Abstract
The charged-particle pseudorapidity density () for p()+p, p+A and A+A(B) collisions and the mean multiplicity for e+e, , and p()+p collisions are studied for a wide range of beam energies (). Characteristic scaling patterns are observed for both and , consistent with a thermal particle production mechanism for the bulk of the soft particles created in all of these systems. The scaling patterns found also validate an essential role for quark participants in these collisions. The measured values for and are observed to factorize into contributions that depend on and the number of nucleon or quark participant pairs . The quantification of these contributions gives expressions that serve to systematize and measurements spanning nearly 4 orders of magnitude in and to predict their values as a function of and .
1. Introduction
Measurements of particle yields and kinematic distributions in electron–positron (e+e), electron–proton (), proton–proton (p()+p), proton–nucleus (p+A) and nucleus–nucleus (A+A(B)) collisions are essential for characterizing their global properties and to develop a good understanding of the mechanism(s) for particle production [1,2,3,4,5,6,7,8,9]. The p+p measurements also provide crucial reference data for studies of nuclear-medium effects in A+A(B) and p+A collisions, as well as improved constraints to differentiate between particle production models and to fine-tune event generators.
Particle production in A+A(B) collisions is frequently (but of course not always) described with thermodynamic and hydrodynamical models that utilize macroscopic variables such as the temperature and entropy as model ingredients. This contrasts with the microscopic phenomenology (involving ladders of perturbative gluons, classical random gauge fields or strings, and parton hadronization) often used to characterize the soft collisions that account for the bulk of the particles produced in e+e, , p()+p and p+A collisions [10,11,12,13,14]. The associated mechanisms, commonly classified as single-diffractive (SD) dissociation, double-diffractive (DD) dissociation and inelastic (INEL) non-diffractive (ND) scattering in p()+p collisions [1], typically do not emphasize the temperature and entropy as model elements.
Despite this predilection to use different theoretical model frameworks for p()+p, p+A and A+A(B) collisions, it is well known that similar charged-particle multiplicity () and pseudorapidity density () results are obtained in p()+p and peripheral A+A(B) and p+A collisions, as is seen, for example, in measurement results utilized further on in this paper. Moreover, an azimuthal long-range (pseudorapidity difference ) two-particle angular correlation, akin to the “ridge” that results from collective anisotropic flow in A+A collisions, has been observed in and p+Pb collisions at the Large Hadron Collider (LHC) [15,16,17,18] and in d+Au and He+Au collisions at Relativistic Heavy Ion Collider (RHIC) [19,20]. Qualitative consistency with these data has also been achieved in initial attempts to describe the amplitudes of these correlations hydrodynamically [19,20,21]. Thus, an important open question is whether equilibrium dynamics, linked to a common underlying particle production mechanism, dominates for these systems. In this work, we use a large part of the available measurements for , p+A and A+A(B) collisions, as well as the measurements for e+e, , and p()+p collisions, to search for scaling patterns that could signal such an underlying particle production mechanism.
2. Analysis
Our scaling analysis employs the macroscopic entropy (S) ansatz:
to capture the underlying physics of particle production, where T is the temperature, and R is a characteristic length related to the volume. This equation is based on the basic thermodynamic relation between the entropy density and temperature. We furthermore assume that and are both proportional to S. A further simplification, , can be used to relate the number of participant pairs to the initial volume (as is seen in measurements of Bose–Einstein correlations [22]). These pairs can be specified as colliding participant pairs (e.g., for e+e, and p()+p collisions), nucleon participant pairs () or quark participant pairs (). In heavy-ion physics, is denoted as , but this is not to be mixed with our more general notation of . For , p+A and A+A(B) collisions, Monte Carlo Glauber calculations [23,24,25,26,27,28] were performed for several collision centralities at each beam energy to obtain and . In each of these calculations, a subset () of the nucleons (quarks) became participants in each collision by undergoing an initial INEL N+N (q+q) interaction.
The N+N (q+q) cross-sections used in these calculations were obtained from the data systematics reported in [29].
Equation (1) suggests similar characteristic patterns for and as a function of centrality and collision energy for all the collision systems. We use this scaling ansatz in conjunction with the wealth of measurements spanning several orders of magnitude in to search for and study these predicted patterns.
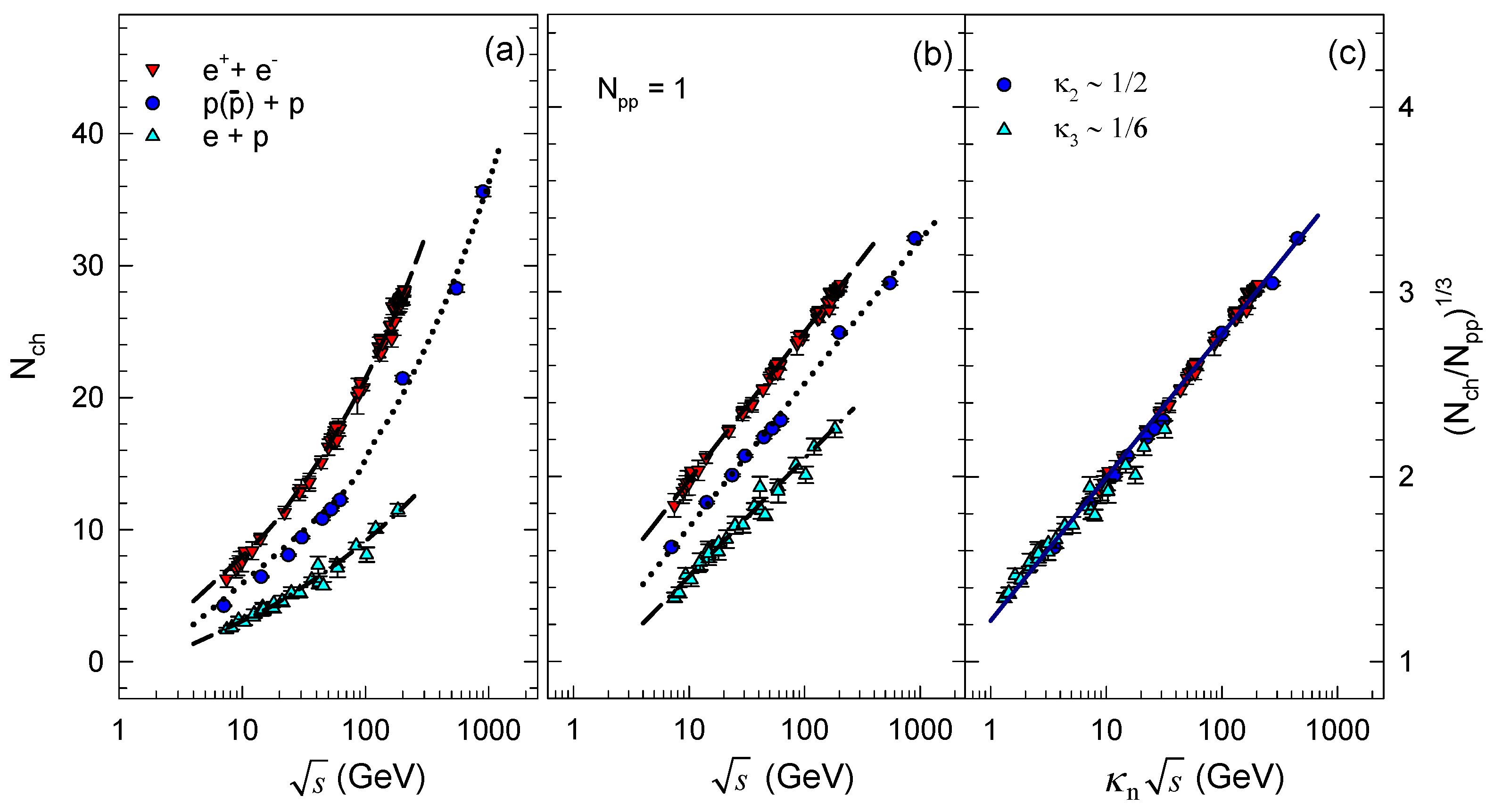
The measurements (describing multiplicities extrapolated to the full phase-space) for e+e, , and p()+p collisions are shown in Figure 1a. These indicate a nonlinear increase with , with at each value of . In contrast, Figure 1b shows a linear increase of () with , suggesting a linear increase of T with . Figure 1b also indicates comparable slopes for versus for e+e, , and p()+p collisions, albeit with different magnitudes for . This similarity is compatible with the notion of an effective energy () in p()+p and collisions, available for particle production [30,31,32,33]. The remaining energy is associated with the leading particle(s), which emerge at small angles with respect to the beam direction—the “leading particle effect” [34]. In a constituent quark picture [35], only a fraction of the available quarks in p()+p and collisions contribute to . Thus, (with ) would be expected to give similar values for [36] and hence comparable values in e+e, p()+p and collisions. Here, are scale factors that are related to the number of quark participants and hence the fraction of the available c.m energy that contributes to particle production.
Figure 1.
(a) vs. collision energy for e+e [37], p()+p [38,39,40,41,42] and [43,44,45] collisions; (b) vs. collision energy; (c) vs. for the values indicated. The curves are drawn to guide the eye.
Figure 1c validates this leading particle effect through the center of mass collision energy relation stated above. It shows that the disparate magnitudes of versus for e+e, p()+p and collisions (cf. Figure 1b) scale to a single curve for versus , where , and . A fit to the data in Figure 1c gives the expression
which can be used to predict as a function of for e+e, , and p()+p collisions.
Figure 2a and Figure 3a show measurements for INEL and non-single-diffractive (NSD) collisions, respectively, for beam energies spanning the range GeV − TeV (we note that for collisions, , we however use the latter term to be comparable to p+A and A+A(B) collisions; we note furthermore that for some of the cases, ; hence here we use the more general term). These plots indicate a monotonic increase of with , similar to that observed for in Figure 1a. Figure 2b and Figure 3b, by contrast, confirm the expected linear growth of with (where again we make use of the relation for collisions). Here the expectation for the linear trend is based on the mean transverse momentum () for the particles emitted in these collisions, increasing as . The open points and dotted curves in these figures affirm the expected trend for the dependence of . Here, the change in magnitude largely reflects the difference in the proportionality constants for and (as in and ). The fits, indicated by the dashed curves in Figure 2b and Figure 3b, give the expressions
for the mid-pseudorapidity density for INEL and NSD collisions. Here, it is noteworthy that the recent INEL measurements at TeV by the CMS [46] and ALICE [47] collaborations are in very good agreement with the scaling prediction shown in Figure 2b.
Figure 2.
(a) vs. collision energy, and (b) vs. collision energy, for p+p inelastic measurements from CMS [46], ALICE [47,48,49], UA5 [50], PHOBOS [51], ISR [40] and NAL Bubble Chamber [52]. The error bars include systematic uncertainties, when available. The curves in panel (b) represent fits to the data (see text).
Figure 3.
(a) vs. collision energy, and (b) vs. collision energy, for p+p non-single-diffractive (NSD) measurements from CMS [53], ALICE [49], CDF [54], UA1 [55] and UA5 [50]. The error bars include the available systematic uncertainties. The curves in panel (b) represent fits to the data (see text).
The scaling properties for p+A and A+A(B) collisions are summarized in Figure 4, where illustrative plots of versus and and versus are shown. Analogous plots have been obtained for other collision systems and beam energies. We note that in these cases, was used to determine the pseudorapidity density at midrapidity—unlike the case of the previous figures, where a subscript was given. Figure 4a,b shows that, irrespective of the collision system, increases as (), suggesting that T has a logarithmic (linear) dependence on the pseudorapidity density (size) at a given value of ; we note the slope increase with the beam energy, as well as the lack of sensitivity to the system type (Cu+Cu, Cu+Au, Au+Au or U+U), for a fixed value of . These results suggest that, in addition to the increase with , the mean transverse momentum or transverse mass of the emitted particles should increase as at a given value of (in line with the ansatz of our paper). These results also suggest that the pseudorapidity density factorizes into contributions that separately depend on and .
Figure 4.
(a) vs. ; (b) vs. ; (c) vs. . Results are shown for several systems and values as indicated. The data are obtained from [4,5,6,7,8,9,56]. The curves are drawn to guide the eye.
Figure 4c contrasts with Figure 4a,b. It shows that, when is used instead of , the size dependence of (but not its dependence), apparent in Figure 4b, is suppressed. We attribute the flat dependence of on the size ( or ) to the linear dependence of on (related to the initial size), as illustrated in Figure 5a for Pb+Pb and Au+Au collisions. We note that for central and mid-central p+Pb collisions, decreases with ; this results in a reduction of the energy released in these collisions, as well as large multiplicity fluctuations.
Figure 5.
(a) vs. for Au+Au and Pb+Pb collisions; (b) vs. for non-single-diffractive (NSD) and A+A(B) collisions as indicated.
The dependence of for A+A(B) and NSD collisions are compared in Figure 5b. The comparison indicates strikingly similar trends for NSD and A+A(B) collisions, as would be expected for a common underlying particle production mechanism in these collisions. We note that for TeV, higher temperatures (and larger ) are implied for the smaller collision systems. Figure 4c and Figure 5b also indicate that the centrality and -dependent values of , obtained for different collision systems, scaled as and . A fit to the A+A(B) data in Figure 5b gives the expression
which systematizes the collision energy and centrality dependencies of the pseudorapidity density in A+A(B) collisions across the full range of beam energies. Equation (5) provides a basis for robust predictions of the value of as a function of and across systems and collision energies. For example, it predicts a ∼20% increase in the values for Pb+Pb collisions (across centralities) at TeV, compared to the same measurement at TeV. This increase reflects the respective contributions linked to the increase in the value of and the small growth in the magnitudes of .
3. Summary
In summary, we have performed a systematic study of the scaling properties of measurements for , p+A and A+A(B) collisions and measurements for e+e, , and p()+p collisions, to investigate the mechanisms for particle production in these collisions. The wealth of the measurements, spanning several orders of magnitude in collision energy, indicates characteristic scaling patterns for both and , suggestive of a common underlying entropy production mechanism for these systems. The scaling patterns for validate the essential role of the leading particle effect in p()+p and collisions and the importance of quark participants in A+A(B) collisions. The patterns for the scaled values of and indicate fairly similar trends for NSD and A+A(B) collisions and show that the pseudorapidity density and for e+e, , , and A+A(B) collisions factorize into contributions that depend on and , respectively. The quantification of these scaling patterns gives expressions that serve to systematize the and measurements for e+e, , p()+p, p+A and A+A(B) collisions and to predict their magnitudes as a function of and . These scaling results have an important utility in the study of a broad array of observables that are currently being pursued at both RHIC and the LHC.
Acknowledgments
This research is supported by the US DOE under contract DE-FG02-87ER40331.A008, as well as the Hungarian NKIFH Grant Nos. FK-123842 and FK-123959. M. Csanád was supported by the ÚNKP-17-4 New National Excellence Program of the Hungarian Ministry of Human Capacities.
Author Contributions
R.A.L. conceived the analysis and wrote most of the paper. M.C. adapted the paper for proceedings publication. In other respects, authors contributed equally to the paper.
Conflicts of Interest
The authors declare no conflict of interest.
References
- Kittel, W.; De Wolf, E.A. Soft Multihadron Dynamics; World Scientific: Hackensack, NJ, USA, 2005. [Google Scholar]
- Armesto, N.; Borghini, N.; Jeon, S.; Wiedemann, U.A.; Abreu, S.; Akkelin, V.; Alam, J.; Albacete, J.L.; Andronic, A.; Antonov, D.; et al. Heavy Ion Collisions at the LHC—Last Call for Predictions. J. Phys. 2008, 35, 054001. [Google Scholar] [CrossRef]
- Grosse-Oetringhaus, J.F.; Reygers, K. Charged-Particle Multiplicity in Proton-Proton Collisions. J. Phys. 2010, 37, 083001. [Google Scholar] [CrossRef]
- Alver, B.; Back, B.B.; Baker, M.D.; Ballintijn, M.; Barton, D.S.; Betts, R.R.; Bickley, A.A.; Bindel, R.; Budzanowski, A.; Busza, W.; et al. Phobos results on charged particle multiplicity and pseudorapidity distributions in Au+Au, Cu+Cu, d+Au, and p+p collisions at ultra-relativistic energies. Phys. Rev. 2011, 83, 024913. [Google Scholar]
- Aamodt, K. Centrality dependence of the charged-particle multiplicity density at mid-rapidity in Pb-Pb collisions at = 2.76 TeV. Phys. Rev. Lett. 2011, 106, 032301. [Google Scholar] [CrossRef] [PubMed]
- Chatrchyan, S. Dependence on pseudorapidity and centrality of charged hadron production in PbPb collisions at a nucleon-nucleon centre-of-mass energy of 2.76 TeV. J. High Energy Phys. 2011, 08, 141. [Google Scholar] [CrossRef]
- Aad, G. Measurement of the centrality dependence of the charged particle pseudorapidity distribution in lead-lead collisions at = 2.76 TeV with the ATLAS detector. Phys. Lett. 2012, B710, 363–382. [Google Scholar] [CrossRef]
- Adamczyk, L. Inclusive charged hadron elliptic flow in Au + Au collisions at = 7.7–39 GeV. Phys. Rev. 2012, 86, 054908. [Google Scholar] [CrossRef]
- Adare, A.; Afanasiev, S.; Aidala, C.; Ajitanand, N.N.; Akiba, Y.; Akimoto, R.; Al-Bataineh, H.; Alexander, J.; Alfred, M.; Al-Jamel, A.; et al. Transverse energy production and charged-particle multiplicity at midrapidity in various systems from = 7.7 to 200 GeV. Phys. Rev. 2016, 93, 024901. [Google Scholar]
- Kharzeev, D.; Levin, E.; Nardi, M. Color glass condensate at the LHC: Hadron multiplicities in pp, pA and AA collisions. Nucl. Phys. 2005, 747, 609–629. [Google Scholar] [CrossRef]
- Armesto, N.; Salgado, C.A.; Wiedemann, U.A. Relating high-energy lepton-hadron, proton-nucleus and nucleus-nucleus collisions through geometric scaling. Phys. Rev. Lett. 2005, 94, 022002. [Google Scholar] [CrossRef] [PubMed]
- Albrow, M.G.; Begel, M.; Bourilkov, D.; Campanelli, M.; Chlebana, F.; De Roeck, A.; Dittmann, J.R.; Ellis, S.D.; Field, B.; Field, R.; et al. Tevatron-for-LHC Report of the QCD Working Group. arXiv, 2006; arXiv:hep-ph/0610012. [Google Scholar]
- Werner, K. The hadronic interaction model EPOS. Nucl. Phys. Proc. Suppl. 2008, 175–176, 81–87. [Google Scholar] [CrossRef]
- Dusling, K.; Venugopalan, R. Explanation of systematics of CMS p+Pb high multiplicity di-hadron data at = 5.02 TeV. Phys. Rev. 2013, D87, 054014. [Google Scholar]
- Khachatryan, V. Observation of Long-Range Near-Side Angular Correlations in Proton-Proton Collisions at the LHC. J. High Energy Phys. 2010, 1009, 091. [Google Scholar] [CrossRef]
- Abelev, B.; Adam, J.; Admove, D.; Anare, A.M.; Aggarwal, M.; Rinella, G.A.; Agnello, M.; Agocs, A.G.; Agostinelli, A.; Ahammed, Z.; et al. Long-range angular correlations on the near and away side in p-Pb collisions at = 5.02 TeV. Phys. Lett. 2013, B719, 29–41. [Google Scholar] [CrossRef]
- Aad, G.; Abajyan, T.; Abbott, B.; Abdallah, J.; Abdel Khalek, S.; Abdelalim, A.A.; Abdinov, O.; Aben, R.; Abi, B.; Abolins, M.; et al. Observation of Associated Near-Side and Away-Side Long-Range Correlations in = 5.02 TeV Proton-Lead Collisions with the ATLAS Detector. Phys. Rev. Lett. 2013, 110, 182302. [Google Scholar] [CrossRef] [PubMed]
- Chatrchyan, S.; Khachatyan, V.; Sirunyan, A.M.; Tumasyan, A. Observation of long-range near-side angular correlations in proton-lead collisions at the LHC. Phys. Lett. 2013, B718, 795–814. [Google Scholar] [CrossRef]
- Adare, A.; Aidala, C.; Ajitanand, N.N.; Zhou, S. Measurement of long-range angular correlation and quadrupole anisotropy of pions and (anti)protons in central d+Au collisions at = 200 GeV. Phys. Rev. Lett. 2015, 114, 192301. [Google Scholar] [CrossRef] [PubMed]
- Adare, A.; Afanasiev, S.; Aidala, C.; Ajitanand, N.N.; Akiba, Y.; Akimoto, R.; Al-Bataineh, H.; Alexander, J.; Alfred, M.; Al-Ta’ani, H.; et al. Measurements of elliptic and triangular flow in high-multiplicity 3He+Au collisions at = 200 GeV. Phys. Rev. Lett. 2015, 115, 142301. [Google Scholar] [CrossRef] [PubMed]
- Bozek, P. Collective flow in p-Pb and d-Pd collisions at TeV energies. Phys. Rev. 2012, C85, 014911. [Google Scholar]
- Adler, S.S.; Afanasiev, S.; Aidala, C.; Ajitanand, N.N.; Akiba, Y.; Alexander, J.; Amirikas, R.; Aphecetche, L.; Aronson, S.H.; Averbeck, R.; et al. Bose-Einstein correlations of charged pion pairs in Au + Au collisions at = 200 GeV. Phys. Rev. Lett. 2004, 93, 152302. [Google Scholar] [CrossRef]
- Miller, M.L.; Reygers, K.; Sanders, S.J.; Steinberg, P. Glauber modeling in high energy nuclear collisions. Ann. Rev. Nucl. Part. Sci. 2007, 57, 205–243. [Google Scholar] [CrossRef]
- Lacey, R.A.; Wei, R.; Ajitanand, N.N.; Taranenko, A. Initial eccentricity fluctuations and their relation to higher-order flow harmonics. Phys. Rev. 2011, C83, 044902. [Google Scholar] [CrossRef]
- Eremin, S.; Voloshin, S. Nucleon participants or quark participants? Phys. Rev. 2003, C67, 064905. [Google Scholar] [CrossRef]
- Bialas, A.; Bzdak, A. Wounded quarks and diquarks in heavy ion collisions. Phys. Lett. 2007, B649, 263–268. [Google Scholar] [CrossRef]
- Nouicer, R. Charged particle multiplicities in A+A and p+p collisions in the constituent quarks framework. Eur. Phys. J. 2007, C49, 281–286. [Google Scholar] [CrossRef]
- Adler, S.S. Transverse-energy distributions at midrapidity in p+p , d+Au , and Au+Au collisions at = 62.4–200 GeV and implications for particle-production models. Phys. Rev. 2014, C89, 044905. [Google Scholar]
- Fagundes, D.A.; Menon, M.J.; Silva, P.V.R.G. On the rise of the proton-proton cross-sections at high energies. J. Phys. 2013, G40, 065005. [Google Scholar] [CrossRef]
- Feinberg, E.L. Multiple production of hadrons at cosmic ray energies (experimental results and theoretical concepts). Phys. Rept. 1972, 5, 237–350. [Google Scholar] [CrossRef]
- Albini, E.; Capiluppi, P.; Giacomelli, G.; Rossi, A.M. Mean Charged Hadron Multiplicities in High-Energy Collisions. Nuovo Cim. 1976, A32, 101. [Google Scholar] [CrossRef]
- Basile, M. Evidence of the Same Multiparticle Production Mechanism in p-p Collisions as in e+ e− Annihilation. Phys. Lett. 1980, 92B, 367. [Google Scholar] [CrossRef]
- Basile, M. A Detailed Study of Average Charged Particle Multiplicity Versus Available Energy and Invariant Mass at Different in pp Interactions. Nuovo Cim. 1982, A67, 244. [Google Scholar] [CrossRef]
- Back, B.B. Comparison of the total charged particle multiplicity in high-energy heavy ion collisions with e+ e− and p p/anti-p p data. arXiv, 2003; arXiv:nucl-ex/0301017. [Google Scholar]
- Nyiri, J. Quark structure of hadrons and high-energy collisions. Int. J. Mod. Phys. 2003, A18, 2403–2458. [Google Scholar] [CrossRef]
- Sarkisyan, E.K.G.; Sakharov, A.S. On similarities of bulk observables in nuclear and particle collisions. arXiv, 2004; arXiv:hep-ph/0410324. [Google Scholar]
- Nakamura, K.; Particle Data Group. Review of particle physics. J. Phys. 2010, G37, 075021. [Google Scholar] [CrossRef]
- Benecke, J.; Blobel, V.; Breitenlohner, P.; Fesefeldt, H.; Heilmann, H.G.; Idschok, U. Rapidity Gap Separation and Study of Single Diffraction Dissociation in p p Collisions at 12-GeV/c and 24-GeV/c. Nucl. Phys. 1974, B76, 29–47. [Google Scholar] [CrossRef]
- Morse, W.M.; Barnes, V.E.; Carmony, D.D.; Christian, R.S.; Garfinkel, A.F.; Rangan, L.K.; Erwin, A.R.; Harvey, E.H.; Loveless, R.J.; Thompson, M.A. π+p, K+p and pp Topological Cross-Sections and Inclusive Interactions at 100-GeV Using a Hybrid Bubble Chamber-Spark Chamber System and a Tagged Beam. Phys. Rev. 1977, D15, 66. [Google Scholar]
- Breakstone, A. Charged Multiplicity Distribution in p p Interactions at ISR Energies. Phys. Rev. 1984, D30, 528. [Google Scholar]
- Alner, G.J. Scaling Violations in Multiplicity Distributions at 200-GeV and 900-GeV. Phys. Lett. 1986, 167B, 476–480. [Google Scholar] [CrossRef]
- Ansorge, R.E. Charged Particle Multiplicity Distributions at 200-GeV and 900-GeV Center-Of-Mass Energy. Z. Phys. 1989, C43, 357. [Google Scholar]
- Adloff, C. Evolution of e p fragmentation and multiplicity distributions in the Breit frame. Nucl. Phys. 1997, B504, 3–23. [Google Scholar] [CrossRef]
- Breitweg, J. Measurement of multiplicity and momentum spectra in the current and target regions of the Breit frame in deep inelastic scattering at HERA. Eur. Phys. J. 1999, C11, 251–270. [Google Scholar] [CrossRef]
- Chekanov, S. Multiplicity moments in deep inelastic scattering at HERA. Phys. Lett. 2001, B510, 36–54. [Google Scholar] [CrossRef]
- Khachatryan, V. Pseudorapidity distribution of charged hadrons in proton-proton collisions at = 13 TeV. Phys. Lett. 2015, B751, 143–163. [Google Scholar] [CrossRef]
- Adam, J. Pseudorapidity and transverse-momentum distributions of charged particles in proton-proton collisions at = 13 TeV. Phys. Lett. 2016, B753, 319–329. [Google Scholar] [CrossRef]
- Aamodt, K. Charged-particle multiplicity measurement in proton-proton collisions at = 0.9 and 2.36 TeV with ALICE at LHC. Eur. Phys. J. 2010, C68, 89–108. [Google Scholar] [CrossRef]
- Adam, J. Charged-particle multiplicities in proton–proton collisions at = 0.9 to 8 TeV. Eur. Phys. J. 2017, C77, 33. [Google Scholar] [CrossRef]
- Alner, G.J. Scaling of Pseudorapidity Distributions at c.m. Energies Up to 0.9-TeV. Z. Phys. 1986, C33, 1–6. [Google Scholar]
- Nouicer, R. Pseudorapidity distributions of charged particles in d + Au and p + p collisions at s(NN)**(1/2) = 200-GeV. J. Phys. 2004, G30, S1133–S1138. [Google Scholar] [CrossRef]
- Whitmore, J. Experimental Results on Strong Interactions in the NAL Hydrogen Bubble Chamber. Phys. Rept. 1974, 10, 273–373. [Google Scholar] [CrossRef]
- Khachatryan, V. Transverse-momentum and pseudorapidity distributions of charged hadrons in pp collisions at = 7 TeV. Phys. Rev. Lett. 2010, 105, 022002. [Google Scholar] [CrossRef] [PubMed]
- Abe, F. Pseudorapidity distributions of charged particles produced in interactions at = 630 GeV and 1800 GeV. Phys. Rev. 1990, D41, 2330. [Google Scholar]
- Albajar, C. A Study of the General Characteristics of Collisions at = 0.2-TeV to 0.9-TeV. Nucl. Phys. 1990, B335, 261–287. [Google Scholar] [CrossRef]
- Aad, G. Measurement of the centrality dependence of the charged-particle pseudorapidity distribution in proton-lead collisions at = 5.02 TeV with the ATLAS detector. Eur. Phys. J. 2016, 76, 199. [Google Scholar] [CrossRef] [PubMed]
© 2018 by the authors. Licensee MDPI, Basel, Switzerland. This article is an open access article distributed under the terms and conditions of the Creative Commons Attribution (CC BY) license (http://creativecommons.org/licenses/by/4.0/).




