A Catalog of 73 B-Type Stars and Their Brightness Variation from K2 Campaign 13–18
Abstract
1. Introduction
2. Sample Selection and Data Collection
2.1. Sample Selection
2.2. Kepler/K2 Photometric Observations
2.3. Gaia Data
2.4. Spectroscopic Observations

3. Light Curves and Frequency Analysis
4. Data Reduction and Spectral Analysis
4.1. Data Reduction
4.2. Determination of Atmospheric Parameters
4.3. Projected Rotational Velocity Determination via FWHM
4.4. Uncertainty Estimation
4.5. Evolution Tracks
5. B-Type Stars Variability
5.1. SPB Stars
5.2. Cephei/SPB Hybrid Stars
5.3. SLF Stars
5.4. Maia Variables or Fast-Rotating Pulsating B
5.5. Binary and Rotation Modulation Stars
6. Results
7. Discussion
Author Contributions
Funding
Data Availability Statement
Acknowledgments
Conflicts of Interest
Appendix A. List of Targets
| Camp. | EPIC ID | Simbad ID | RA (J2000) | DEC (J2000) | Mag V | Spec. Type (Simbad) |
|---|---|---|---|---|---|---|
| 13 | 210650598 | HD 28436 | 04:29:48 | +17:40:39 | 7.8 | B7V |
| 13 | 210671425 | HD 285777 | 04:25:25 | +17:57:45 | 10.5 | B8 |
| 13 | 210737173 | HD 27877 | 04:24:42 | +18:54:47 | 7.4 | B8V |
| 13 | 210853356 | HD 28304 | 04:28:42 | +20:40:38 | 7.7 | B8 |
| 13 | 210873575 | HD 27742 | 04:23:32 | +20:58:55 | 6.0 | B8IV-V |
| 13 | 246698204 | HD 31747 | 04:58:57 | +14:32:58 | 7.6 | B6V |
| 13 | 246704649 | HD 286109 | 04:51:29 | +14:37:53 | 11.0 | B9 |
| 13 | 246788829 | HD 31708 | 04:58:31 | +15:37:11 | 8.9 | B9 |
| 13 | 246820783 | HD 28868 | 04:33:25 | +15:57:39 | 9.1 | B8 |
| 13 | 246968117 | HD 286146 | 04:54:04 | +17:24:49 | 10.5 | B9 |
| 13 | 246970807 | HD 33402 | 05:10:39 | +17:26:24 | 7.9 | B8 |
| 13 | 246988320 | HD 286141 | 04:55:36 | +17:36:35 | 10.5 | B9 |
| 13 | 247031423 | HD 28867 | 04:33:32 | +18:01:00 | 7.0 | B9IVn |
| 13 | 247131891 | HD 286010 | 04:44:30 | +18:58:26 | 10.2 | B8 |
| 13 | 247146962 | BD+18 708 | 04:45:42 | +19:07:07 | 10.4 | B8 |
| 13 | 247147343 | HD 285995 | 04:46:00 | +19:07:18 | 9.6 | B9 |
| 13 | 247147476 | BD+18 701 | 04:45:15 | +19:07:23 | 9.9 | B8 |
| 13 | 247148453 | HD 285993 | 04:45:14 | +19:07:57 | 11.6 | B5 |
| 13 | 247153152 | HD 285996 | 04:45:58 | +19:10:39 | 9.3 | B9 |
| 13 | 247160983 | HD 284732 | 04:44:29 | +19:15:06 | 9.8 | B8 |
| 13 | 247164195 | HD 284841 | 04:45:48 | +19:16:56 | 9.3 | B9II |
| 13 | 247169375 | HD 285097 | 04:56:54 | +19:9:51 | 10.9 | B |
| 13 | 247192878 | HD 284828 | 04:49:37 | +19:33:24 | 10.0 | B5 |
| 13 | 247211157 | HD 284634 | 04:37:12 | +19:43:50 | 10.2 | B9 |
| 13 | 247234723 | HD 34133 | 05:15:50 | +19:57:14 | 8.1 | B8 |
| 13 | 247264203 | HD 284914 | 04:55:08 | +20:13:37 | 10.6 | B8 |
| 13 | 247273628 | HD 285065 | 04:55:56 | +20:18:46 | 10.8 | B9 |
| 13 | 247278704 | HD 284820 | 04:48:45 | +20:21:34 | 10.1 | B9 |
| 13 | 247430338 | HD 32481 | 05:04:22 | +21:38:36 | 8.0 | B3V |
| 13 | 247457814 | HD 285174 | 05:03:58 | +21:51:51 | 10.9 | B9 |
| 13 | 247495377 | HD 284993 | 04:57:12 | +22:09:34 | 10.3 | B9 |
| 13 | 247551785 | HD 31856 | 05:00:09 | +22:35:33 | 8.7 | B9 |
| 13 | 247554799 | HD 31916 | 05:00:33 | +22:36:56 | 9.1 | B8 |
| 13 | 247559520 | HD 29450 | 04:39:13 | +22:39:08 | 8.6 | B9 |
| 13 | 247612547 | V* V1154 Tau | 05:05:37 | +23:03:39 | 6.8 | B5 |
| 13 | 247682580 | HD 284941 | 04:58:41 | +23:35:06 | 11.4 | B9 |
| 13 | 247688426 | HD 30122 | 04:45:42 | +23:37:40 | 6.3 | B5III |
| 13 | 247692420 | BD+23 817 | 05:03:31 | +23:39:25 | 10.6 | B9 |
| 13 | 247695418 | HD 285127 | 05:03:32 | +23:40:46 | 9.7 | B9 |
| 13 | 247696147 | HD 285124 | 05:03:57 | +23:41:06 | 11.0 | B9 |
| 13 | 247698073 | HD 284937 | 05:01:44 | +23:41:56 | 9.6 | B9 |
| 13 | 247705729 | HD 285118 | 05:04:55 | +23:45:11 | 10.7 | B9 |
| 13 | 247709560 | HD 284935 | 05:01:27 | +23:46:49 | 9.1 | B9 |
| 13 | 247714018 | HD 285117 | 05:04:45 | +23:48:43 | 10.4 | B9 |
| 13 | 247714396 | HD 285109 | 05:03:23 | +23:48:53 | 10.6 | B9 |
| 13 | 247742016 | HD 31353 | 04:56:07 | +24:00:16 | 8.2 | B8 |
| 13 | 247757517 | HD 284119 | 05:03:38 | +24:06:55 | 10.2 | B9 |
| 13 | 247759652 | HD 284045 | 05:00:14 | +24:07:48 | 10.6 | B9 |
| 13 | 247774959 | GSC 01829-00022 | 04:33:53 | +24:14:08 | 12.5 | B8 |
| 13 | 247786632 | HD 32247 | 05:02:45 | +24:19:00 | 8.6 | B9 |
| 13 | 247806245 | GSC 01833-01018 | 04:35:32 | +24:27:06 | 13.0 | B8 |
| 13 | 247889905 | HD 284091 | 05:02:30 | +25:01:24 | 11.1 | B9 |
| 13 | 247895553 | GSC 01849-00811 | 05:02:27 | +25:03:43 | 13.5 | B9 |
| 13 | 247935687 | GSC 01834-00273 | 04:39:39 | +25:20:34 | ∼ | B9 |
| 13 | 248064520 | HD 284006 | 04:58:07 | +26:17:54 | 9.8 | B9 |
| 13 | 248150769 | HD 283800 | 04:43:27 | +27:01:37 | 9.8 | B8 |
| 13 | 248227339 | HD 283845 | 04:47:52 | +27:44:40 | 9.6 | B9 |
| 15 | 204525956 | HD 143567 | 16:01:55 | +21:58:49 | 7.2 | B9 V |
| 15 | 204848812 | HD 141774 | 15:51:30 | −20:35:14 | 7.7 | B9 V |
| 15 | 249135451 | HD 139094 | 15:37:07 | −26:29:33 | 7.4 | B8 IV/V |
| 15 | 249481830 | HD 138343 | 15:32:10 | −21:58:01 | 7.2 | B9 V |
| 15 | 249661590 | HD 139486 | 15:39:00 | −19:43:57 | 7.6 | B9 V |
| 15 | 249811956 | V* HQ Lib | 15:38:55 | −17:44:35 | 10.7 | B7 |
| 15 | 249919216 | HD 134796 | 15:12:21 | −16:24:40 | 7.4 | B9 V |
| 15 | 250131922 | EC 15327-1341 | 15:35:30 | −13:51:51 | 11.0 | B6 |
| 17 | 212431975 | EC 13318-1356 | 13:34:28 | −14:11:45 | 12.7 | B4 |
| 17 | 212450527 | EC 13211-1331 | 13:23:46 | −13:47:26 | 12.7 | B7 |
| 17 | 212744655 | TYC 4973-1471-1 | 13:46:47 | −07:07:32 | 11.8 | B |
| 17 | 251547357 | HD 120086 | 13:47:19 | −02:26:37 | 7.8 | B2 IV |
| 18 | 211404031 | HD 73046 | 08:36:31 | +11:42:13 | 8.1 | B9 |
| 18 | 211712203 | HD 68903 | 08:14:59 | +16:04:43 | 7.3 | B8 |
| 18 | 211941698 | HD 75750 | 08:52:20 | +19 21 03 | 8.5 | B5 |
| 18 | 211996306 | HD 71052 | 08:25:59 | +20:11:36 | 8.5 | B9 |
Appendix B. Table with the Variability Classification
| Camp. | EPIC | Class | Ntot | Amax | Spectral | Notes | |
|---|---|---|---|---|---|---|---|
| (d−1) | (ppm) | Type | |||||
| 13 | 210650598 | SPB | 8 | 2.32 | 399 | B9IV-V † | Instr.? |
| 13 | 210671425 | AP | – | – | – | B8IV † | – |
| 13 | 210737173 | SPB/SLF | 8 | 3.97 | – | B9IV-V † | Instr.? |
| 13 | 210853356 | SPB | 23 | 1.06 | 855 | B9V † | – |
| 13 | 210873575 | MAIA | 13 | 1.17 | 25 | B7IV † | – |
| 13 | 246698204 | EBIN | – | – | – | B6V | – |
| 13 | 246704649 | SPB/SLF | 23 | 0.14 | – | B9 | – |
| 13 | 246788829 | ROT/BIN | – | – | – | B9 | – |
| 13 | 246820783 | ROT/BIN | – | – | – | B8 | – |
| 13 | 246968117 | SPB? | 15 | 0.29 | 3.45 | B9 | – |
| 13 | 246970807 | ROT/BIN | – | – | – | B6IV-V † | – |
| 13 | 246988320 | AP | – | – | – | B9 | – |
| 13 | 247031423 | SPB/BIN | 45 | – | – | B9 IV | – |
| 13 | 247131891 | SPB | 24 | 2.01 | 174 | B8 | – |
| 13 | 247146962 | AP | – | – | – | B8 | – |
| 13 | 247147343 | ROT/BIN | – | – | – | B9 | – |
| 13 | 247147476 | SPB/SLF? | 15 | – | – | B8 | – |
| 13 | 247148453 | SPB/SLF | 11 | 2.78 | – | B5 | – |
| 13 | 247153152 | SPB/SLF | 20 | 1.35 | 68 | B9 | – |
| 13 | 247160983 | SPB/SLF | 19 | 1.90 | – | B8 | – |
| 13 | 247164195 | SPB/SLF | 18 | 1.20 | – | B9II | – |
| 13 | 247169375 | ROT/BIN | – | – | – | B | Spots |
| 13 | 247192878 | ROT/BIN | – | – | – | B5 | – |
| 13 | 247211157 | MAIA/SLF | 24 | 0.12 | – | B9-A0V † | – |
| 13 | 247234723 | SPB/SLF | 61 | 3.50 | – | B3V † | – |
| 13 | 247264203 | SPB/SLF | 54 | 0.90 | – | B8 | – |
| 13 | 247273628 | MAIA | 96 | 2.00 | – | B9 | – |
| 13 | 247278704 | ROT/BIN | – | – | – | B9 | – |
| 13 | 247430338 | SPB/BIN? | 86 | – | – | B3V | – |
| 13 | 247457814 | ROT/BIN | – | – | – | B9 | – |
| 13 | 247495377 | ROT/BIN | – | 1.73 | 4630 | B5V † | – |
| 13 | 247551785 | ROT/BIN | – | – | – | B9 | – |
| 13 | 247554799 | MAIA | 130 | – | – | B8 | – |
| 13 | 247559520 | ROT/BIN | – | – | – | B9 | – |
| 13 | 247612547 | EBIN | – | – | – | B5V † | – |
| 13 | 247682580 | MAIA/SLF | 14 | – | – | B9V † | – |
| 13 | 247688426 | ROT/BIN | – | – | – | B5III | – |
| 13 | 247692420 | AP | – | – | – | B9 | – |
| 13 | 247695418 | ROT/BIN | – | – | – | B8IV † | – |
| 13 | 247696147 | MAIA/SLF | 16 | – | – | B9V † | – |
| 13 | 247698073 | ROT/BIN | – | – | – | B9 | – |
| 13 | 247705729 | SPB/SLF | 13 | 2.14 | 105 | B9 | – |
| 13 | 247709560 | ROT/BIN/SLF | – | – | – | B9 | – |
| 13 | 247714018 | ROT/BIN/SLF | – | – | – | B9 | – |
| 13 | 247714396 | SPB | 9 | 2.22 | 33 | B9 | – |
| 13 | 247742016 | SPB/SLF | 20 | 1.40 | – | B8 | – |
| 13 | 247757517 | SPB | 11 | 2.00 | 62 | B9V † | – |
| 13 | 247759652 | ROT/BIN | – | – | – | B9V † | – |
| 13 | 247774959 | ROT/BIN | – | – | – | B9II-III † | Spots |
| 13 | 247786632 | MAIA | 23 | – | – | B9 | – |
| 13 | 247806245 | MAIA | 131 | – | – | B8 | – |
| 13 | 247889905 | SPB | 14 | 1.98 | 48 | B9 | – |
| 13 | 247895553 | MAIA | 82 | – | – | B9 | – |
| 13 | 247935687 | SLF | 7 | 0.25 | 22 | B9 | – |
| 13 | 248064520 | SPB | 57 | 2.33 | 4140 | B9 | – |
| 13 | 248150769 | SPB | 65 | 0.98 | 964 | B8 | – |
| 13 | 248227339 | SPB/SLF | 77 | 0.42 | 1104 | B9 | – |
| 15 | 204525956 | AP | – | – | – | B9 V † | – |
| 15 | 204848812 | SPB | 3 | 1.16 | 24 | B9 V † | |
| 15 | 249135451 | SPB | 30 | 0.68 | 50,400 | B6 V † | – |
| 15 | 249481830 | ROT/BIN | – | – | – | B9 V | – |
| 15 | 249661590 | AP | – | – | – | A0 V † | – |
| 15 | 249811956 | EBIN | – | – | – | B7 V † | – |
| 15 | 249919216 | AP | – | – | – | B9 V † | – |
| 15 | 250131922 | SPB | 29 | 0.33 | 576 | B5 V † | – |
| 17 | 212431975 | SPB | 23 | 1.78 | 986 | B4 | – |
| 17 | 212450527 | SPB | 19 | 0.73 | 90 | B7 | – |
| 17 | 212744655 | SPB | 48 | 0.82 | 1280 | B5 V † | – |
| 17 | 251547357 | HYB | 17 | 3.69 | 199 | B2 V † | – |
| 18 | 211404031 | AP | – | – | – | B9 V † | – |
| 18 | 211712203 | SLF | 4 | 0.23 | 857 | B9 V † | – |
| 18 | 211941698 | SPB/SLF | 10 | 1.03 | 11,300 | B5 III † | – |
| 18 | 211996306 | SPB | 2 | 0.63 | 1850 | B9 III † | – |
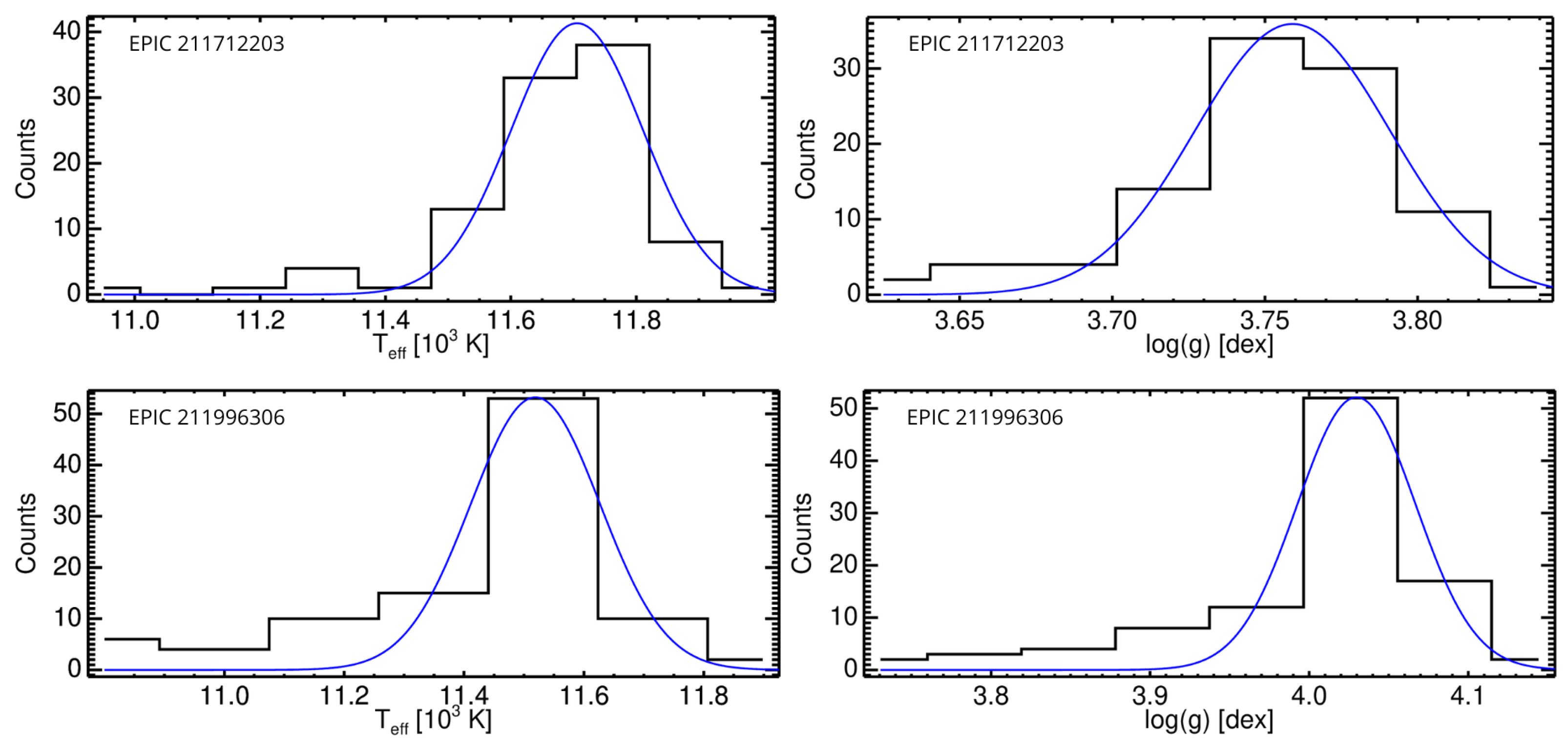
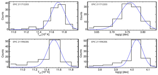
Appendix C. Examples of Monte Carlo Distributions of Atmospheric Parameters


Appendix D. Light Curves and Frequency Spectra
Appendix D.1. SPB































Appendix D.2. MAIA









Appendix D.3. AP








Appendix D.4. SLF


Appendix D.5. HYB

Appendix D.6. ROT/BIN and EBIN






















Appendix E. Spectroscopic Data and Spectral Model Adjustment


































References
- Langer, N. Presupernova Evolution of Massive Single and Binary Stars. Annu. Rev. Astron. Astrophys. 2012, 50, 107–164. [Google Scholar] [CrossRef]
- Ekström, S.; Georgy, C.; Eggenberger, P.; Meynet, G.; Mowlavi, N.; Wyttenbach, A.; Granada, A.; Decressin, T.; Hirschi, R.; Frischknecht, U.; et al. Grids of stellar models with rotation. I. Models from 0.8 to 120 M⊙ at solar metallicity (Z = 0.014). Astron. Astrophys. 2012, 537, A146. [Google Scholar] [CrossRef]
- Kuschnig, R. Space observations of O and B stars with MOST. Commun. Asteroseismol. 2009, 158, 162. [Google Scholar]
- Auvergne, M.; Bodin, P.; Boisnard, L.; Buey, J.T.; Chaintreuil, S.; Epstein, G.; Jouret, M.; Lam-Trong, T.; Levacher, P.; Magnan, A.; et al. The CoRoT satellite in flight: Description and performance. Astron. Astrophys. 2009, 506, 411–424. [Google Scholar] [CrossRef]
- Caldwell, D.A.; van Cleve, J.E.; Jenkins, J.M.; Argabright, V.S.; Kolodziejczak, J.J.; Dunham, E.W.; Geary, J.C.; Tenenbaum, P.; Chandrasekaran, H.; Li, J.; et al. Kepler instrument performance: An in-flight update. In Space Telescopes and Instrumentation 2010: Optical, Infrared, and Millimeter Wave; Society of Photo-Optical Instrumentation Engineers (SPIE) Conference Series; Oschmann, J.M., Jr., Clampin, M.C., MacEwen, H.A., Eds.; SPIE: Bellingham, WA, USA, 2010; Volume 7731, p. 773117. [Google Scholar] [CrossRef]
- Howell, S.B.; Sobeck, C.; Haas, M.; Still, M.; Barclay, T.; Mullally, F.; Troeltzsch, J.; Aigrain, S.; Bryson, S.T.; Caldwell, D.; et al. The K2 Mission: Characterization and Early Results. Publ. Astron. Soc. Pac. 2014, 126, 398. [Google Scholar] [CrossRef]
- Ricker, G.R.; Latham, D.W.; Vanderspek, R.K.; Ennico, K.A.; Bakos, G.; Brown, T.M.; Burgasser, A.J.; Charbonneau, D.; Deming, L.D.; Doty, J.P.; et al. The Transiting Exoplanet Survey Satellite (TESS). In Proceedings of the 213th Meeting of the American Astronomical Society, Long Beach, CA, USA, 4–8 January 2009. [Google Scholar]
- Bowman, D.M. Asteroseismology of high-mass stars: New insights of stellar interiors with space telescopes. Front. Astron. Space Sci. 2020, 7, 70. [Google Scholar] [CrossRef]
- Emilio, M.; Andrade, L.; Janot-Pacheco, E.; Baglin, A.; Gutiérrez-Soto, J.; Suárez, J.C.; de Batz, B.; Diago, P.; Fabregat, J.; Floquet, M.; et al. Photometric variability of the Be star CoRoT-ID 102761769. Astron. Astrophys. 2010, 522, A43. [Google Scholar] [CrossRef]
- Andrade, L.; Janot-Pacheco, E.; Emilio, M.; Frémat, Y. Photometric and spectroscopic variability of the B5IIIe star HD171219. Eur. Phys. J. Web Conf. 2017, 152, 04004. [Google Scholar] [CrossRef]
- Eidam, J.M.; Andrade, L.; Emilio, M.; Rabello-Soares, M.C.; Pereira, A.W.; Janot-Pacheco, E.; Armstrong, J.D. Photometry and spectroscopy of massive stars observed during K2 Campaign 8. Mon. Not. R. Astron. Soc. 2020, 491, 302–312. [Google Scholar] [CrossRef]
- Pereira, A.W.; Janot-Pacheco, E.; Emilio, M.; Andrade, L.; Armstrong, J.D.; Eidam, J.M.; Rabello-Soares, M.C.; da Silva, B.V.H.V. Characterizing B stars from Kepler/K2 Campaign 11. Optical analysis and seismic diagnostics. Astron. Astrophys. 2024, 686, A20. [Google Scholar] [CrossRef]
- Eyer, L. et al. [Gaia Collaboration] Gaia Data Release 2. Variable stars in the colour-absolute magnitude diagram. Astron. Astrophys. 2019, 623, A110. [Google Scholar] [CrossRef]
- Brown, A.G.A. et al. [Gaia Collaboration] Gaia Early Data Release 3. Summary of the contents and survey properties. Astron. Astrophys. 2021, 649, A1. [Google Scholar] [CrossRef]
- Bailer-Jones, C.A.L.; Rybizki, J.; Fouesneau, M.; Demleitner, M.; Andrae, R. VizieR Online Data Catalog: Distances to 1.47 Billion Stars in Gaia EDR3: I/352. 2021. Available online: https://cdsarc.cds.unistra.fr/viz-bin/cat/I/352 (accessed on 27 August 2025).
- Amôres, E.B.; Jesus, R.M.; Moitinho, A.; Arsenijevic, V.; Levenhagen, R.S.; marshall, D.J.; Kerber, L.O.; Künzel, R.; Moura, R.A. GALExtin: An alternative online tool to determine the interstellar extinction in the Milky Way. Mon. Not. R. Astron. Soc. 2021, 508, 1788–1797. [Google Scholar] [CrossRef]
- Chen, B.Q.; Huang, Y.; Yuan, H.B.; Wang, C.; Fan, D.W.; Xiang, M.S.; Zhang, H.W.; Tian, Z.J.; Liu, X.W. Three-dimensional interstellar dust reddening maps of the Galactic plane. Mon. Not. R. Astron. Soc. 2019, 483, 4277–4289. [Google Scholar] [CrossRef]
- Green, G.M.; Schlafly, E.; Zucker, C.; Speagle, J.S.; Finkbeiner, D. A 3D Dust Map Based on Gaia, Pan-STARRS 1, and 2MASS. Astrophys. J. 2019, 887, 93. [Google Scholar] [CrossRef]
- Dotter, A. MESA Isochrones and Stellar Tracks (MIST) 0: Methods for the Construction of Stellar Isochrones. Astrophys. J. Suppl. Ser. 2016, 222, 8. [Google Scholar] [CrossRef]
- Brown, A.G.A. et al. [Gaia Collaboration] Gaia Data Release 2. Summary of the contents and survey properties. Astron. Astrophys. 2018, 616, A1. [Google Scholar] [CrossRef]
- Casagrande, L.; VandenBerg, D.A. On the use of Gaia magnitudes and new tables of bolometric corrections. Mon. Not. R. Astron. Soc. 2018, 479, L102–L107. [Google Scholar] [CrossRef]
- Cui, X.Q.; Zhao, Y.H.; Chu, Y.Q.; Li, G.P.; Li, Q.; Zhang, L.P.; Su, H.J.; Yao, Z.Q.; Wang, Y.N.; Xing, X.Z.; et al. The Large Sky Area Multi-Object Fiber Spectroscopic Telescope (LAMOST). Res. Astron. Astrophys. 2012, 12, 1197–1242. [Google Scholar] [CrossRef]
- Jenkins, J.M.; Caldwell, D.A.; Chandrasekaran, H.; Twicken, J.D.; Bryson, S.T.; Quintana, E.V.; Clarke, B.D.; Li, J.; Allen, C.; Tenenbaum, P.; et al. Initial Characteristics of Kepler Long Cadence Data for Detecting Transiting Planets. Astrophys. J. Lett. 2010, 713, L120–L125. [Google Scholar] [CrossRef]
- Clarke, B.D.; Caldwell, D.A.; Quintana, E.V.; Chandrasekaran, H.; Twicken, J.D.; Jenkins, J.M.; Cote, M.T.; McCauliff, S.D.; Klaus, T.C.; Allen, C.; et al. Pixel Level Calibrations. In Kepler Data Processing Handbook; KSCI-19081-002; NASA Ames Research Center: Moffett Field, CA, USA, 2017; Chapter 3. Available online: https://archive.stsci.edu/kepler/manuals/KSCI-19081-002-KDPH.pdf (accessed on 27 August 2025).
- Smith, J.C.; Stumpe, M.C.; Jenkins, J.M.; Van Cleve, J.E.; Girouard, F.R.; Kolodziejczak, J.J.; McCauliff, S.D.; Morris, R.L.; Twicken, J.D. Presearch Data Conditioning. In Kepler Data Processing Handbook; KSCI-19081-002; NASA Ames Research Center: Moffett Field, CA, USA, 2017; Chapter 7. Available online: https://archive.stsci.edu/kepler/manuals/KSCI-19081-002-KDPH.pdf (accessed on 27 August 2025).
- Aigrain, S.; Parviainen, H.; Pope, B.J.S. K2SC: Flexible systematics correction and detrending of K2 light curves using Gaussian process regression. Mon. Not. R. Astron. Soc. 2016, 459, 2408–2419. [Google Scholar] [CrossRef]
- Foster, G. The cleanest Fourier spectrum. Astron. J. 1995, 109, 1889–1902. [Google Scholar] [CrossRef]
- Degroote, P.; Briquet, M.; Catala, C.; Uytterhoeven, K.; Lefever, K.; Morel, T.; Aerts, C.; Carrier, F.; Auvergne, M.; Baglin, A.; et al. Evidence for nonlinear resonant mode coupling in the β Cephei star HD 180642 (V1449 Aquilae) from CoRoT photometry. Astron. Astrophys. 2009, 506, 111–123. [Google Scholar] [CrossRef]
- Baran, A.S.; Koen, C.; Pokrzywka, B. A detection threshold in the amplitude spectra calculated from Kepler data obtained during K2 mission. Mon. Not. R. Astron. Soc. 2015, 448, L16–L19. [Google Scholar] [CrossRef]
- Lee, G.; Gommers, R.; Waselewski, F.; Wohlfahrt, K.; O’Leary, A. PyWavelets: A Python package for wavelet analysis. J. Open Source Softw. 2019, 4, 1237. [Google Scholar] [CrossRef]
- Tody, D. The IRAF Data Reduction and Analysis System. In Proceedings of the Instrumentation in Astronomy VI, Tucson, AZ, USA, 2–8 March 1986; Crawford, D.L., Ed.; Society of Photo-Optical Instrumentation Engineers (SPIE) Conference Series; Volume 627, p. 733. [CrossRef]
- Valenti, J.A.; Piskunov, N. Spectroscopy made easy: A new tool for fitting observations with synthetic spectra. Astron. Astrophys. Suppl. Ser. 1996, 118, 595–603. [Google Scholar] [CrossRef]
- Castelli, F. ATLAS12: How to use it. Mem. Della Soc. Astron. Ital. Suppl. 2005, 8, 25. [Google Scholar]
- Heiter, U.; Barklem, P.; Fossati, L.; Kildiyarova, R.; Kochukhov, O.; Kupka, F.; Obbrugger, M.; Piskunov, N.; Plez, B.; Ryabchikova, T.; et al. VALD—An atomic and molecular database for astrophysics. J. Phys. Conf. Ser. 2008, 130, 012011. [Google Scholar] [CrossRef]
- Simón-Díaz, S.; Godart, M.; Castro, N.; Herrero, A.; Aerts, C.; Puls, J.; Telting, J.; Grassitelli, L. The IACOB project. III. New observational clues to understand macroturbulent broadening in massive O- and B-type stars. Astron. Astrophys. 2017, 597, A22. [Google Scholar] [CrossRef]
- Paxton, B.; Bildsten, L.; Dotter, A.; Herwig, F.; Lesaffre, P.; Timmes, F. Modules for Experiments in Stellar Astrophysics (MESA). Astrophys. J. Suppl. Ser. 2011, 192, 3. [Google Scholar] [CrossRef]
- Iglesias, C.A.; Rogers, F.J. Radiative Opacities for Carbon- and Oxygen-rich Mixtures. Astrophys. J. 1993, 412, 752. [Google Scholar] [CrossRef]
- Balona, L.A.; Pigulski, A.; De Cat, P.; Handler, G.; Gutiérrez-Soto, J.; Engelbrecht, C.A.; Frescura, F.; Briquet, M.; Cuypers, J.; Daszyńska-Daszkiewicz, J.; et al. Kepler observations of the variability in B-type stars. Mon. Not. R. Astron. Soc. 2011, 413, 2403–2420. [Google Scholar] [CrossRef]
- McNamara, B.J.; Jackiewicz, J.; McKeever, J. The Classification of Kepler B-star Variables. Astron. J. 2012, 143, 101. [Google Scholar] [CrossRef]
- Samus’, N.N.; Kazarovets, E.V.; Durlevich, O.V.; Kireeva, N.N.; Pastukhova, E.N. General catalogue of variable stars: Version GCVS 5.1. Astron. Rep. 2017, 61, 80–88. [Google Scholar] [CrossRef]
- Waelkens, C. Slowly pulsating B stars. Astron. Astrophys. 1991, 246, 453–468. [Google Scholar] [CrossRef]
- Miglio, A.; Montalbán, J.; Noels, A.; Eggenberger, P. Probing the properties of convective cores through g modes: High-order g modes in SPB and γ Doradus stars. Mon. Not. R. Astron. Soc. 2008, 386, 1487–1502. [Google Scholar] [CrossRef]
- Moravveji, E.; Aerts, C.; Pápics, P.I.; Triana, S.A.; Vandoren, B. Tight asteroseismic constraints on core overshooting and diffusive mixing in the slowly rotating pulsating B8.3V star KIC 10526294. Astron. Astrophys. 2015, 580, A27. [Google Scholar] [CrossRef]
- Pedersen, M.G.; Aerts, C.; Pápics, P.I.; Rogers, T.M. The shape of convective core overshooting from gravity-mode period spacings. Astron. Astrophys. 2018, 614, A128. [Google Scholar] [CrossRef]
- Wu, T.; Li, Y.; Deng, Z.M. A New C-D-like Diagram for SPB Stars: The Variations of Period Spacing as a Signature of Evolutionary Status. Astrophys. J. 2018, 867, 47. [Google Scholar] [CrossRef]
- Wu, T.; Li, Y. High-precision Asteroseismology in a Slowly Pulsating B Star: HD 50230. Astrophys. J. 2019, 881, 86. [Google Scholar] [CrossRef]
- Wu, T.; Li, Y.; Deng, Z.M.; Lin, G.F.; Song, H.F.; Jiang, C. Asteroseismic Analyses of Slowly Pulsating B Star KIC 8324482: Ultraweak Element Mixing beyond the Central Convective Core. Astrophys. J. 2020, 899, 38. [Google Scholar] [CrossRef]
- Rivinius, T.; Carciofi, A.C.; martayan, C. Classical Be stars. Rapidly rotating B stars with viscous Keplerian decretion disks. Astron. Astrophys. Rev. 2013, 21, 69. [Google Scholar] [CrossRef]
- Kiriakidis, M.; El Eid, M.F.; Glatzel, W. Heavy element opacities and the pulsations of beta cepheid stars. Mon. Not. R. Astron. Soc. 1992, 255, 1P–5P. [Google Scholar] [CrossRef]
- Dziembowski, W.A.; Moskalik, P.; Pamyatnykh, A.A. The opacity mechanism in B-type stars - II. Excitation of high-order g-modes in main-sequence stars. Mon. Not. R. Astron. Soc. 1993, 265, 588–600. [Google Scholar] [CrossRef]
- De Cat, P. Observational Asteroseismology of slowly pulsating B stars. Commun. Asteroseismol. 2007, 150, 167. [Google Scholar] [CrossRef]
- Degroote, P.; Acke, B.; Samadi, R.; Aerts, C.; Kurtz, D.W.; Noels, A.; Miglio, A.; Montalbán, J.; Bloemen, S.; Baglin, A.; et al. CoRoT’s view on variable B8/9 stars: Spots versus pulsations. Evidence for differential rotation in HD 174648. Astron. Astrophys. 2011, 536, A82. [Google Scholar] [CrossRef]
- Pápics, P.I.; Moravveji, E.; Aerts, C.; Tkachenko, A.; Triana, S.A.; Bloemen, S.; Southworth, J. KIC 10526294: A slowly rotating B star with rotationally split, quasi-equally spaced gravity modes. Astron. Astrophys. 2014, 570, A8. [Google Scholar] [CrossRef]
- Pápics, P.I.; Tkachenko, A.; Aerts, C.; Van Reeth, T.; De Smedt, K.; Hillen, M.; ∅stensen, R.; Moravveji, E. Asteroseismic Fingerprints of Rotation and Mixing in the Slowly Pulsating B8 V Star KIC 7760680. Astrophys. J. Lett. 2015, 803, L25. [Google Scholar] [CrossRef]
- Pápics, P.I.; Tkachenko, A.; Van Reeth, T.; Aerts, C.; Moravveji, E.; Van de Sande, M.; De Smedt, K.; Bloemen, S.; Southworth, J.; Debosscher, J.; et al. Signatures of internal rotation discovered in the Kepler data of five slowly pulsating B stars. Astron. Astrophys. 2017, 598, A74. [Google Scholar] [CrossRef]
- Pedersen, M.G.; Aerts, C.; Pápics, P.I.; Michielsen, M.; Gebruers, S.; Rogers, T.M.; Molenberghs, G.; Burssens, S.; Garcia, S.; Bowman, D.M. Internal mixing of rotating stars inferred from dipole gravity modes. Nat. Astron. 2021, 5, 715–722. [Google Scholar] [CrossRef]
- Kilkenny, D.; O’Donoghue, D.; Koen, C.; Stobie, R.S.; Chen, A. The Edinburgh-Cape Blue Object Survey—II. Zone 1—The North Galactic CAP. Mon. Not. R. Astron. Soc. 1997, 287, 867–893. [Google Scholar] [CrossRef]
- Stankov, A.; Handler, G. Catalog of Galactic β Cephei Stars. Astrophys. J. Suppl. Ser. 2005, 158, 193–216. [Google Scholar] [CrossRef]
- Lesh, J.R.; Aizenman, M.L. The observational status of the beta Cephei stars. Annu. Rev. Astron. Astrophys. 1978, 16, 215. [Google Scholar] [CrossRef]
- LeBlanc, F. An Introduction to Stellar Astrophysics; John Wiley & Sons: Hoboken, NJ, USA, 2010. [Google Scholar]
- Chapellier, E.; Le Contel, D.; Le Contel, J.M.; Mathias, P.; Valtier, J.C. A hybrid β Cephei-SPB star in a binary system: γ Pegasi. Astron. Astrophys. 2006, 448, 697–701. [Google Scholar] [CrossRef]
- De Cat, P.; Briquet, M.; Aerts, C.; Goossens, K.; Saesen, S.; Cuypers, J.; Yakut, K.; Scuflaire, R.; Dupret, M.A.; Uytterhoeven, K.; et al. Long term photometric monitoring with the Mercator telescope. Frequencies and mode identification of variable O-B stars. Astron. Astrophys. 2007, 463, 243–249. [Google Scholar] [CrossRef][Green Version]
- Pamyatnykh, A.A. Pulsational Instability Domains in the Upper Main Sequence. Acta Astron. 1999, 49, 119–148. [Google Scholar][Green Version]
- Houk, N.; Swift, C. Michigan Catalogue of Two-Dimensional Spectral Types for the HD Stars; Department of Astronomy, University of Michigan: Ann Arbor, MI, USA, 1999; Volume 5. [Google Scholar]
- Blomme, R.; Mahy, L.; Catala, C.; Cuypers, J.; Gosset, E.; Godart, M.; Montalban, J.; Ventura, P.; Rauw, G.; Morel, T.; et al. Variability in the CoRoT photometry of three hot O-type stars. HD 46223, HD 46150, and HD 46966. Astron. Astrophys. 2011, 533, A4. [Google Scholar] [CrossRef]
- Bowman, D.M.; Aerts, C.; Johnston, C.; Pedersen, M.G.; Rogers, T.M.; Edelmann, P.V.F.; Simón-Díaz, S.; Van Reeth, T.; Buysschaert, B.; Tkachenko, A.; et al. Photometric detection of internal gravity waves in upper main-sequence stars. I. Methodology and application to CoRoT targets. Astron. Astrophys. 2019, 621, A135. [Google Scholar] [CrossRef]
- Rogers, T.M.; Lin, D.N.C.; McElwaine, J.N.; Lau, H.H.B. Internal Gravity Waves in Massive Stars: Angular Momentum Transport. Astrophys. J. 2013, 772, 21. [Google Scholar] [CrossRef]
- Cantiello, M.; Langer, N.; Brott, I.; de Koter, A.; Shore, S.N.; Vink, J.S.; Voegler, A.; Lennon, D.J.; Yoon, S.C. Sub-surface convection zones in hot massive stars and their observable consequences. Astron. Astrophys. 2009, 499, 279–290. [Google Scholar] [CrossRef]
- Struve, O. Some Unusual Short-period Variables. Sky Telesc. 1955, 14, 461. [Google Scholar]
- Struve, O.; Sahade, J.; Lynds, C.R.; Huang, S.S. On the Spectrum and Brightness of Maia (20 C Tauri). Astrophys. J. 1957, 125, 115. [Google Scholar] [CrossRef]
- McNamara, B.J. Maia variables and upper-main-sequence phenomena. Astrophys. J. 1985, 289, 213–219. [Google Scholar] [CrossRef]
- Aerts, C.; Kolenberg, K. HD 121190: A cool multiperiodic slowly pulsating B star with moderate rotation. Astron. Astrophys. 2005, 431, 615–622. [Google Scholar] [CrossRef]
- Townsend, R.H.D. A semi-analytical formula for the light variations due to low-frequency g modes in rotating stars. Mon. Not. R. Astron. Soc. 2003, 343, 125–136. [Google Scholar] [CrossRef][Green Version]
- Savonije, G.J. Unstable quasi g-modes in rotating main-sequence stars. Astron. Astrophys. 2005, 443, 557–570. [Google Scholar] [CrossRef][Green Version]
- White, T.R.; Pope, B.J.S.; Antoci, V.; Pápics, P.I.; Aerts, C.; Gies, D.R.; Gordon, K.; Huber, D.; Schaefer, G.H.; Aigrain, S.; et al. Beyond the Kepler/K2 bright limit: Variability in the seven brightest members of the Pleiades. Mon. Not. R. Astron. Soc. 2017, 471, 2882–2901. [Google Scholar] [CrossRef]
- Monier, R. The Rapid Far-ultraviolet Variability of Maia Recorded by IUE. Res. Notes AAS 2021, 5, 81. [Google Scholar] [CrossRef]
- Degroote, P.; Aerts, C.; Ollivier, M.; Miglio, A.; Debosscher, J.; Cuypers, J.; Briquet, M.; Montalbán, J.; Thoul, A.; Noels, A.; et al. CoRoT’s view of newly discovered B-star pulsators: Results for 358 candidate B pulsators from the initial run’s exoplanet field data. Astron. Astrophys. 2009, 506, 471–489. [Google Scholar] [CrossRef]
- Mowlavi, N.; Barblan, F.; Saesen, S.; Eyer, L. Stellar variability in open clusters. I. A new class of variable stars in NGC 3766. Astron. Astrophys. 2013, 554, A108. [Google Scholar] [CrossRef]
- Mowlavi, N.; Saesen, S.; Semaan, T.; Eggenberger, P.; Barblan, F.; Eyer, L.; Ekström, S.; Georgy, C. Stellar variability in open clusters. II. Discovery of a new period-luminosity relation in a class of fast-rotating pulsating stars in NGC 3766. Astron. Astrophys. 2016, 595, L1. [Google Scholar] [CrossRef]
- Balona, L.A. Maia variables and other anomalies among pulsating stars. arXiv 2023, arXiv:2301.09280. [Google Scholar] [CrossRef]
- Balona, L.A.; Baran, A.S.; Daszyńska-Daszkiewicz, J.; De Cat, P. Analysis of Kepler B stars: Rotational modulation and Maia variables. Mon. Not. R. Astron. Soc. 2015, 451, 1445–1459. [Google Scholar] [CrossRef][Green Version]
- Balona, L.A.; Ozuyar, D. Pulsation among TESS A and B stars and the Maia variables. Mon. Not. R. Astron. Soc. 2020, 493, 5871–5879. [Google Scholar] [CrossRef]
- De Ridder, J. et al. [Gaia Collaboration] Gaia Data Release 3. Pulsations in main sequence OBAF-type stars. Astron. Astrophys. 2023, 674, A36. [Google Scholar] [CrossRef]
- Southworth, J.; Bowman, D.M.; Tkachenko, A.; Pavlovski, K. Discovery of β Cep pulsations in the eclipsing binary V453 Cygni. Mon. Not. R. Astron. Soc. 2020, 497, L19–L23. [Google Scholar] [CrossRef]
- Pedersen, M.G.; Chowdhury, S.; Johnston, C.; Bowman, D.M.; Aerts, C.; Handler, G.; De Cat, P.; Neiner, C.; David-Uraz, A.; Buzasi, D.; et al. Diverse Variability of O and B Stars Revealed from 2-minute Cadence Light Curves in Sectors 1 and 2 of the TESS Mission: Selection of an Asteroseismic Sample. Astrophys. J. Lett. 2019, 872, L9. [Google Scholar] [CrossRef]
- Bowman, D.M.; Burssens, S.; Pedersen, M.G.; Johnston, C.; Aerts, C.; Buysschaert, B.; Michielsen, M.; Tkachenko, A.; Rogers, T.M.; Edelmann, P.V.F.; et al. Low-frequency gravity waves in blue supergiants revealed by high-precision space photometry. Nat. Astron. 2019, 3, 760–765. [Google Scholar] [CrossRef]
- Burssens, S.; Simón-Díaz, S.; Bowman, D.M.; Holgado, G.; Michielsen, M.; de Burgos, A.; Castro, N.; Barbá, R.H.; Aerts, C. Variability of OB stars from TESS southern Sectors 1-13 and high-resolution IACOB and OWN spectroscopy. Astron. Astrophys. 2020, 639, A81. [Google Scholar] [CrossRef]
- Miglio, A.; Montalbán, J.; Dupret, M.A. Revised instability domains of SPB and β Cephei stars. Commun. Asteroseismol. 2007, 151, 48–56. [Google Scholar] [CrossRef]
- Silva, B.V.H.V. Estudo de estrelas B do campo 13 da missão Kepler K2. Ph.D. Thesis, State University of Ponta Grossa, Ponta Grossa, PR, Brazil, 2023. Available online: http://tede2.uepg.br/jspui/handle/prefix/4066 (accessed on 27 August 2025).
- Eidam, J.M. Estrelas A e B de Campanhas da Missão Kepler K2 [A and B Stars from Kepler K2 Mission Campaigns]. Ph.D. Thesis, National Observatory (Observatório Nacional), Rio de Janeiro, Brazil, 19 September 2024; p. 181. Available online: https://sucupira-legado.capes.gov.br/sucupira/public/consultas/coleta/trabalhoConclusao/viewTrabalhoConclusao.jsf?popup=true&id_trabalho=16095795 (accessed on 27 August 2025).





| Variability Class | Campaign 11 | Campaigns 13–18 | Total |
|---|---|---|---|
| SPB | 39 | 31 | 70 |
| ROT/BIN | 53 | 19 | 72 |
| SLF | 13 | 2 | 15 |
| MAIA | 5 | 9 | 14 |
| EBIN | 9 | 3 | 12 |
| HYB | 3 | 1 | 4 |
| AP (Aperiodic) | – | 8 | 8 |
| Total | 122 | 73 | 195 |
| Camp. | SIMBAD ID | EPIC | (K) | (dex) | (km s−1) | Class | |||
|---|---|---|---|---|---|---|---|---|---|
| 13 | HD 28436 | 210650598 | 11,300 | SPB | |||||
| HD 285777 | 210671425 | 10,500 | AP | ||||||
| HD 27877 | 210737173 | 11,600 | SPB/SLF | ||||||
| HD 28304 | 210853356 | 13,500 | SPB | ||||||
| HD 27742 | 210873575 | 13,100 | MAIA | ||||||
| HD 31747 | 246698204 | 13,400 | EBIN | ||||||
| HD 33402 | 246970807 | 14,400 | ROT/BIN | ||||||
| HD 28867 | 247031423 | 10,900 | SPB/BIN | ||||||
| HD 284634 | 247211157 | MAIA/SLF | |||||||
| HD 34133 | 247234723 | 17,800 | SPB/SLF | ||||||
| HD 32481 | 247430338 | 16,900 | SPB/BIN | ||||||
| HD 284993 | 247495377 | 15,000 | ROT/BIN | ||||||
| HD 32641 | 247612547 | 13,900 | EBIN | ||||||
| HD 284941 | 247682580 | 10,500 | MAIA/SLF | ||||||
| HD 30122 | 247688426 | 13,900 | ROT/BIN | ||||||
| HD 285127 | 247695418 | 11,900 | ROT/BIN | ||||||
| HD 285124 | 247696147 | 11,300 | MAIA/SLF | ||||||
| HD 284119 | 247757517 | 11,000 | SPB | ||||||
| HD 284045 | 247759652 | ROT/BIN | |||||||
| GSC 01829-00022 | 247774959 | 10,500 | ROT/BIN | ||||||
| 15 | HD 143567 | 204525956 | 10,700 | AP | |||||
| HD 141774 | 204848812 | 11,100 | SPB | ||||||
| HD 139094 | 249135451 | 13,400 | SPB | ||||||
| HD 138343 | 249481830 | 11,300 | ROT/BIN | ||||||
| HD 139486 | 249661590 | AP | |||||||
| V* HQ Lib | 249811956 | 13,700 | EBIN | ||||||
| HD 134796 | 249919216 | 10,600 | AP | ||||||
| BD-13 4202 | 250131922 | 14,600 | SPB | ||||||
| 17 | EC 15103-1557 | 212744655 | 15,800 | SPB | |||||
| HD 118246 | 251547357 | 20,600 | HYB | ||||||
| 18 | HD 120086 | 211404031 | 11,410 | AP | |||||
| HD 73046 | 211712203 | 11,700 | SLF | ||||||
| HD 75750 | 211941698 | 15,100 | SPB/SLF | ||||||
| HD 71052 | 211996306 | 11,500 | SPB |
Disclaimer/Publisher’s Note: The statements, opinions and data contained in all publications are solely those of the individual author(s) and contributor(s) and not of MDPI and/or the editor(s). MDPI and/or the editor(s) disclaim responsibility for any injury to people or property resulting from any ideas, methods, instructions or products referred to in the content. |
© 2025 by the authors. Licensee MDPI, Basel, Switzerland. This article is an open access article distributed under the terms and conditions of the Creative Commons Attribution (CC BY) license (https://creativecommons.org/licenses/by/4.0/).
Share and Cite
Silva, B.V.H.V.d.; Eidam, J.M.; Pereira, A.W.; Rabello-Soares, M.C.; Janot-Pacheco, E.; Andrade, L.; Emilio, M. A Catalog of 73 B-Type Stars and Their Brightness Variation from K2 Campaign 13–18. Universe 2025, 11, 301. https://doi.org/10.3390/universe11090301
Silva BVHVd, Eidam JM, Pereira AW, Rabello-Soares MC, Janot-Pacheco E, Andrade L, Emilio M. A Catalog of 73 B-Type Stars and Their Brightness Variation from K2 Campaign 13–18. Universe. 2025; 11(9):301. https://doi.org/10.3390/universe11090301
Chicago/Turabian StyleSilva, Bergerson V. H. V. da, Jéssica M. Eidam, Alan W. Pereira, M. Cristina Rabello-Soares, Eduardo Janot-Pacheco, Laerte Andrade, and Marcelo Emilio. 2025. "A Catalog of 73 B-Type Stars and Their Brightness Variation from K2 Campaign 13–18" Universe 11, no. 9: 301. https://doi.org/10.3390/universe11090301
APA StyleSilva, B. V. H. V. d., Eidam, J. M., Pereira, A. W., Rabello-Soares, M. C., Janot-Pacheco, E., Andrade, L., & Emilio, M. (2025). A Catalog of 73 B-Type Stars and Their Brightness Variation from K2 Campaign 13–18. Universe, 11(9), 301. https://doi.org/10.3390/universe11090301

