On the Non-Abelian U-Duality of 11D Backgrounds
Abstract
| Contents | ||
| 1 | Introduction............................................................................................................................................................ | 1 |
| 2 | Non-Abelian T-Duality.................................................................................................................................................... | 3 |
| 2.1 Sigma-Model Perspective.......................................................................................................................... | 3 | |
| 2.2 Double Field Theory Perspective.............................................................................................................. | 5 | |
| 2.3 Bianchi II Example.................................................................................................................................... | 8 | |
| 2.4 Partial NATD....................................................................................................................................................... | 10 | |
| 3 | Non-Abelian U-Duality in SL(5) ExFT............................................................ | 12 |
| 4 | Algebraic Perspective............................................................................................................................... | 15 |
| 4.1 T-Duality............................................................................................................................... | 15 | |
| 4.2 U-Duality and Exceptional Drinfeld Algebras......................................................................................................... | 17 | |
| 5 | Discussion.............................................................................................................................. | 20 |
| References.............................................................................................................................. | 21 | |
1. Introduction
2. Non-Abelian T-Duality
2.1. Sigma-Model Perspective
2.2. Double Field Theory Perspective
- Undress the background fields;
- Perform a B-shift , with understood as the coordinates dual to 1-forms ;
- Perform formal abelian T-dualities along all directions of the group manifold to turn into geometric coordinates.
2.3. Bianchi II Example
2.4. Partial NATD
3. Non-Abelian U-Duality in SL(5) ExFT
- 1.
- Undress the metric and the C-field , , and compose generalised metric from the undressed fields.
- 2.
- Construct a background with a C-field defined by with the shift given by , where are the would-be dual coordinates. The metric is then simply the flat metric .
- 3.
- Perform a U-duality transformation that turns into geometric coordinates and into dual 1-forms. Equivalently, embed gl(4) in a different way.
4. Algebraic Perspective
4.1. T-Duality
4.2. U-Duality and Exceptional Drinfeld Algebras
5. Discussion
Funding
Acknowledgments
Conflicts of Interest
References
- Buscher, T.H. Path Integral Derivation of Quantum Duality in Nonlinear Sigma Models. Phys. Lett. B 1988, 201, 466–472. [Google Scholar] [CrossRef]
- Buscher, T.H. A Symmetry of the String Background Field Equations. Phys. Lett. B 1987, 194, 59–62. [Google Scholar] [CrossRef]
- Fradkin, E.; Tseytlin, A.A. Quantum equivalence of dual field theories. Annals Phys. 1985, 162, 31. [Google Scholar] [CrossRef]
- Tseytlin, A.A. Duality symmetric formulation of string world sheet dynamics. Phys. Lett. B 1990, 242, 163–174. [Google Scholar] [CrossRef]
- de la Ossa, X.C.; Quevedo, F. Duality symmetries from nonAbelian isometries in string theory. Nucl. Phys. B 1993, 403, 377–394. [Google Scholar] [CrossRef]
- Sfetsos, K.; Thompson, D.C. On non-abelian T-dual geometries with Ramond fluxes. Nucl. Phys. B 2011, 846, 21–42. [Google Scholar] [CrossRef]
- Lozano, Y.; Colgain, E.O.; Sfetsos, K.; Thompson, D.C. Non-abelian T-duality, Ramond Fields and Coset Geometries. J. High Energy Phys. 2011, 06, 106. [Google Scholar] [CrossRef]
- Lozano, Y. NonAbelian duality and canonical transformations. Phys. Lett. B 1995, 355, 165–170. [Google Scholar] [CrossRef]
- Pando Zayas, L.A.; Rodgers, V.G.J.; Whiting, C.A. Supergravity solutions with AdS4 from non-Abelian T-dualities. J. High Energy Phys. 2016, 02, 061. [Google Scholar] [CrossRef][Green Version]
- Lozano, Y.; Colgáin, E.Ó.; Rodríguez-Gómez, D. Hints of 5d Fixed Point Theories from Non-Abelian T-duality. J. High Energy Phys. 2014, 5, 009. [Google Scholar] [CrossRef]
- Lozano, Y.; Macpherson, N.T. A new AdS4/CFT3 dual with extended SUSY and a spectral flow. J. High Energy Phys. 2014, 11, 115. [Google Scholar] [CrossRef]
- Macpherson, N.T.; Núñez, C.; Pando Zayas, L.A.; Rodgers, V.G.J.; Whiting, C.A. Type IIB supergravity solutions with AdS5 from Abelian and non-Abelian T dualities. J. High Energy Phys. 2015, 2, 40. [Google Scholar] [CrossRef]
- Hoare, B.; Thompson, D.C. Marginal and non-commutative deformations via non-abelian T-duality. J. High Energy Phys. 2017, 2, 59. [Google Scholar] [CrossRef]
- Klimčík, C.; Severa, P. Poisson–Lie T duality and loop groups of Drinfeld doubles. Phys. Lett. B 1996, 372, 65–71. [Google Scholar] [CrossRef]
- Klimcik, C.; Severa, P. Dual nonAbelian duality and the Drinfeld double. Phys. Lett. B 1995, 351, 455–462. [Google Scholar] [CrossRef]
- Von Unge, R. Poisson Lie T plurality. J. High Energy Phys. 2002, 7, 14. [Google Scholar] [CrossRef]
- Petr, I. From Buscher Duality to Poisson–Lie T-Plurality on Supermanifolds. AIP Conf. Proc. 2010, 1307, 119. [Google Scholar] [CrossRef]
- Sfetsos, K. Recent developments in non-Abelian T-duality in string theory. Fortsch. Phys. 2011, 59, 1149–1153. [Google Scholar] [CrossRef]
- Thompson, D.C. An Introduction to Generalised Dualities and their Applications to Holography and Integrability. In Proceedings of the Corfu Summer Institute 2018 “School and Workshops on Elementary Particle Physics and Gravity”—PoS(CORFU2018), Corfu, Greece, 31 August–28 September 2018; p. 99. [Google Scholar] [CrossRef]
- Hassler, F. Poisson–Lie T-Duality in Double Field Theory. Phys. Lett. B 2020, 807, 135455. [Google Scholar] [CrossRef]
- Alfonsi, L. Global Double Field Theory is Higher Kaluza-Klein Theory. Fortsch. Phys. 2020, 68, 2000010. [Google Scholar] [CrossRef]
- Catal-Ozer, A. Non-Abelian T-duality as a Transformation in Double Field Theory. J. High Energy Phys. 2019, 8, 115. [Google Scholar] [CrossRef]
- Demulder, S.; Hassler, F.; Thompson, D.C. An invitation to Poisson–Lie T-duality in Double Field Theory and its applications. In Proceedings of the Corfu Summer Institute 2018 “School and Workshops on Elementary Particle Physics and Gravity”—PoS(CORFU2018), Corfu, Greece, 31 August–28 September 2018; p. 113. [Google Scholar] [CrossRef]
- Hlavatý, L.; Petr, I. T-folds as Poisson–Lie plurals. Eur. Phys. J. C 2020, 80, 892. [Google Scholar] [CrossRef]
- Hong, M.; Kim, Y.; Colgáin, E.Ó. On non-Abelian T-duality for non-semisimple groups. Eur. Phys. J. 2018, C78, 1025. [Google Scholar] [CrossRef]
- Hlavatý, L.; Petr, I. Poisson–Lie plurals of Bianchi cosmologies and Generalized Supergravity Equations. J. High Energy Phys. 2020, 4, 68. [Google Scholar] [CrossRef]
- Hlavatý, L.; Petr, I. Nonabelian T-duals of the flat background. J. Phys. Conf. Ser. 2015, 597, 012043. [Google Scholar] [CrossRef]
- Eghbali, A.; Rezaei-Aghdam, A. WZW models as mutual super Poisson–Lie T-dual sigma-models. J. High Energy Phys. 2013, 7, 134. [Google Scholar] [CrossRef]
- Borsato, R.; Wulff, L. Non-abelian T-duality and Yang–Baxter deformations of Green-Schwarz strings. J. High Energy Phys. 2018, 8, 27. [Google Scholar] [CrossRef]
- Sakatani, Y. U-duality extension of Drinfel’d double. Prog. Theor. Exp. Phys. 2020, 2020, 023B08. [Google Scholar] [CrossRef]
- Malek, E.; Thompson, D.C. Poisson–Lie U-duality in Exceptional Field Theory. J. High Energy Phys. 2020, 4, 58. [Google Scholar] [CrossRef]
- Sakatani, Y.; Uehara, S. Non-Abelian U-duality for membranes. Prog. Theor. Exp. Phys. 2020, 2020, 073B01. [Google Scholar] [CrossRef]
- Blair, C.D.A.; Thompson, D.C.; Zhidkova, S. Exploring Exceptional Drinfeld Geometries. J. High Energy Phys. 2020, 9, 151. [Google Scholar] [CrossRef]
- Musaev, E.T.; Sakatani, Y. Non-Abelian U duality at work. Phys. Rev. D 2021, 104, 046015. [Google Scholar] [CrossRef]
- Sakatani, Y. Type II DFT solutions from Poisson–Lie T-duality/plurality. Prog. Theor. Exp. Phys. 2019, 2019, 073B04. [Google Scholar] [CrossRef]
- Siegel, W. Superspace duality in low-energy superstrings. Phys. Rev. 1993, D48, 2826–2837. [Google Scholar] [CrossRef]
- Siegel, W. Two vierbein formalism for string inspired axionic gravity. Phys. Rev. 1993, D47, 5453–5459. [Google Scholar] [CrossRef]
- Hohm, O.; Hull, C.; Zwiebach, B. Background independent action for double field theory. J. High Energy Phys. 2010, 1007, 16. [Google Scholar] [CrossRef]
- Hohm, O.; Hull, C.; Zwiebach, B. Generalized metric formulation of double field theory. J. High Energy Phys. 2010, 1008, 008. [Google Scholar] [CrossRef]
- Berman, D.S.; Rudolph, F.J. Branes are Waves and Monopoles. J. High Energy Phys. 2015, 5, 15. [Google Scholar] [CrossRef]
- Bakhmatov, I.; Kleinschmidt, A.; Musaev, E.T. Non-geometric branes are DFT monopoles. J. High Energy Phys. 2016, 10, 76. [Google Scholar] [CrossRef][Green Version]
- Hoare, B.; Tseytlin, A.A. Type IIB supergravity solution for the T-dual of the η-deformed AdS5× S5 superstring. J. High Energy Phys. 2015, 10, 60. [Google Scholar] [CrossRef]
- Arutyunov, G.; Frolov, S.; Hoare, B.; Roiban, R.; Tseytlin, A.A. Scale invariance of the η-deformed AdS5×S5 superstring, T-duality and modified type II equations. Nucl. Phys. B 2016, 903, 262–303. [Google Scholar] [CrossRef]
- Sakatani, Y.; Uehara, S.; Yoshida, K. Generalized gravity from modified DFT. J. High Energy Phys. 2017, 4, 123. [Google Scholar] [CrossRef]
- Berkeley, J.; Berman, D.S.; Rudolph, F.J. Strings and Branes are Waves. J. High Energy Phys. 2014, 6, 6. [Google Scholar] [CrossRef]
- Berman, D.S.; Rudolph, F.J. Strings, Branes and the Self-dual Solutions of Exceptional Field Theory. J. High Energy Phys. 2015, 5, 130. [Google Scholar] [CrossRef][Green Version]
- Geissbuhler, D.; Marques, D.; Nunez, C.; Penas, V. Exploring Double Field Theory. J. High Energy Phys. 2013, 6, 101. [Google Scholar] [CrossRef]
- Shelton, J.; Taylor, W.; Wecht, B. Nongeometric flux compactifications. J. High Energy Phys. 2005, 510, 85. [Google Scholar] [CrossRef]
- Blair, C.D.A.; Musaev, E.T. Five-brane actions in double field theory. J. High Energy Phys. 2018, 3, 111. [Google Scholar] [CrossRef]
- Bergshoeff, E.; Kleinschmidt, A.; Musaev, E.T.; Riccioni, F. The different faces of branes in Double Field Theory. J. High Energy Phys. 2019, 9, 110. [Google Scholar] [CrossRef]
- Baguet, A.; Hohm, O.; Samtleben, H. E6(6) Exceptional Field Theory: Review and Embedding of Type IIB. In Proceedings of the 14th Hellenic School and Workshops on Elementary Particle Physics and Gravity (CORFU2014), Corfu, Greece, 3–21 September 2014; p. 133. [Google Scholar]
- Musaev, E.T. Exceptional field theory: SL(5). J. High Energy Phys. 2016, 2, 012. [Google Scholar] [CrossRef]
- Hohm, O.; Samtleben, H. The many facets of exceptional field theory. PoS 2019, CORFU2018, 098. [Google Scholar] [CrossRef]
- Musaev, E.T. U-Dualities in Type II and M-Theory: A Covariant Approach. Symmetry 2019, 11, 993. [Google Scholar] [CrossRef]
- Berman, D.S.; Blair, C.D.A. The Geometry, Branes and Applications of Exceptional Field Theory. Int. J. Mod. Phys. A 2020, 35, 2030014. [Google Scholar] [CrossRef]
- Berman, D.S.; Perry, M.J. Generalized Geometry and M theory. J. High Energy Phys. 2011, 6, 074. [Google Scholar] [CrossRef]
- Berman, D.S.; Godazgar, H.; Godazgar, M.; Perry, M.J. The Local symmetries of M-theory and their formulation in generalised geometry. J. High Energy Phys. 2012, 1201, 12. [Google Scholar] [CrossRef]
- Malek, E.; Sakatani, Y.; Thompson, D.C. E6(6) exceptional Drinfel’d algebras. J. High Energy Phys. 2021, 1, 20. [Google Scholar] [CrossRef]
- Blair, C.D.A.; Malek, E. Geometry and fluxes of SL(5) exceptional field theory. J. High Energy Phys. 2015, 3, 144. [Google Scholar] [CrossRef][Green Version]
- Berman, D.S.; Musaev, E.T.; Thompson, D.C. Duality Invariant M-theory: Gauged supergravities and Scherk-Schwarz reductions. J. High Energy Phys. 2012, 1210, 174. [Google Scholar] [CrossRef]
- Snobl, L.; Hlavaty, L. Classification of six-dimensional real Drinfeld doubles. Int. J. Mod. Phys. A 2002, 17, 4043–4068. [Google Scholar] [CrossRef]
- Bakhmatov, I.; Deger, N.S.; Musaev, E.T.; Colgáin, E.Ó.; Sheikh-Jabbari, M.M. Tri-vector deformations in d = 11 supergravity. J. High Energy Phys. 2019, 8, 126. [Google Scholar] [CrossRef]
- Bakhmatov, I.; Gubarev, K.; Musaev, E.T. Non-abelian tri-vector deformations in d = 11 supergravity. J. High Energy Phys. 2020, 5, 113. [Google Scholar] [CrossRef]



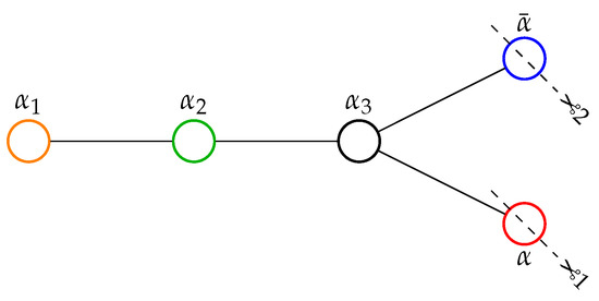
1 and
2, one obtains two embeddings of the subalgebra related by the external automorphism.
1 and
2, one obtains two embeddings of the subalgebra related by the external automorphism.

1 and
2, one obtains two embeddings of the subalgebra.
1 and
2, one obtains two embeddings of the subalgebra.

Publisher’s Note: MDPI stays neutral with regard to jurisdictional claims in published maps and institutional affiliations. |
© 2022 by the author. Licensee MDPI, Basel, Switzerland. This article is an open access article distributed under the terms and conditions of the Creative Commons Attribution (CC BY) license (https://creativecommons.org/licenses/by/4.0/).
Share and Cite
Musaev, E.T. On the Non-Abelian U-Duality of 11D Backgrounds. Universe 2022, 8, 276. https://doi.org/10.3390/universe8050276
Musaev ET. On the Non-Abelian U-Duality of 11D Backgrounds. Universe. 2022; 8(5):276. https://doi.org/10.3390/universe8050276
Chicago/Turabian StyleMusaev, Edvard T. 2022. "On the Non-Abelian U-Duality of 11D Backgrounds" Universe 8, no. 5: 276. https://doi.org/10.3390/universe8050276
APA StyleMusaev, E. T. (2022). On the Non-Abelian U-Duality of 11D Backgrounds. Universe, 8(5), 276. https://doi.org/10.3390/universe8050276

