Greybody Factors for Schwarzschild Black Holes: Path-Ordered Exponentials and Product Integrals
Abstract
1. Introduction
2. Strategy
3. Path-Ordered-Exponentials and the Product Calculus
- If exists, then is bounded on .
- If exists, and , then exists.
- If , and both and exist, then:
- exists if and only if exists (in the sense of the Riemann integral).
- If exists, then:
4. Helton–Stuckwisch Algorithm
5. Particle Emission from a Schwarzschild Black Hole
5.1. Setup
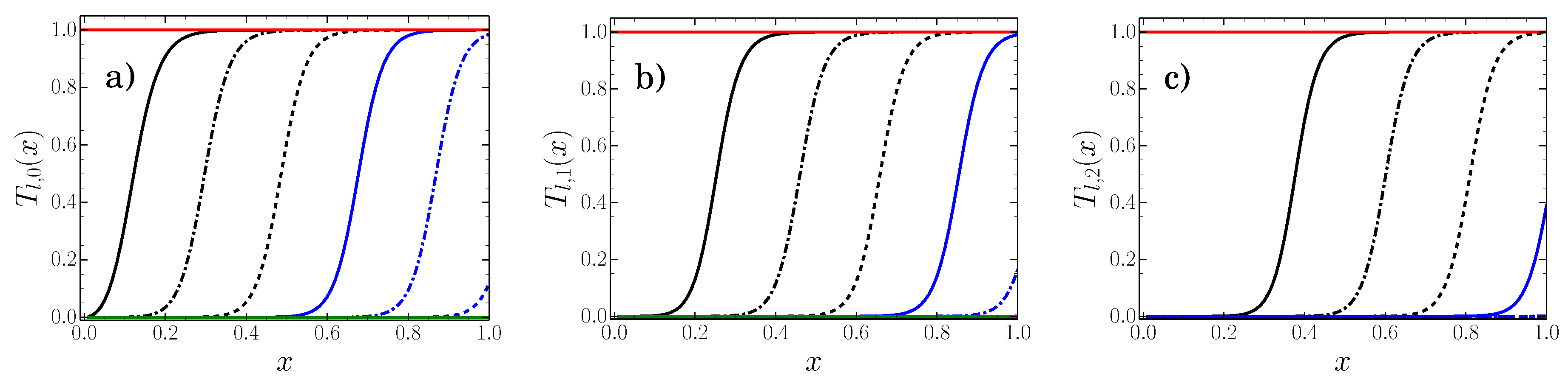
5.2. Numerics
5.3. Modeling the Greybody Factors and Cross-Section
5.3.1. Model 0
5.3.2. Model 1
5.3.3. Model 2
5.3.4. Model 3
5.4. Directly Modeling the Cross Section
6. Discussion
- Path-ordered exponentials (transfer matrices, product integrals) are an effective way of first analytically expressing the Bogoliubov coefficients associated with a scattering problem, and second, can then be turned into an efficient algorithm for numerically calculating the Bogoliubov coefficients when the underlying problem is not analytically solvable. This observation is generic, not black-hole specific.
- The path-ordered exponential formalism is the only way we know of to write down a more or less explicit formula for the Bogoliubov coefficients (and hence the transmission and reflection amplitudes) associated with a scattering problem.
- Turning specifically to the Regge–Wheeler equation for the Schwarzschild black hole, the product integral (specifically the 5th order Helton–Stuckwisch algorithm, effectively a higher-order Simpson rule for product integrals), allowed us to quickly and efficiently calculate numerical greybody factors, which we then compared to older extant data from the 1970’s and also used in our own recent work on the sparsity of the Hawking flux. Perhaps more interestingly, once one has enough easily manipulable data on hand, it becomes feasible to undertake some semi-analytic model building to explore the structural details of the greybody factors.
- The three-parameter fit we obtained to the (scalar) greybody factors seems quite good; likewise the two-parameter fit we obtained to the (scalar) cross section seems quite good.
- These ideas could easily be extended to Reissner–Nordström, Kerr, and Kerr–Newman black holes, and, via the Teukolsky master equation, to higher spins. Generic “dirty” black holes (black holes surrounded by matter fields) can also be dealt with as soon as one derives a suitably generalized Regge–Wheeler equation.
Author Contributions
Funding
Conflicts of Interest
Appendix A. Transmission and Reflection Coefficients
Appendix B. Formal Developments for the Regge–Wheeler Equation
References
- Gray, F.; Schuster, S.; Van-Brunt, A.; Visser, M. The Hawking cascade from a black hole is extremely sparse. Class. Quantum Gravity 2016, 33, 115003. [Google Scholar] [CrossRef]
- Visser, M.; Gray, F.; Schuster, S.; Van-Brunt, A. Sparsity of the Hawking flux. In Proceedings of the MG14 Meeting on General Relativity (2017), Rome, Italy, 12–18 July 2015; pp. 1724–1729. [Google Scholar]
- Page, D.N. Particle emission rates from a black hole. I: Massless particles from an uncharged, nonrotating hole. Phys. Rev. D 1976, 13, 198–206. [Google Scholar] [CrossRef]
- Page, D.N. Particle emission rates from a black hole. II: Massless particles from a rotating hole. Phys. Rev. D 1976, 14, 3260–3273. [Google Scholar] [CrossRef]
- Page, D.N. Particle emission rates from a black hole. III: Charged leptons from a nonrotating hole. Phys. Rev. D 1977, 16, 2402–2411. [Google Scholar] [CrossRef]
- Page, D.N. Accretion into and Emission from Black Holes. Ph.D. Thesis (Cal Tech 1978). Available online: http://thesis.library.caltech.edu/7179/ (accessed on 3 September 2018).
- Visser, M. Some general bounds for 1-D scattering. Phys. Rev. A 1999, 59, 427–438. [Google Scholar] [CrossRef]
- Boonserm, P.; Visser, M. Reformulating the Schrodinger equation as a Shabat–Zakharov system. J. Math. Phys. 2010, 51, 022105. [Google Scholar] [CrossRef]
- Boonserm, P.; Ngampitipan, T.; Visser, M. Regge–Wheeler equation, linear stability, and greybody factors for dirty black holes. Phys. Rev. D 2013, 88, 041502. [Google Scholar] [CrossRef]
- Helton, J.C. Product integrals and the solution of integral equations. Pac. J. Math. 1975, 58, 87–103. [Google Scholar] [CrossRef]
- Helton, J.; Stuckwisch, S. Numerical approximation of product integrals. J. Math. Anal. Appl. 1976, 56, 410–437. [Google Scholar] [CrossRef]
- Dollard, J.D.; Friedman, C.N. Product integration of measures and applications. J. Differ. Equ. 1979, 31, 418–464. [Google Scholar] [CrossRef]
- Dollard, J.; Friedman, C. Product Integration with Application to Differential Equations; Encyclopedia of Mathematics and Its Applications; Cambridge University Press: Cambridge, UK, 1984. [Google Scholar]
- Slavík, A. Product Integration, Its History and Applications; Dějiny Matematiky, Matfyzpress: Prague, Czech Republic, 2007. [Google Scholar]
- Boonserm, P.; Visser, M. Bounding the Bogoliubov coefficients. Ann. Phys. 2008, 323, 2779–2798. [Google Scholar] [CrossRef]
- Boonserm, P.; Visser, M. Transmission probabilities and the Miller-Good transformation. J. Phys. A 2009, 42, 045301. [Google Scholar] [CrossRef]
- Boonserm, P.; Visser, M. Analytic bounds on transmission probabilities. Ann. Phys. 2010, 325, 1328–1339. [Google Scholar] [CrossRef]
- Starobinsky, A.A.; Churilov, S.M. Amplification of electromagnetic and gravitational waves scattered by a rotating black hole. Sov. Phys. JETP 1974, 65, 1–5. [Google Scholar]
- Sanchez, N.G. Scattering of scalar waves from a Schwarzschild black hole. J. Math. Phys. 1976, 17, 688. [Google Scholar] [CrossRef]
- Sanchez, N.G. The Wave Scattering Theory and the Absorption Problem for a Black Hole. Phys. Rev. D 1977, 16, 937–945. [Google Scholar] [CrossRef]
- Sanchez, N.G. Elastic Scattering of Waves by a Black Hole. Phys. Rev. D 1978, 18, 1798–1804. [Google Scholar] [CrossRef]
- Boonserm, P.; Visser, M. Bounding the greybody factors for Schwarzschild black holes. Phys. Rev. D 2008, 78, 101502. [Google Scholar] [CrossRef]
- Boonserm, P.; Ngampitipan, T.; Visser, M. Bounding the greybody factors for scalar field excitations on the Kerr–Newman spacetime. J. High Energy Phys. 2014, 2014, 113. [Google Scholar] [CrossRef]
- Boonserm, P.; Chatrabhuti, A.; Ngampitipan, T.; Visser, M. Greybody factors for Myers–Perry black holes. J. Math. Phys. 2014, 55, 112502. [Google Scholar] [CrossRef]
- Regge, T.; Wheeler, J.A. Stability of a Schwarzschild singularity. Phys. Rev. 1957, 108, 1063–1069. [Google Scholar] [CrossRef]
- Hortacsu, M. Heun Functions and their uses in Physics. In Proceedings of the 13th Regional Conference on Mathematical Physics, Antalya, Turkey, 27–31 October 2010. [Google Scholar]
- Fiziev, P.P.; Staicova, D. Application of the confluent Heun functions for finding the quasinormal modes of nonrotating black holes. Phys. Rev. D 2011, 84, 127502. [Google Scholar] [CrossRef]
- Fiziev, P.P. Exact solutions of Regge–Wheeler equation. J. Phys. Conf. Ser. 2007, 66, 012016. [Google Scholar] [CrossRef]
- Sanchez, N.G. In the exact solutions of the Regge–Wheeler equation in the Schwarzschild black hole interior. arXiv, 2006; arXiv:gr-qc/0603003. [Google Scholar]
- Corless, R.M.; Gonnet, G.H.; Hare, D.E.G.; Jeffrey, D.J.; Knuth, D.E. On the Lambert W function. Adv. Comput. Math. 1996, 5, 329–359. [Google Scholar] [CrossRef]
- Valluri, S.R.; Jeffrey, D.J.; Corless, R.M. Some applications of the Lambert W function to physics. Can. J. Phys. 2000, 78, 823–831. [Google Scholar]
- Visser, M. Primes and the Lambert W function. Mathematics 2018, 6, 56. [Google Scholar] [CrossRef]
- Hawking, S.W. Particle Creation by Black Holes. Commun. Math. Phys. 1975, 43, 199–220. [Google Scholar] [CrossRef]
- Hawking, S.W. Black Holes and Thermodynamics. Phys. Rev. D 1976, 13, 191–197. [Google Scholar] [CrossRef]
- Hartle, J.B.; Hawking, S.W. Path Integral Derivation of Black Hole Radiance. Phys. Rev. D 1976, 13, 2188–2203. [Google Scholar] [CrossRef]
- Decanini, Y.; Folacci, A.; Raffaelli, B. Fine structure of high-energy absorption cross sections for black holes. Class. Quant. Grav. 2011, 28, 175021. [Google Scholar] [CrossRef]
- Décanini, Y.; Esposito-Farese, G.; Folacci, A. Universality of high-energy absorption cross sections for black holes. Phys. Rev. D 2011, 83, 044032. [Google Scholar] [CrossRef]










© 2018 by the authors. Licensee MDPI, Basel, Switzerland. This article is an open access article distributed under the terms and conditions of the Creative Commons Attribution (CC BY) license (http://creativecommons.org/licenses/by/4.0/).
Share and Cite
Gray, F.; Visser, M. Greybody Factors for Schwarzschild Black Holes: Path-Ordered Exponentials and Product Integrals. Universe 2018, 4, 93. https://doi.org/10.3390/universe4090093
Gray F, Visser M. Greybody Factors for Schwarzschild Black Holes: Path-Ordered Exponentials and Product Integrals. Universe. 2018; 4(9):93. https://doi.org/10.3390/universe4090093
Chicago/Turabian StyleGray, Finnian, and Matt Visser. 2018. "Greybody Factors for Schwarzschild Black Holes: Path-Ordered Exponentials and Product Integrals" Universe 4, no. 9: 93. https://doi.org/10.3390/universe4090093
APA StyleGray, F., & Visser, M. (2018). Greybody Factors for Schwarzschild Black Holes: Path-Ordered Exponentials and Product Integrals. Universe, 4(9), 93. https://doi.org/10.3390/universe4090093

