Stellar Flares, Superflares, and Coronal Mass Ejections—Entering the Big Data Era
Abstract
1. Introduction
2. Flare Detection in Space-Borne Photometry
3. Superflares on Solar-like Stars
4. Flares and Superflares of Cool Dwarf Stars
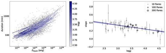
5. Flares on Giant Stars
6. Flares in Binary Systems
7. Stellar CMEs
8. Final Thoughts and Outlook
Author Contributions
Funding
Conflicts of Interest
References
- Vida, K.; Kővári, Z.; Pál, A.; Oláh, K.; Kriskovics, L. Frequent Flaring in the TRAPPIST-1 System—Unsuited for Life? Astrophys. J. 2017, 841, 124. [Google Scholar] [CrossRef]
- Tsurutani, B.T.; Gonzalez, W.D.; Lakhina, G.S.; Alex, S. The extreme magnetic storm of 1–2 September 1859. J. Geophys. Res. (Space Phys.) 2003, 108, 1268. [Google Scholar] [CrossRef]
- Carrington, R.C. Description of a Singular Appearance seen in the Sun on September 1, 1859. Mon. Not. R. Astron. Soc. 1859, 20, 13–15. [Google Scholar] [CrossRef]
- Crosby, N.B.; Aschwanden, M.J.; Dennis, B.R. Frequency distributions and correlations of solar X-ray flare parameters. Sol. Phys. 1993, 143, 275–299. [Google Scholar] [CrossRef]
- Shibata, K.; Isobe, H.; Hillier, A.; Choudhuri, A.R.; Maehara, H.; Ishii, T.T.; Shibayama, T.; Notsu, S.; Notsu, Y.; Nagao, T.; et al. Can Superflares Occur on Our Sun? Publ. Astron. Soc. Jpn. 2013, 65, 49. [Google Scholar] [CrossRef]
- Cliver, E.W.; Dietrich, W.F. The 1859 space weather event revisited: Limits of extreme activity. J. Space Weather. Space Clim. 2013, 3, A31. [Google Scholar] [CrossRef]
- Kopp, R.A.; Pneuman, G.W. Magnetic reconnection in the corona and the loop prominence phenomenon. Sol. Phys. 1976, 50, 85–98. [Google Scholar] [CrossRef]
- Heyvaerts, J.; Priest, E.; Rust, D.M. An emerging flux model for solar flares. Sol. Phys. 1977, 53, 255–258. [Google Scholar] [CrossRef]
- Feynman, J.; Martin, S.F. The initiation of coronal mass ejections by newly emerging magnetic flux. J. Geophys. Res. 1995, 100, 3355–3368. [Google Scholar] [CrossRef]
- Tanaka, K. Studies on a very flare-active δ group: Peculiar δ spot evolution and inferred subsurface magnetic rope structure. Sol. Phys. 1991, 136, 133–149. [Google Scholar] [CrossRef]
- Forbes, T. Models of coronal mass ejections and flares. In Heliophysics: Space Storms and Radiation: Causes and Effects; Schrijver, C.J., Siscoe, G.L., Eds.; Cambridge University Press: Cambridge, UK, 2010; p. 159. [Google Scholar]
- Priest, E. Magnetohydrodynamics of the Sun; Cambridge University Press: Cambridge, UK, 2014. [Google Scholar] [CrossRef]
- Ruan, W.; Xia, C.; Keppens, R. A Fully Self-consistent Model for Solar Flares. Astrophys. J. 2020, 896, 97. [Google Scholar] [CrossRef]
- Balona, L.A. Flare stars across the H-R diagram. Mon. Not. R. Astron. Soc. 2015, 447, 2714–2725. [Google Scholar] [CrossRef]
- He, H.; Wang, H.; Zhang, M.; Mehrabi, A.; Yan, Y.; Yun, D. Activity Analyses for Solar-type Stars Observed with Kepler. II. Magnetic Feature versus Flare Activity. Astrophys. J. Suppl. Ser. 2018, 236, 7. [Google Scholar] [CrossRef]
- Hathaway, D.H. The Solar Cycle. Living Rev. Sol. Phys. 2015, 12, 4. [Google Scholar] [CrossRef]
- Lehtinen, J.J.; Spada, F.; Käpylä, M.J.; Olspert, N.; Käpylä, P.J. Common dynamo scaling in slowly rotating young and evolved stars. Nat. Astron. 2020, 4, 658–662. [Google Scholar] [CrossRef]
- Charbonneau, P.; McIntosh, S.W.; Liu, H.L.; Bogdan, T.J. Avalanche models for solar flares (Invited Review). Sol. Phys. 2001, 203, 321–353. [Google Scholar] [CrossRef]
- Kővári, Z.; Oláh, K.; Günther, M.N.; Vida, K.; Kriskovics, L.; Seli, B.; Bakos, G.Á.; Hartman, J.D.; Csubry, Z.; Bhatti, W. Superflares on the late-type giant KIC 2852961. Scaling effect behind flaring at different energy levels. Astron. Astrophys. 2020, 641, A83. [Google Scholar] [CrossRef]
- Wang, Y.; Cao, H.; Chen, J.; Zhang, T.; Yu, S.; Zheng, H.; Shen, C.; Zhang, J.; Wang, S. Solar Limb Prominence Catcher and Tracker (SLIPCAT): An Automated System and its Preliminary Statistical Results. Astrophys. J. 2010, 717, 973–986. [Google Scholar] [CrossRef]
- Martens, P.C.H.; Kuin, N.P.M. A Circuit Model for Filament Eruptions and Two-Ribbon Flares. Sol. Phys. 1989, 122, 263–302. [Google Scholar] [CrossRef]
- Yashiro, S.; Gopalswamy, N. Statistical relationship between solar flares and coronal mass ejections. In Proceedings of the Universal Heliophysical Processes; Gopalswamy, N., Webb, D.F., Eds.; Cambridge University Press: Cambridge, UK, 2009; Volume 257, pp. 233–243. [Google Scholar] [CrossRef]
- Thalmann, J.K.; Su, Y.; Temmer, M.; Veronig, A.M. The Confined X-class Flares of Solar Active Region 2192. Astrophys. J. 2015, 801, L23. [Google Scholar] [CrossRef]
- Li, T.; Hou, Y.; Yang, S.; Zhang, J.; Liu, L.; Veronig, A.M. Magnetic Flux of Active Regions Determining the Eruptive Character of Large Solar Flares. Astrophys. J. 2020, 900, 128. [Google Scholar] [CrossRef]
- Carley, E.P.; Vilmer, N.; Vourlidas, A. Radio observations of coronal mass ejection initiation and development in the low solar corona. Front. Astron. Space Sci. 2020, 7, 79. [Google Scholar] [CrossRef]
- Dissauer, K.; Veronig, A.M.; Temmer, M.; Podladchikova, T. Statistics of Coronal Dimmings Associated with Coronal Mass Ejections. II. Relationship between Coronal Dimmings and Their Associated CMEs. Astrophys. J. 2019, 874, 123. [Google Scholar] [CrossRef]
- Moschou, S.P.; Drake, J.J.; Cohen, O.; Alvarado-Gómez, J.D.; Garraffo, C.; Fraschetti, F. The Stellar CME-Flare Relation: What Do Historic Observations Reveal? Astrophys. J. 2019, 877, 105. [Google Scholar] [CrossRef]
- Houdebine, E.R.; Foing, B.H.; Rodono, M. Dynamics of flares on late-type dMe stars. I—Flare mass ejections and stellar evolution. Astron. Astrophys. 1990, 238, 249–255. [Google Scholar]
- Leitzinger, M.; Odert, P.; Ribas, I.; Hanslmeier, A.; Lammer, H.; Khodachenko, M.L.; Zaqarashvili, T.V.; Rucker, H.O. Search for indications of stellar mass ejections using FUV spectra. Astron. Astrophys. 2011, 536, A62. [Google Scholar] [CrossRef]
- Vida, K.; Kriskovics, L.; Oláh, K.; Leitzinger, M.; Odert, P.; Kővári, Z.; Korhonen, H.; Greimel, R.; Robb, R.; Csák, B.; et al. Investigating magnetic activity in very stable stellar magnetic fields. Long-term photometric and spectroscopic study of the fully convective M4 dwarf V374 Pegasi. Astron. Astrophys. 2016, 590, A11. [Google Scholar] [CrossRef]
- Argiroffi, C.; Reale, F.; Drake, J.J.; Ciaravella, A.; Testa, P.; Bonito, R.; Miceli, M.; Orlando, S.; Peres, G. A stellar flare-coronal mass ejection event revealed by X-ray plasma motions. Nat. Astron. 2019, 3, 742–748. [Google Scholar] [CrossRef]
- Namekata, K.; Maehara, H.; Honda, S.; Notsu, Y.; Okamoto, S.; Takahashi, J.; Takayama, M.; Ohshima, T.; Saito, T.; Katoh, N.; et al. Probable detection of an eruptive filament from a superflare on a solar-type star. Nat. Astron. 2021, 6, 241–248. [Google Scholar] [CrossRef]
- Leitzinger, M.; Odert, P. Stellar Coronal Mass Ejections. Serbian Astron. J. 2022, 205, 1–22. [Google Scholar] [CrossRef]
- Osten, R.A. Observations of Winds and CMEs of Low-Mass Stars. In Proceedings of the Winds of Stars and Exoplanets; Vidotto, A.A., Fossati, L., Vink, J.S., Eds.; Cambridge University Press: Cambridge, UK, 2023; Volume 370, pp. 25–36. [Google Scholar] [CrossRef]
- Tian, H.; Xu, Y.; Chen, H.; Zhang, J.; Lu, H.; Chen, Y.; Yang, Z.; Wu, Y. Observations and simulations of stellar coronal mass ejections. Sci. Sin. Technol. 2023, 53, 2021–2038. [Google Scholar] [CrossRef]
- Balona, L.A. Kepler observations of flaring in A-F type stars. Mon. Not. R. Astron. Soc. 2012, 423, 3420–3429. [Google Scholar] [CrossRef]
- Pedersen, M.G.; Antoci, V.; Korhonen, H.; White, T.R.; Jessen-Hansen, J.; Lehtinen, J.; Nikbakhsh, S.; Viuho, J. Do A-type stars flare? Mon. Not. R. Astron. Soc. 2017, 466, 3060–3076. [Google Scholar] [CrossRef]
- Brown, T.M.; Latham, D.W.; Everett, M.E.; Esquerdo, G.A. Kepler Input Catalog: Photometric Calibration and Stellar Classification. Astrophys. J. 2011, 142, 112. [Google Scholar] [CrossRef]
- Yang, H.; Liu, J. The Flare Catalog and the Flare Activity in the Kepler Mission. Astrophys. J. Suppl. Ser. 2019, 241, 29. [Google Scholar] [CrossRef]
- Shibayama, T.; Maehara, H.; Notsu, S.; Notsu, Y.; Nagao, T.; Honda, S.; Ishii, T.T.; Nogami, D.; Shibata, K. Superflares on Solar-type Stars Observed with Kepler. I. Statistical Properties of Superflares. Astrophys. J. Suppl. Ser. 2013, 209, 5. [Google Scholar] [CrossRef]
- Oláh, K.; Seli, B.; Kővári, Z.; Kriskovics, L.; Vida, K. Characteristics of flares on giant stars. Astron. Astrophys. 2022, 668, A101. [Google Scholar] [CrossRef]
- Vida, K.; Leitzinger, M.; Kriskovics, L.; Seli, B.; Odert, P.; Kovács, O.E.; Korhonen, H.; van Driel-Gesztelyi, L. The quest for stellar coronal mass ejections in late-type stars. I. Investigating Balmer-line asymmetries of single stars in Virtual Observatory data. Astron. Astrophys. 2019, 623, A49. [Google Scholar] [CrossRef]
- Davenport, J.R.A. The Kepler Catalog of Stellar Flares. Astrophys. J. 2016, 829, 23. [Google Scholar] [CrossRef]
- Stelzer, B.; Damasso, M.; Scholz, A.; Matt, S.P. A path towards understanding the rotation-activity relation of M dwarfs with K2 mission, X-ray and UV data. Mon. Not. R. Astron. Soc. 2016, 463, 1844–1864. [Google Scholar] [CrossRef]
- Vida, K.; Roettenbacher, R.M. Finding flares in Kepler data using machine-learning tools. Astron. Astrophys. 2018, 616, A163. [Google Scholar] [CrossRef]
- Feinstein, A.D.; Montet, B.T.; Ansdell, M.; Nord, B.; Bean, J.L.; Günther, M.N.; Gully-Santiago, M.A.; Schlieder, J.E. Flare Statistics for Young Stars from a Convolutional Neural Network Analysis of TESS Data. Astrophys. J. 2020, 160, 219. [Google Scholar] [CrossRef]
- Vida, K.; Bódi, A.; Szklenár, T.; Seli, B. Finding flares in Kepler and TESS data with recurrent deep neural networks. Astron. Astrophys. 2021, 652, A107. [Google Scholar] [CrossRef]
- Kuerster, M.; Schmitt, J.H.M.M. Forty days in the life of CF Tucanae (=HD 5303). The longest stellar X-ray flare observed with ROSAT. Astron. Astrophys. 1996, 311, 211–229. [Google Scholar]
- Vida, K.; Oláh, K.; Kővári, Z.; Korhonen, H.; Bartus, J.; Hurta, Z.; Posztobányi, K. Photospheric and chromospheric activity in V405 Andromedae. An M dwarf binary with components on the two sides of the full convection limit. Astron. Astrophys. 2009, 504, 1021–1029. [Google Scholar] [CrossRef]
- Davenport, J.R.A.; Hawley, S.L.; Hebb, L.; Wisniewski, J.P.; Kowalski, A.F.; Johnson, E.C.; Malatesta, M.; Peraza, J.; Keil, M.; Silverberg, S.M.; et al. Kepler Flares. II. The Temporal Morphology of White-light Flares on GJ 1243. Astrophys. J. 2014, 797, 122. [Google Scholar] [CrossRef]
- Mendoza, G.T.; Davenport, J.R.A.; Agol, E.; Jackman, J.A.G.; Hawley, S.L. Llamaradas Estelares: Modeling the Morphology of White-light Flares. Astrophys. J. 2022, 164, 17. [Google Scholar] [CrossRef]
- Howard, W.S.; MacGregor, M.A. No Such Thing as a Simple Flare: Substructure and Quasi-periodic Pulsations Observed in a Statistical Sample of 20 s Cadence TESS Flares. Astrophys. J. 2022, 926, 204. [Google Scholar] [CrossRef]
- Cliver, E.W.; Schrijver, C.J.; Shibata, K.; Usoskin, I.G. Extreme solar events. Living Rev. Sol. Phys. 2022, 19, 2. [Google Scholar] [CrossRef]
- Hayakawa, H.; Iwahashi, K.; Ebihara, Y.; Tamazawa, H.; Shibata, K.; Knipp, D.J.; Kawamura, A.D.; Hattori, K.; Mase, K.; Nakanishi, I.; et al. Long-lasting Extreme Magnetic Storm Activities in 1770 Found in Historical Documents. Astrophys. J. 2017, 850, L31. [Google Scholar] [CrossRef]
- Willis, D.M.; Stephenson, F.R. Solar and auroral evidence for an intense recurrent geomagnetic storm during December in AD 1128. Ann. Geophys. 2001, 19, 289–302. [Google Scholar] [CrossRef]
- Miyake, F.; Nagaya, K.; Masuda, K.; Nakamura, T. A signature of cosmic-ray increase in AD 774-775 from tree rings in Japan. Nature 2012, 486, 240–242. [Google Scholar] [CrossRef] [PubMed]
- Miyake, F.; Masuda, K.; Nakamura, T. Lengths of Schwabe cycles in the seventh and eighth centuries indicated by precise measurement of carbon-14 content in tree rings. J. Geophys. Res. (Space Phys.) 2013, 118, 7483–7487. [Google Scholar] [CrossRef]
- Usoskin, I.G. A History of Solar Activity over Millennia. Living Rev. Sol. Phys. 2013, 10, 1. [Google Scholar] [CrossRef]
- Mekhaldi, F.; Muscheler, R.; Adolphi, F.; Aldahan, A.; Beer, J.; McConnell, J.R.; Possnert, G.; Sigl, M.; Svensson, A.; Synal, H.A.; et al. Multiradionuclide evidence for the solar origin of the cosmic-ray events of AD 774/5 and 993/4. Nat. Commun. 2015, 6, 8611. [Google Scholar] [CrossRef] [PubMed]
- Maehara, H.; Shibayama, T.; Notsu, S.; Notsu, Y.; Nagao, T.; Kusaba, S.; Honda, S.; Nogami, D.; Shibata, K. Superflares on solar-type stars. Nature 2012, 485, 478–481. [Google Scholar] [CrossRef] [PubMed]
- Okamoto, S.; Notsu, Y.; Maehara, H.; Namekata, K.; Honda, S.; Ikuta, K.; Nogami, D.; Shibata, K. Statistical Properties of Superflares on Solar-type Stars: Results Using All of the Kepler Primary Mission Data. Astrophys. J. 2021, 906, 72. [Google Scholar] [CrossRef]
- Karoff, C.; Knudsen, M.F.; De Cat, P.; Bonanno, A.; Fogtmann-Schulz, A.; Fu, J.; Frasca, A.; Inceoglu, F.; Olsen, J.; Zhang, Y.; et al. Observational evidence for enhanced magnetic activity of superflare stars. Nat. Commun. 2016, 7, 11058. [Google Scholar] [CrossRef] [PubMed]
- Gershberg, R.E. Some results of the cooperative photometric observations of the UV Cet-type flare stars in the years 1967–71. Astrophys. Space Sci. 1972, 19, 75–92. [Google Scholar] [CrossRef]
- Lacy, C.H.; Moffett, T.J.; Evans, D.S. UV Ceti stars: Statistical analysis of observational data. Astrophys. J. Suppl. Ser. 1976, 30, 85–96. [Google Scholar] [CrossRef]
- Shakhovskaia, N.I. Stellar flare statistics—Physical consequences. Sol. Phys. 1989, 121, 375–386. [Google Scholar] [CrossRef]
- Schmidt, S.J.; Cruz, K.L.; Bongiorno, B.J.; Liebert, J.; Reid, I.N. Activity and Kinematics of Ultracool Dwarfs, Including an Amazing Flare Observation. Astrophys. J. 2007, 133, 2258–2273. [Google Scholar] [CrossRef]
- Hawley, S.L.; Davenport, J.R.A.; Kowalski, A.F.; Wisniewski, J.P.; Hebb, L.; Deitrick, R.; Hilton, E.J. Kepler Flares. I. Active and Inactive M Dwarfs. Astrophys. J. 2014, 797, 121. [Google Scholar] [CrossRef]
- Zhang, L.Y.; Long, L.; Shi, J.; Lu, H.P.; Gao, Q.; Han, X.L.; Wang, H.; Prabhakar, M.; Lamost Mrs Collaboration. Magnetic activity based on LAMOST medium-resolution spectra and the Kepler survey. Mon. Not. R. Astron. Soc. 2020, 495, 1252–1270. [Google Scholar] [CrossRef]
- Zhang, L.y.; Su, T.; Misra, P.; Han, X.L.; Meng, G.; Pi, Q.; Yang, J. Stellar Parameters and Spectroscopic Properties of TESS Objects Observed in the LAMOST Low- and Medium-resolution Spectral Survey. Astrophys. J. Suppl. Ser. 2023, 264, 17. [Google Scholar] [CrossRef]
- Günther, M.N.; Zhan, Z.; Seager, S.; Rimmer, P.B.; Ranjan, S.; Stassun, K.G.; Oelkers, R.J.; Daylan, T.; Newton, E.; Kristiansen, M.H.; et al. Stellar Flares from the First TESS Data Release: Exploring a New Sample of M Dwarfs. Astrophys. J. 2020, 159, 60. [Google Scholar] [CrossRef]
- Gao, D.Y.; Liu, H.G.; Yang, M.; Zhou, J.L. Correcting Stellar Flare Frequency Distributions Detected by TESS and Kepler. Astrophys. J. 2022, 164, 213. [Google Scholar] [CrossRef]
- Mullan, D.J.; Paudel, R.R. Frequencies of Flare Occurrence: Interaction between Convection and Coronal Loops. Astrophys. J. 2018, 854, 14. [Google Scholar] [CrossRef]
- Kriskovics, L.; Kővári, Z.; Seli, B.; Oláh, K.; Vida, K.; Henry, G.W.; Granzer, T.; Görgei, A. EI Eridani: A star under the influence. The effect of magnetic activity in the short and long term. Astron. Astrophys. 2023, 674, A143. [Google Scholar] [CrossRef]
- Pietras, M.; Falewicz, R.; Siarkowski, M.; Bicz, K.; Preś, P. Statistical Analysis of Stellar Flares from the First Three Years of TESS Observations. Astrophys. J. 2022, 935, 143. [Google Scholar] [CrossRef]
- Yang, Z.; Zhang, L.; Meng, G.; Han, X.L.; Misra, P.; Yang, J.; Pi, Q. Properties of flare events based on light curves from the TESS survey. Astron. Astrophys. 2023, 669, A15. [Google Scholar] [CrossRef]
- Hawley, S.L.; Pettersen, B.R. The Great Flare of 1985 April 12 on AD Leonis. Astrophys. J. 1991, 378, 725. [Google Scholar] [CrossRef]
- Dal, H.A.; Evren, S. The statistical analyses of flares detected in B band photometry of UV Ceti type stars. New Astron. 2012, 17, 399–410. [Google Scholar] [CrossRef]
- Kővári, Z.; Vilardell, F.; Ribas, I.; Vida, K.; van Driel-Gesztelyi, L.; Jordi, C.; Oláh, K. Optical flares from the faint mid-dM star 2MASS J00453912+4140395. Astron. Nachrichten 2007, 328, 904–908. [Google Scholar] [CrossRef]
- Savanov, I.S. Activity of the Young Star TOI 837 with an Exoplanet. Astrophys. Bull. 2022, 77, 431–436. [Google Scholar] [CrossRef]
- Roettenbacher, R.M.; Vida, K. The Connection between Starspots and Flares on Main-sequence Kepler Stars. Astrophys. J. 2018, 868, 3. [Google Scholar] [CrossRef]
- Araújo, A.; Valio, A. Kepler-411 Star Activity: Connection between Starspots and Superflares. Astrophys. J. 2021, 922, L23. [Google Scholar] [CrossRef]
- Lin, J.; Wang, F.; Deng, L.; Deng, H.; Mei, Y.; Zhang, X. Evolutionary Relationship between Sunspot Groups and Soft X-ray Flares over Solar Cycles 21–25. Astrophys. J. 2023, 958, 1. [Google Scholar] [CrossRef]
- Howard, W.S.; Law, N.M. EvryFlare. IV. Detection of Periodicity in Flare Occurrence from Cool Stars with TESS. Astrophys. J. 2021, 920, 42. [Google Scholar] [CrossRef]
- Martin, D.V.; Sethi, R.; Armitage, T.; Gilbert, G.J.; Rodríguez Martínez, R.; Gilbert, E.A. The benchmark M dwarf eclipsing binary CM Draconis with TESS: Spots, flares, and ultra-precise parameters. Mon. Not. R. Astron. Soc. 2024, 528, 963–975. [Google Scholar] [CrossRef]
- Mavridis, L.N.; Avgoloupis, S. The flare star EV Lac. I. The activity cycle. Astron. Astrophys. 1986, 154, 171–175. [Google Scholar]
- Alekseev, I.Y.; Chalenko, V.E.; Shakhovskoĭ, D.N. Rapid UBVRI Photometry of the Active Flare Stars EV Lac and AD Leo. Astron. Rep. 2000, 44, 689–695. [Google Scholar] [CrossRef]
- Alekseev, I.Y. Spots, activity cycles, and differential rotation on cool stars. Astrophysics 2005, 48, 20–31. [Google Scholar] [CrossRef]
- Akopian, A.A. Cyclic flaring activity of flare stars. Astrophysics 2010, 53, 544–553. [Google Scholar] [CrossRef]
- Davenport, J.R.A.; Mendoza, G.T.; Hawley, S.L. 10 Years of Stellar Activity for GJ 1243. Astrophys. J. 2020, 160, 36. [Google Scholar] [CrossRef]
- Candelaresi, S.; Hillier, A.; Maehara, H.; Brandenburg, A.; Shibata, K. Superflare Occurrence and Energies on G-, K-, and M-type Dwarfs. Astrophys. J. 2014, 792, 67. [Google Scholar] [CrossRef]
- Raetz, S.; Stelzer, B.; Damasso, M.; Scholz, A. Rotation-activity relations and flares of M dwarfs with K2 long- and short-cadence data. Astron. Astrophys. 2020, 637, A22. [Google Scholar] [CrossRef]
- Gizis, J.E.; Paudel, R.R.; Schmidt, S.J.; Williams, P.K.G.; Burgasser, A.J. K2 Ultracool Dwarfs Survey. I. Photometry of an L Dwarf Superflare. Astrophys. J. 2017, 838, 22. [Google Scholar] [CrossRef]
- Gizis, J.E.; Paudel, R.R.; Mullan, D.; Schmidt, S.J.; Burgasser, A.J.; Williams, P.K.G. K2 Ultracool Dwarfs Survey. II. The White Light Flare Rate of Young Brown Dwarfs. Astrophys. J. 2017, 845, 33. [Google Scholar] [CrossRef]
- Murray, C.A.; Queloz, D.; Gillon, M.; Demory, B.O.; Triaud, A.H.M.J.; de Wit, J.; Burdanov, A.; Chinchilla, P.; Delrez, L.; Dransfield, G.; et al. A study of flares in the ultra-cool regime from SPECULOOS-South. Mon. Not. R. Astron. Soc. 2022, 513, 2615–2634. [Google Scholar] [CrossRef]
- Petrucci, R.P.; Gómez Maqueo Chew, Y.; Jofré, E.; Segura, A.; Ferrero, L.V. Exploring the photometric variability of ultra-cool dwarfs with TESS. Mon. Not. R. Astron. Soc. 2024, 527, 8290–8304. [Google Scholar] [CrossRef]
- Paudel, R.R.; Gizis, J.E.; Mullan, D.J.; Schmidt, S.J.; Burgasser, A.J.; Williams, P.K.G.; Berger, E. K2 Ultracool Dwarfs Survey. III. White Light Flares Are Ubiquitous in M6-L0 Dwarfs. Astrophys. J. 2018, 858, 55. [Google Scholar] [CrossRef]
- Glazier, A.L.; Howard, W.S.; Corbett, H.; Law, N.M.; Ratzloff, J.K.; Fors, O.; del Ser, D. Evryscope and K2 Constraints on TRAPPIST-1 Superflare Occurrence and Planetary Habitability. Astrophys. J. 2020, 900, 27. [Google Scholar] [CrossRef]
- Howard, W.S.; Kowalski, A.F.; Flagg, L.; MacGregor, M.A.; Lim, O.; Radica, M.; Piaulet, C.; Roy, P.A.; Lafrenière, D.; Benneke, B.; et al. Characterizing the Near-infrared Spectra of Flares from TRAPPIST-1 during JWST Transit Spectroscopy Observations. Astrophys. J. 2023, 959, 64. [Google Scholar] [CrossRef]
- Seli, B.; Vida, K.; Moór, A.; Pál, A.; Oláh, K. Activity of TRAPPIST-1 analog stars observed with TESS. Astron. Astrophys. 2021, 650, A138. [Google Scholar] [CrossRef]
- Strassmeier, K.G.; Briguglio, R.; Granzer, T.; Tosti, G.; Divarano, I.; Savanov, I.; Bagaglia, M.; Castellini, S.; Mancini, A.; Nucciarelli, G.; et al. First time-series optical photometry from Antarctica. sIRAIT monitoring of the RS CVn binary V841 Centauri and the δ-Scuti star V1034 Centauri. Astron. Astrophys. 2008, 490, 287–295. [Google Scholar] [CrossRef]
- Oláh, K.; Kővári, Z.; Günther, M.N.; Vida, K.; Gaulme, P.; Seli, B.; Pál, A. Toward the true number of flaring giant stars in the Kepler field. Are their flaring specialities associated with their being giant stars? Astron. Astrophys. 2021, 647, A62. [Google Scholar] [CrossRef]
- Gaulme, P.; Jackiewicz, J.; Appourchaux, T.; Mosser, B. Surface Activity and Oscillation Amplitudes of Red Giants in Eclipsing Binaries. Astrophys. J. 2014, 785, 5. [Google Scholar] [CrossRef]
- Maehara, H.; Shibayama, T.; Notsu, Y.; Notsu, S.; Honda, S.; Nogami, D.; Shibata, K. Statistical properties of superflares on solar-type stars based on 1-min cadence data. Earth Planets Space 2015, 67, 59. [Google Scholar] [CrossRef]
- Gehan, C.; Godoy-Rivera, D.; Gaulme, P. Magnetic activity of red giants: A near-UV and Hα view, and the enhancing role of tidal interactions. arXiv 2024, arXiv:2401.13549. [Google Scholar] [CrossRef]
- Oláh, K. Active Longitudes in Close Binaries. Astrophys. Space Sci. 2006, 304, 145–148. [Google Scholar] [CrossRef]
- Moss, D.; Tuominen, I. Magnetic field generation in close binary systems. Astron. Astrophys. 1997, 321, 151–158. [Google Scholar]
- Moss, D.; Barker, D.M.; Brandenburg, A.; Tuominen, I. Nonaxisymmetric dynamo solutions and extended starspots on late-type stars. Astron. Astrophys. 1995, 294, 155–164. [Google Scholar]
- Kővári, Z.; Oláh, K.; Kriskovics, L.; Vida, K.; Forgács-Dajka, E.; Strassmeier, K.G. Rotation-differential rotation relationships for late-type single and binary stars from Doppler imaging. Astron. Nachrichten 2017, 338, 903–909. [Google Scholar] [CrossRef]
- Pi, Q.f.; Zhang, L.y.; Bi, S.l.; Han, X.L.; Lu, H.p.; Yue, Q.; Long, L.; Yan, Y. Magnetic Activity and Orbital Period Study for the Short-period RS CVn-type Eclipsing Binary DV Psc. Astrophys. J. 2019, 877, 75. [Google Scholar] [CrossRef]
- Holzwarth, V.; Schüssler, M. Dynamics of magnetic flux tubes in close binary stars. I. Equilibrium and stability properties. Astron. Astrophys. 2003, 405, 291–301. [Google Scholar] [CrossRef]
- Holzwarth, V.; Schüssler, M. Dynamics of magnetic flux tubes in close binary stars. II. Nonlinear evolution and surface distributions. Astron. Astrophys. 2003, 405, 303–311. [Google Scholar] [CrossRef][Green Version]
- Kővári, Z.; Kriskovics, L.; Oláh, K.; Odert, P.; Leitzinger, M.; Seli, B.; Vida, K.; Borkovits, T.; Carroll, T. A confined dynamo: Magnetic activity of the K-dwarf component in the pre-cataclysmic binary system V471 Tauri. Astron. Astrophys. 2021, 650, A158. [Google Scholar] [CrossRef]
- Šmelcer, L.; Wolf, M.; Kučáková, H.; Bílek, F.; Dubovský, P.; Hoňková, K.; Vraštil, J. Flare activity on low-mass eclipsing binary GJ 3236*. Mon. Not. R. Astron. Soc. 2017, 466, 2542–2546. [Google Scholar] [CrossRef]
- Tan, B.; Cheng, Z. The mid-term and long-term solar quasi-periodic cycles and the possible relationship with planetary motions. Astrophys. Space Sci. 2013, 343, 511–521. [Google Scholar] [CrossRef][Green Version]
- Stefani, F.; Horstmann, G.M.; Klevs, M.; Mamatsashvili, G.; Weier, T. Rieger, Schwabe, Suess-de Vries: The Sunny Beats of Resonance. Sol. Phys. 2024, 299, 51. [Google Scholar] [CrossRef]
- Cherkis, S.A.; Lyutikov, M. Magnetic Topology in Coupled Binaries, Spin-orbital Resonances, and Flares. Astrophys. J. 2021, 923, 13. [Google Scholar] [CrossRef]
- Simon, T.; Linsky, J.L.; Schiffer, F.H., I. IUE spectra of a flare in the RS Canum Venaticorum-type system UX Arietis. Astrophys. J. 1980, 239, 911–918. [Google Scholar] [CrossRef][Green Version]
- Ferreira, J.M.; Mendoza-Briceño, C.A. Coronal mass transfer in interbinary loops. Astron. Astrophys. 2005, 433, 1055–1061. [Google Scholar] [CrossRef][Green Version]
- Decampli, W.M.; Baliunas, S.L. What tides and flares do to RS Canum Venaticorum binaries. Astrophys. J. 1979, 230, 815–821. [Google Scholar] [CrossRef]
- Hall, D.S.; Kreiner, J.M. Period changes and mass loss rates in 34 RS CVn binaries. Acta Astron. 1980, 30, 387–451. [Google Scholar]
- Mathieu, R.D.; Stassun, K.; Basri, G.; Jensen, E.L.N.; Johns-Krull, C.M.; Valenti, J.A.; Hartmann, L.W. The Classical T Tauri Spectroscopic Binary DQ Tau.I.Orbital Elements and Light Curves. Astrophys. J. 1997, 113, 1841. [Google Scholar] [CrossRef]
- Salter, D.M.; Kóspál, Á.; Getman, K.V.; Hogerheijde, M.R.; van Kempen, T.A.; Carpenter, J.M.; Blake, G.A.; Wilner, D. Recurring millimeter flares as evidence for star-star magnetic reconnection events in the DQ Tauri PMS binary system. Astron. Astrophys. 2010, 521, A32. [Google Scholar] [CrossRef]
- Walter, F.M.; Cash, W.; Charles, P.A.; Bowyer, C.S. X-rays from RS CVn systems: A HEAO 1 survey and the development of a coronal model. Astrophys. J. 1980, 236, 212–218. [Google Scholar] [CrossRef]
- Pres, P.; Siarkowski, M.; Sylwester, J. Soft X-ray imaging of the TY Pyx binary system—II. Modelling the interconnecting loop-like structure. Mon. Not. R. Astron. Soc. 1995, 275, 43–55. [Google Scholar] [CrossRef]
- Siarkowski, M.; Pres, P.; Drake, S.A.; White, N.E.; Singh, K.P. Corona(e) of AR Lacertae. II. The Spatial Structure. Astrophys. J. 1996, 473, 470. [Google Scholar] [CrossRef]
- Singh, G.; Pandey, J.C. An X-ray Study of Coronally Connected Active Eclipsing Binaries. Astrophys. J. 2022, 934, 20. [Google Scholar] [CrossRef]
- Ilin, E.; Poppenhäger, K.; Chebly, J.; Ilić, N.; Alvarado-Gómez, J.D. Planetary perturbers: Flaring star-planet interactions in Kepler and TESS. Mon. Not. R. Astron. Soc. 2024, 527, 3395–3417. [Google Scholar] [CrossRef]
- Shkolnik, E.; Bohlender, D.A.; Walker, G.A.H.; Collier Cameron, A. The On/Off Nature of Star-Planet Interactions. Astrophys. J. 2008, 676, 628–638. [Google Scholar] [CrossRef]
- Lanza, A.F. Stellar coronal magnetic fields and star-planet interaction. Astron. Astrophys. 2009, 505, 339–350. [Google Scholar] [CrossRef]
- Cohen, O.; Kashyap, V.L.; Drake, J.J.; Sokolov, I.V.; Garraffo, C.; Gombosi, T.I. The Dynamics of Stellar Coronae Harboring Hot Jupiters. I. A Time-dependent Magnetohydrodynamic Simulation of the Interplanetary Environment in the HD 189733 Planetary System. Astrophys. J. 2011, 733, 67. [Google Scholar] [CrossRef]
- Den, O.E.; Kornienko, G.I. Mass ejection during the flare of 12 March 1989 based on Hα filtergrams and spectrograms. Astron. Rep. 1993, 37, 76–82. [Google Scholar]
- Ding, M.D.; Chen, Q.R.; Li, J.P.; Chen, P.F. Hα and Hard X-ray Observations of a Two-Ribbon Flare Associated with a Filament Eruption. Astrophys. J. 2003, 598, 683–688. [Google Scholar] [CrossRef][Green Version]
- Ichimoto, K.; Ishii, T.T.; Otsuji, K.; Kimura, G.; Nakatani, Y.; Kaneda, N.; Nagata, S.; UeNo, S.; Hirose, K.; Cabezas, D.; et al. A New Solar Imaging System for Observing High-Speed Eruptions: Solar Dynamics Doppler Imager (SDDI). Sol. Phys. 2017, 292, 63. [Google Scholar] [CrossRef]
- Namekata, K.; Ichimoto, K.; Ishii, T.T.; Shibata, K. Sun-as-a-star Analysis of Hα Spectra of a Solar Flare Observed by SMART/SDDI: Time Evolution of Red Asymmetry and Line Broadening. Astrophys. J. 2022, 933, 209. [Google Scholar] [CrossRef]
- Otsu, T.; Asai, A.; Ichimoto, K.; Ishii, T.T.; Namekata, K. Sun-as-a-star Analyses of Various Solar Active Events Using Hα Spectral Images Taken by SMART/SDDI. Astrophys. J. 2022, 939, 98. [Google Scholar] [CrossRef]
- Otsu, T.; Asai, A. Multiwavelength Sun-as-a-star Analysis of the M8.7 Flare on 2022 October 2 Using Hα and EUV Spectra Taken by SMART/SDDI and SDO/EVE. Astrophys. J. 2024, 964, 75. [Google Scholar] [CrossRef]
- Leitzinger, M.; Odert, P.; Leka, K.D.; Heinzel, P.; Dissauer, K. Constraining stellar CMEs by solar observations. In Proceedings of the AGU Fall Meeting Abstracts, New Orleans, LA, USA, 13–17 December 2021; Volume 2021, p. U43B–06. [Google Scholar]
- Guenther, E.W.; Emerson, J.P. Spectrophotometry of flares and short time scale variations in weak line, and classical T Tauri stars in Chamaeleon. Astron. Astrophys. 1997, 321, 803–810. [Google Scholar]
- Gunn, A.G.; Doyle, J.G.; Mathioudakis, M.; Houdebine, E.R.; Avgoloupis, S. High-velocity evaporation during a flare on AT Microscopii. Astron. Astrophys. 1994, 285, 489–496. [Google Scholar]
- Şenavcı, H.V.; Bahar, E.; Montes, D.; Zola, S.; Hussain, G.A.J.; Frasca, A.; Işık, E.; Yörükoǧlu, O. Star-spot distributions and chromospheric activity on the RS CVn type eclipsing binary SV Cam. Mon. Not. R. Astron. Soc. 2018, 479, 875–889. [Google Scholar] [CrossRef]
- Leitzinger, M.; Odert, P.; Greimel, R. Observations and detectability of young Suns’ flaring and CME activity in optical spectra. Mon. Not. R. Astron. Soc. 2024; submitted. [Google Scholar]
- Namekata, K.; Airapetian, V.S.; Petit, P.; Maehara, H.; Ikuta, K.; Inoue, S.; Notsu, Y.; Paudel, R.R.; Arzoumanian, Z.; Avramova-Boncheva, A.A.; et al. Multiwavelength Campaign Observations of a Young Solar-type Star, EK Draconis. I. Discovery of Prominence Eruptions Associated with Superflares. Astrophys. J. 2024, 961, 23. [Google Scholar] [CrossRef]
- Leitzinger, M.; Odert, P.; Heinzel, P. Modeling Balmer line signatures of stellar CMEs. Mon. Not. R. Astron. Soc. 2022, 513, 6058–6073. [Google Scholar] [CrossRef]
- Fuhrmeister, B.; Schmitt, J.H.M.M. Detection and high-resolution spectroscopy of a huge flare on the old M 9 dwarf DENIS 104814.7-395606.1. Astron. Astrophys. 2004, 420, 1079–1085. [Google Scholar] [CrossRef]
- Honda, S.; Notsu, Y.; Namekata, K.; Notsu, S.; Maehara, H.; Ikuta, K.; Nogami, D.; Shibata, K. Time-resolved spectroscopic observations of an M-dwarf flare star EV Lacertae during a flare. Publ. Astron. Soc. Jpn. 2018, 70, 62. [Google Scholar] [CrossRef]
- Muheki, P.; Guenther, E.W.; Mutabazi, T.; Jurua, E. High-resolution spectroscopy of flares and CMEs on AD Leonis. Astron. Astrophys. 2020, 637, A13. [Google Scholar] [CrossRef]
- Muheki, P.; Guenther, E.W.; Mutabazi, T.; Jurua, E. Properties of flares and CMEs on EV Lac: Possible erupting filament. Mon. Not. R. Astron. Soc. 2020, 499, 5047–5058. [Google Scholar] [CrossRef]
- Maehara, H.; Notsu, Y.; Namekata, K.; Honda, S.; Kowalski, A.F.; Katoh, N.; Ohshima, T.; Iida, K.; Oeda, M.; Murata, K.L.; et al. Time-resolved spectroscopy and photometry of M dwarf flare star YZ Canis Minoris with OISTER and TESS: Blue asymmetry in the Hα line during the non-white light flare. Publ. Astron. Soc. Jpn. 2021, 73, 44–65. [Google Scholar] [CrossRef]
- Johnson, E.N.; Czesla, S.; Fuhrmeister, B.; Schöfer, P.; Shan, Y.; Cardona Guillén, C.; Reiners, A.; Jeffers, S.V.; Lalitha, S.; Luque, R.; et al. Simultaneous photometric and CARMENES spectroscopic monitoring of fast-rotating M dwarf GJ 3270. Discovery of a post-flare corotating feature. Astron. Astrophys. 2021, 651, A105. [Google Scholar] [CrossRef]
- Wang, J.; Xin, L.P.; Li, H.L.; Li, G.W.; Sun, S.S.; Gao, C.; Han, X.H.; Dai, Z.G.; Liang, E.W.; Wang, X.Y.; et al. Detection of Flare-associated CME Candidates on Two M-dwarfs by GWAC and Fast, Time-resolved Spectroscopic Follow-ups. Astrophys. J. 2021, 916, 92. [Google Scholar] [CrossRef]
- Wang, J.; Li, H.L.; Xin, L.P.; Li, G.W.; Bai, J.Y.; Gao, C.; Ren, B.; Song, D.; Deng, J.S.; Han, X.H.; et al. Flaring-associated Complex Dynamics in Two M Dwarfs Revealed by Fast, Time-resolved Spectroscopy. Astrophys. J. 2022, 934, 98. [Google Scholar] [CrossRef]
- López-Santiago, J.; Montes, D.; Fernández-Figueroa, M.J.; Ramsey, L.W. Rotational modulation of the photospheric and chromospheric activity in the young, single K2-dwarf PW And. Astron. Astrophys. 2003, 411, 489–502. [Google Scholar] [CrossRef][Green Version]
- Hill, C.A.; Carmona, A.; Donati, J.F.; Hussain, G.A.J.; Gregory, S.G.; Alencar, S.H.P.; Bouvier, J.; Matysse Collaboration. Magnetic activity and radial velocity filtering of young Suns: The weak-line T-Tauri stars Par 1379 and Par 2244. Mon. Not. R. Astron. Soc. 2017, 472, 1716–1735. [Google Scholar] [CrossRef]
- Leitzinger, M.; Odert, P.; Greimel, R.; Korhonen, H.; Guenther, E.W.; Hanslmeier, A.; Lammer, H.; Khodachenko, M.L. A search for flares and mass ejections on young late-type stars in the open cluster Blanco-1. Mon. Not. R. Astron. Soc. 2014, 443, 898–910. [Google Scholar] [CrossRef]
- Korhonen, H.; Vida, K.; Leitzinger, M.; Odert, P.; Kovács, O.E. Hunting for Stellar Coronal Mass Ejections. In Proceedings of the Living Around Active Stars; Nandy, D., Valio, A., Petit, P., Eds.; Cambridge University Press: Cambridge, UK, 2017; Volume 328, pp. 198–203. [Google Scholar] [CrossRef]
- Vida, K.; Seli, B.; Roettenbacher, R.; Görgei, A.; Kriskovics, L.; Kővári, Z.; Oláh, K. Searching for stellar CMEs in the Praesepe and Pleiades clusters. In Proceedings of the IAU Symposium 388: Solar & Stellar Coronal Mass Ejections, Submitted, Krakow, Poland, 5–10 May 2024. [Google Scholar]
- Leitzinger, M.; Odert, P.; Greimel, R.; Vida, K.; Kriskovics, L.; Guenther, E.W.; Korhonen, H.; Koller, F.; Hanslmeier, A.; Kővári, Z.; et al. A census of coronal mass ejections on solar-like stars. Mon. Not. R. Astron. Soc. 2020, 493, 4570–4589. [Google Scholar] [CrossRef]
- Fuhrmeister, B.; Czesla, S.; Schmitt, J.H.M.M.; Jeffers, S.V.; Caballero, J.A.; Zechmeister, M.; Reiners, A.; Ribas, I.; Amado, P.J.; Quirrenbach, A.; et al. The CARMENES search for exoplanets around M dwarfs. Wing asymmetries of Hα, Na I D, and He I lines. Astron. Astrophys. 2018, 615, A14. [Google Scholar] [CrossRef]
- Koller, F.; Leitzinger, M.; Temmer, M.; Odert, P.; Beck, P.G.; Veronig, A. Search for flares and associated CMEs on late-type main-sequence stars in optical SDSS spectra. Astron. Astrophys. 2021, 646, A34. [Google Scholar] [CrossRef]
- Lu, H.p.; Tian, H.; Zhang, L.y.; Karoff, C.; Chen, H.c.; Shi, J.r.; Hou, Z.y.; Chen, Y.j.; Xu, Y.; Wu, Y.c.; et al. Possible detection of coronal mass ejections on late-type main-sequence stars in LAMOST medium-resolution spectra. Astron. Astrophys. 2022, 663, A140. [Google Scholar] [CrossRef]
- Chen, H.; Tian, H.; Li, H.; Wang, J.; Lu, H.; Xu, Y.; Hou, Z.; Wu, Y. Detection of Flare-induced Plasma Flows in the Corona of EV Lac with X-ray Spectroscopy. Astrophys. J. 2022, 933, 92. [Google Scholar] [CrossRef]
- Xu, Y.; Tian, H.; Hou, Z.; Yang, Z.; Gao, Y.; Bai, X. Sun-as-a-star Spectroscopic Observations of the Line-of-sight Velocity of a Solar Eruption on 2021 October 28. Astrophys. J. 2022, 931, 76. [Google Scholar] [CrossRef]
- Lu, H.p.; Tian, H.; Chen, H.c.; Xu, Y.; Hou, Z.y.; Bai, X.y.; Tan, G.y.; Yang, Z.h.; Ren, J. Full Velocities and Propagation Directions of Coronal Mass Ejections Inferred from Simultaneous Full-disk Imaging and Sun-as-a-star Spectroscopic Observations. Astrophys. J. 2023, 953, 68. [Google Scholar] [CrossRef]
- Abdul-Aziz, H.; Abranin, E.P.; Alekseev, I.Y.; Avgoloupis, S.; Bazelyan, L.L.; Beskin, G.M.; Brazhenko, A.I.; Chalenko, N.N.; Cutispoto, G.; Fuensalida, J.J.; et al. Coordinated observations of the red dwarf flare star EV Lacertae in 1992. Astron. Astrophys. 1995, 114, 509. [Google Scholar]
- Abranin, E.P.; Alekseev, I.Y.; Avgoloupis, S.; Bazelyan, L.L.; Berdyugina, S.V.; Cutispoto, G.; Gershberg, R.E.; Larionov, V.M.; Leto, G.; Lisachenko, V.N.; et al. Coordinated Observations of the Red Dwarf Flare Star EV LAC in 1994 and 1995. Astron. Astrophys. Trans. 1998, 17, 221–262. [Google Scholar] [CrossRef]
- Leitzinger, M.; Odert, P.; Hanslmeier, A.; Konovalenko, A.A.; Vanko, M.; Khodachenko, M.L.; Lammer, H.; Rucker, H.O. Decametric observations of active M-dwarfs. AIP Conf. Proc. 2009, 1094, 680–683. [Google Scholar] [CrossRef]
- Boiko, A.I.; Konovalenko, A.A.; Koliadin, V.L.; Melnik, V.N. Search of the radio emission from flare stars at decameter wavelengths. Adv. Astron. Space Phys. 2012, 2, 121–124. [Google Scholar]
- Konovalenko, A.A.; Koliadin, V.L.; Boiko, A.I.; Zarka, P.; Griessmeier, J.M.; Denis, L.; Coffre, A.; Rucker, H.O.; Zaitsev, V.V.; Litvinenko, G.V.; et al. Analysis of the flare stars radio bursts parameters at the decameter wavelengths. In Proceedings of the European Planetary Science Congress 2012, Madrid, Spain, 23–28 September 2012; p. EPSC2012–902. [Google Scholar]
- Crosley, M.K.; Osten, R.A.; Broderick, J.W.; Corbel, S.; Eislöffel, J.; Grießmeier, J.M.; van Leeuwen, J.; Rowlinson, A.; Zarka, P.; Norman, C. The Search for Signatures of Transient Mass Loss in Active Stars. Astrophys. J. 2016, 830, 24. [Google Scholar] [CrossRef]
- Crosley, M.K.; Osten, R.A. Low-frequency Radio Transients on the Active M-dwarf EQ Peg and the Search for Coronal Mass Ejections. Astrophys. J. 2018, 862, 113. [Google Scholar] [CrossRef]
- Crosley, M.K.; Osten, R.A. Constraining Stellar Coronal Mass Ejections through Multi-wavelength Analysis of the Active M Dwarf EQ Peg. Astrophys. J. 2018, 856, 39. [Google Scholar] [CrossRef]
- Villadsen, J.; Hallinan, G. Ultra-wideband Detection of 22 Coherent Radio Bursts on M Dwarfs. Astrophys. J. 2019, 871, 214. [Google Scholar] [CrossRef]
- Mullan, D.J.; Paudel, R.R. Origin of Radio-quiet Coronal Mass Ejections in Flare Stars. Astrophys. J. 2019, 873, 1. [Google Scholar] [CrossRef]
- Zic, A.; Murphy, T.; Lynch, C.; Heald, G.; Lenc, E.; Kaplan, D.L.; Cairns, I.H.; Coward, D.; Gendre, B.; Johnston, H.; et al. A Flare-type IV Burst Event from Proxima Centauri and Implications for Space Weather. Astrophys. J. 2020, 905, 23. [Google Scholar] [CrossRef]
- Kahler, S.; Golub, L.; Harnden, F.R.; Liller, W.; Seward, F.; Vaiana, G.; Lovell, B.; Davis, R.J.; Spencer, R.E.; Whitehouse, D.R.; et al. Coordinated X-ray, optical and radio observations of flaring activityon YZ Canis Minoris. Astrophys. J. 1982, 252, 239–249. [Google Scholar] [CrossRef][Green Version]
- Bloot, S.; Callingham, J.R.; Vedantham, H.K.; Kavanagh, R.D.; Pope, B.J.S.; Climent, J.B.; Guirado, J.C.; Peña-Moñino, L.; Pérez-Torres, M. Phenomenology and periodicity of radio emission from the stellar system AU Microscopii. Astron. Astrophys. 2024, 682, A170. [Google Scholar] [CrossRef]
- Mohan, A.; Mondal, S.; Wedemeyer, S.; Gopalswamy, N. Energetic particle activity in AD Leo: Detection of a solar-like type-IV burst. arXiv 2024, arXiv:2402.00185. [Google Scholar] [CrossRef]
- Veronig, A.M.; Odert, P.; Leitzinger, M.; Dissauer, K.; Fleck, N.C.; Hudson, H.S. Indications of stellar coronal mass ejections through coronal dimmings. Nat. Astron. 2021, 5, 697–706. [Google Scholar] [CrossRef]
- Loyd, R.O.P.; Mason, J.P.; Jin, M.; Shkolnik, E.L.; France, K.; Youngblood, A.; Villadsen, J.; Schneider, C.; Schneider, A.C.; Llama, J.; et al. Constraining the Physical Properties of Stellar Coronal Mass Ejections with Coronal Dimming: Application to Far-ultraviolet Data of ϵ Eridani. Astrophys. J. 2022, 936, 170. [Google Scholar] [CrossRef]
- Haisch, B.M.; Linsky, J.L.; Bornmann, P.L.; Stencel, R.E.; Antiochos, S.K.; Golub, L.; Vaiana, G.S. Coordinated Einstein and IUE observations of a disparitions brusques type flare event and quiescent emission from Proxima Centauri. Astrophys. J. 1983, 267, 280–290. [Google Scholar] [CrossRef]
- Tsuboi, Y.; Koyama, K.; Murakami, H.; Hayashi, M.; Skinner, S.; Ueno, S. ASCA Detection of a Superhot 100 Million K X-ray Flare on the Weak-Lined T Tauri Star V773 Tauri. Astrophys. J. 1998, 503, 894–901. [Google Scholar] [CrossRef]
- Briggs, K.R.; Pye, J.P. XMM-Newton and the Pleiades—I. Bright coronal sources and the X-ray emission from intermediate-type stars. Mon. Not. R. Astron. Soc. 2003, 345, 714–726. [Google Scholar] [CrossRef]
- Ottmann, R.; Schmitt, J.H.M.M. ROSAT observation of a giant X-ray flare on Algol: Evidence for abundance variations? Astron. Astrophys. 1996, 307, 813–823. [Google Scholar]
- Favata, F.; Schmitt, J.H.M.M. Spectroscopic analysis of a super-hot giant flare observed on Algol by BeppoSAX on 30 August 1997. Astron. Astrophys. 1999, 350, 900–916. [Google Scholar]
- Franciosini, E.; Pallavicini, R.; Tagliaferri, G. BeppoSAX observation of a large long-duration X-ray flare from UX Arietis. Astron. Astrophys. 2001, 375, 196–204. [Google Scholar] [CrossRef]
- Pandey, J.C.; Singh, K.P. A study of X-ray flares—II. RS CVn-type binaries. Mon. Not. R. Astron. Soc. 2012, 419, 1219–1237. [Google Scholar] [CrossRef]
- Moschou, S.P.; Drake, J.J.; Cohen, O.; Alvarado-Gomez, J.D.; Garraffo, C. A Monster CME Obscuring a Demon Star Flare. Astrophys. J. 2017, 850, 191. [Google Scholar] [CrossRef]
- Bond, H.E.; Mullan, D.J.; O’Brien, M.S.; Sion, E.M. Detection of Coronal Mass Ejections in V471 Tauri with the Hubble Space Telescope. Astrophys. J. 2001, 560, 919–927. [Google Scholar] [CrossRef]
- Aarnio, A.N.; Matt, S.P.; Stassun, K.G. Mass Loss in Pre-main-sequence Stars via Coronal Mass Ejections and Implications for Angular Momentum Loss. Astrophys. J. 2012, 760, 9. [Google Scholar] [CrossRef]
- Drake, J.J.; Cohen, O.; Yashiro, S.; Gopalswamy, N. Implications of Mass and Energy Loss due to Coronal Mass Ejections on Magnetically Active Stars. Astrophys. J. 2013, 764, 170. [Google Scholar] [CrossRef]
- Odert, P.; Leitzinger, M.; Hanslmeier, A.; Lammer, H. Stellar coronal mass ejections—I. Estimating occurrence frequencies and mass-loss rates. Mon. Not. R. Astron. Soc. 2017, 472, 876–890. [Google Scholar] [CrossRef]
- Wood, B.E.; Müller, H.R.; Zank, G.P.; Linsky, J.L.; Redfield, S. New Mass-Loss Measurements from Astrospheric Lyα Absorption. Astrophys. J. 2005, 628, L143–L146. [Google Scholar] [CrossRef]
- Wood, B.E.; Müller, H.R.; Redfield, S.; Konow, F.; Vannier, H.; Linsky, J.L.; Youngblood, A.; Vidotto, A.A.; Jardine, M.; Alvarado-Gómez, J.D.; et al. New Observational Constraints on the Winds of M dwarf Stars. Astrophys. J. 2021, 915, 37. [Google Scholar] [CrossRef]
- Osten, R.A.; Wolk, S.J. Connecting Flares and Transient Mass-loss Events in Magnetically Active Stars. Astrophys. J. 2015, 809, 79. [Google Scholar] [CrossRef]
- Cranmer, S.R. Mass-loss Rates from Coronal Mass Ejections: A Predictive Theoretical Model for Solar-type Stars. Astrophys. J. 2017, 840, 114. [Google Scholar] [CrossRef]
- Odert, P.; Leitzinger, M.; Guenther, E.W.; Heinzel, P. Stellar coronal mass ejections—II. Constraints from spectroscopic observations. Mon. Not. R. Astron. Soc. 2020, 494, 3766–3783. [Google Scholar] [CrossRef]
- Heinzel, P. Multilevel NLTE radiative transfer in isolated atmospheric structures: Implementation of the MALI-technique. Astron. Astrophys. 1995, 299, 563. [Google Scholar]
- Heinzel, P.; Mein, N.; Mein, P. Cloud model with variable source function for solar Hα structures. II. Dynamical models. Astron. Astrophys. 1999, 346, 322–328. [Google Scholar]
- Ikuta, K.; Shibata, K. Simple Model for Temporal Variations of Hα Spectrum by an Eruptive Filament from a Superflare on a Solar-type Star. Astrophys. J. 2024, 963, 50. [Google Scholar] [CrossRef]
- Wilson, M.L.; Raymond, J.C. Solar Coronal Mass Ejections Plasma Diagnostics Expressed as Potential Stellar CME Signatures. Astrophys. J. 2022, 164, 108. [Google Scholar] [CrossRef]
- Yang, Z.; Tian, H.; Zhu, Y.; Xu, Y.; Chen, L.; Sun, Z. Is It Possible to Detect Coronal Mass Ejections on Solar-type Stars through Extreme-ultraviolet Spectral Observations? Astrophys. J. 2024, 966, 24. [Google Scholar] [CrossRef]
- Cully, S.L.; Fisher, G.H.; Abbott, M.J.; Siegmund, O.H.W. A coronal mass ejection model for the 1992 July 15 flare on AU Microscopii observed by the extreme ultraviolet explorer. Astrophys. J. 1994, 435, 449. [Google Scholar] [CrossRef]
- Katsova, M.M.; Drake, J.J.; Livshits, M.A. New Insights into the Large 1992 July 15-17 Flare on AU Microscopii: The First Detection of Posteruptive Energy Release on a Red Dwarf Star. Astrophys. J. 1999, 510, 986–998. [Google Scholar] [CrossRef]
- Alvarado-Gómez, J.D.; Drake, J.J.; Fraschetti, F.; Garraffo, C.; Cohen, O.; Vocks, C.; Poppenhäger, K.; Moschou, S.P.; Yadav, R.K.; Manchester, W.B., IV. Tuning the Exospace Weather Radio for Stellar Coronal Mass Ejections. Astrophys. J. 2020, 895, 47. [Google Scholar] [CrossRef]
- Ó Fionnagáin, D.; Kavanagh, R.D.; Vidotto, A.A.; Jeffers, S.V.; Petit, P.; Marsden, S.; Morin, J.; Golden, A. Coronal Mass Ejections and Type II Radio Emission Variability during a Magnetic Cycle on the Solar-type Star ϵ Eridani. Astrophys. J. 2022, 924, 115. [Google Scholar] [CrossRef]
- Jin, M.; Cheung, M.C.M.; DeRosa, M.L.; Nitta, N.V.; Schrijver, C.J.; France, K.; Kowalski, A.; Mason, J.P.; Osten, R. Coronal dimming as a proxy for stellar coronal mass ejections. In Proceedings of the Solar and Stellar Magnetic Fields: Origins and Manifestations; Kosovichev, A., Strassmeier, S., Jardine, M., Eds.; Cambridge University: Cambridge, UK, 2020; Volume 354, pp. 426–432. [Google Scholar] [CrossRef]
- Alvarado-Gómez, J.D.; Drake, J.J.; Cohen, O.; Moschou, S.P.; Garraffo, C. Suppression of Coronal Mass Ejections in Active Stars by an Overlying Large-scale Magnetic Field: A Numerical Study. Astrophys. J. 2018, 862, 93. [Google Scholar] [CrossRef]
- Alvarado-Gómez, J.D.; Drake, J.J.; Moschou, S.P.; Garraffo, C.; Cohen, O.; NASA LWS Focus Science Team: Solar-Stellar Connection; Yadav, R.K.; Fraschetti, F. Coronal Response to Magnetically Suppressed CME Events in M-dwarf Stars. Astrophys. J. 2019, 884, L13. [Google Scholar] [CrossRef]
- Sun, X.; Török, T.; DeRosa, M.L. Torus-stable zone above starspots. Mon. Not. R. Astron. Soc. 2022, 509, 5075–5085. [Google Scholar] [CrossRef]
- Lynch, B.J.; Airapetian, V.S.; DeVore, C.R.; Kazachenko, M.D.; Lüftinger, T.; Kochukhov, O.; Rosén, L.; Abbett, W.P. Modeling a Carrington-scale Stellar Superflare and Coronal Mass Ejection from κ1 Cet. Astrophys. J. 2019, 880, 97. [Google Scholar] [CrossRef]
- Kay, C.; Opher, M.; Kornbleuth, M. Probability of CME Impact on Exoplanets Orbiting M Dwarfs and Solar-like Stars. Astrophys. J. 2016, 826, 195. [Google Scholar] [CrossRef]
- Kay, C.; Airapetian, V.S.; Lüftinger, T.; Kochukhov, O. Frequency of Coronal Mass Ejection Impacts with Early Terrestrial Planets and Exoplanets around Active Solar-like Stars. Astrophys. J. 2019, 886, L37. [Google Scholar] [CrossRef]
- Menezes, F.; Valio, A.; Netto, Y.; Araújo, A.; Kay, C.; Opher, M. Trajectories of coronal mass ejection from solar-type stars. Mon. Not. R. Astron. Soc. 2023, 522, 4392–4403. [Google Scholar] [CrossRef]
- Mandal, S.; Chatterjee, S.; Banerjee, D. Solar Active Longitudes from Kodaikanal White-light Digitized Data. Astrophys. J. 2017, 835, 62. [Google Scholar] [CrossRef]
- Oláh, K.; van Driel-Gesztelyi, L.; Kővári, Z.; Bartus, J. Modelling the Sun as an active star. I. A diagnosis of photometric starspot models. Astron. Astrophys. 1999, 344, 163–171. [Google Scholar]
- Lustig-Yaeger, J.; Fu, G.; May, E.M.; Ceballos, K.N.O.; Moran, S.E.; Peacock, S.; Stevenson, K.B.; Kirk, J.; López-Morales, M.; MacDonald, R.J.; et al. A JWST transmission spectrum of the nearby Earth-sized exoplanet LHS 475 b. Nat. Astron. 2023, 7, 1317–1328. [Google Scholar] [CrossRef]
- Héder, M.; Rigó, E.; Medgyesi, D.; Lovas, R.; Tenczer, S.; Török, F.; Farkas, A.; Emődi, M.; Kadlecsik, J.; Mező, G.; et al. The Past, Present and Future of the ELKH Cloud. Inf. Társad. 2022, 22, 128. [Google Scholar] [CrossRef]













Disclaimer/Publisher’s Note: The statements, opinions and data contained in all publications are solely those of the individual author(s) and contributor(s) and not of MDPI and/or the editor(s). MDPI and/or the editor(s) disclaim responsibility for any injury to people or property resulting from any ideas, methods, instructions or products referred to in the content. |
© 2024 by the authors. Licensee MDPI, Basel, Switzerland. This article is an open access article distributed under the terms and conditions of the Creative Commons Attribution (CC BY) license (https://creativecommons.org/licenses/by/4.0/).
Share and Cite
Vida, K.; Kővári, Z.; Leitzinger, M.; Odert, P.; Oláh, K.; Seli, B.; Kriskovics, L.; Greimel, R.; Görgei, A.M. Stellar Flares, Superflares, and Coronal Mass Ejections—Entering the Big Data Era. Universe 2024, 10, 313. https://doi.org/10.3390/universe10080313
Vida K, Kővári Z, Leitzinger M, Odert P, Oláh K, Seli B, Kriskovics L, Greimel R, Görgei AM. Stellar Flares, Superflares, and Coronal Mass Ejections—Entering the Big Data Era. Universe. 2024; 10(8):313. https://doi.org/10.3390/universe10080313
Chicago/Turabian StyleVida, Krisztián, Zsolt Kővári, Martin Leitzinger, Petra Odert, Katalin Oláh, Bálint Seli, Levente Kriskovics, Robert Greimel, and Anna Mária Görgei. 2024. "Stellar Flares, Superflares, and Coronal Mass Ejections—Entering the Big Data Era" Universe 10, no. 8: 313. https://doi.org/10.3390/universe10080313
APA StyleVida, K., Kővári, Z., Leitzinger, M., Odert, P., Oláh, K., Seli, B., Kriskovics, L., Greimel, R., & Görgei, A. M. (2024). Stellar Flares, Superflares, and Coronal Mass Ejections—Entering the Big Data Era. Universe, 10(8), 313. https://doi.org/10.3390/universe10080313

