Galactic Wormhole under Lovelock Gravity
Abstract
1. Introduction
2. Brief Outline of Lovelock Gravity Theory
3. Basic Equations and Their Solutions
4. Results and Discussion
4.1. Case I: Physical Features for the Shape Function
- (i)
- Throat condition: at the throat (i.e., ), the shape function should satisfy the condition , and for one should obtain .
- (ii)
- Flaring out condition: this condition dictates that .
- (iii)
- Asymptotically flatness condition: for this condition we should have as .
- (1)
- Now, the expression of the redshift function calculated from the consideration of the galactic flat rotation curves (See Figure 1) as given in Equation (12) remains finite everywhere. This clearly implies that there would be no event horizon which is an important criterion for the existence of wormholes.
- (2)
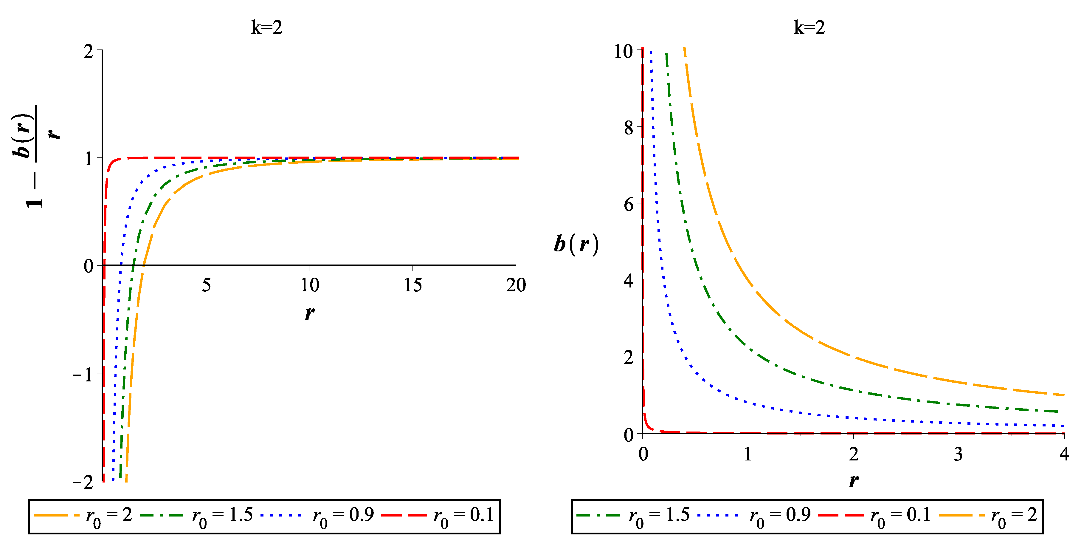
- Plot on the left panel of Figure 2 show that the present shape function satisfies the condition for . This indicates that the flare out condition of the wormhole is satisfied.
- (3)
- In terms of principal pressures the Null Energy Condition (NEC) is given by following inequations:whereas Weak Energy Condition (WEC) is given by following inequations:Thorne [4] observed that the traversable wormholes violate the Null Energy Condition (NEC) near the throat. In Figure 3, is plotted for four possible choices of and , i.e., (, ), (, ), (, ) and (, ). The plots clearly show that for kpc and n does not influence the nature of the plots. Thus, the NEC is satisfied in the galactic halo region. In Figure 4 similar plots are noted for . No violation of the NEC is noted here also. Moreover, since in the galactic halo region, the matter threading the wormhole satisfies the WEC (Figure 5). Studies investigating traversable wormhole in the galactic halo region under general theory of relativity, reported violation of the NEC near the throat indicating the existence of exotic matter [29,32,33,35,36]. In the context of Lovelock gravity; however, there are exceptions. Dehghani and Dayyani [11] reported wormhole solutions in third order Lovelock gravity satisfying the WEC. They further showed that positivity of the density and depends on the Lovelock coefficients. Mehdizadeh and Riazi [13] studied wormhole solution under Lovelock gravity supported by normal matter. There are numerous other studies concluding the existence of normal matter near the throat of the wormhole in second or third order Lovelock gravity [17,61].
- (4)
- Figure 5 shows the variation of density function with distance in the galactic halo region. The plots show very highly dense region near the centre of the galaxy and its value very quickly decreases to a small value with increasing distance. The variation is nearly inverse square in the outer region of the galactic halo. However, the density function remains positive in the galactic halo region. These features of the density profile are in accordance with the predictions by many earlier studies of the galactic halos [62,63,64,65].
4.2. Case II: Physical Features for the Shape Function
- (1)
- The throat of the wormhole may be taken to be at . The plot of against the radial coordinate r (Figure 6) clearly shows that for . Moreover, where in the plot under consideration . These results essentially point out that the flare out condition is satisfied near the throat. It has already been pointed out that there is no horizon in the spacetime.
- (2)
- The density function (vide Figure 7) again shows a inverse square fall with radial coordinate in the galactic halo region and .
- (3)
- Contrary to the previous case, in the present Case II, the Figure 8 and Figure 9 show that and near the throat indicating the existence of exotic matter that violates the NEC. The plots remains the same for . Plots are unaffected by different choices of and . The plots of remains similar in nature for irrespective of the choices of and . Thus, we note here a very interesting result that a galactic wormhole in the halo region can exist with normal matter as well as exotic matter under the framework of Lovelock gravity.
5. Concluding Remarks
- (i)
- The redshift function calculated from the consideration of the flat rotation curve of the galaxy (Figure 1) remains finite everywhere which clearly implies that there would be no event horizon and thus provide an important criterion for the existence of WH.
- (ii)
- It is interesting to note that plots on the left panel of Figure 2 (Case I) exhibit presence of the shape function which satisfies the condition for the constraint and thus indicates that the flare out condition of the WH is fulfilled. For the other form of the shape function (Case II), we observe an increasing function of the radial coordinate r (Figure 6) and hence the feature is opposite in nature to the shape function of Case I (i.e., Figure 2). If we consider the throat of the wormhole to be at then the plots of against the radial coordinate r demonstrate that for which is in confirmation of fulfilling of the flare out condition near the throat.
- (iii)
- (iv)
- Figure 3 and Figure 4 show that the NEC is satisfied in the galactic halo region which is in contradiction to the result under general relativity [29,32,33,35,36]. This may be considered as exception for Lovelock gravity [11,13,17,61]. On the other hand, Figure 8 and Figure 9 show that the NEC is violated in the galactic halo region which is in accordance with the result under general relativity [29,32,33,35,36]. Thus, we note a very important result in the present investigation that galactic wormhole in the halo region can exist with normal matter as well as exotic matter.
Author Contributions
Funding
Data Availability Statement
Acknowledgments
Conflicts of Interest
Appendix A. Cubic Spline Interpolation Method
References
- Weyl, H. Feld und Materie. Ann. Phys. 1921, 65, 541–563. [Google Scholar] [CrossRef]
- Einstein, A.; Rosen, N. Can Quantum-Mechanical Description of Physical Reality Be Considered Complete? Phys. Rev. 1935, 48, 777–780. [Google Scholar] [CrossRef]
- Misner, C.W.; Wheeler, J.A. Classical physics as geometry. Ann. Phys. 1957, 2, 525–603. [Google Scholar] [CrossRef]
- Morris, M.S.; Thorne, K.S. Wormholes in Spacetime and Their Use for Interstellar Travel: A Tool for Teaching General Relativity. Am. J. Phys. 1988, 56, 395–412. [Google Scholar] [CrossRef]
- Visser, M. Lorentzian Wormholes: From Einstein to Hawking; American Institute of Physics: New York, NY, USA, 1995. [Google Scholar]
- Lobo, F.S.N. General class of wormhole geometries in conformal Weyl gravity. Class. Quantum Gravit. 2008, 25, 175006. [Google Scholar] [CrossRef]
- Shang, Y.-W.; Xu, J.-J. Quantum Entanglement of Two Atoms Inside an Optical Cavity. Chin. Phys. Lett. 1999, 16, 985. [Google Scholar] [CrossRef]
- Bhawal, B.; Kar, S. Lorentzian wormholes in Einstein-Gauss-Bonnet theory. Phys. Rev. D 1992, 46, 2464–2468. [Google Scholar] [CrossRef]
- Bandyopadhyay, T.; Chakraborty, S. Cosmic No-Hair Conjecture in brane scenarios: Constraint on bulk matter. Class. Quantum Gravit. 2009, 26, 2461–2467. [Google Scholar] [CrossRef]
- Lobo, F.S.N.; Oliveira, M.A. Wormhole geometries in f(R) modified theories of gravity. Phys. Rev. D 2009, 80, 104012. [Google Scholar] [CrossRef]
- Dehghani, M.H.; Dayyani, Z. Lorentzian wormholes in Lovelock gravity. Phys. Rev. D 2009, 79, 064010. [Google Scholar] [CrossRef]
- Böhmer, C.G.; Harko, T.; Lobo, F.S.N. Wormhole geometries in modified teleparallel gravity and the energy conditions. Phys. Rev. D 2012, 85, 044033. [Google Scholar] [CrossRef]
- Mehdizadeh, M.R.; Riazi, N. Cosmological wormholes in Lovelock gravity. Phys. Rev. D 2012, 85, 124022. [Google Scholar] [CrossRef]
- Harko, T.; Lobo, F.S.N.; Mak, M.K.; Sushkov, S.V. Modified-gravity wormholes without exotic matter. Phys. Rev. D 2013, 87, 067504. [Google Scholar] [CrossRef]
- Mehdizadeh, M.R.; Zangeneh, M.K.; Lobo, F.S.N. Higher-Dimensional Thin-Shell Wormholes in Third-Order Lovelock Gravity. Phys. Rev. D 2015, 92, 044022. [Google Scholar] [CrossRef]
- Zangeneh, M.K.; Lobo, F.S.N.; Dehghani, M.H. Traversable wormholes satisfying the weak energy condition in third-order Lovelock gravity. Phys. Rev. D 2015, 92, 124049. [Google Scholar] [CrossRef]
- Mehdizadeh, M.R.; Lobo, F.S.N. Novel third-order Lovelock wormhole solutions. Phys. Rev. D 2016, 93, 124014. [Google Scholar] [CrossRef]
- Sharif, M.; Ikram, A. Wormholes supported by f(G) gravity. Int. J. Mod. Phys. D 2015, 24, 1550003. [Google Scholar] [CrossRef]
- Taser, D.; Dog<i>r</i>˜u, M.U. Conformal and traversable wormholes with monopole and perfect fluid in f(R)-gravity. Int. J. Mod. Phys. D 2016, 25, 1650017. [Google Scholar] [CrossRef]
- Sharif, M.; Nazir, K. Study of galactic halo F(T,TG) wormhole solutions. Int. J. Mod. Phys. D 2018, 27, 1750170. [Google Scholar] [CrossRef]
- Bhattacharya, S.; Halde, S.; Chakraborty, S. A non-canonical scalar field cosmological model: Stability and bifurcation analysis. Mod. Phys. Lett. A 2019, 34, 1950200. [Google Scholar] [CrossRef]
- Mishra, A.K.; Sharma, U.K.; Dubey, V.C.; Pradhan, A. Traversable wormholes in f(R,T) gravity. Astrophys. Space Sci. 2022, 365, 1. [Google Scholar] [CrossRef]
- Banerjee, A.; Pradhan, A.; Tangphati, T.; Rahaman, F. Wormhole geometries in f(Q) gravity and the energy conditions. Eur. Phys. J. C 2021, 81, 1031. [Google Scholar] [CrossRef]
- Chawla, C.; Dixit, A.; Pradhan, A. Modeling of traversable wormholes in exponential f(R,T) gravity. Can. J. Phys. 2021, 99, 634. [Google Scholar] [CrossRef]
- Godani, N.; Singh, D.V.; Samanta, G.C. Stability of thin-shell wormhole in 4D Einstein-Gauss-Bonnet gravity. Phys. Dark Univ. 2022, 35, 100952. [Google Scholar] [CrossRef]
- Mustafa, G.; Maurya, S.K.; Ray, S. Wormhole solutions in the galactic halo under symmetric teleparallel gravity. Fortschritte Phys.—Prog. Phys. 2022. under review. [Google Scholar]
- Mustafa, G.; Javed, F.; Maurya, S.K.; Ray, S. Thinshell around Wormhole Geometry. Astrophys. J. 2022. under review. [Google Scholar]
- Mustafa, G.; Maurya, S.K.; Ray, S. Relativistic wormhole surrounded by dark matter halos in symmetric teleparallel gravity. Fortschritte Phys.—Prog. Phys. 2022. under revision. [Google Scholar]
- Rahaman, F.; Kuhfittig, P.K.F.; Ray, S.; Islam, N. Possible existence of wormholes in the galactic halo region. Eur. Phys. J. C 2014, 74, 2750. [Google Scholar] [CrossRef]
- Navarro, J.F.; Frenk, C.S.; White, S.D.M. The Structure of Cold Dark Matter Halos. Astrophys. J. 1996, 462, 563. [Google Scholar] [CrossRef]
- Navarro, J.F.; Frenk, C.S.; White, S.D.M. A Universal Density Profile from Hierarchical Clustering. Astrophys. J. 1997, 490, 493. [Google Scholar] [CrossRef]
- Kuhfittig, P.K.F. Gravitational lensing of wormholes in the galactic halo region. Eur. Phys. J. C 2014, 74, 2818. [Google Scholar] [CrossRef]
- Rahaman, F.; Salucci, P.; Kuhfittig, P.K.F.; Ra, S.; Rahaman, M. Possible existence of wormholes in the central regions of halos. Ann. Phys. 2014, 350, 561. [Google Scholar] [CrossRef]
- Castignani, G.; Frusciante, N.; Vernieri, D.; Salucci, P. The density profiles of dark matter halos in spiral galaxies. Nat. Sci. 2012, 4, 265. [Google Scholar] [CrossRef]
- Rahaman, F.; Shit, G.C.; Sen, B.; Ray, S. Could wormholes form in dark matter galactic halos? Astrophys. Space Sci. 2016, 361, 37. [Google Scholar] [CrossRef]
- Rahaman, F.; Sen, B.; Chakraborty, K.; Shit, G.C. Study of galactic rotation curves in wormhole spacetime. Astrophys. Space Sci. 2016, 361, 90. [Google Scholar] [CrossRef]
- Bhar, P.; Manna, T.; Rahaman, F.; Ra, S.; Khadekar, G.S. Charged perfect fluid sphere in higher-dimensional spacetime. Ind. J. Phys. 2020, 94, 1679. [Google Scholar] [CrossRef]
- Arkani-Hamed, N.; Dimopoulos, S.; Dvali, G. The hierarchy problem and new dimensions at a millimeter. Phys. Lett. B 1998, 429, 263. [Google Scholar] [CrossRef]
- Antoniadis, I.; Arkani-Hamed, N.; Dimopoulos, S. New dimensions at a millimeter to a fermi and superstrings at a TeV. Phys. Lett. B 1998, 436, 257. [Google Scholar] [CrossRef]
- Hanhart, C.; Phillips, D.R.; Reddy, S.; Savage, M.J. Extra dimensions, SN1987a, and nucleon–nucleon scattering data. Nuc. Phys. B 2001, 595, 335. [Google Scholar] [CrossRef][Green Version]
- DeBenedictis, A.; Das, A. Higher dimensional wormhole geometries with compact dimensions. Nucl. Phys. B 2003, 653, 279. [Google Scholar] [CrossRef]
- Hannestad, S.; Raffelt, G.G. New Supernova Limit on Large Extra Dimensions: Bounds on Kaluza-Klein Graviton Production. Phys. Rev. Lett. 2001, 87, 051301. [Google Scholar] [CrossRef] [PubMed]
- Hannestad, S.; Raffelt, G.G. Stringent Neutron-Star Limits on Large Extra Dimensions. Phys. Rev. Lett. 2002, 88, 071301. [Google Scholar] [CrossRef] [PubMed]
- Liddle, A.R.; Moorhouse, R.G.; Henriques, A.B. Neutron stars and extra dimensions. Class. Quantum Gravit. 1990, 7, 1009. [Google Scholar] [CrossRef]
- Barnaföldi, G.G.; Lèvai, P.; Lukács, B. New Worlds in Astroparticle Physics; World Scientific: Singapore, 2003; pp. 133–142. [Google Scholar] [CrossRef]
- Barnaföldi, G.G.; Lèvai, P.; Lukács, B. Searching Extra Dimensions in Compact Stars. Astron. Nachr. 2007, 328, 809–812. [Google Scholar] [CrossRef]
- Böhmer, C.G.; Lèvai, P.; Lukács, B. Compact stars in Kaluza–Klein World. J. Phys. Conf. Ser. 2010, 218, 012010. [Google Scholar] [CrossRef]
- Salucci, P.; Lapi, A.; Tonini, C.; Gentile, G.; Yegorova, I.; Klein, U. The universal rotation curve of spiral galaxies—II. The dark matter distribution out to the virial radius. MNRAS 2007, 378, 41. [Google Scholar] [CrossRef]
- Persic, M.; Salucci, P.; Stel, F. The universal rotation curve of spiral galaxies—I. The dark matter connection. MNRAS 1996, 281, 27. [Google Scholar] [CrossRef]
- Schwarz, J.H. Superstings; World Scientific: Singapore, 1985. [Google Scholar] [CrossRef]
- Weinberg, S. Strings and Superstrings; World Scientific: Singapore, 1986. [Google Scholar]
- Duff, M.J.; Liu, J.T.; Minasian, R. Eleven-dimensional origin of string/string duality: A one-loop test. Nucl. Phys. B 1995, 452, 261. [Google Scholar] [CrossRef]
- Polchinski, J. String Theory; Cambridge University Press: Cambridge, UK, 1998. [Google Scholar] [CrossRef]
- Hellerman, S.; Swanson, I. Dimension-changing exact solutions of string theory. J. High Energy Phys. 2007, 0709, 096. [Google Scholar] [CrossRef]
- Aharony, O.; Silverstein, E. Supercritical stability, transitions, and (pseudo)tachyons. Phys. Rev. D 2007, 75, 046003. [Google Scholar] [CrossRef]
- Emparan, R.; Reall, H.S. Black holes in higher dimensions. Liv. Rev. Relativ. 2008, 11, 6. [Google Scholar] [CrossRef] [PubMed]
- Cavaglia, M. Black hole and brane production in Tev gravity: A review. Int. J. Mod. Phys. A 2003, 18, 1843. [Google Scholar] [CrossRef]
- Kanti, P. Black holes in theories with large extra dimensions: A review. Int. J. Mod. Phys. A 2004, 19, 4899. [Google Scholar] [CrossRef]
- Aharony, O.; Gubser, S.S.; Maldacena, J.; Ooguri, H.; Oz, Y. Large N field theories, string theory and gravity. Phys. Rept. 2000, 323, 183–386. [Google Scholar] [CrossRef]
- Mishra, B.; Agrawal, A.S.; Tripathy, S.K.; Ray, S. Wormhole solutions in f(R) gravity. Int. J. Mod. Phys. D 2021, 30, 2150061. [Google Scholar] [CrossRef]
- Dotti, G.; Oliva, J.; Troncoso, R. Exact solutions for the Einstein-Gauss-Bonnet theory in five dimensions: Black holes, wormholes, and spacetime horns. Phys. Rev. D 2007, 76, 064038. [Google Scholar] [CrossRef]
- Roberts, M.S.; Rots, A.H. Comparison of Rotation Curves of Different Galaxy Types. Astron. Astrophys. 1973, 26, 483. [Google Scholar] [CrossRef]
- Ostriker, P.; Peebles, P.J.E.; Yahill, A. The Size and Mass of Galaxies, and the Mass of the Universe. ApJ 1974, 193, L1. [Google Scholar] [CrossRef]
- Rubin, V.C.; Thonnard, N.; Ford, W.K., Jr. Extended rotation curves of high-luminosity spiral galaxies. IV. Systematic dynamical properties, Sa -> Sc. ApJ 1978, 225, L107. [Google Scholar] [CrossRef]
- Rubin, V.C.; Ford, W.K., Jr. Rotation of the Andromeda Nebula from a Spectroscopic Survey of Emission Regions. ApJ 1970, 159, 379. [Google Scholar] [CrossRef]
- Carroll, S.M.; Duvvuri, V.; Trodden, M.; Turner, M.S. Is cosmic speed-up due to new gravitational physics? Phys. Rev. D 2004, 70, 043528. [Google Scholar] [CrossRef]
- Nojiri, S.; Odintsov, S.D. Unifying inflation with LambdaCDM epoch in modified f(R) gravity consistent with Solar System tests. Phys. Lett. B 2007, 657, 238. [Google Scholar] [CrossRef]
- Nojiri, S.; Odintsov, S.D. Modified f(R) gravity unifying Rm inflation with the ΛCDM epoch. Phys. Rev. D 2008, 77, 026007. [Google Scholar] [CrossRef]
- Nojiri, S.; Odintsov, S.D. Unified cosmic history in modified gravity: From F(R) theory to Lorentz non-invariant models. Phys. Supple. 2011, 190, 155. [Google Scholar] [CrossRef]
- Cognola, G.; Elizalde, E.; Nojiri, S.; Odintsov, S.D.; Sebastiani, L.; Zerbini, S. Class of viable modified f(R) gravities describing inflation and the onset of accelerated expansion. Phys. Rev. D 2008, 77, 046009. [Google Scholar] [CrossRef]
- Elizalde, E.; Nojiri, S.; Odintsov, S.D.; Sebastiani, L.; Zerbini, S. Nonsingular exponential gravity: A simple theory for early- and late-time accelerated expansion. Phys. Rev. D 2011, 83, 086006. [Google Scholar] [CrossRef]
- Deb, D.; Rahaman, F.; Ray, S.; Guha, B.K. Strange stars in f(R,T)gravity. J. Cosmol. Astropart. Phys. 2018, 03, 044. [Google Scholar] [CrossRef]
- Oldham, L.J.; Auger, M.W. Galaxy structure from multiple tracers – II. M87 from parsec to megaparsec scales. Mont. Not. R. Astron. Soc. 2016, 457, 421. [Google Scholar] [CrossRef]
- Abbott, B.P. (LIGO Scientific Collaboration and Virgo Collaboration). Observation of Gravitational Waves from a Binary Black Hole Merger. Phys. Rev. Lett. 2016, 116, 061102. [Google Scholar] [CrossRef]
- Bouman, K.L.; Johnson, M.D.; Zoran, D.; Fish, V.L.; Doeleman, S.S.; Freeman, W.T. Computational Imaging for VLBI Image Reconstruction. In Proceedings of the 2016 IEEE Conference on Computer Vision and Pattern Recognition (CVPR), Las Vegas, NV, USA, 27–30 June 2016; pp. 913–922. [Google Scholar] [CrossRef]
- Akiyama, K.; Alberdi, A.; Alef, W.; Asada, K.; Azulay, R.; Baczko, A.-K.; Ball, D.; Baloković, M.; Barrett, J.; Bintley, D.; et al. First M87 Event Horizon Telescope Results. I. The Shadow of the Supermassive Black Hole. Astrophys. J. 2019, 875, L1. [Google Scholar] [CrossRef]
- Piotrovich, M.Y.; Krasnikov, S.V.; Buliga, S.D.; Natsvlishvili, T.M. Search for wormhole candidates in active galactic nuclei: Radiation from colliding accreting flows. MNRAS 2020, 498, 3684–3686. Available online: https://academic.oup.com/mnras/article/498/3/3684/5896471 (accessed on 27 September 2022). [CrossRef]
- Mustafa, G.; Maurya, S.K.; Ray, S. On the possibility of generalized wormhole formation in the galactic halo due to dark matter using the observational data within the matter coupling gravity formalism. ApJ 2022. accepted. [Google Scholar]









| R (kpc) | (km/s) | R (kpc) | (km/s) | R (kpc) | (km/s) |
|---|---|---|---|---|---|
| 0.1 | 10.053 | 34.1 | 234.623 | 68.1 | 234.293 |
| 1.1 | 74.467 | 35.1 | 234.225 | 69.1 | 234.317 |
| 2.1 | 118.223 | 36.1 | 233.891 | 70.1 | 234.334 |
| 3.1 | 151.113 | 37.1 | 233.390 | 71.1 | 234.345 |
| 4.1 | 176.445 | 38.1 | 233.213 | 72.1 | 234.349 |
| 5.1 | 196.099 | 39.1 | 233.079 | 73.1 | 234.347 |
| 6.1 | 211.331 | 40.1 | 232.982 | 74.1 | 234.339 |
| 7.1 | 223.057 | 41.1 | 232.918 | 75.1 | 234.324 |
| 8.1 | 231.975 | 42.1 | 232.883 | 76.1 | 234.303 |
| 9.1 | 238.634 | 43.1 | 232.873 | 77.1 | 234.303 |
| 10.1 | 243.475 | 44.1 | 232.884 | 78.1 | 234.276 |
| 11.1 | 246.857 | 45.1 | 232.913 | 79.1 | 234.243 |
| 12.1 | 249.072 | 46.1 | 232.957 | 80.1 | 234.205 |
| 13.1 | 250.362 | 47.1 | 233.013 | 81.1 | 234.160 |
| 14.1 | 250.927 | 48.1 | 233.078 | 82.1 | 234.109 |
| 15.1 | 250.930 | 49.1 | 233.151 | 83.1 | 234.054 |
| 16.1 | 250.509 | 50.1 | 233.230 | 84.1 | 233.993 |
| 17.1 | 249.774 | 51.1 | 233.313 | 85.1 | 233.927 |
| 18.1 | 248.817 | 52.1 | 233.397 | 86.1 | 233.856 |
| 19.1 | 247.712 | 53.1 | 233.483 | 87.1 | 233.779 |
| 20.1 | 246.519 | 54.1 | 233.568 | 88.1 | 233.698 |
| 21.1 | 245.285 | 55.1 | 233.652 | 89.1 | 233.612 |
| 22.1 | 244.048 | 56.1 | 233.733 | 90.1 | 233.522 |
| 23.1 | 242.836 | 57.1 | 233.811 | 91.1 | 233.427 |
| 24.1 | 241.671 | 58.1 | 233.733 | 92.1 | 233.328 |
| 25.1 | 240.568 | 59.1 | 233.811 | 93.1 | 233.225 |
| 26.1 | 239.539 | 60.1 | 233.886 | 94.1 | 233.118 |
| 27.1 | 238.589 | 61.1 | 233.956 | 95.1 | 233.007 |
| 28.1 | 237.724 | 62.1 | 234.021 | 96.1 | 232.892 |
| 29.1 | 236.943 | 63.1 | 234.081 | 97.1 | 232.774 |
| 30.1 | 236.245 | 64.1 | 234.136 | 98.1 | 232.652 |
| 31.1 | 235.628 | 65.1 | 234.184 | 99.1 | 232.527 |
| 32.1 | 235.089 | 66.1 | 234.227 | 0 | 0 |
| 33.1 | 234.623 | 67.1 | 234.263 | 0 | 0 |
Publisher’s Note: MDPI stays neutral with regard to jurisdictional claims in published maps and institutional affiliations. |
© 2022 by the authors. Licensee MDPI, Basel, Switzerland. This article is an open access article distributed under the terms and conditions of the Creative Commons Attribution (CC BY) license (https://creativecommons.org/licenses/by/4.0/).
Share and Cite
Chakraborty, K.; Rahaman, F.; Ray, S.; Sen, B.; Deb, D. Galactic Wormhole under Lovelock Gravity. Universe 2022, 8, 581. https://doi.org/10.3390/universe8110581
Chakraborty K, Rahaman F, Ray S, Sen B, Deb D. Galactic Wormhole under Lovelock Gravity. Universe. 2022; 8(11):581. https://doi.org/10.3390/universe8110581
Chicago/Turabian StyleChakraborty, Koushik, Farook Rahaman, Saibal Ray, Banashree Sen, and Debabrata Deb. 2022. "Galactic Wormhole under Lovelock Gravity" Universe 8, no. 11: 581. https://doi.org/10.3390/universe8110581
APA StyleChakraborty, K., Rahaman, F., Ray, S., Sen, B., & Deb, D. (2022). Galactic Wormhole under Lovelock Gravity. Universe, 8(11), 581. https://doi.org/10.3390/universe8110581

