Radiation Dosimetry Estimations in the Venusian Atmosphere during Different Periods of Solar Activity
Abstract
1. Introduction
2. Technical Analysis and Data Selection
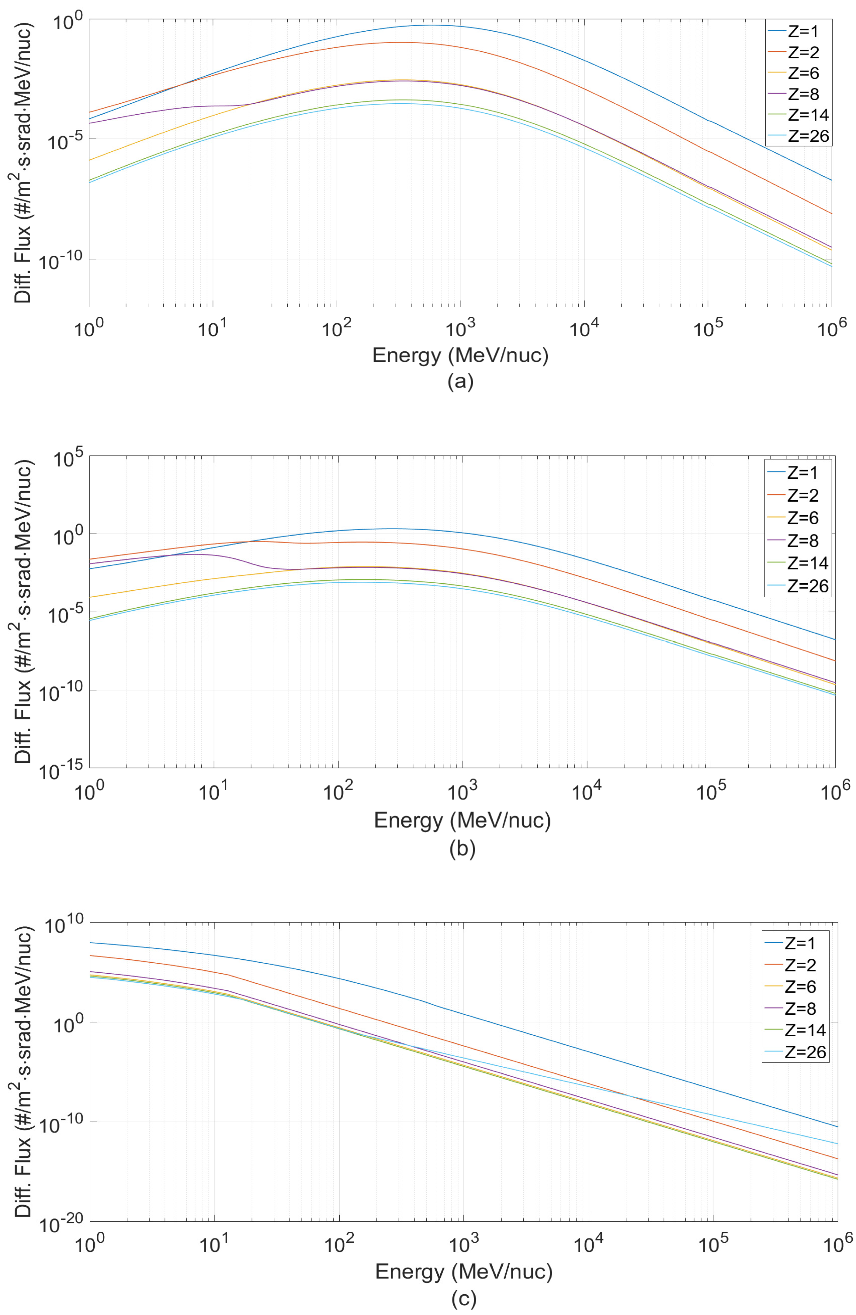
3. Results
4. Discussion and Conclusions
Author Contributions
Funding
Data Availability Statement
Acknowledgments
Conflicts of Interest
References
- Shah, D.; Rigas, E.; Rometsch, F.; Cherporniuk, H.; Kaiser, C.F.; Westhaeusser, F.; Pais De Castro, A.; Štaka, Z.; Amo-rosi, M.; Hooper, J.; et al. Fortuna: A Human and Robotic Exploration Mission to Venus. In Proceedings of the 50th International Conference on Environmental Systems ICES-2021-205, Online, 12–15 July 2021. [Google Scholar]
- Izenberg, N.R.; McNutt, R.L.; Runyon, K.D.; Byrne, P.K.; MacDonald, A. Venus Exploration in the New Human Spaceflight Age. Acta Astronaut. 2021, 180, 100–104. [Google Scholar] [CrossRef]
- Crain, T.; Bishop, R.H.; Fowler, W.; Rock, K. Radiation Exposure Comparison of Venus and Mars Flyby Trajectories. J. Spacecr. Rocket. 2001, 38, 289–291. [Google Scholar] [CrossRef]
- Baines, K.H.; Atreya, S.; Carlson, R.W.; Crisp, D.; Limaye, S.S.; Momary, T.W.; Russell, C.T.; Schubert, G.; Zahnle, K. In-situ Exploration of the Venus Atmosphere: Key to Understanding our Sister World. In Proceedings of the International Planetary Probe Workshop, Anavyssos, Greece, 27 June–1 July 2005. [Google Scholar]
- Dartnell, L.R.; Nordheim, T.A.; Patel, M.R.; Mason, J.P.; Coates, A.J.; Jones, G.H. Constraints on a potential aerial biosphere on Venus: I. Cosmic rays. Icarus 2015, 257, 396–405. [Google Scholar] [CrossRef]
- Titov, D.V.; Bullock, M.A.; Crisp, D.; Renno, N.O.; Taylor, F.W.; Zasova, L.V. Radiation in the atmosphere of Venus. Geophys. Monogr.-Am. Geophys. Union 2007, 176, 121–138. [Google Scholar] [CrossRef]
- Marov, M.; Grinspoon, D. The Planet Venus; Yale University Press: New Haven, CT, USA, 1998. [Google Scholar]
- Basilevsky, A.T.; Head, J.W. The surface of Venus. Rep. Prog. Phys. 2003, 66, 1699–1734. [Google Scholar] [CrossRef]
- Titov, D.V.; Ignatiev, N.I.; McGouldrick, K.; Wilquet, V.; Wilson, C.F. Clouds and Hazes of Venus. Space Sci. Rev. 2018, 214, 1–61. [Google Scholar] [CrossRef]
- Mogul, R.; Limaye, S.S.; Lee, Y.J.; Pasillas, M. Potential for Phototrophy in Venus’ Clouds. Astrobiology 2021, 21, 1237–1249. [Google Scholar] [CrossRef] [PubMed]
- Limaye, S.S.; Mogul, R.; Smith, D.J.; Ansari, A.H.; Słowik, G.P.; Vaishampayan, P. Venus’ Spectral Signatures and the Potential for Life in the Clouds. Astrobiology 2018, 18, 1181–1198. [Google Scholar] [CrossRef]
- Kotsyurbenko, O.R.; Cordova, J.A.; Belov, A.A.; Cheptsov, V.S.; Kölbl, D.; Khrunyk, Y.Y.; Kryuchkova, M.O.; Milojevic, T.; Mogul, R.; Sasaki, S.; et al. Exobiology of the Venusian Clouds: New Insights into Habitability through Terrestrial Models and Methods of Detection. Astrobiology 2021, 21, 1186–1205. [Google Scholar] [CrossRef]
- Limaye, S.S.; Mogul, R.; Baines, K.H.; Bullock, M.A.; Cockell, C.; Cutts, J.A.; Gentry, D.M.; Grinspoon, D.H.; Head, J.W.; Jessup, K.-L.; et al. Venus, an Astrobiology Target. Astrobiology 2021, 21, 1163–1185. [Google Scholar] [CrossRef]
- Seager, S.; Petkowski, J.J.; Gao, P.; Bains, W.; Bryan, N.C.; Ranjan, S.; Greaves, J. The Venusian Lower Atmosphere Haze as a Depot for Desiccated Microbial Life: A Proposed Life Cycle for Persistence of the Venusian Aerial Biosphere. Astrobiology 2021, 21, 1206–1223. [Google Scholar] [CrossRef] [PubMed]
- Schulze-Makuch, D. The Case (or Not) for Life in the Venusian Clouds. Life 2021, 11, 255. [Google Scholar] [CrossRef] [PubMed]
- Lingam, M.; Loeb, A. Life in the Cosmos: From Biosignatures to Technosignatures; Harvard University Press: Cambridge, MA, USA, 2021; ISBN 978-0-674-98757-9. [Google Scholar]
- Patel, M.; Mason, J.; Nordheim, T.; Dartnell, L. Constraints on a potential aerial biosphere on Venus: II. Ultraviolet radiation. Icarus 2022, 373, 114796. [Google Scholar] [CrossRef]
- Airapetian, V.; Glocer, A.; Gronoff, G.; Hébrard, E.; Danchi, W. Prebiotic chemistry and atmospheric warming of early Earth by an active young Sun. Nat. Geosci. 2016, 9, 452–455. [Google Scholar] [CrossRef]
- Miroshnichenko, L.I. Radiation Hazard in Space; Springer: Dordrecht, The Netherlands, 1970; ISBN 978-94-017-0301-7. [Google Scholar]
- European Commission. Directive 96/29/EURATOM of 13 May 1996 Laying Down Basic Safety Standards for the Protection of the Health of Workers and the General Public against the Dangers Arising from Ionizing Radiation; Publications Office: Luxembourg, 1996. [Google Scholar]
- Paschalis, P.; Mavromichalaki, H.; Dorman, L.; Plainaki, C.; Tsirigkas, D. Geant4 software application for the simulation of cosmic ray showers in the Earth’s atmosphere. New Astron. 2014, 33, 26–37. [Google Scholar] [CrossRef]
- Agostinelli, S.; Allison, J.; Amako, K.; Apostolakis, J.; Araujo, H.; Arce, P.; Asai, M.; Axen, D.; Banerjee, S.; Barrand, G.; et al. Geant4—A simulation toolkit. Nucl. Instrum. Methods Phys. Res. Sect. A Accel. Spectrom. Detect. Assoc. Equip. 2003, 506, 250–303. [Google Scholar] [CrossRef]
- Allison, J.; Amako, K.; Apostolakis, J.; Araujo, H.; Dubois, P.A.; Asai, M.; Barrand, G.; Capra, R.; Chauvie, S.; Chytracek, R.; et al. Geant4 developments and applications. IEEE Trans. Nucl. Sci. 2006, 53, 270–278. [Google Scholar] [CrossRef]
- Allison, J.; Amako, K.; Apostolakis, J.; Arce, P.; Asai, M.; Aso, T.; Bagli, E.; Bagulya, A.; Banerjee, S.; Barrand, G.; et al. Recent developments in Geant4. Nucl. Instrum. Methods Phys. Res. Sect. A Accel. Spectrom. Detect. Assoc. Equip. 2016, 835, 186–225. [Google Scholar] [CrossRef]
- Tezari, A.; Paschalis, P.; Mavromichalaki, H.; Karaiskos, P.; Crosby, N.; Dierckxsens, M. Assessing radiation exposure inside the earth’s atmosphere. Radiat. Prot. Dosim. 2020, 190, 427–436. [Google Scholar] [CrossRef]
- ESA. ESA SSA P3 SWE-III Acceptance Test Report, R.137 Dynamic Atmospheric Tracking Interactive Model Application (DYASTIMA); ESA: Paris, France, 2019. [Google Scholar]
- International Commission on Radiological Protection. Radiological protection from cosmic radiation in aviation. Ann. ICRP 2016, 45, 132. [Google Scholar]
- International Commission on Radiation Units and Measurements. Reference Data for the Validation of Doses from Cos-Mic-Radiation Exposure of Aircraft Crew; ICRU Report 84; ICRU: Bethesda, MD, USA, 2010. [Google Scholar]
- Dorman, L.I.; Paschalis, P.; Plainaki, C.; Mavromichalaki, H. Estimation of the cosmic ray ionization in the Earth’s atmosphere during GLE71. In Proceedings of the 34th International Cosmic Ray Conference, Hague, The Netherlands, 30 July–6 August 2016. [Google Scholar] [CrossRef][Green Version]
- Tezari, A.; Paschalis, P.; Stassinakis, A.; Mavromichalaki, H.; Karaiskos, P.; Gerontidou, M.; Alexandridis, D.; Kanellakopoulos, A.; Crosby, N.; Dierckxsens, M. Radiation Exposure in the Lower Atmosphere during Different Periods of Solar Activity. Atmosphere 2022, 13, 166. [Google Scholar] [CrossRef]
- Plainaki, C.; Paschalis, P.; Grassi, D.; Mavromichalaki, H.; Andriopoulou, M. Interactions of cosmic rays with the Venusian atmosphere during different solar activity conditions. Ann. Geophys. 2016, 34, 595–608. [Google Scholar] [CrossRef]
- Makrantoni, P.; Tezari, A.; Stassinakis, A.N.; Paschalis, P.; Gerontidou, M.; Karaiskos, P.; Georgakilas, A.G.; Mavromichalaki, H.; Usoskin, I.G.; Crosby, N.; et al. Estimation of Cosmic-Ray-Induced Atmospheric Ionization and Radiation at Commercial Aviation Flight Altitudes. Appl. Sci. 2022, 12, 5297. [Google Scholar] [CrossRef]
- Athens Cosmic Ray Group. DYASTIMA Software User Manual. 2019. Available online: http://cosray.phys.uoa.gr/apps/DYASTIMA/DYASTIMA_USER_MANUAL.pdf (accessed on 12 October 2022).
- Kliore, A.J.; Moroz, V.I.; Keating, G.M. The Venus International Reference Atmosphere. Adv. Space Res. 1985, 5, 1–305. [Google Scholar] [CrossRef]
- Keating, G.; Bertaux, J.; Bougher, S.; Dickinson, R.; Cravens, T.; Nagy, A.; Hedin, A.; Krasnopolsky, V.; Nicholson, J.; Paxton, L.; et al. Models of Venus neutral upper atmosphere: Structure and composition. Adv. Space Res. 1985, 5, 117–171. [Google Scholar] [CrossRef]
- Seiff, A.; Schofield, J.; Kliore, A.; Taylor, F.; Limaye, S.; Revercomb, H.; Sromovsky, L.; Kerzhanovich, V.; Moroz, V.; Marov, M. Models of the structure of the atmosphere of Venus from the surface to 100 kilometers altitude. Adv. Space Res. 1985, 5, 3–58. [Google Scholar] [CrossRef]
- Nordheim, T.; Dartnell, L.; Desorgher, L.; Coates, A.; Jones, G. Ionization of the venusian atmosphere from solar and galactic cosmic rays. Icarus 2014, 245, 80–86. [Google Scholar] [CrossRef]
- Tylka, A.; Adams, J.; Boberg, P.; Brownstein, B.; Dietrich, W.; Flueckiger, E.; Petersen, E.; Shea, M.; Smart, D.; Smith, E. CREME96: A Revision of the Cosmic Ray Effects on Micro-Electronics Code. IEEE Trans. Nucl. Sci. 1997, 44, 2150–2160. [Google Scholar] [CrossRef]
- Weller, R.A.; Mendenhall, M.H.; Reed, R.A.; Schrimpf, R.D.; Warren, K.M.; Sierawski, B.D.; Massengill, L.W. Monte Carlo Simulation of Single Event Effects. IEEE Trans. Nucl. Sci. 2010, 57, 1726–1746. [Google Scholar] [CrossRef]
- Mendenhall, M.H.; Weller, R.A. A probability-conserving cross-section biasing mechanism for variance reduction in Monte Carlo particle transport calculations. Nucl. Instrum. Methods Phys. Res. Sect. A Accel. Spectrom. Detect. Assoc. Equip. 2012, 667, 38–43. [Google Scholar] [CrossRef]
- Nymmik, R. Initial conditions for radiation analysis: Models of galactic cosmic rays and solar particle events. Adv. Space Res. 2006, 38, 1182–1190. [Google Scholar] [CrossRef]
- Fujii, Z.; McDonald, F.B. Radial intensity gradients of galactic cosmic rays (1972–1995) in the heliosphere. J. Geophys. Res. Earth Surf. 1997, 102, 24201–24208. [Google Scholar] [CrossRef]
- Youngquist, R.C.; Nurge, M.A.; Starr, S.O.; Koontz, S.L. Thick galactic cosmic radiation shielding using atmospheric data. Acta Astronaut. 2014, 94, 132–138. [Google Scholar] [CrossRef][Green Version]
- Herbst, K.; Banjac, S.; Atri, D.; Nordheim, T.A. Revisiting the cosmic-ray induced Venusian radiation dose in the context of habitability. Astron. Astrophys. 2020, 633, A15. [Google Scholar] [CrossRef]
- International Commission on Radiation Units and Measurements (ICRU). Radiation Quantities and Units; ICRU: Bethesda, MD, USA, 1980. [Google Scholar]
- International Commission on Radiological Protection (ICRP). The Recommendations of the International Commission on Radiological Protection. Ann. ICRP 2007, 37, 103. [Google Scholar]
- Landis, G.A. Colonization of Venus, Space Technology and Applications International Forum—STAIF, February 2–5 2003. AIP Conf. Proc. 2003, 654, 1193–1198. [Google Scholar]
- French, R.; Mandy, C.; Hunter, R.; Mosleh, E.; Sinclair, D.; Beck, P.; Seager, S.; Petkowski, J.J.; Carr, C.E.; Grinspoon, D.H.; et al. Rocket Lab Mission to Venus. Aerospace 2022, 9, 445. [Google Scholar] [CrossRef]




Publisher’s Note: MDPI stays neutral with regard to jurisdictional claims in published maps and institutional affiliations. |
© 2022 by the authors. Licensee MDPI, Basel, Switzerland. This article is an open access article distributed under the terms and conditions of the Creative Commons Attribution (CC BY) license (https://creativecommons.org/licenses/by/4.0/).
Share and Cite
Tezari, A.; Stassinakis, A.N.; Paschalis, P.; Mavromichalaki, H.; Plainaki, C.; Kanellakopoulos, A.; Crosby, N.; Dierckxsens, M.; Karaiskos, P. Radiation Dosimetry Estimations in the Venusian Atmosphere during Different Periods of Solar Activity. Universe 2022, 8, 637. https://doi.org/10.3390/universe8120637
Tezari A, Stassinakis AN, Paschalis P, Mavromichalaki H, Plainaki C, Kanellakopoulos A, Crosby N, Dierckxsens M, Karaiskos P. Radiation Dosimetry Estimations in the Venusian Atmosphere during Different Periods of Solar Activity. Universe. 2022; 8(12):637. https://doi.org/10.3390/universe8120637
Chicago/Turabian StyleTezari, Anastasia, Argyris N. Stassinakis, Pavlos Paschalis, Helen Mavromichalaki, Christina Plainaki, Anastasios Kanellakopoulos, Norma Crosby, Mark Dierckxsens, and Pantelis Karaiskos. 2022. "Radiation Dosimetry Estimations in the Venusian Atmosphere during Different Periods of Solar Activity" Universe 8, no. 12: 637. https://doi.org/10.3390/universe8120637
APA StyleTezari, A., Stassinakis, A. N., Paschalis, P., Mavromichalaki, H., Plainaki, C., Kanellakopoulos, A., Crosby, N., Dierckxsens, M., & Karaiskos, P. (2022). Radiation Dosimetry Estimations in the Venusian Atmosphere during Different Periods of Solar Activity. Universe, 8(12), 637. https://doi.org/10.3390/universe8120637

