume 8444, pp. 1787–1796. [Google Scholar] [CrossRef]
- Fox, O.D.; Kutyrev, A.S.; Rapchun, D.A.; Klein, C.R.; Butler, N.R.; Bloom, J.; de Diego, J.A.; Farah, A.; Gehrels, N.A.; Georgiev, L.; et al. Performance and calibration of H2RG detectors and SIDECAR ASICs for the RATIR camera. In High Energy, Optical, and Infrared Detectors for Astronomy V; Holland, A.D., Beletic, J.W., Eds.; Society of Photo-Optical Instrumentation Engineers (SPIE) Conference Series; SPIE Press: Bellingham, DC, USA, 2012; Volume 8453, pp. 508–517. [Google Scholar] [CrossRef]
- Antonelli, L.A.; Zerbi, F.M.; Chincarini, G.; Rodonò, M.; Palazzi, E.; Tosti, G.; Conconi, P.; Covino, S.; Cutispoto, G.; Molinari, E.; et al. The REM telescope: A robotic facility for wide band prompt observations of Gamma Ray Bursts. In Frontier Objects in Astrophysics and Particle Physics; Italian Physical Society: Bologna, Italy, 2005; p. 657. [Google Scholar]
- Akerlof, C.W.; Kehoe, R.L.; McKay, T.A.; Rykoff, E.S.; Smith, D.A.; Casperson, D.E.; McGowan, K.E.; Vestrand, W.T.; Wozniak, P.R.; Wren, J.A.; et al. The ROTSE-III Robotic Telescope System. Publ. Astron. Soc. Pac. 2003, 115, 132–140. [Google Scholar] [CrossRef][Green Version]
- Keel, W.C.; Oswalt, T.; Mack, P.; Henson, G.; Hillwig, T.; Batcheldor, D.; Berrington, R.; De Pree, C.; Hartmann, D.; Leake, M.; et al. The Remote Observatories of the Southeastern Association for Research in Astronomy (SARA). Publ. Astron. Soc. Pac. 2021, 129, 015002, Corrigendum in Publ. Astron. Soc. Pac. 2021, 133, 069201. [Google Scholar] [CrossRef]
- Zola, S.; Kouprianov, V.; Reichart, D.E.; Bhatta, G.; Caton, D.B. Long-Term Photometry with Skynet Robotic Telescope Network; Revista Mexicana de Astronomia y Astrofisica Conference Series; The Astronomical Institute (Instituto de Astronomia) of the National Autonomous University of Mexico: Mexico City, Mexico, 2021; Volume 53, pp. 206–214. [Google Scholar] [CrossRef]
- Boer, M.; Klotz, A.; Atteia, J.L.; Buchholtz, G.; Daigne, F.; Eysseric, J.; Goldoni, P.; Jean, P.; Lecavelier Des Etangs, A.; Lopez, M.; et al. The Gamma-Ray Burst Hunt at La Silla the TAROT-S Very Fast Moving Telescope. Messenger 2003, 113, 45–48. [Google Scholar]
- Molinari, E.; Bondar, S.; Karpov, S.; Beskin, G.; Biryukov, A.; Ivanov, E.; Bartolini, C.; Greco, G.; Guarnieri, A.; Piccioni, A.; et al. TORTOREM: Two-telescope complex for detection and investigation of optical transients. Nuovo Cimento B Ser. 2006, 121, 1525–1526. [Google Scholar] [CrossRef]
- Zolotukhin, I.; Beskin, G.; Biryukov, A.; Bondar, S.; Hurley, K.; Ivanov, E.; Karpov, S.; Katkova, E.; Pozanenko, A. Optical camera with high temporal resolution to search for transients in the wide field. Astron. Nachrichten 2004, 325, 675. [Google Scholar] [CrossRef]
- Karpov, S.; Beskin, G.; Biryukov, A.; Bondar, S.; Hurley, K.; Ivanov, E.; Katkova, E.; Pozanenko, A.; Zolotukhin, I. Optical camera with high temporal resolution to search for transients in the wide field. Nuovo Cimento C Geophys. Space Phys. C 2005, 28, 747. [Google Scholar] [CrossRef]
- Karpov, S.; Beskin, G.; Bondar, S.; Guarnieri, A.; Bartolini, C.; Greco, G.; Piccioni, A. Wide and Fast: Monitoring the Sky in Subsecond Domain with the FAVOR and TORTORA Cameras. Adv. Astron. 2010, 2010, 784141. [Google Scholar] [CrossRef]
- Greco, G.; Beskin, G.; Karpov, S.; Guarnieri, A.; Bartolini, C.; Bondar, S.; Piccioni, A.; Molinari, E. The High-Speed and Wide-Field TORTORA Camera: Description & results. Mem. Della Soc. Astron. Ital. Suppl. 2010, 14, 267. [Google Scholar]
- Beskin, G.M.; Karpov, S.V.; Bondar, S.F.; Plokhotnichenko, V.L.; Guarnieri, A.; Bartolini, C.; Greco, G.; Piccioni, A. CONFERENCES AND SYMPOSIA: Discovery of the fast optical variability of GRB 080319B and the prospects for wide-field optical monitoring with high time resolution. Phys. Uspekhi 2010, 53, 406–414. [Google Scholar] [CrossRef]
- Karpov, S.; Beskin, G.; Biryukov, A.; Bondar, S.; Ivanov, E.; Katkova, E.; Perkov, A.; Sasyuk, V. Mini-Mega-TORTORA Wide-Field Monitoring System with Sub-Second Temporal Resolution: First Year of Operation; Revista Mexicana de Astronomia y Astrofisica Conference Series; The Astronomical Institute (Instituto de Astronomia) of the National Autonomous University of Mexico: Mexico City, Mexico, 2016; Volume 48, pp. 91–96. [Google Scholar]
- French, J.; Hanlon, L.; McBreen, B.; McBreen, S.; Moran, L.; Smith, N.; Giltinan, A.; Meintjes, P.; Hoffman, M. Watcher: A Telescope for Rapid Gamma-Ray Burst Follow-Up Observations. In Gamma-Ray Bursts: 30 Years of Discovery; Fenimore, E., Galassi, M., Eds.; American Institute of Physics Conference Series; American Institute of Physics: College Park, MA, USA, 2004; Volume 727, pp. 741–744. [Google Scholar] [CrossRef]
- Martin-Carrillo, A.; Hanlon, L.; Topinka, M.; LaCluyzé, A.P.; Savchenko, V.; Kann, D.A.; Trotter, A.S.; Covino, S.; Krühler, T.; Greiner, J.; et al. GRB 120711A: An intense INTEGRAL burst with long-lasting soft γ-ray emission and a powerful optical flash. Astron. Astrophys. 2014, 567, A84. [Google Scholar] [CrossRef]
- Tisdall, P.; Hanlon, L.; Murphy, D.; Topinka, M.; Meehan, S.; Martin-Carillo, A.; Jelínek, M.; Meintjes, P.; van Soelen, B.; Hoffman, M. Blazar Monitoring with the Watcher Robotic Telescope; Revista Mexicana de Astronomia y Astrofisica Conference Series; The Astronomical Institute (Instituto de Astronomia) of the National Autonomous University of Mexico: Mexico City, Mexico, 2014; Volume 45, p. 71. [Google Scholar]
- Cenko, S.B.; Urban, A.L.; Perley, D.A.; Horesh, A.; Corsi, A.; Fox, D.B.; Cao, Y.; Kasliwal, M.M.; Lien, A.; Arcavi, I.; et al. iPTF14yb: The First Discovery of a Gamma-Ray Burst Afterglow Independent of a High-energy Trigger. Astrophys. J. Lett. 2015, 803, L24. [Google Scholar] [CrossRef]
- Stalder, B.; Tonry, J.; Smartt, S.J.; Coughlin, M.; Chambers, K.C.; Stubbs, C.W.; Chen, T.W.; Kankare, E.; Smith, K.W.; Denneau, L.; et al. Observations of the GRB Afterglow ATLAS17aeu and Its Possible Association with GW 170104. Astrophys. J. 2017, 850, 149. [Google Scholar] [CrossRef]
- Andreoni, I.; Coughlin, M.W.; Kool, E.C.; Kasliwal, M.M.; Kumar, H.; Bhalerao, V.; Carracedo, A.S.; Ho, A.Y.Q.; Pang, P.T.H.; Saraogi, D.; et al. Fast-transient Searches in Real Time with ZTFReST: Identification of Three Optically Discovered Gamma-Ray Burst Afterglows and New Constraints on the Kilonova Rate. Astrophys. J. 2021, 918, 63. [Google Scholar] [CrossRef]
- Bellm, E.C. Volumetric Survey Speed: A Figure of Merit for Transient Surveys. Publ. Astron. Soc. Pac. 2016, 128, 084501. [Google Scholar] [CrossRef]
- Tonry, J.L.; Denneau, L.; Heinze, A.N.; Stalder, B.; Smith, K.W.; Smartt, S.J.; Stubbs, C.W.; Weiland, H.J.; Rest, A. ATLAS: A High-cadence All-sky Survey System. Publ. Astron. Soc. Pac. 2018, 130, 064505. [Google Scholar] [CrossRef]
- York, D.G.; Adelman, J.; Anderson, J.E., Jr.; Anderson, S.F.; Annis, J.; Bahcall, N.A.; Bakken, J.A.; Barkhouser, R.; Bastian, S.; Berman, E.; et al. The Sloan Digital Sky Survey: Technical Summary. Astron. J. 2000, 120, 1579–1587. [Google Scholar] [CrossRef]
- Eisenstein, D.J.; Weinberg, D.H.; Agol, E.; Aihara, H.; Allende Prieto, C.; Anderson, S.F.; Arns, J.A.; Aubourg, É.; Bailey, S.; Balbinot, E.; et al. SDSS-III: Massive Spectroscopic Surveys of the Distant Universe, the Milky Way, and Extra-Solar Planetary Systems. Astron. J. 2011, 142, 72. [Google Scholar] [CrossRef]
- Blanton, M.R.; Bershady, M.A.; Abolfathi, B.; Albareti, F.D.; Allende Prieto, C.; Almeida, A.; Alonso-García, J.; Anders, F.; Anderson, S.F.; Andrews, B.; et al. Sloan Digital Sky Survey IV: Mapping the Milky Way, Nearby Galaxies, and the Distant Universe. Astron. J. 2017, 154, 28. [Google Scholar] [CrossRef]
- Gaia Collaboration; Prusti, T.; de Bruijne, J.H.J.; Brown, A.G.A.; Vallenari, A.; Babusiaux, C.; Bailer-Jones, C.A.L.; Bastian, U.; Biermann, M.; Evans, D.W.; et al. The Gaia mission. Astron. Astrophys. 2016, 595, A1. [Google Scholar] [CrossRef]
- Emerson, J.P.; Sutherland, W. Visible and Infrared Survey Telescope for Astronomy: Overview. In Survey and Other Telescope Technologies and Discoveries; Tyson, J.A., Wolff, S., Eds.; Society of Photo-Optical Instrumentation Engineers (SPIE) Conference Series; SPIE Press: Bellingham, DC, USA, 2002; Volume 4836, pp. 35–42. [Google Scholar] [CrossRef]
- Sutherland, W.; Emerson, J.; Dalton, G.; Atad-Ettedgui, E.; Beard, S.; Bennett, R.; Bezawada, N.; Born, A.; Caldwell, M.; Clark, P.; et al. The Visible and Infrared Survey Telescope for Astronomy (VISTA): Design, technical overview, and performance. Astron. Astrophys. 2015, 575, A25. [Google Scholar] [CrossRef]
- Skrutskie, M.F.; Cutri, R.M.; Stiening, R.; Weinberg, M.D.; Schneider, S.; Carpenter, J.M.; Beichman, C.; Capps, R.; Chester, T.; Elias, J.; et al. The Two Micron All Sky Survey (2MASS). Astron. J. 2006, 131, 1163–1183. [Google Scholar] [CrossRef]
- Kaiser, N.; Aussel, H.; Burke, B.E.; Boesgaard, H.; Chambers, K.; Chun, M.R.; Heasley, J.N.; Hodapp, K.W.; Hunt, B.; Jedicke, R.; et al. Pan-STARRS: A Large Synoptic Survey Telescope Array. In Survey and Other Telescope Technologies and Discoveries; Tyson, J.A., Wolff, S., Eds.; Society of Photo-Optical Instrumentation Engineers (SPIE) Conference Series; SPIE Press: Bellingham, DC, USA, 2002; Volume 4836, pp. 154–164. [Google Scholar] [CrossRef]
- Kaiser, N.; Burgett, W.; Chambers, K.; Denneau, L.; Heasley, J.; Jedicke, R.; Magnier, E.; Morgan, J.; Onaka, P.; Tonry, J. The Pan-STARRS wide-field optical/NIR imaging survey. In Ground-Based and Airborne Telescopes III; Stepp, L.M., Gilmozzi, R., Hall, H.J., Eds.; Society of Photo-Optical Instrumentation Engineers (SPIE) Conference Series; SPIE Press: Bellingham, DC, USA, 2010; Volume 7733, pp. 159–172. [Google Scholar] [CrossRef]
- Chambers, K.; Pan-STARRS Team. The Pan-STARRS1 Surveys. In American Astronomical Society Meeting Abstracts #231; American Astronomical Society: Washington, DC, USA, 2018; Volume 231, p. 102.01. [Google Scholar]
- Law, N.M.; Kulkarni, S.R.; Dekany, R.G.; Ofek, E.O.; Quimby, R.M.; Nugent, P.E.; Surace, J.; Grillmair, C.C.; Bloom, J.S.; Kasliwal, M.M.; et al. The Palomar Transient Factory: System Overview, Performance, and First Results. Publ. Astron. Soc. Pac. 2009, 121, 1395. [Google Scholar] [CrossRef]
- Rau, A.; Kulkarni, S.R.; Law, N.M.; Bloom, J.S.; Ciardi, D.; Djorgovski, G.S.; Fox, D.B.; Gal-Yam, A.; Grillmair, C.C.; Kasliwal, M.M.; et al. Exploring the Optical Transient Sky with the Palomar Transient Factory. Publ. Astron. Soc. Pac. 2009, 121, 1334. [Google Scholar] [CrossRef]
- Kulkarni, S.R. The intermediate Palomar Transient Factory (iPTF) begins. Astron. Telegr. 2013, 4807, 1. [Google Scholar]
- Bellm, E.C.; Kulkarni, S.R.; Graham, M.J.; Dekany, R.; Smith, R.M.; Riddle, R.; Masci, F.J.; Helou, G.; Prince, T.A.; Adams, S.M.; et al. The Zwicky Transient Facility: System Overview, Performance, and First Results. Publ. Astron. Soc. Pac. 2019, 131, 018002. [Google Scholar] [CrossRef]
- Ivezić, Ž.; Kahn, S.M.; Tyson, J.A.; Abel, B.; Acosta, E.; Allsman, R.; Alonso, D.; AlSayyad, Y.; Anderson, S.F.; Andrew, J.; et al. LSST: From Science Drivers to Reference Design and Anticipated Data Products. Astrophys. J. 2019, 873, 111. [Google Scholar] [CrossRef]
- Iye, M.; Karoji, H.; Ando, H.; Kaifu, N.; Kodaira, K.; Aoki, K.; Aoki, W.; Chikada, Y.; Doi, Y.; Ebizuka, N.; et al. Current Performance and On-Going Improvements of the 8.2 m Subaru Telescope. Publ. Astron. Soc. Jpn. 2004, 56, 381–397. [Google Scholar] [CrossRef]
- Tokunaga, A.T.; Kobayashi, N.; Bell, J.; Ching, G.K.; Hodapp, K.W.; Hora, J.L.; Neill, D.; Onaka, P.M.; Rayner, J.T.; Robertson, L.; et al. Infrared camera and spectrograph for the SUBARU Telescope. In Infrared Astronomical Instrumentation; Fowler, A.M., Ed.; Society of Photo-Optical Instrumentation Engineers (SPIE) Conference Series; SPIE Press: Bellingham, DC, USA, 1998; Volume 3354, pp. 512–524. [Google Scholar] [CrossRef]
- Kobayashi, N.; Tokunaga, A.T.; Terada, H.; Goto, M.; Weber, M.; Potter, R.; Onaka, P.M.; Ching, G.K.; Young, T.T.; Fletcher, K.; et al. IRCS: Infrared camera and spectrograph for the Subaru Telescope. In Optical and IR Telescope Instrumentation and Detectors; Iye, M., Moorwood, A.F., Eds.; Society of Photo-Optical Instrumentation Engineers (SPIE) Conference Series; SPIE Press: Bellingham, DC, USA, 2000; Volume 4008, pp. 1056–1066. [Google Scholar] [CrossRef]
- Miyazaki, S.; Komiyama, Y.; Sekiguchi, M.; Okamura, S.; Doi, M.; Furusawa, H.; Hamabe, M.; Imi, K.; Kimura, M.; Nakata, F.; et al. Subaru Prime Focus Camera—Suprime-Cam. Publ. Astron. Soc. Jpn. 2002, 54, 833–853. [Google Scholar] [CrossRef]
- Miyazaki, S.; Komiyama, Y.; Kawanomoto, S.; Doi, Y.; Furusawa, H.; Hamana, T.; Hayashi, Y.; Ikeda, H.; Kamata, Y.; Karoji, H.; et al. Hyper Suprime-Cam: System design and verification of image quality. Publ. Astron. Soc. Jpn. 2018, 70, S1. [Google Scholar] [CrossRef]
- Komiyama, Y.; Obuchi, Y.; Nakaya, H.; Kamata, Y.; Kawanomoto, S.; Utsumi, Y.; Miyazaki, S.; Uraguchi, F.; Furusawa, H.; Morokuma, T.; et al. Hyper Suprime-Cam: Camera dewar design. Publ. Astron. Soc. Jpn. 2018, 70, S2. [Google Scholar] [CrossRef]
- Kawanomoto, S.; Uraguchi, F.; Komiyama, Y.; Miyazaki, S.; Furusawa, H.; Finet, F.; Hattori, T.; Wang, S.Y.; Yasuda, N.; Suzuki, N. Hyper Suprime-Cam: Filters. Publ. Astron. Soc. Jpn. 2018, 70, 66. [Google Scholar] [CrossRef]
- Furusawa, H.; Koike, M.; Takata, T.; Okura, Y.; Miyatake, H.; Lupton, R.H.; Bickerton, S.; Price, P.A.; Bosch, J.; Yasuda, N.; et al. The on-site quality-assurance system for Hyper Suprime-Cam: OSQAH. Publ. Astron. Soc. Jpn. 2018, 70, S3. [Google Scholar] [CrossRef]
- Yoshida, M.; Shimizu, Y.; Sasaki, T.; Kosugi, G.; Takata, T.; Sekiguchi, K.; Kashikawa, N.; Aoki, K.; Asai, R.; Ohyama, Y.; et al. Software structure and its performance on FOCAS instrument control, a MOS design, and an analyzing package. In Advanced Telescope and Instrumentation Control Software; Lewis, H., Ed.; Society of Photo-Optical Instrumentation Engineers (SPIE) Conference Series; SPIE Press: Bellingham, DC, USA, 2000; Volume 4009, pp. 240–249. [Google Scholar] [CrossRef]
- Kashikawa, N.; Aoki, K.; Asai, R.; Ebizuka, N.; Inata, M.; Iye, M.; Kawabata, K.S.; Kosugi, G.; Ohyama, Y.; Okita, K.; et al. FOCAS: The Faint Object Camera and Spectrograph for the Subaru Telescope. Publ. Astron. Soc. Jpn. 2002, 54, 819–832. [Google Scholar] [CrossRef]
- Suzuki, R.; Tokoku, C.; Ichikawa, T.; Uchimoto, Y.K.; Konishi, M.; Yoshikawa, T.; Tanaka, I.; Yamada, T.; Omata, K.; Nishimura, T. Multi-Object Infrared Camera and Spectrograph (MOIRCS) for the Subaru Telescope I. Imaging. Publ. Astron. Soc. Jpn. 2008, 60, 1347. [Google Scholar] [CrossRef]
- Ichikawa, T.; Suzuki, R.; Tokoku, C.; Uchimoto, Y.K.; Konishi, M.; Yoshikawa, T.; Yamada, T.; Tanaka, I.; Omata, K.; Nishimura, T. MOIRCS: Multi-Object Infrared Camera and Spectrograph for SUBARU; McLean, I.S., Iye, M., Eds.; Society of Photo-Optical Instrumentation Engineers (SPIE) Conference Series; SPIE Press: Bellingham, DC, USA, 2006; Volume 6269, p. 626916. [Google Scholar] [CrossRef]
- Walawender, J.; Wung, M.; Fabricius, M.; Tanaka, I.; Arimoto, N.; Cook, D.; Elms, B.; Hashiba, Y.; Hu, Y.S.; Iwata, I.; et al. The nuMOIRCS project: Detector upgrade overview and early commissioning results. In Ground-Based and Airborne Instrumentation for Astronomy VI; Evans, C.J., Simard, L., Takami, H., Eds.; Society of Photo-Optical Instrumentation Engineers (SPIE) Conference Series; SPIE Press: Bellingham, DC, USA, 2016; Volume 9908, pp. 772–780. [Google Scholar] [CrossRef]
- Fabricius, M.; Walawender, J.; Arimoto, N.; Cook, D.; Elms, B.; Hashiba, Y.; Hattori, T.; Hu, Y.S.; Iwata, I.; Nishimura, T.; et al. Detector upgrade of Subaru’s Multi-object Infrared Camera and Spectrograph (MOIRCS). In Ground-Based and Airborne Instrumentation for Astronomy VI; Evans, C.J., Simard, L., Takami, H., Eds.; Society of Photo-Optical Instrumentation Engineers (SPIE) Conference Series; SPIE Press: Bellingham, DC, USA, 2016; Volume 9908, p. 990828. [Google Scholar] [CrossRef]
- Hayano, Y.; Takami, H.; Guyon, O.; Oya, S.; Hattori, M.; Saito, Y.; Watanabe, M.; Murakami, N.; Minowa, Y.; Ito, M.; et al. Current status of the laser guide star adaptive optics system for Subaru Telescope. In Adaptive Optics Systems; Hubin, N., Max, C.E., Wizinowich, P.L., Eds.; Society of Photo-Optical Instrumentation Engineers (SPIE) Conference Series; SPIE Press: Bellingham, DC, USA, 2008; Volume 7015, p. 701510. [Google Scholar] [CrossRef]
- Hayano, Y.; Takami, H.; Oya, S.; Hattori, M.; Saito, Y.; Watanabe, M.; Guyon, O.; Minowa, Y.; Egner, S.E.; Ito, M.; et al. Commissioning status of Subaru laser guide star adaptive optics system. In Adaptive Optics Systems II; Ellerbroek, B.L., Hart, M., Hubin, N., Wizinowich, P.L., Eds.; Society of Photo-Optical Instrumentation Engineers (SPIE) Conference Series; SPIE Press: Bellingham, DC, USA, 2010; Volume 7736, pp. 260–267. [Google Scholar] [CrossRef]
- Buckley, D.A.H.; Swart, G.P.; Meiring, J.G. Completion and Commissioning of the Southern African Large Telescope; Stepp, L.M., Ed.; Society of Photo-Optical Instrumentation Engineers (SPIE) Conference Series; SPIE Press: Bellingham, DC, USA, 2006; Volume 6267, pp. 333–347. [Google Scholar] [CrossRef]
- Burgh, E.B.; Nordsieck, K.H.; Kobulnicky, H.A.; Williams, T.B.; O’Donoghue, D.; Smith, M.P.; Percival, J.W. Prime Focus Imaging Spectrograph for the Southern African Large Telescope: Optical design. In Instrument Design and Performance for Optical/Infrared Ground-Based Telescopes; Iye, M., Moorwood, A.F.M., Eds.; Society of Photo-Optical Instrumentation Engineers (SPIE) Conference Series; SPIE Press: Bellingham, DC, USA, 2003; Volume 4841, pp. 1463–1471. [Google Scholar] [CrossRef]
- Kobulnicky, H.A.; Nordsieck, K.H.; Burgh, E.B.; Smith, M.P.; Percival, J.W.; Williams, T.B.; O’Donoghue, D. Prime focus imaging spectrograph for the Southern African large telescope: Operational modes. In Instrument Design and Performance for Optical/Infrared Ground-Based Telescopes; Iye, M., Moorwood, A.F.M., Eds.; Society of Photo-Optical Instrumentation Engineers (SPIE) Conference Series; SPIE Press: Bellingham, DC, USA, 2003; Volume 4841, pp. 1634–1644. [Google Scholar] [CrossRef]
- McLeod, B.; Fabricant, D.; Nystrom, G.; McCracken, K.; Amato, S.; Bergner, H.; Brown, W.; Burke, M.; Chilingarian, I.; Conroy, M.; et al. MMT and Magellan Infrared Spectrograph. Publ. Astron. Soc. Pac. 2012, 124, 1318. [Google Scholar] [CrossRef]
- O’Donoghue, D.; Buckley, D.A.H.; Balona, L.A.; Bester, D.; Botha, L.; Brink, J.; Carter, D.B.; Charles, P.A.; Christians, A.; Ebrahim, F.; et al. First science with the Southern African Large Telescope: Peering at the accreting polar caps of the eclipsing polar SDSS J015543.40+002807.2. Mon. Not. R. Astron. Soc. 2006, 372, 151–162. [Google Scholar] [CrossRef]
- Kotani, T.; Kawai, N.; Yanagisawa, K.; Watanabe, J.; Arimoto, M.; Fukushima, H.; Hattori, T.; Inata, M.; Izumiura, H.; Kataoka, J.; et al. MITSuME—Multicolor Imaging Telescopes for Survey and Monstrous Explosions. Nuovo Cimento C Geophys. Space Phys. C 2005, 28, 755. [Google Scholar] [CrossRef]
- Gardner, J.P.; Mather, J.C.; Clampin, M.; Doyon, R.; Greenhouse, M.A.; Hammel, H.B.; Hutchings, J.B.; Jakobsen, P.; Lilly, S.J.; Long, K.S.; et al. The James Webb Space Telescope. Space Sci. Rev. 2006, 123, 485–606. [Google Scholar] [CrossRef]
- Afanasiev, V.L.; Moiseev, A.V. The SCORPIO Universal Focal Reducer of the 6-m Telescope. Astron. Lett. 2005, 31, 194–204. [Google Scholar] [CrossRef]
- Afanasiev, V.L.; Moiseev, A.V. Scorpio on the 6 m Telescope: Current State and Perspectives for Spectroscopy of Galactic and Extragalactic Objects. Balt. Astron. 2011, 20, 363–370. [Google Scholar] [CrossRef]
- Patat, F.; Taubenberger, S. Characterisation of the CAFOS linear spectropolarimeter. Astron. Astrophys. 2011, 529, A57. [Google Scholar] [CrossRef][Green Version]
- Inserra, C.; Pastorello, A.; Turatto, M.; Pumo, M.L.; Benetti, S.; Cappellaro, E.; Botticella, M.T.; Bufano, F.; Elias-Rosa, N.; Harutyunyan, A.; et al. Moderately luminous Type II supernovae. Astron. Astrophys. 2013, 555, A142. [Google Scholar] [CrossRef]
- Caballero, J.A.; Montes, D.; Klutsch, A.; Genebriera, J.; Miret, F.X.; Tobal, T.; Cairol, J.; Pedraz, S. The magnetically-active, low-mass, triple system WDS 19312+3607. Astron. Astrophys. 2010, 520, A91. [Google Scholar] [CrossRef]
- Hook, I.M.; Jørgensen, I.; Allington-Smith, J.R.; Davies, R.L.; Metcalfe, N.; Murowinski, R.G.; Crampton, D. The Gemini-North Multi-Object Spectrograph: Performance in Imaging, Long-Slit, and Multi-Object Spectroscopic Modes. Publ. Astron. Soc. Pac. 2004, 116, 425–440. [Google Scholar] [CrossRef]
- Allington-Smith, J.; Murray, G.; Content, R.; Dodsworth, G.; Davies, R.; Miller, B.W.; Jorgensen, I.; Hook, I.; Crampton, D.; Murowinski, R. Integral Field Spectroscopy with the Gemini Multiobject Spectrograph. I. Design, Construction, and Testing. Publ. Astron. Soc. Pac. 2002, 114, 892–912. [Google Scholar] [CrossRef]
- Gimeno, G.; Roth, K.; Chiboucas, K.; Hibon, P.; Boucher, L.; White, J.; Rippa, M.; Labrie, K.; Turner, J.; Hanna, K.; et al. On-sky commissioning of Hamamatsu CCDs in GMOS-S. In Ground-Based and Airborne Instrumentation for Astronomy VI; Evans, C.J., Simard, L., Takami, H., Eds.; Society of Photo-Optical Instrumentation Engineers (SPIE) Conference Series; SPIE Press: Bellingham, DC, USA, 2016; Volume 9908, pp. 872–885. [Google Scholar] [CrossRef]
- Greiner, J.; Bornemann, W.; Clemens, C.; Deuter, M.; Hasinger, G.; Honsberg, M.; Huber, H.; Huber, S.; Krauss, M.; Krühler, T.; et al. GROND—A 7-Channel Imager. Publ. Astron. Soc. Pac. 2008, 120, 405. [Google Scholar] [CrossRef]
- Cepa, J.; Aguiar, M.; Escalera, V.G.; Gonzalez-Serrano, I.; Joven-Alvarez, E.; Peraza, L.; Rasilla, J.L.; Rodriguez-Ramos, L.F.; Gonzalez, J.J.; Cobos Duenas, F.J.; et al. OSIRIS tunable imager and spectrograph. In Optical and IR Telescope Instrumentation and Detectors; Iye, M., Moorwood, A.F., Eds.; Society of Photo-Optical Instrumentation Engineers (SPIE) Conference Series; SPIE Press: Bellingham, DC, USA, 2000; Volume 4008, pp. 623–631. [Google Scholar] [CrossRef]
- Cortés-Contreras, M.; Bouy, H.; Solano, E.; Mahlke, M.; Jiménez-Esteban, F.; Alacid, J.M.; Rodrigo, C. The Gran Telescopio Canarias OSIRIS broad-band first data release. Mon. Not. R. Astron. Soc. 2020, 491, 129–152. [Google Scholar] [CrossRef]
- Faber, S.M.; Phillips, A.C.; Kibrick, R.I.; Alcott, B.; Allen, S.L.; Burrous, J.; Cantrall, T.; Clarke, D.; Coil, A.L.; Cowley, D.J.; et al. The DEIMOS spectrograph for the Keck II Telescope: Integration and testing. In Instrument Design and Performance for Optical/Infrared Ground-Based Telescopes; Iye, M., Moorwood, A.F.M., Eds.; Society of Photo-Optical Instrumentation Engineers (SPIE) Conference Series; SPIE Press: Bellingham, DC, USA, 2003; Volume 4841, pp. 1657–1669. [Google Scholar] [CrossRef]
- Vogt, S.S.; Allen, S.L.; Bigelow, B.C.; Bresee, L.; Brown, B.; Cantrall, T.; Conrad, A.; Couture, M.; Delaney, C.; Epps, H.W.; et al. HIRES: The high-resolution echelle spectrometer on the Keck 10-m Telescope. In Instrumentation in Astronomy VIII; Crawford, D.L., Craine, E.R., Eds.; Society of Photo-Optical Instrumentation Engineers (SPIE) Conference Series; SPIE Press: Bellingham, DC, USA, 1994; Volume 2198, p. 362. [Google Scholar] [CrossRef]
- Oke, J.B.; Cohen, J.G.; Carr, M.; Cromer, J.; Dingizian, A.; Harris, F.H.; Labrecque, S.; Lucinio, R.; Schaal, W.; Epps, H.; et al. The Keck Low-Resolution Imaging Spectrometer. Publ. Astron. Soc. Pac. 1995, 107, 375. [Google Scholar] [CrossRef]
- Rockosi, C.; Stover, R.; Kibrick, R.; Lockwood, C.; Peck, M.; Cowley, D.; Bolte, M.; Adkins, S.; Alcott, B.; Allen, S.L.; et al. The low-resolution imaging spectrograph red channel CCD upgrade: Fully depleted, high-resistivity CCDs for Keck. In Ground-Based and Airborne Instrumentation for Astronomy III; McLean, I.S., Ramsay, S.K., Takami, H., Eds.; Society of Photo-Optical Instrumentation Engineers (SPIE) Conference Series; SPIE Press: Bellingham, DC, USA, 2010; Volume 7735, pp. 355–365. [Google Scholar] [CrossRef]
- Newman, J.A.; Cooper, M.C.; Davis, M.; Faber, S.M.; Coil, A.L.; Guhathakurta, P.; Koo, D.C.; Phillips, A.C.; Conroy, C.; Dutton, A.A.; et al. The DEEP2 Galaxy Redshift Survey: Design, Observations, Data Reduction, and Redshifts. Astrophys. J. Suppl. 2013, 208, 5. [Google Scholar] [CrossRef]
- Meyer, R.A.; Kakiichi, K.; Bosman, S.E.I.; Ellis, R.S.; Laporte, N.; Robertson, B.E.; Ryan-Weber, E.V.; Mawatari, K.; Zitrin, A. The role of galaxies and AGN in reionizing the IGM - III. IGM-galaxy cross-correlations at z ∼ 6 from eight quasar fields with DEIMOS and MUSE. Mon. Not. R. Astron. Soc. 2020, 494, 1560–1578. [Google Scholar] [CrossRef]
- Vogt, S.S. An Overview of Science Results from HIRES: The First 6 Years. In Astronomical Instrumentation and Astrophysics; Bash, F.N., Sneden, C., Eds.; Astronomical Society of the Pacific Conference Series; Astronomical Society of the Pacific: San Francisco, CA, USA, 2002; Volume 270, p. 5. [Google Scholar]
- Levine, S.E.; DeGroff, W.T. Status and imaging performance of Lowell Observatory’s Discovery Channel Telescope in its first year of full science operations. In Ground-Based and Airborne Telescopes VI; Hall, H.J., Gilmozzi, R., Marshall, H.K., Eds.; Society of Photo-Optical Instrumentation Engineers (SPIE) Conference Series; SPIE Press: Bellingham, DC, USA, 2016; Volume 9906, p. 990621. [Google Scholar] [CrossRef]
- Massey, P.; Dunham, E.W.; Bida, T.A.; Collins, P.; Hall, J.C.; Hunter, D.A.; Lauman, S.; Levine, S.; Neugent, K.; Nye, R.; et al. As Big and As Good As It Gets: The Large Monolithic Imager for Lowell Observatory’s 4.3-m Discovery Channel Telescope. In American Astronomical Society Meeting Abstracts #221; NASA: Washington, DC, USA, 2013; Volume 221, p. 345.02. [Google Scholar]
- Scholz, A.; Llama, J.; Muzic, K.; Faller, S.; Froebrich, D.; Stelzer, B. Discovery of a Magnetic White Dwarf with Unusual Short-period Variability. Res. Notes Am. Astron. Soc. 2018, 2, 27. [Google Scholar] [CrossRef]
- Hussaini, M.; Mace, G.N.; López-Valdivia, R.; Honaker, E.J.; Han, E. The Impact of Rotation Velocity on Measuring Magnetic Fields of K and M Stars. Res. Notes Am. Astron. Soc. 2020, 4, 241. [Google Scholar] [CrossRef]
- Clark, C.A.; van Belle, G.T.; Horch, E.P. A New Stellar Companion to TYC 5493-889-1. Res. Notes Am. Astron. Soc. 2021, 5, 280. [Google Scholar] [CrossRef]
- Ye, Q.; Farnham, T.L.; Knight, M.M.; Holt, C.E.; Feaga, L.M. Recovery of Returning Halley-type Comet 12P/Pons-Brooks with the Lowell Discovery Telescope. Res. Notes Am. Astron. Soc. 2020, 4, 101. [Google Scholar] [CrossRef]
- Ardeberg, A.; Andersen, T. VLT Design Implications of the Nordic Optical Telescope. In Very Large Telescopes and their Instrumentation, Volume 2; European Southern Observatory Conference and Workshop Proceedings; European Southern Observatory: München, Germany, 1988; Volume 30, p. 183. [Google Scholar]
- Ardeberg, A.; Andersen, T. Low turbulence–high performance. In Advanced Technology Optical Telescopes IV; Barr, L.D., Ed.; Society of Photo-Optical Instrumentation Engineers (SPIE) Conference Series; SPIE Press: Bellingham, DC, USA, 1990; Volume 1236, pp. 543–558. [Google Scholar] [CrossRef]
- Andersen, T.; Larsen, O.B.; Owner-Petersen, M.; Steenberg, K. Active Optics on the Nordic Optical Telescope. In European Southern Observatory Conference and Workshop Proceedings; European Southern Observatory: München, Germany, 1992; Volume 42, p. 311. [Google Scholar]
- Djupvik, A.A.; Andersen, J. The Nordic Optical Telescope. In Highlights of Spanish Astrophysics V; Astrophysics and Space Science Proceedings; Springer Science+Business Media: Berlin/Heidelberg, Germany, 2010; Volume 14, p. 211. [Google Scholar] [CrossRef]
- Vernet, J.; Dekker, H.; D’Odorico, S.; Kaper, L.; Kjaergaard, P.; Hammer, F.; Randich, S.; Zerbi, F.; Groot, P.J.; Hjorth, J.; et al. X-shooter, the new wide band intermediate resolution spectrograph at the ESO Very Large Telescope. Astron. Astrophys. 2011, 536, A105. [Google Scholar] [CrossRef]
- Appenzeller, I.; Fricke, K.; Fürtig, W.; Gässler, W.; Häfner, R.; Harke, R.; Hess, H.J.; Hummel, W.; Jürgens, P.; Kudritzki, R.P.; et al. Successful commissioning of FORS1—The first optical instrument on the VLT. Messenger 1998, 94, 1–6. [Google Scholar]
- Rhodes, L.; van der Horst, A.J.; Fender, R.; Monageng, I.M.; Anderson, G.E.; Antoniadis, J.; Bietenholz, M.F.; Böttcher, M.; Bright, J.S.; Green, D.A.; et al. Radio afterglows of very high-energy gamma-ray bursts 190829A and 180720B. Mon. Not. R. Astron. Soc. 2020, 496, 3326–3335. [Google Scholar] [CrossRef]
- De Colle, F.; Kumar, P.; Aguilera-Dena, D.R. Radio Emission from the Cocoon of a GRB Jet: Implications for Relativistic Supernovae and Off-axis GRB Emission. Astrophys. J. 2018, 863, 32. [Google Scholar] [CrossRef]
- Laskar, T.; Alexander, K.D.; Gill, R.; Granot, J.; Berger, E.; Mundell, C.G.; Barniol Duran, R.; Bolmer, J.; Duffell, P.; van Eerten, H.; et al. ALMA Detection of a Linearly Polarized Reverse Shock in GRB 190114C. Astrophys. J. Lett. 2019, 878, L26. [Google Scholar] [CrossRef]
- Chandra, P. Gamma-Ray Bursts: A Radio Perspective. Adv. Astron. 2016, 2016, 296781. [Google Scholar] [CrossRef]
- Hancock, P.J.; Gaensler, B.M.; Murphy, T. Two Populations of Gamma-Ray Burst Radio Afterglows. Astrophys. J. 2013, 776, 106. [Google Scholar] [CrossRef][Green Version]
- Lloyd-Ronning, N.M.; Fryer, C.L. On the lack of a radio afterglow from some gamma-ray bursts - insight into their progenitors? Mon. Not. R. Astron. Soc. 2017, 467, 3413–3423. [Google Scholar] [CrossRef]
- Lloyd-Ronning, N.M.; Gompertz, B.; Pe’er, A.; Dainotti, M.; Fruchter, A. A Comparison between Radio Loud and Quiet Gamma-Ray Bursts, and Evidence for a Potential Correlation between Intrinsic Duration and Redshift in the Radio Loud Population. Astrophys. J. 2019, 871, 118. [Google Scholar] [CrossRef]
- Eichler, D.; Waxman, E. The Efficiency of Electron Acceleration in Collisionless Shocks and Gamma-Ray Burst Energetics. Astrophys. J. 2005, 627, 861–867. [Google Scholar] [CrossRef]
- Giannios, D.; Spitkovsky, A. Signatures of a Maxwellian component in shock-accelerated electrons in GRBs. Mon. Not. R. Astron. Soc. 2009, 400, 330–336. [Google Scholar] [CrossRef]
- Ressler, S.M.; Laskar, T. Thermal Electrons in Gamma-Ray Burst Afterglows. Astrophys. J. 2017, 845, 150. [Google Scholar] [CrossRef]
- Warren, D.C.; Barkov, M.V.; Ito, H.; Nagataki, S.; Laskar, T. Synchrotron self-absorption in GRB afterglows: The effects of a thermal electron population. Mon. Not. R. Astron. Soc. 2018, 480, 4060–4068. [Google Scholar] [CrossRef]
- Kangas, T.; Fruchter, A.S.; Cenko, S.B.; Corsi, A.; de Ugarte Postigo, A.; Pe’er, A.; Vogel, S.N.; Cucchiara, A.; Gompertz, B.; Graham, J.; et al. The Late-time Afterglow Evolution of Long Gamma-Ray Bursts GRB 160625B and GRB 160509A. Astrophys. J. 2020, 894, 43. [Google Scholar] [CrossRef]
- Frail, D.A.; Metzger, B.D.; Berger, E.; Kulkarni, S.R.; Yost, S.A. A Late-Time Flattening of Afterglow Light Curves. Astrophys. J. 2004, 600, 828–833. [Google Scholar] [CrossRef][Green Version]
- Berger, E.; Kulkarni, S.R.; Pooley, G.; Frail, D.A.; McIntyre, V.; Wark, R.M.; Sari, R.; Soderberg, A.M.; Fox, D.W.; Yost, S.; et al. A common origin for cosmic explosions inferred from calorimetry of GRB030329. Nature 2003, 426, 154–157. [Google Scholar] [CrossRef]
- Peng, F.; Königl, A.; Granot, J. Two-Component Jet Models of Gamma-Ray Burst Sources. Astrophys. J. 2005, 626, 966–977. [Google Scholar] [CrossRef]
- Lazzati, D.; Begelman, M.C. Universal GRB Jets from Jet-Cocoon Interaction in Massive Stars. Astrophys. J. 2005, 629, 903–907. [Google Scholar] [CrossRef]
- Panaitescu, A.; Kumar, P. The slow decay of some radio afterglows—A puzzle for the simplest γ-ray burst fireball model. Mon. Not. R. Astron. Soc. 2004, 350, 213–231. [Google Scholar] [CrossRef]
- Zwart, J.T.L.; Barker, R.W.; Biddulph, P.; Bly, D.; Boysen, R.C.; Brown, A.R.; Clementson, C.; Crofts, M.; Culverhouse, T.L.; Czeres, J.; et al. The Arcminute Microkelvin Imager. Mon. Not. R. Astron. Soc. 2008, 391, 1545–1558. [Google Scholar] [CrossRef]
- Perley, R.A.; Chandler, C.J.; Butler, B.J.; Wrobel, J.M. The Expanded Very Large Array: A New Telescope for New Science. Astrophys. J. Lett. 2011, 739, L1. [Google Scholar] [CrossRef]
- Hotan, A.W.; Bunton, J.D.; Chippendale, A.P.; Whiting, M.; Tuthill, J.; Moss, V.A.; McConnell, D.; Amy, S.W.; Huynh, M.T.; Allison, J.R.; et al. Australian square kilometre array pathfinder: I. System description. Publ. Astron. Soc. Aust. 2021, 38, e009. [Google Scholar] [CrossRef]
- Van Haarlem, M.P.; Wise, M.W.; Gunst, A.W.; Heald, G.; McKean, J.P.; Hessels, J.W.T.; de Bruyn, A.G.; Nijboer, R.; Swinbank, J.; Fallows, R.; et al. LOFAR: The LOw-Frequency ARray. Astron. Astrophys. 2013, 556, A2. [Google Scholar] [CrossRef]
- Camilo, F.; Scholz, P.; Serylak, M.; Buchner, S.; Merryfield, M.; Kaspi, V.M.; Archibald, R.F.; Bailes, M.; Jameson, A.; van Straten, W.; et al. Revival of the Magnetar PSR J1622-4950: Observations with MeerKAT, Parkes, XMM-Newton, Swift, Chandra, and NuSTAR. Astrophys. J. 2018, 856, 180. [Google Scholar] [CrossRef]
- Muxlow, T.W.B.; Thomson, A.P.; Radcliffe, J.F.; Wrigley, N.H.; Beswick, R.J.; Smail, I.; McHardy, I.M.; Garrington, S.T.; Ivison, R.J.; Jarvis, M.J.; et al. The e-MERGE Survey (e-MERLIN Galaxy Evolution Survey): Overview and survey description. Mon. Not. R. Astron. Soc. 2020, 495, 1188–1208. [Google Scholar] [CrossRef]
- Tingay, S.; Goeke, R.; Hewitt, J.N.; Morgan, E.; Remillard, R.A.; Williams, C.L.; Bowman, J.D.; Emrich, E.; Ord, S.M.; Booler, T.; et al. Realisation of a low frequency SKA Precursor: The Murchison Widefield Array. In Resolving the Sky—Radio Interferometry: Past, Present and Future; Sissa Medialab: Trieste, Italy, 2012; p. 36. [Google Scholar]
- Frater, R.H.; Brooks, J.W.; Whiteoak, J.B. The Australia Telescope—Overview. J. Electr. Electron. Eng. Aust. 1992, 12, 103–112. [Google Scholar]
- Wilson, W.E.; Ferris, R.H.; Axtens, P.; Brown, A.; Davis, E.; Hampson, G.; Leach, M.; Roberts, P.; Saunders, S.; Koribalski, B.S.; et al. The Australia Telescope Compact Array Broad-band Backend: Description and first results. Mon. Not. R. Astron. Soc. 2011, 416, 832–856. [Google Scholar] [CrossRef]
- Sari, R.; Esin, A.A. On the Synchrotron Self-Compton Emission from Relativistic Shocks and Its Implications for Gamma-Ray Burst Afterglows. Astrophys. J. 2001, 548, 787–799. [Google Scholar] [CrossRef]
- Kumar, P.; Barniol Duran, R. On the generation of high-energy photons detected by the Fermi Satellite from gamma-ray bursts. Mon. Not. R. Astron. Soc. 2009, 400, L75–L79. [Google Scholar] [CrossRef]
- Ghisellini, G.; Ghirlanda, G.; Nava, L.; Celotti, A. GeV emission from gamma-ray bursts: A radiative fireball? Mon. Not. R. Astron. Soc. 2010, 403, 926–937. [Google Scholar] [CrossRef]
- Wang, X.Y.; He, H.N.; Li, Z.; Wu, X.F.; Dai, Z.G. Klein-Nishina Effects on the High-energy Afterglow Emission of Gamma-ray Bursts. Astrophys. J. 2010, 712, 1232–1240. [Google Scholar] [CrossRef]
- Ajello, M.; Baldini, L.; Barbiellini, G.; Bastieri, D.; Bellazzini, R.; Bissaldi, E.; Blandford, R.D.; Bonino, R.; Bottacini, E.; Bregeon, J.; et al. Investigating the Nature of Late-time High-energy GRB Emission through Joint Fermi/Swift Observations. Astrophys. J. 2018, 863, 138. [Google Scholar] [CrossRef]
- Razzaque, S.; Dermer, C.D.; Finke, J.D. Synchrotron Radiation from Ultra-High Energy Protons and the Fermi Observations of GRB 080916C. Open Astron. J. 2010, 3, 150–155. [Google Scholar] [CrossRef]
- Kumar, P.; Zhang, B. The physics of gamma-ray bursts & relativistic jets. Phys. Rep. 2015, 561, 1–109. [Google Scholar] [CrossRef]
- Waxman, E. Gamma-Ray–Burst Afterglow: Supporting the Cosmological Fireball Model, Constraining Parameters, and Making Predictions. Astrophys. J. Lett. 1997, 485, L5–L8. [Google Scholar] [CrossRef]
- Zhang, B.; Mészáros, P. High-Energy Spectral Components in Gamma-Ray Burst Afterglows. Astrophys. J. 2001, 559, 110–122. [Google Scholar] [CrossRef]
- Derishev, E.; Piran, T. The Physical Conditions of the Afterglow Implied by MAGIC’s Sub-TeV Observations of GRB 190114C. Astrophys. J. Lett. 2019, 880, L27. [Google Scholar] [CrossRef]
- Wang, X.Y.; Liu, R.Y.; Zhang, H.M.; Xi, S.Q.; Zhang, B. Synchrotron Self-Compton Emission from External Shocks as the Origin of the Sub-TeV Emission in GRB 180720B and GRB 190114C. Astrophys. J. 2019, 884, 117. [Google Scholar] [CrossRef]
- Abdalla, H.; Adam, R.; Aharonian, F.; Ait Benkhali, F.; Angüner, E.O.; Arakawa, M.; Arcaro, C.; Armand, C.; Ashkar, H.; Backes, M.; et al. A very-high-energy component deep in the γ-ray burst afterglow. Nature 2019, 575, 464–467. [Google Scholar] [CrossRef]
- Salafia, O.S.; Berti, A.; Covino, S.; D’Elia, V.; Miceli, D.; Nava, L.; Patricelli, B.; Righi, C.; Inoue, S.; Antonelli, L.A.; et al. Follow-up observations of GW170817 with the MAGIC telescopes. In Proceedings of the 37th International Cosmic Ray Conference, Berlin, Germany, 12–23 July 2021; p. 944. [Google Scholar]
- Abdalla, H.; Abramowski, A.; Aharonian, F.; Ait Benkhali, F.; Angüner, E.O.; Arakawa, M.; Arrieta, M.; Aubert, P.; Backes, M.; Balzer, A.; et al. TeV Gamma-Ray Observations of the Binary Neutron Star Merger GW170817 with H.E.S.S. Astrophys. J. Lett. 2017, 850, L22. [Google Scholar] [CrossRef]
- Acciari, V.A.; Ansoldi, S.; Antonelli, L.A.; Arbet Engels, A.; Asano, K.; Baack, D.; Babić, A.; Baquero, A.; Barres de Almeida, U.; Barrio, J.A.; et al. MAGIC Observations of the Nearby Short Gamma-Ray Burst GRB 160821B. Astrophys. J. 2021, 908, 90. [Google Scholar] [CrossRef]
- Aleksić, J.; Ansoldi, S.; Antonelli, L.A.; Antoranz, P.; Babic, A.; Bangale, P.; Barceló, M.; Barrio, J.A.; Becerra González, J.; Bednarek, W.; et al. The major upgrade of the MAGIC telescopes, Part II: A performance study using observations of the Crab Nebula. Astropart. Phys. 2016, 72, 76–94. [Google Scholar] [CrossRef]
- Holder, J.; Atkins, R.W.; Badran, H.M.; Blaylock, G.; Bradbury, S.M.; Buckley, J.H.; Byrum, K.L.; Carter-Lewis, D.A.; Celik, O.; Chow, Y.C.K.; et al. The first VERITAS telescope. Astropart. Phys. 2006, 25, 391–401. [Google Scholar] [CrossRef]
- Hinton, J.A.; HESS Collaboration. The status of the HESS project. New Astron. Rev. 2004, 48, 331–337. [Google Scholar] [CrossRef]
- Abeysekara, A.U.; Aguilar, J.A.; Aguilar, S.; Alfaro, R.; Almaraz, E.; Álvarez, C.; Álvarez-Romero, J.d.D.; Álvarez, M.; Arceo, R.; Arteaga-Velázquez, J.C.; et al. On the sensitivity of the HAWC observatory to gamma-ray bursts. Astropart. Phys. 2012, 35, 641–650. [Google Scholar] [CrossRef]
- Albert, A.; Alfaro, R.; Ashkar, H.; Alvarez, C.; Álvarez, J.; Arteaga-Velázquez, J.C.; Ayala Solares, H.A.; Arceo, R.; Bellido, J.A.; BenZvi, S.; et al. Science Case for a Wide Field-of-View Very-High-Energy Gamma-Ray Observatory in the Southern Hemisphere. arXiv 2019, arXiv:1902.08429. [Google Scholar]
- León Vargas, H. Highlights from HAWC. Eur. Phys. J. Web Conf. 2019, 208, 14001. [Google Scholar] [CrossRef][Green Version]
- Casanova, S. First year results from the HAWC observatory. Eur. Phys. J. Web Conf. 2017, 136, 03005. [Google Scholar] [CrossRef]
- Ajello, M.; Atwood, W.B.; Axelsson, M.; Bagagli, R.; Bagni, M.; Baldini, L.; Bastieri, D.; Bellardi, F.; Bellazzini, R.; Bissaldi, E.; et al. Fermi Large Area Telescope Performance after 10 Years of Operation. Astrophys. J. Suppl. 2021, 256, 12. [Google Scholar] [CrossRef]
- IceCube Collaboration; Aartsen, M.G.; Ackermann, M.; Adams, J.; Aguilar, J.A.; Ahlers, M.; Ahrens, M.; Al Samarai, I.; Altmann, D.; Andeen, K.; et al. Multimessenger observations of a flaring blazar coincident with high-energy neutrino IceCube-170922A. Science 2018, 361, eaat1378. [Google Scholar] [CrossRef]
- MAGIC Collaboration; Acciari, V.A.; Ansoldi, S.; Antonelli, L.A.; Engels, A.A.; Baack, D.; Babić, A.; Banerjee, B.; Barres de Almeida, U.; Barrio, J.A.; et al. Observation of inverse Compton emission from a long γ-ray burst. Nature 2019, 575, 459–463. [Google Scholar] [CrossRef]
- MAGIC Collaboration; Acciari, V.A.; Ansoldi, S.; Antonelli, L.A.; Arbet Engels, A.; Baack, D.; Babić, A.; Banerjee, B.; Barres de Almeida, U.; Barrio, J.A.; et al. Teraelectronvolt emission from the γ-ray burst GRB 190114C. Nature 2019, 575, 455–458. [Google Scholar] [CrossRef]
- Sagiv, I.; Gal-Yam, A.; Ofek, E.O.; Waxman, E.; Aharonson, O.; Kulkarni, S.R.; Nakar, E.; Maoz, D.; Trakhtenbrot, B.; Phinney, E.S.; et al. Science with a Wide-field UV Transient Explorer. Astron. J. 2014, 147, 79, Erratum in Astron. J. 2014, 148, 138. [Google Scholar] [CrossRef]
- Atteia, J.L.; Cordier, B.; Wei, J. The SVOM mission. Int. J. Mod. Phys. D 2022, 31, 2230008. [Google Scholar] [CrossRef]
- Yuan, W.; Zhang, C.; Feng, H.; Zhang, S.N.; Ling, Z.X.; Zhao, D.; Deng, J.; Qiu, Y.; Osborne, J.P.; O’Brien, P.; et al. Einstein Probe - a small mission to monitor and explore the dynamic X-ray Universe. arXiv 2015, arXiv:1506.07735. [Google Scholar]
- Yuan, W.; Zhang, C.; Ling, Z.; Zhao, D.; Wang, W.; Chen, Y.; Lu, F.; Zhang, S.N.; Cui, W. Einstein Probe: A lobster-eye telescope for monitoring the x-ray sky. In Space Telescopes and Instrumentation 2018: Ultraviolet to Gamma Ray; den Herder, J.W.A., Nikzad, S., Nakazawa, K., Eds.; Society of Photo-Optical Instrumentation Engineers (SPIE) Conference Series; SPIE Press: Bellingham, DC, USA, 2018; Volume 10699, p. 1069925. [Google Scholar] [CrossRef]
- Amati, L.; O’Brien, P.T.; Götz, D.; Bozzo, E.; Santangelo, A.; Tanvir, N.; Frontera, F.; Mereghetti, S.; Osborne, J.P.; Blain, A.; et al. The THESEUS space mission: Science goals, requirements and mission concept. Exp. Astron. 2021, 52, 183–218. [Google Scholar] [CrossRef]
- Ghirlanda, G.; Salvaterra, R.; Toffano, M.; Ronchini, S.; Guidorzi, C.; Oganesyan, G.; Ascenzi, S.; Bernardini, M.G.; Camisasca, A.E.; Mereghetti, S.; et al. Gamma ray burst studies with THESEUS. Exp. Astron. 2021, 52, 277–308. [Google Scholar] [CrossRef]
- Nandra, K.; Barret, D.; Barcons, X.; Fabian, A.; den Herder, J.W.; Piro, L.; Watson, M.; Adami, C.; Aird, J.; Afonso, J.M.; et al. The Hot and Energetic Universe: A White Paper presenting the science theme motivating the Athena+ mission. arXiv 2013, arXiv:1306.2307. [Google Scholar]
- Neichel, B.; Mouillet, D.; Gendron, E.; Correia, C.; Sauvage, J.F.; Fusco, T. Overview of the European Extremely Large Telescope and its instrument suite. In Proceedings of the SF2A-2018: Proceedings of the Annual meeting of the French Society of Astronomy and Astrophysics, Bordeaux, France, 3–6 July 2018. [Google Scholar]
- Burlon, D.; Ghirlanda, G.; van der Horst, A.; Murphy, T.; Wijers, R.A.M.J.; Gaensler, B.; Ghisellini, G.; Prandoni, I. The SKA View of Gamma-Ray Bursts. In Proceedings of the Advancing Astrophysics with the Square Kilometre Array (AASKA14), Giardini Naxos, Italy, 9–13 June 2015; p. 52. [Google Scholar]
- Barres de Almeida, U.; CTA Consortium. Science with the Cherenkov Telescope Array. Bol. Asoc. Argent. Astron. Plata Argent. 2020, 61C, 19–21. [Google Scholar]
- Inoue, S.; Granot, J.; O’Brien, P.T.; Asano, K.; Bouvier, A.; Carosi, A.; Connaughton, V.; Garczarczyk, M.; Gilmore, R.; Hinton, J.; et al. Gamma-ray burst science in the era of the Cherenkov Telescope Array. Astropart. Phys. 2013, 43, 252–275. [Google Scholar] [CrossRef]
- Abbott, B.P.; Abbott, R.; Abbott, T.D.; Abraham, S.; Acernese, F.; Ackley, K.; Adams, C.; Adya, V.B.; Affeldt, C.; Agathos, M.; et al. Prospects for observing and localizing gravitational-wave transients with Advanced LIGO, Advanced Virgo and KAGRA. Living Rev. Relativ. 2020, 23, 3. [Google Scholar] [CrossRef]
- Maggiore, M.; Van Den Broeck, C.; Bartolo, N.; Belgacem, E.; Bertacca, D.; Bizouard, M.A.; Branchesi, M.; Clesse, S.; Foffa, S.; García-Bellido, J.; et al. Science case for the Einstein telescope. J. Cosmol. Astropart. Phys. 2020, 2020, 050. [Google Scholar] [CrossRef]
- Evans, M.; Adhikari, R.X.; Afle, C.; Ballmer, S.W.; Biscoveanu, S.; Borhanian, S.; Brown, D.A.; Chen, Y.; Eisenstein, R.; Gruson, A.; et al. A Horizon Study for Cosmic Explorer: Science, Observatories, and Community. arXiv 2021, arXiv:2109.09882. [Google Scholar]
- Amaro-Seoane, P.; Audley, H.; Babak, S.; Baker, J.; Barausse, E.; Bender, P.; Berti, E.; Binetruy, P.; Born, M.; Bortoluzzi, D.; et al. Laser Interferometer Space Antenna. arXiv 2017, arXiv:1702.00786. [Google Scholar]
- Adrián-Martínez, S.; Ageron, M.; Aharonian, F.; Aiello, S.; Albert, A.; Ameli, F.; Anassontzis, E.; Andre, M.; Androulakis, G.; Anghinolfi, M.; et al. Letter of intent for KM3NeT 2.0. J. Phys. Nucl. Phys. 2016, 43, 084001. [Google Scholar] [CrossRef]
- Aartsen, M.G.; Abbasi, R.; Ackermann, M.; Adams, J.; Aguilar, J.A.; Ahlers, M.; Ahrens, M.; Alispach, C.; Allison, P.; Amin, N.M.; et al. IceCube-Gen2: The window to the extreme Universe. J. Phys. G Nucl. Phys. 2021, 48, 060501. [Google Scholar] [CrossRef]
- McEnery, J.; van der Horst, A.; Dominguez, A.; Moiseev, A.; Marcowith, A.; Harding, A.; Lien, A.; Giuliani, A.; Inglis, A.; Ansoldi, S.; et al. All-sky Medium Energy Gamma-ray Observatory: Exploring the Extreme Multimessenger Universe. Bull. Am. Astron. Soc. 2019, 51, 245. [Google Scholar]
- Grindlay, J.; Gehrels, N.; Harrison, F.; Blandford, R.; Fishman, G.; Kouveliotou, C.; Hartmann, D.H.; Woosley, S.; Craig, W.; Hong, J. Proposed Next Generation GRB Mission: EXIST. In Gamma-Ray Burst and Afterglow Astronomy 2001: A Workshop Celebrating the First Year of the HETE Mission; Ricker, G.R., Vanderspek, R.K., Eds.; American Institute of Physics Conference Series; American Institute of Physics: College Park, MA, USA, 2003; Volume 662, pp. 477–480. [Google Scholar] [CrossRef]
- Yonetoku, D.; Mihara, T.; Sawano, T.; Ikeda, H.; Harayama, A.; Takata, S.; Yoshida, K.; Seta, H.; Toyanago, A.; Kagawa, Y.; et al. High-z gamma-ray bursts for unraveling the dark ages mission HiZ-GUNDAM. In Space Telescopes and Instrumentation 2014: Ultraviolet to Gamma Ray; Takahashi, T., den Herder, J.W.A., Bautz, M., Eds.; Society of Photo-Optical Instrumentation Engineers (SPIE) Conference Series; SPIE Press: Bellingham, DC, USA, 2014; Volume 9144, pp. 840–851. [Google Scholar] [CrossRef]
- Camp, J.; Abel, J.; Barthelmy, S.; Bautz, M.; Behar, E.; Berger, E.; Spolaor, S.; Cenko, S.B.; Cornish, N.; Dal Canton, T.; et al. Transient Astrophysics Probe. In Bulletin of the American Astronomical Society; American Astronomical Society: Washington, DC, USA, 2019; Volume 51, p. 85. [Google Scholar]
- White, N.E.; Bauer, F.E.; Baumgartner, W.; Bautz, M.; Berger, E.; Cenko, B.; Chang, T.C.; Falcone, A.; Fausey, H.; Feldman, C.; et al. The Gamow Explorer: A Gamma-Ray Burst Observatory to Study the High Redshift Universe and Enable Multi-Messenger Astrophysics; Society of Photo-Optical Instrumentation Engineers (SPIE) Conference Series; SPIE Press: Bellingham, DC, USA, 2021; Volume 11821, pp. 87–100. [Google Scholar] [CrossRef]
- Toma, K.; Sakamoto, T.; Zhang, B.; Hill, J.E.; McConnell, M.L.; Bloser, P.F.; Yamazaki, R.; Ioka, K.; Nakamura, T. Statistical Properties of Gamma-Ray Burst Polarization. Astrophys. J. 2009, 698, 1042–1053. [Google Scholar] [CrossRef]
- Gill, R.; Granot, J.; Kumar, P. Linear polarization in gamma-ray burst prompt emission. Mon. Not. R. Astron. Soc. 2020, 491, 3343–3373. [Google Scholar] [CrossRef]
- in’t Zand, J.J.M.; Bozzo, E.; Qu, J.; Li, X.D.; Amati, L.; Chen, Y.; Donnarumma, I.; Doroshenko, V.; Drake, S.A.; Hernanz, M.; et al. Observatory science with eXTP. Sci. China Phys. Mech. Astron. 2019, 62, 29506. [Google Scholar] [CrossRef]
- Hulsman, J. POLAR-2: A Large Scale Gamma-Ray Polarimeter for GRBs; Society of Photo-Optical Instrumentation Engineers (SPIE) Conference Series; SPIE Press: Bellingham, DC, USA, 2020; Volume 11444, pp. 474–488. [Google Scholar] [CrossRef]






| KW | BAT | GBM | |
|---|---|---|---|
| Crystal | NaI(Tl) | CdZnTe | NaI(Tl)/BGO |
| Number of detectors | 2 | – a | 12/2 |
| Diameter (cm) | 12.7 | – | 12.7/12.7 |
| Thickness(cm) | 7.5 | – | 1.27/12.7 |
| Approx. max. eff. area (cm) | 160 | 5200 | 120/110 |
| Energy range | 20 keV–20 MeV b | 14–150 keV c | 8 keV–40 MeV |
| Approx. sensitivity (erg cm s) | |||
| FoV (sr) | 1.4 d | ||
| Operation time (yrs) | 27 | 17 | 13 |
| SGRB-to-LGRB rate | 1:5 | 1:9 | 1:5 |
| Mission | Operation Period | Instrument | Energy Range | Localization Accuracy |
|---|---|---|---|---|
| Venera 11–14 | 1979–1983 | Konus | 20 keV–2 MeV | ≳10° |
| CGRO | 1991–2000 | BATSE | 20 keV–2 MeV | ≳few deg |
| EGRET | 20 MeV–30 GeV | |||
| Wind | 1994–present | Konus-Wind | 20 keV–20 MeV | |
| BeppoSAX | 1996–2002 | GRBM | 40–700 keV | 1–3′ |
| WFC | 2–26 keV | |||
| NFIs | 0.1–300 keV | |||
| CXO | 1999–present | ACIS | 0.5–8 keV | ≲ |
| XMM-Newton | 1999–present | EPIC | 0.1–15 keV | ≲ |
| HETE-2 | 2000–2006 | FREGATE | 6–400 keV | 3–15″ |
| WXM | 2–25 keV | |||
| SXC | 0.5–10 keV | |||
| INTEGRAL | 2002–present | SPI/ACS | 20 keV–8 MeV | 10–20′ |
| IBIS | 15 keV–10 MeV | < | ||
| Swift | 2004–present | BAT | 15–150 keV | 1–3′ |
| XRT | 0.2–10 keV | 3″ | ||
| UVOT | 170–650 nm | 0.3″ | ||
| Suzaku | 2005–2015 | WAM | 50–5000 keV | 5–10° |
| AGILE | 2007–present | GRID | 30 MeV–50 GeV | 5–20′ |
| SA | 15–45 keV | 1–3′ | ||
| Fermi | 2008–present | LAT | 20 MeV–≳300 GeV | 0.2–0.5° |
| GBM | 8 keV–40 MeV | ≳few deg | ||
| MAXI | 2009–present | GSC | 2–30 keV | < |
| SSC | 0.5–10 keV | < | ||
| IKAROS | 2010–2015 | GAP | 50–300 keV | |
| NuSTAR | 2012–present | 3–79 keV | ||
| AstroSAT | 2015–present | SZTI | 10–100 keV | |
| CALET | 2015–present | CGBM | 7 keV–20 MeV | |
| Lomonosov | 2016–2019 | BDRG | 10–3000 keV | ≳few deg |
| SHOK | 330–820 nm | |||
| UBAT | 5–200 keV | |||
| SMT | 200–650 nm | 0.5″ | ||
| Polar | 2016–2017 | 50–500 keV | ||
| Insight-HXMT | 2017–present | HE | 40 keV–3 MeV | |
| ASIM | 2018–present | MXGS | 20 keV–>20 MeV | |
| GECAM | 2020–present | 6 keV–5 MeV | ≳few deg | |
| SVOM | 2023 | ECLAIRs | 4–250 keV | > |
| GRM | 15 keV–5 MeV | |||
| MXT | 0.2–10 keV | 1′ | ||
| VT | 450–1000 nm | < | ||
| Einstein Probe | 2023 | WXT | 0.5–4.0 keV | < |
| FXT | 0.5–4.0 keV | < |
Publisher’s Note: MDPI stays neutral with regard to jurisdictional claims in published maps and institutional affiliations. |
© 2022 by the authors. Licensee MDPI, Basel, Switzerland. This article is an open access article distributed under the terms and conditions of the Creative Commons Attribution (CC BY) license (https://creativecommons.org/licenses/by/4.0/).
Share and Cite
Tsvetkova, A.; Svinkin, D.; Karpov, S.; Frederiks, D. Key Space and Ground Facilities in GRB Science. Universe 2022, 8, 373. https://doi.org/10.3390/universe8070373
Tsvetkova A, Svinkin D, Karpov S, Frederiks D. Key Space and Ground Facilities in GRB Science. Universe. 2022; 8(7):373. https://doi.org/10.3390/universe8070373
Chicago/Turabian StyleTsvetkova, Anastasia, Dmitry Svinkin, Sergey Karpov, and Dmitry Frederiks. 2022. "Key Space and Ground Facilities in GRB Science" Universe 8, no. 7: 373. https://doi.org/10.3390/universe8070373
APA StyleTsvetkova, A., Svinkin, D., Karpov, S., & Frederiks, D. (2022). Key Space and Ground Facilities in GRB Science. Universe, 8(7), 373. https://doi.org/10.3390/universe8070373

