Solar Radio Bursts Associated with In Situ Detected Energetic Electrons in Solar Cycles 23 and 24
Abstract
:1. Introduction
2. Data Analysis
3. Results
3.1. Overall Properties
3.2. Solar Cycle Dependence
3.3. Longitudinal Dependence
3.4. Electron Intensity Dependence
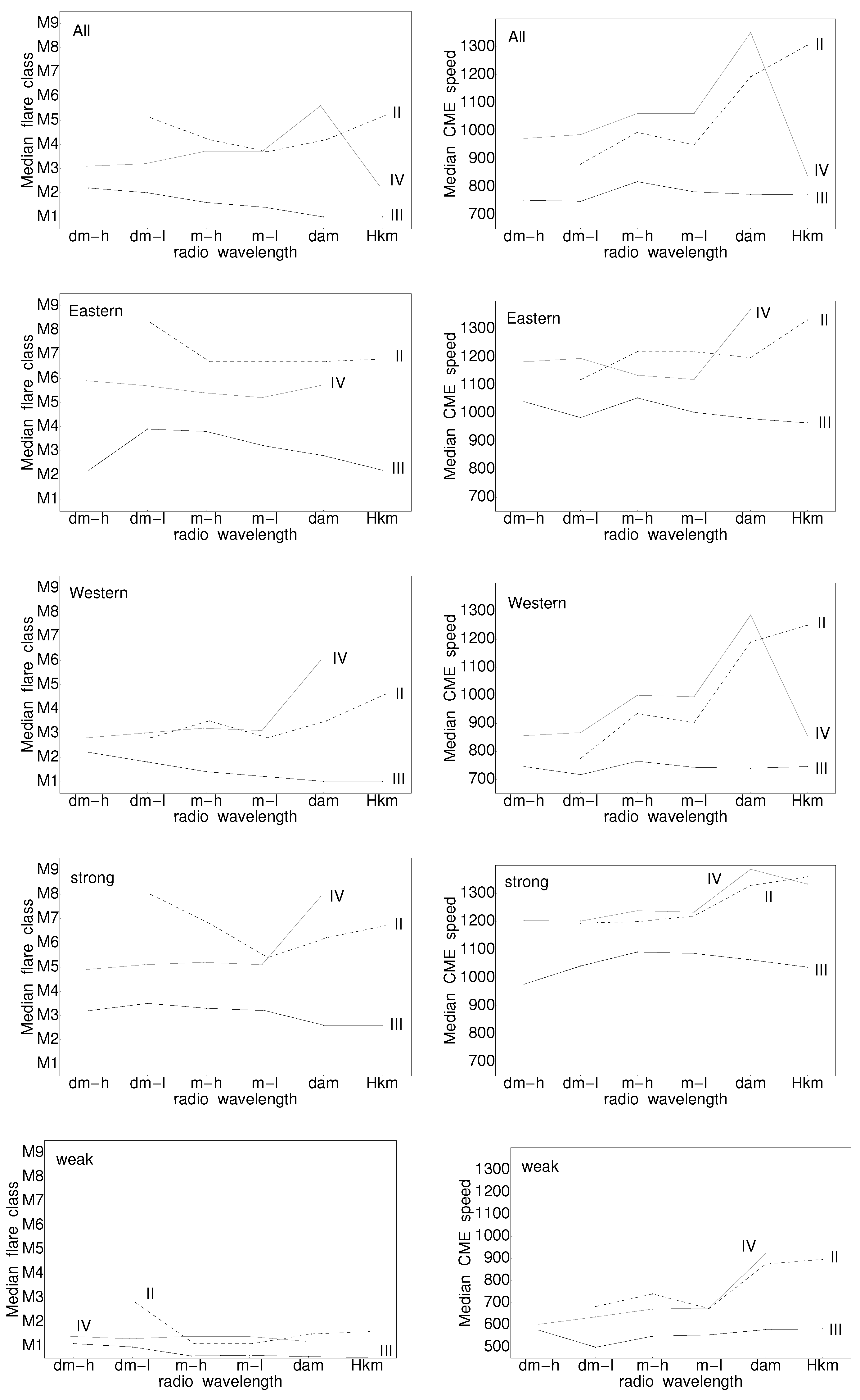
3.5. Flare and CME Trends with Radio Wavelength
3.6. On the Origin of SEE Events
- Flare-dominated acceleration: The requirement in this case is to have type III bursts from low (or middle) corona up to IP space (with obligatory presence only in the Hkm range) and no presence of type II bursts at all times. Taking into account only the latter condition leads to a sub-sample of 270 events (32%), which is the theoretical upper limit for this category. The numbers of visual type IIIs (without overlap) from low corona to IP space are: dm-h-to-Hkm −20 (the extremely strict case); dm-l-to-Hkm −25; m-h-to-Hkm −74; m-l-to-Hkm −13; dam-to-Hkm −31; and Hkm only −14 (the extremely relaxed case), which sums to 177 cases (∼21%) altogether satisfying both conditions. If we also add the reported cases (in any of the frequency ranges), the total number increases to 241 (or 29%).
- CME-dominated acceleration: The demand for neither dm-h nor dm-l IIIs together with a condition for the occurrence of type IIs in any of the sub-bands over the dm-h-to-Hkm region leads to 148 cases (18%). Note that the strict condition of type II occurrence, namely a confirmed presence in the IP space, gives only 33 events.
- Mixed contribution: Whenever the above two constructs are violated, a mixed SF and CME influence to the SEE acceleration and thus to the radio burst is plausible. For the entire events sample, 143 cases (17%) fill in this mixed-category.
- Uncertain cases and data gaps: Whenever we cannot assuredly identify a burst type in any of the above sub-ranges, we select the event to fill in here (62 or 7%). In addition, we add all data gaps for type II and III (224 or 27%). Both requirements finally amount to 286 (or 34% out of all 832) events.
4. Discussion
Supplementary Materials
Author Contributions
Funding
Institutional Review Board Statement
Informed Consent Statement
Data Availability Statement
Conflicts of Interest
Abbreviations
| AR | Active Region |
| CME | Coronal Mass Ejection |
| dam | decametric |
| dm | decimetric |
| H | hectometric |
| HXR | hard X-ray |
| II | type II solar radio burst |
| III | type III solar radio burst |
| IV | type IV solar radio burst |
| IP | Interplanetary |
| km | kilometric |
| m | metric |
| MPA | measurement position angle |
| SC | Solar Cycle |
| SEE | Solar Energetic Electron |
| SEP | Solar energetic Proton/Particle |
| SF | Solar Flare |
| SXR | soft X-ray |
| 1 | https://research.csiro.au/racs/home/gallery/a-sources/ (accessed on 1 May 2022). |
| 2 | https://www.nriag.sci.eg/ace_electron_catalog/ (accessed on 1 May 2022). |
| 3 | https://umbra.nascom.nasa.gov/goes/fits/ (accessed on 1 May 2022), https://data.nas.nasa.gov/helio/portals/solarflares/datasources.html (accessed on 1 May 2022). |
| 4 | https://cdaw.gsfc.nasa.gov/CME_list/ (accessed on 1 May 2022). |
| 5 | The Radio Solar Telescope Network (RSTN https://www.ngdc.noaa.gov/stp/space-weather/solar-data/solar-features/solar-radio/rstn-1-second/ (accessed on 1 May 2022)) at selected radio frequencies, is the only exception, for nearly complete UT coverage and long-duration solar radio observations with the similar radio instruments. |
| 6 | The decimetric (dm) and metric (m) bands are further split into high (h) and low (l) sub-ranges, whereas the Hectometric (H) and kilometric (km) are combined into one. |
| 7 | 1 DEFU = 1 electron/(cm sr sec keV). |
References
- Jansky, K.G. Radio Waves from Outside the Solar System. Nature 1933, 132, 66. [Google Scholar] [CrossRef]
- Warmuth, A.; Mann, G. The Application of Radio Diagnostics to the Study of the Solar Drivers of Space Weather. Lect. Notes Phys. 2004, 656, 49–68. [Google Scholar] [CrossRef]
- Ladreiter, H.P.; Zarka, P.; Lecacheux, A.; Macher, W.; Rucker, H.O.; Manning, R.; Gurnett, D.A.; Kurth, W.S. Analysis of electromagnetic wave direction finding performed by spaceborne antennas using singular-value decomposition techniques. Radio Sci. 1995, 30, 1699–1712. [Google Scholar] [CrossRef]
- Cecconi, B.; Bonnin, X.; Hoang, S.; Maksimovic, M.; Bale, S.D.; Bougeret, J.-L.; Goetz, K.; Lecacheux, A.; Reiner, M.J.; Rucker, H.O.; et al. STEREO/Waves Goniopolarimetry. Space Sci. Rev. 2008, 136, 549–563. [Google Scholar] [CrossRef]
- Martínez-Oliveros, J.C.; Lindsey, C.; Bale, S.D.; Krucker, S. Determination of Electromagnetic Source Direction as an Eigenvalue Problem. Sol. Phys. 2012, 279, 153–171. [Google Scholar] [CrossRef]
- Reiner, M.J.; Fainberg, J.; Kaiser, M.L.; Stone, R.G. Type III radio source located by Ulysses/Wind triangulation. J. Geophys. Res. 1998, 103, 1923–1932. [Google Scholar] [CrossRef]
- Thejappa, G.; MacDowall, R.J.; Bergamo, M. Emission Patterns of Solar Type III Radio Bursts: Stereoscopic Observations. Astrophys. J. 2012, 745, 187. [Google Scholar] [CrossRef]
- Krupar, V.; Santolik, O.; Cecconi, B.; Maksimovic, M.; Bonnin, X.; Panchenko, M.; Zaslavsky, A. Goniopolarimetric inversion using SVD: An application to type III radio bursts observed by STEREO. J. Geophys. Res. 2012, 117, A06101. [Google Scholar] [CrossRef]
- Krupar, V.; Maksimovic, M.; Santolik, O.; Cecconi, B.; Kruparova, O. Statistical Survey of Type III Radio Bursts at Long Wavelengths Observed by the Solar TErrestrial RElations Observatory (STEREO)/Waves Instruments: Goniopolarimetric Properties and Radio Source Locations. Sol. Phys. 2014, 289, 4633–4652. [Google Scholar] [CrossRef] [Green Version]
- Magdalenić, J.; Marqué, C.; Krupar, V.; Mierla, M.; Zhukov, A.N.; Rodriguez, L.; Maksimović, M.; Cecconi, B. Tracking the CME-driven Shock Wave on 2012 March 5 and Radio Triangulation of Associated Radio Emission. Astrophys. J. 2014, 791, 115. [Google Scholar] [CrossRef]
- Pick, M.; Vilmer, N. Sixty-five years of solar radioastronomy: Flares, coronal mass ejections and Sun Earth connection. AStronomy Astrophys. Rev. 2008, 16, 1–153. [Google Scholar] [CrossRef]
- Nindos, A.; Aurass, H.; Klein, K.L.; Trottet, G. Radio Emission of Flares and Coronal Mass Ejections. Invited Review. Sol. Phys. 2008, 253, 3–41. [Google Scholar] [CrossRef]
- Melrose, D.B. Coherent emission mechanisms in astrophysical plasmas. Rev. Mod. Plasma Phys. 2017, 1, 5. [Google Scholar] [CrossRef]
- Fletcher, L.; Dennis, B.R.; Hudson, H.S.; Krucker, S.; Phillips, K.; Veronig, A.; Battaglia, M.; Bone, L.; Caspi, A.; Chen, Q.; et al. An Observational Overview of Solar Flares. Space Sci. Rev. 2011, 159, 19–106. [Google Scholar] [CrossRef]
- Benz, A.O. Flare Observations. Living Rev. Sol. Phys. 2017, 14, 2. [Google Scholar] [CrossRef] [Green Version]
- Webb, D.F.; Howard, T.A. Coronal Mass Ejections: Observations. Living Rev. Sol. Phys. 2012, 9, 3. [Google Scholar] [CrossRef] [Green Version]
- Lin, R.P. Energetic solar electrons in the interplanetary medium. Sol. Phys. 1985, 100, 537–561. [Google Scholar] [CrossRef]
- Reid, H.A.S.; Ratcliffe, H. A review of solar type III radio bursts. Res. Astron. Astrophys. 2014, 14, 773. [Google Scholar] [CrossRef]
- Ratcliffe, H.; Kontar, E.P.; Reid, H.A.S. Large-scale simulations of solar type III radio bursts: Flux density, drift rate, duration, and bandwidth. Astron. Astrophys. 2014, 572, A111. [Google Scholar] [CrossRef]
- Cane, H.V.; Richardson, I.G.; von Rosenvinge, T.T. A study of solar energetic particle events of 1997-2006: Their composition and associations. J. Geophys. Res. 2010, 115, A08101. [Google Scholar] [CrossRef]
- Desai, M.; Giacalone, J. Large gradual solar energetic particle events. Living Rev. Sol. Phys. 2016, 13, 3. [Google Scholar] [CrossRef] [PubMed] [Green Version]
- Miteva, R.; Samwel, S.W.; Costa-Duarte, M.V. The Wind/EPACT Proton Event Catalog (1996–2016). Sol. Phys. 2018, 293, 27. [Google Scholar] [CrossRef] [Green Version]
- Ergun, R.E.; Larson, D.; Lin, R.P.; McFadden, J.P.; Carlson, C.W.; Anderson, K.A.; Muschietti, L.; McCarthy, M.; Parks, G.K.; Reme, H.; et al. Wind Spacecraft Observations of Solar Impulsive Electron Events Associated with Solar Type III Radio Bursts. Astrophys. J. 1998, 503, 435–445. [Google Scholar] [CrossRef]
- Krucker, S.; Larson, D.E.; Lin, R.P.; Thompson, B.J. On the Origin of Impulsive Electron Events Observed at 1 AU. Astrophys. J. 1999, 519, 864–875. [Google Scholar] [CrossRef]
- Lin, R.P. Relationship of solar flare accelerated particles to solar energetic particles (SEPs) observed in the interplanetary medium. Adv. Space Res. 2005, 35, 1857–1863. [Google Scholar] [CrossRef]
- Reid, H.A.S. A review of recent type III imaging spectroscopy. Front. Astron. Space Sci. 2020, 7, 56. [Google Scholar] [CrossRef]
- Vilmer, N.; MacKinnon, A.L.; Hurford, G.J. Properties of Energetic Ions in the Solar Atmosphere from Gamma-Ray and Neutron Observations. Space Sci. Rev. 2011, 159, 167–224. [Google Scholar] [CrossRef]
- Lysenko, A.L.; Frederiks, D.D.; Fleishman, G.D.; Aptekar, R.L.; Altyntsev, A.T.; Golenetskii, S.V.; Svinkin, D.S.; Ulanov, M.V.; Tsvetkova, A.E.; Ridnaia, A.V. X-ray and gamma-ray emission from solar flares. Phys. Uspekhi 2020, 163, 818–832. [Google Scholar] [CrossRef]
- Newkirk, G., Jr. The Solar Corona in Active Regions and the Thermal Origin of the Slowly Varying Component of Solar Radio Radiation. Astrophys. J. 1961, 133, 983. [Google Scholar] [CrossRef]
- Saito, K.; Makita, M.; Nishi, K.; Hata, S. A non-spherical axisymmetric model of the solar K corona of the minimum type. Ann. Tokyo Astron. Obs. 1970, 12, 51–173. [Google Scholar]
- Mann, G.; Jansen, F.; MacDowall, R.J.; Kaiser, M.L.; Stone, R.G. A heliospheric density model and type III radio bursts. Astron. Astrophys. 1999, 348, 614–620. [Google Scholar]
- Schwenn, R. Space Weather: The Solar Perspective. Living Rev. Sol. Phys. 2006, 3, 2. [Google Scholar] [CrossRef]
- Temmer, M. Space Weather: The Solar Perspective. Living Rev. Sol. Phys. 2021, 18, 4. [Google Scholar] [CrossRef]
- Pulkkinen, T. Space Weather: Terrestrial Perspective. Living Rev. Sol. Phys. 2007, 4, 1. [Google Scholar] [CrossRef] [Green Version]
- Wild, J.P.; Smerd, S.F.; Weiss, A.A. Solar Bursts. Astrophysics 1963, 1, 291. [Google Scholar] [CrossRef]
- Klein, K.-L. Radio astronomical tools for the study of solar energetic particles I. Correlations and diagnostics of impulsive acceleration and particle propagation. Front. Astron. Space Sci. 2021, 7, 105. [Google Scholar] [CrossRef]
- Klein, K.-L. Radio astronomical tools for the study of solar energetic particles II. Time-extended acceleration at subrelativistic and relativistic energies. Front. Astron. Space Sci. 2021, 7, 93. [Google Scholar] [CrossRef]
- Miteva, R.; Samwel, S.W.; Krupar, V. Solar energetic particles and radio burst emission. J. Space Weather. Space Clim. 2017, 7, A37. [Google Scholar] [CrossRef]
- Miteva, R.; Klein, K.-L.; Samwel, S.W.; Nindos, A.; Kouloumvakos, A.; Reid, H. Radio Signatures of Solar Energetic Particles During the 23rd Solar Cycle. Cent. Eur. Astrophys. Bull. 2013, 37, 541–553. [Google Scholar]
- Kahler, S.W. Radio burst characteristics of solar proton flares. Astrophys. J. 1982, 261, 710–719. [Google Scholar] [CrossRef]
- Cane, H.V.; Erickson, W.C.; Prestage, N.P. Solar flares, type III radio bursts, coronal mass ejections, and energetic particles. J. Geophys. Res. 2002, 107, 1315. [Google Scholar] [CrossRef] [Green Version]
- MacDowall, R.J.; Lara, A.; Manoharan, P.K.; Nitta, N.V.; Rosas, A.M.; Bougeret, J.L. Long-duration hectometric type III radio bursts and their association with solar energetic particle (SEP) events. Geophys. Res. Lett. 2003, 30, 8018. [Google Scholar] [CrossRef]
- Gopalswamy, N.; Yashiro, S.; Akiyama, S.; Mäkelä, P.; Xie, H.; Kaiser, M.L.; Howard, R.A.; Bougeret, J.L. Coronal mass ejections, type II radio bursts, and solar energetic particle events in the SOHO era. Ann. Geophys. 2008, 26, 3033–3047. [Google Scholar] [CrossRef]
- Winter, L.M.; Ledbetter, K. Type II and Type III Radio Bursts and their Correlation with Solar Energetic Proton Events. Astrophys. J. 2015, 809, 105. [Google Scholar] [CrossRef] [Green Version]
- Patel, B.D.; Joshi, B.; Cho, K.S.; Kim, R.S. DH Type II Radio Bursts During Solar Cycles 23 and 24: Frequency-Dependent Classification and Their Flare-CME Associations. Sol. Phys. 2021, 296, 142. [Google Scholar] [CrossRef]
- Heckman, G.R.; Kunches, J.M.; Allen, J.H. Prediction and evaluation of solar particle events based on precursor information. Adv. Space Res. 2020, 12, 313–320. [Google Scholar] [CrossRef]
- Núñez, M.; Paul-Pena, D. Predicting >10 MeV SEP Events from Solar Flare and Radio Burst Data. Universe 2020, 6, 161. [Google Scholar] [CrossRef]
- Kahler, S.W.; Cliver, E.W.; Ling, A.G. Validating the proton prediction system (PPS). J. Atmos. Sol.-Terr. Phys. 2007, 69, 43–49. [Google Scholar] [CrossRef]
- Laurenza, M.; Cliver, E.W.; Hewitt, J.; Storini, M.; Ling, A.G.; Balch, C.C.; Kaiser, M.L. A technique for short-term warning of solar energetic particle events based on flare location, flare size, and evidence of particle escape. Space Weather 2009, 7, S04008. [Google Scholar] [CrossRef] [Green Version]
- Zucca, P.; Núñez, M.; Klein, K. Exploring the potential of microwave diagnostics in SEP forecasting: The occurrence of SEP events. J. Space Weather Space Clim. 2017, 7, A13. [Google Scholar] [CrossRef]
- Samwel, S.W.; Miteva, R. Catalogue of in situ observed solar energetic electrons from ACE/EPAM instrument. Mon. Not. R. Astron. Soc. 2021, 505, 5212–5227. [Google Scholar] [CrossRef]
- Yashiro, S.; Gopalswamy, N.; Michalek, G.; St. Cyr, O.C.; Plunkett, S.P.; Rich, N.B.; Howard, R.A. A catalog of white light coronal mass ejections observed by the SOHO spacecraft. J. Geophys. Res. 2004, 109, A07105. [Google Scholar] [CrossRef]
- Miteva, R. On the solar origin of in situ observed energetic protons. Bulg. Astron. J. 2019, 31, 51. [Google Scholar]
- Miteva, R.; Samwel, S.W.; Costa-Duarte, M.V.; Malandraki, O.E. Solar cycle dependence of Wind/EPACT protons, solar flares and coronal mass ejections. Sun Geosph. 2017, 12, 11–19. [Google Scholar]
- Kouloumvakos, A.; Nindos, A.; Valtonen, E.; Alissandrakis, C.E.; Malandraki, O.; Tsitsipis, P.; Kontogeorgos, A.; Moussas, X.; Hillaris, A. Properties of solar energetic particle events inferred from their associated radio emission. Astron. Astrophys. 2015, 580, A80. [Google Scholar] [CrossRef] [Green Version]
- Haggerty, D.K.; Roelof, E.C. Impulsive Near-relativistic Solar Electron Events: Delayed Injection with Respect to Solar Electromagnetic Emission. Astrophys. J. 2002, 579, 841–853. [Google Scholar] [CrossRef]





| Archive/Radio | Frequency | Max UT | Yearly |
|---|---|---|---|
| Observatory | Coverage | Coverage | Coverage |
| Ondrejov | 0.8–5 GHz | 8–18 | 1991–now (selected) |
| http://www.asu.cas.cz/~radio/info.htm (accessed on 1 May 2022) | |||
| HiRAS | 25–2500 MHz | 18–12 | 1996–2016 |
| https://sunbase.nict.go.jp/solar/denpa/index.html (accessed on 1 May 2022) | |||
| Culgoora | 18–1800 MHz | 20–8 | 1992–now |
| https://www.sws.bom.gov.au/World_Data_Centre/1/9 (accessed on 1 May 2022) | |||
| ARTEMIS | 20–600 MHz | 5–16 | 1998–2013 (gaps) |
| http://artemis-iv.phys.uoa.gr/Artemis4_list.html (accessed on 1 May 2022) | |||
| Phoenix archive | various | various | 1978–2009 (gaps) |
| http://soleil.i4ds.ch/solarradio/data/1998-2009_quickviews/ (accessed on 1 May 2022) | |||
| Radio monitoring | various | 0–24 | 1997–now |
| http://secchirh.obspm.fr/ (accessed on 1 May 2022) | |||
| e-Callisto | various | various | 2002–now |
| http://soleil.i4ds.ch/solarradio/callistoQuicklooks/ (accessed on 1 May 2022) | |||
| Izmiran | 25–90 MHz | 6–12 | 2000–2019 |
| https://www.izmiran.ru/stp/lars/s_archiv.htm (accessed on 1 May 2022) | |||
| Learmonth | 25–180 MHz | 22–10 | 2000–now |
| https://www.sws.bom.gov.au/World_Data_Centre/1/9 (accessed on 1 May 2022) | |||
| Green Bank | 5–1100 MHz | 12–24 | 2004–2015 |
| https://www.astro.umd.edu/~white/gb/index.shtml (accessed on 1 May 2022) | |||
| Wind/WAVES | 20 kHz–14 MHz | 0–24 | 1994–now |
| https://solar-radio.gsfc.nasa.gov/wind/data_products.html (accessed on 1 May 2022) | |||
| https://solar-radio.gsfc.nasa.gov/data/wind/ (accessed on 1 May 2022) | |||
| Type | Type II | Type III | Type IV |
|---|---|---|---|
| All (832 cases) | |||
| dm-h | 0/0/20% (0/1/169) | 8/7/20% (68/60/169) | 29/5/20% (240/43/166) |
| dm-l | 0/4/16% (3/31/136) | 21/13/16% (176/105/169) | 28/7/16% (237/59/132) |
| m-h | 12/13/16% (101/97/136) | 49/11/16% (409/92/135) | 25/10/16% (209/84/135) |
| m-l | 25/11/13% (210/92/112) | 61/11/14% (508/94/112) | 23/13/14% (191/105/112) |
| dam | 28/3/1% (231/29/15) | 83/5/2% (508/94/112) | 5/3/2% (44/25/15) |
| Hkm | 23/3/1% (189/23/10) | 89/5/1% (740/39/10) | 1/1/1% (5/9/10) |
| dkm | 29/4/1% (246/31/11) | 89/4/1% (741/37/10) | 5/4/1% (44/31/11) |
| Type | Type II | Type III | Type IV |
|---|---|---|---|
| SC23 (547 cases) | |||
| dm-h | 0/0/21% (0/1/117) | 1/8/21% (48/45/117) | 33/6/21% (181/35/114) |
| dm-l | 0/5/24% (3/25/130) | 21/13/24% (115/70/129) | 31/5/23% (171/30/127) |
| m-h | 14/14/24% (77/75/129) | 50/11/24% (271/61/129) | 26/8/24% (142/48/129) |
| m-l | 27/11/19% (146/59/104) | 62/11/19% (338/60/104) | 25/12/19% (137/67/104) |
| dam | 26/2/2% (143/13/12) | 83/6/2% (453/32/11) | 7/3/2% (31/16/12) |
| Hkm | 23/3/1% (128/15/8) | 88/5/1% (483/29/8) | 1/1/1% (5/8/8) |
| dkm | 28/3/2% (156/16/9) | 88/5/1% (484/28/8) | 6/4/2% (31/21/9) |
| SC24 (285 cases) | |||
| dm-h | 0/0/18% (0/0/52) | 7/5/18% (20/15/52) | 21/3/18% (59/8/52) |
| dm-l | 0/2/2% (0/6/6) | 21/12/2% (61/35/5) | 23/10/2% (66/29/5) |
| m-h | 8/11/2% (24/32/6) | 48/11/2% (138/31/6) | 24/13/2% (67/36/6) |
| m-l | 22/12/3% (64/33/8) | 60/12/3% (170/34/8) | 19/13/3% (54/38/8) |
| dam | 31/6/1% (88/16/3) | 83/2/1% (237/6/3) | 5/3/1% (13/9/3) |
| Hkm | 21/3/1% (61/8/2) | 90/4/1% (257/9/2) | 0/0/1% (0/1/2) |
| dkm | 32/5/1% (90/15/2) | 90/3/1% (257/9/2) | 5/4/1% (13/10/2) |
| Type | Type II | Type III | Type IV |
|---|---|---|---|
| Eastern—All (184 cases) | |||
| dm-h | 0/0/20% (0/0/37) | 11/5/20% (21/9/37) | 33/4/20% (61/8/37) |
| dm-l | 0/5/12% (0/9/22) | 22/13/12% (41/24/22) | 35/9/12% (64/16/22) |
| m-h | 11/15/16% (20/28/29) | 46/13/16% (84/23/29) | 31/11/16% (57/20/29) |
| m-l | 25/10/12% (46/18/21) | 59/11/12% (108/21/21) | 27/16/12% (50/29/21) |
| dam | 33/4/1% (60/8/2) | 79/6/1% (146/11/2) | 8/4/1% (14/7/2) |
| Hkm | 27/4/2% (51/7/2) | 83/8/1% (152/14/2) | 1/2/1% (1/3/2) |
| dkm | 35/7/1% (64/12/2) | 83/8/1% (152/14/2) | 8/5/1% (14/9/2) |
| Eastern—SC23 (112 cases, normalized to All Eastern) | |||
| dm-h | 0/0/11% (0/0/21) | 8/3/11% (15/6/21) | 23/3/11% (42/6/21) |
| dm-l | 0/3/11% (0/6/21) | 13/10/11% (24/18/21) | 23/5/11% (42/9/21) |
| m-h | 8/11/15% (14/21/28) | 28/9/15% (52/16/28) | 18/7/15% (34/12/28) |
| m-l | 18/7/11% (33/13/20) | 37/7/11% (68/12/20) | 20/9/11% (36/17/20) |
| dam | 20/1/1% (36/1/1) | 48/5/1% (89/9/1) | 5/2/1% (9/4/1) |
| Hkm | 17/3/1% (32/5/1) | 49/7/1% (91/12/1) | 1/2/1% (1/3/1) |
| dkm | 21/3/1% (39/5/1) | 49/7/1% (91/12/1) | 5/3/1% (9/6/1) |
| Eastern—SC24 (72 cases, normalized to All Eastern) | |||
| dm-h | 0/0/9% (0/0/16) | 3/2/9% (6/3/16) | 10/1/9% (19/2/16) |
| dm-l | 0/2/1% (0/3/1) | 9/3/1% (17/6/1) | 12/4/1% (22/7/1) |
| m-h | 3/4/1% (6/7/1) | 17/4/1% (32/7/1) | 13/4/1% (23/8/1) |
| m-l | 7/3/1% (13/5/1) | 22/5/1% (40/9/1) | 8/7/1% (14/12/1) |
| dam | 13/4/1% (24/7/1) | 31/1/1% (57/2/1) | 3/2/1% (5/3/1) |
| Hkm | 10/1/1% (19/2/1) | 33/1/1% (61/2/1) | 0/0/1% (0/0/1) |
| dkm | 14/4/1% (25/7/1) | 33/1/1% (61/2/1) | 3/2/1% (5/3/1) |
| Western—All (623 cases) | |||
| dm-h | 0/0/20% (0/1/125) | 7/8/20% (46/50/125) | 28/5/20% (176/32/122) |
| dm-l | 0/3/17% (3/21/108) | 21/13/17% (131/79/106) | 27/7/17% (169/41/104) |
| m-h | 13/12/16% (79/77/100) | 51/11/16% (316/100/64) | 24/10/16% (149/62/100) |
| m-l | 26/11/14% (161/91/86) | 62/11/14% (387/69/86) | 22/12/14% (139/72/86) |
| dam | 27/3/2% (170/20/13) | 83/4/2% (520/26/12) | 5/3/2% (30/17/13) |
| Hkm | 22/2/1% (137/15/8) | 91/4/1% (564/24/8) | 1/1/1% (4/5/8) |
| dkm | 29/3/1% (181/18/9) | 91/4/1% (565/22/8) | 5/3/1% (30/21/9) |
| Western—SC23 (411 cases, normalized to All Western) | |||
| dm-h | 0/0/2% (0/0/14) | 5/6/14% (32/38/89) | 22/4/14% (136/26/86) |
| dm-l | 3/18/3% (0/3/17) | 14/8/16% (87/50/102) | 20/3/16% (125/19/100) |
| m-h | 10/8/15% (61/52/95) | 34/7/15% (210/42/95) | 17/5/15% (105/34/95) |
| m-l | 18/7/13% (110/43/79) | 41/7/13% (257/44/79) | 16/7/13% (99/46/79) |
| dam | 17/2/2% (106/11/11) | 55/4/2% (341/22/10) | 3/2/2% (22/11/11) |
| Hkm | 15/2/2% (95/9/7) | 59/3/1% (369/16/7) | 1/1/1% (4/4/7) |
| dkm | 19/2/1% (116/10/8) | 59/2/1% (370/15/7) | 4/2/1% (22/14/8) |
| Western—SC24 (212 cases, normalized to All Western) | |||
| dm-h | 0/0/6% (0/0/36) | 2/2/6% (14/12/36) | 6/1/6% (40/6/36) |
| dm-l | 0/0/1% (0/3/5) | 7/5/1% (44/29/4) | 7/4/1% (44/22/4) |
| m-h | 3/4/1% (18/25/5) | 17/4/1% (106/24/5) | 7/4/1% (44/28/5) |
| m-l | 8/4/1% (51/28/7) | 21/4/1% (130/25/7) | 6/4/1% (40/26/7) |
| dam | 10/1/0% (64/9/2) | 29/1/0% (195/8/1) | 1/1/0% (8/6/2) |
| Hkm | 7/1/0% (42/6/1) | 31/1/0% (195/8/1) | 0/0/0% (0/1/1) |
| dkm | 10/1/0% (65/9/1) | 31/1/0% (195/1/7) | 1/1/0% (8/7/1) |
| Type | Type II | Type III | Type IV |
|---|---|---|---|
| Strong—All (416 cases) | |||
| dm-h | 0/0/20% (0/0/82) | 6/10/20% (25/42/82) | 39/5/20% (161/19/82) |
| dm-l | 0/5/15% (1/20/64) | 22/17/15% (90/71/64) | 38/7/15% (158/29/64) |
| m-h | 15/19/14% (61/77/59) | 54/14/14% (223/57/59) | 35/13/14% (144/53/59) |
| m-l | 32/15/12% (133/62/50) | 66/11/12% (273/46/50) | 35/13/14% (140/59/50) |
| dam | 43/3/2% (160/12/6) | 84/4/2% (350/18/7) | 10/3/2% (41/14/8) |
| Hkm | 39/3/1% (160/12/6) | 89/4/1% (372/17/6) | 1/0/1% (5/2/6) |
| dkm | 35/3/1% (190/10/7) | 89/4/1% (372/16/6) | 10/4/2% (41/16/7) |
| Strong—SC23 (289 cases, normalized to All strong) | |||
| dm-h | 0/0/14% (0/0/60) | 5/8/14% (20/32/60) | 30/4/14% (123/15/60) |
| dm-l | 0/4/15% (0/15/63) | 16/11/15% (65/36/63) | 28/4/15% (115/18/63) |
| m-h | 12/14/14% (49/57/58) | 38/10/14% (156/40/58) | 23/9/14% (96/36/58) |
| m-l | 23/11/12% (94/44/48) | 45/8/12% (186/35/48) | 23/10/11% (96/42/48) |
| dam | 29/1/1% (119/5/6) | 58/4/1% (243/16/5) | 7/2/1% (31/8/6) |
| Hkm | 27/1/1% (112/5/4) | 62/3/1% (259/11/4) | 1/0/1% (5/1/4) |
| dkm | 31/1/1% (128/4/5) | 62/3/1% (259/11/4) | 7/2/1% (31/9/5) |
| Strong—SC24 (127 cases, normalized to All strong) | |||
| dm-h | 0/0/5% (0/0/22) | 1/2/5% (5/10/22) | 9/1/5% (38/4/22) |
| dm-l | 0/1/0% (0/5/1) | 6/6/0% (25/25/1) | 10/3/0% (43/11/1) |
| m-h | 3/5/0% (12/20/1) | 16/4/0% (67/17/1) | 12/4/0% (48/17/1) |
| m-l | 9/4/1% (39/18/2) | 21/3/1% (87/11/2) | 11/4/1% (44/17/2) |
| dam | 14/2/1% (60/7/2) | 26/1/1% (102/2/2) | 2/1/1% (10/6/2) |
| Hkm | 12/2/1% (48/7/2) | 27/1/1% (113/6/2) | 0/0/1% (0/1/2) |
| dkm | 15/1/1% (62/6/2) | 27/1/1% (113/5/2) | 2/2/1% (10/7/2) |
| Weak—All (416 cases) | |||
| dm-h | 0/0/21% (0/1/87) | 10/4/21% (43/18/87) | 19/6/20% (79/24/84) |
| dm-l | 0/3/17% (2/11/72) | 21/8/17% (86/34/70) | 19/7/16% (79/30/68) |
| m-h | 10/7/18% (40/30/76) | 45/8/18% (186/35/76) | 16/7/18% (65/31/76) |
| m-l | 18/7/15% (77/30/62) | 56/12/15% (235/48/62) | 12/11/15% (51/46/62) |
| dam | 12/4/2% (52/17/7) | 82/5/2% (340/20/7) | 1/3/2% (3/11/7) |
| Hkm | 7/3/1% (29/11/4) | 88/5/1% (368/22/4) | 0/2/1% (0/7/4) |
| dkm | 13/51% (56/21/4) | 89/5/1% (369/21/4) | 1/4/1% (3/15/4) |
| Weak—SC23 (258 cases, normalized to All weak) | |||
| dm-h | 0/0/14% (0/1/57) | 7/3/14% (28/13/57) | 14/5/13% (58/20/54) |
| dm-l | 1/2/16% (2/10/67) | 12/6/16% (50/24/66) | 13/3/15% (56/12/64) |
| m-h | 7/4/17% (28/18/71) | 28/5/17% (115/21/71) | 11/3/17% (46/12/71) |
| m-l | 13/4/13% (52/15/56) | 36/6/13% (152/25/56) | 10/6/13% (41/25/56) |
| dam | 6/2/1% (24/8/6) | 50/4/1% (210/16/6) | 1/2/1% (0/8/6) |
| Hkm | 4/2/1% (16/10/4) | 54/4/1% (224/18/4) | 0/2/1% (0/7/4) |
| dkm | 7/3/1% (28/12/4) | 54/4/1% (225/17/4) | 1/3/1% (0/15/4) |
| Weak—SC24 (158 cases, normalized to All weak) | |||
| dm-h | 0/0/7% (0/0/30) | 4/1/7% (15/5/30) | 5/1/7% (21/4/30) |
| dm-l | 0/0/1% (0/1/5) | 9/2/1% (36/10/4) | 6/4/1% (23/18/4) |
| m-h | 3/3/1% (12/12/5) | 17/3/1% (71/14/5) | 5/5/1% (19/19/5) |
| m-l | 6/4/1% (25/15/6) | 20/6/1% (83/23/6) | 2/5/1% (10/21/6) |
| dam | 7/2/0% (28/9/1) | 31/1/0% (130/4/1) | 1/1/0% (3/3/1) |
| Hkm | 3/0/0% (13/1/0) | 35/1/0% (144/4/0)) | 0/0/0% (0/0/0) |
| dkm | 7/2/0% (28/9/0) | 35/1/0% (144/4/0) | 1/1/0% (3/3/0) |
| Type | Type II | Type III | Type IV |
|---|---|---|---|
| All | |||
| dm-h | − (1)/− (1) | M2.2 (121)/753 (106) | M3.1 (261)/973 (247) |
| dm-l | M5.1 (32)/882 (31) | M2.0 (252)/749 (239) | M3.2 (272)/987 (261) |
| m-h | M4.2 (191)/995 (188) | M1.6 (431)/819 (439) | M3.7 (267)/1062 (268) |
| m-l | M3.7 (268)/950 (274) | M1.4 (493)/783 (524) | M3.7 (296)/1062 (266) |
| dam | M4.2 (217)/1193 (248) | M1.0 (580)/774 (624) | M5.6 (60)/1351 (64) |
| Hkm | M5.2 (178)/1306 (200) | M1.0 (599)/772 (669) | M2.3 (7)/842 (12) |
| dkm | M4.0 (277)/1151 (263) | M1.0 (598)/772 (669) | M5.0 (63)/1306 (69) |
| Eastern | |||
| dm-h | − (0)/− (0) | M2.2 (29)/1041 (23) | M5.9 (64)/1183 (58) |
| dm-l | M8.3 (9)/1119 (9) | M3.9 (59)/984 (53) | M5.7 (73)/1195 (67) |
| m-h | M6.7 (46)/1219 (40) | M3.8 (93)/1054 (93) | M5.4 (71)/1135 (70) |
| m-l | M6.7 (59)/1219 (54) | M3.2 (103)/1003 (108) | M5.2 (75)/1120 (68) |
| dam | M6.7 (57)/1198 (64) | M2.8 (118)/980 (136) | M5.7 (19)/1370 (20) |
| Hkm | M6.8 (51)/1332 (58) | M2.2 (121)/965 (144) | − (2)/− (3) |
| dkm | M6.5 (63)/1198 (76) | M2.2 (121)/965 (144) | M5.3 (20)/1366 (21) |
| Western | |||
| dm-h | − (1)/− (1) | M2.2 (90)/1041 (23) | M2.8 (191)/856 (189) |
| dm-l | M2.8 (22)/775 (22) | M1.8 (187)/717 (186) | M3.0 (193)/867 (194) |
| m-h | M3.5 (141)/935 (148) | M1.4 (326)/765 (346) | M3.2 (191)/1000 (198) |
| m-l | M2.8 (203)/902 (220) | M1.2 (373)/743 (416) | M3.1 (188)/995 (198) |
| dam | M3.5 (158)/1190 (184) | M1.0 (437)/740 (488) | M6.0 (40)/1286 (44) |
| Hkm | M4.5 (125)/1250 (148) | M1.0 (453)/746 (525) | M2.8 (4)/857 (9) |
| dkm | M3.3 (164)/1138 (193) | M1.0 (452)/746 (525) | M5.3 (42)/1216 (48) |
| strong | |||
| dm-h | − (0)/− (0) | M3.2 (63)/977 (58) | M4.9 (170)/1203 (165) |
| dm-l | M8.0 (19)/1194 (21) | M3.5 (143)/1042 (145) | M5.1 (173)/1201 (174) |
| m-h | M6.8 (131)/1199 (129) | M3.3 (246)/1092 (255) | M5.2 (181)/1238 (186) |
| m-l | M5.4 (173)/1219 (180) | M3.2 (264)/1087 (287) | M5.1 (199)/1233 (188) |
| dam | M6.2 (168)/1328 (183) | M2.6 (304)/1064 (325) | M7.9 (50)/1386 (54) |
| Hkm | M6.7 (153)/1359 (164) | M2.6 (312)/1038 (324) | M3.5 (5)/1333 (7) |
| dkm | M5.8 (174)/1307 (192) | M2.6 (311)/1038 (342) | M7.9 (51)/1376 (56) |
| weak | |||
| dm-h | − (0)/− (0) | M1.1 (58)/576 (48) | M1.4 (91)/603 (82) |
| dm-l | M2.8 (13)/683 (10) | C9.6 (109)/499 (94) | M1.3 (99)/636 (87) |
| m-h | M1.1 (60)/740 (59) | C5.9 (185)/549 (184) | M1.4 (86)/672 (82) |
| m-l | M1.1 (95)/674 (94) | C6.2 (229)/555 (237) | M1.4 (87)/676 (78) |
| dam | M1.5 (49)/875 (65) | C5.6 (276)/579 (299) | M1.2 (10)/922 (10) |
| Hkm | M1.6 (25)/896 (36) | C5.3 (287)/582 (327) | − (2)/− (5) |
| dkm | M1.5 (55)/832 (71) | C5.3 (287)/582 (327) | M1.1 (12)/827 (13) |
Publisher’s Note: MDPI stays neutral with regard to jurisdictional claims in published maps and institutional affiliations. |
© 2022 by the authors. Licensee MDPI, Basel, Switzerland. This article is an open access article distributed under the terms and conditions of the Creative Commons Attribution (CC BY) license (https://creativecommons.org/licenses/by/4.0/).
Share and Cite
Miteva, R.; Samwel, S.W.; Zabunov, S. Solar Radio Bursts Associated with In Situ Detected Energetic Electrons in Solar Cycles 23 and 24. Universe 2022, 8, 275. https://doi.org/10.3390/universe8050275
Miteva R, Samwel SW, Zabunov S. Solar Radio Bursts Associated with In Situ Detected Energetic Electrons in Solar Cycles 23 and 24. Universe. 2022; 8(5):275. https://doi.org/10.3390/universe8050275
Chicago/Turabian StyleMiteva, Rositsa, Susan W. Samwel, and Svetoslav Zabunov. 2022. "Solar Radio Bursts Associated with In Situ Detected Energetic Electrons in Solar Cycles 23 and 24" Universe 8, no. 5: 275. https://doi.org/10.3390/universe8050275
APA StyleMiteva, R., Samwel, S. W., & Zabunov, S. (2022). Solar Radio Bursts Associated with In Situ Detected Energetic Electrons in Solar Cycles 23 and 24. Universe, 8(5), 275. https://doi.org/10.3390/universe8050275

