Thermodynamics of Magnetic Black Holes with Nonlinear Electrodynamics in Extended Phase Space
Abstract
1. Introduction
2. Black Hole Solution in Einstein–AdS Theory
3. First Law of Black Hole Thermodynamics and Smarr Relation
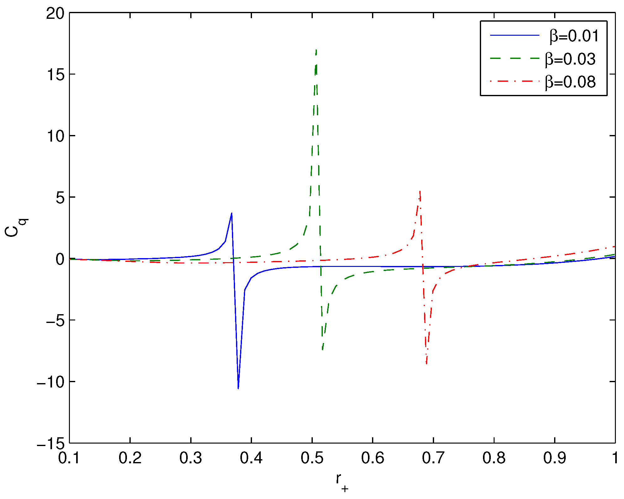
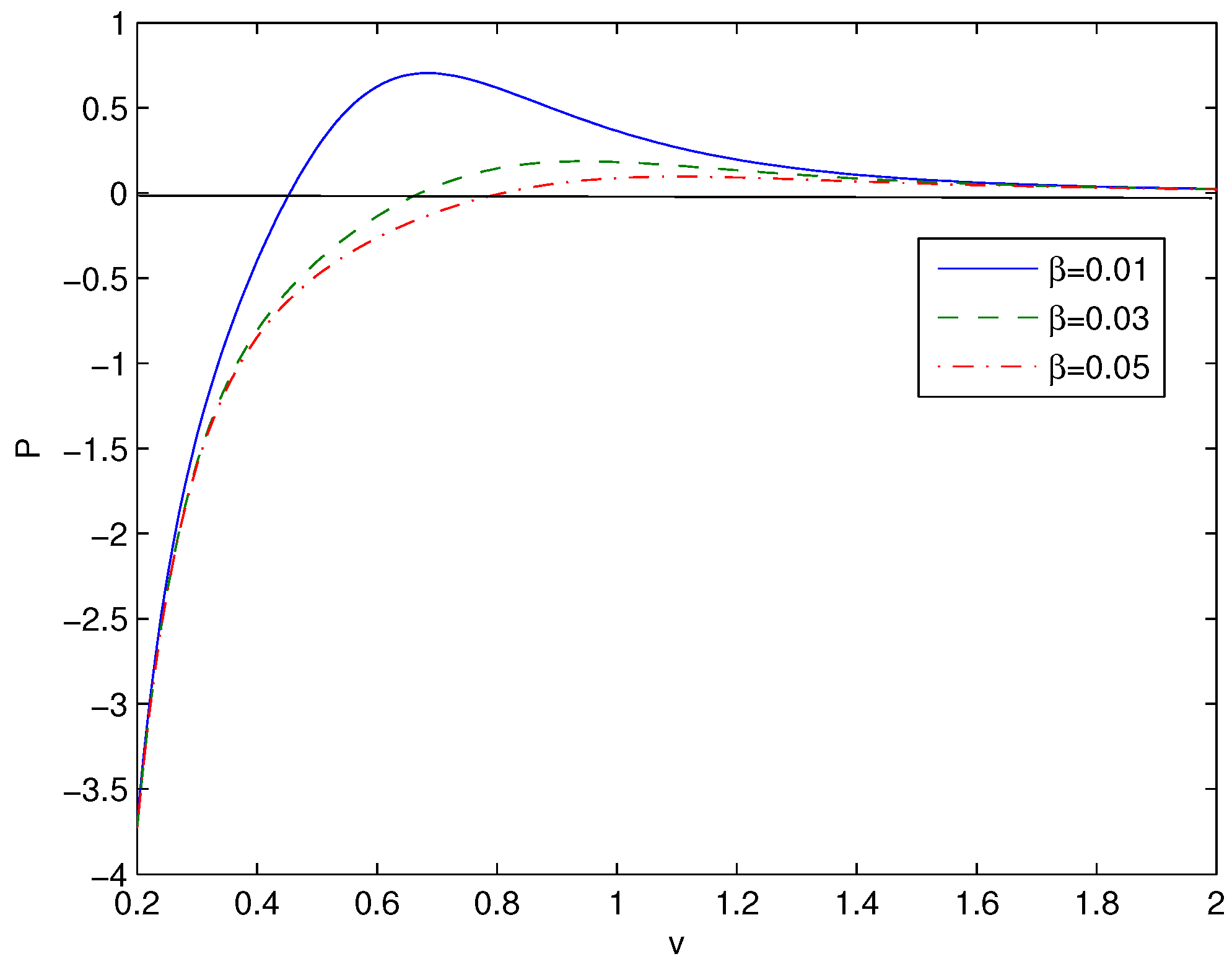
4. Thermodynamics of Black Hole
5. Summary
Funding
Data Availability Statement
Conflicts of Interest
References
- Bardeen, J.M.; Carter, B.; Hawking, S.W. The four laws of black hole mechanics. Commun. Math. Phys. 1973, 31, 161–170. [Google Scholar] [CrossRef]
- Jacobson, T. Thermodynamics of space-time: The Einstein equation of state. Phys. Rev. Lett. 1995, 75, 1260–1263. [Google Scholar] [CrossRef] [PubMed]
- Padmanabhan, T. Thermodynamical Aspects of Gravity: New insights. Rept. Prog. Phys. 2010, 73, 046901. [Google Scholar] [CrossRef]
- Bekenstein, J.D. Black holes and entropy. Phys. Rev. D 1973, 7, 2333–2346. [Google Scholar] [CrossRef]
- Hawking, S.W. Particle Creation by Black Holes. Commun. Math. Phys. 1975, 43, 199–220. [Google Scholar] [CrossRef]
- Maldacena, J.M. The large N limit of superconformal field theories and supergravity. Int. J. Theor. Phys. 1999, 38, 1113–1133. [Google Scholar] [CrossRef]
- Hawking, S.; Page, D.N. Thermodynamics of Black Holes in anti-De Sitter Space. Commun. Math. Phys. 1983, 87, 577. [Google Scholar] [CrossRef]
- Cvetic, M.; Gubser, S.S. Phases of R charged black holes, spinning branes and strongly coupled gauge theories. J. High Energy Phys. 1999, 9904, 024. [Google Scholar] [CrossRef]
- Cvetic, M.; Gubser, S. Thermodynamic stability and phases of general spinning branes. J. High Energy Phys. 1999, 9907, 010. [Google Scholar] [CrossRef]
- Chamblin, A.; Emparan, R.; Johnson, C.; Myers, R. Charged AdS black holes and catastrophic holography. Phys. Rev. D 1999, 60, 064018. [Google Scholar] [CrossRef]
- Chamblin, A.; Emparan, R.; Johnson, C.; Myers, R. Holography, thermodynamics and fluctuations of charged AdS black holes. Phys. Rev. D 1999, 60, 104026. [Google Scholar] [CrossRef]
- Caldarelli, M.M.; Cognola, G.; Klemm, D. Thermodynamics of Kerr-Newman-AdS black holes and conformal field theories. Class. Quant. Grav. 2000, 17, 399–420. [Google Scholar] [CrossRef]
- Kastor, D.; Ray, S.; Traschen, J. Enthalpy and the Mechanics of AdS Black Holes. Class. Quant. Grav. 2009, 26, 195011. [Google Scholar] [CrossRef]
- Dolan, B. The cosmological constant and the black hole equation of state. Class. Quant. Grav. 2011, 28, 125020. [Google Scholar] [CrossRef]
- Dolan, B.P. Pressure and volume in the first law of black hole thermodynamics. Class. Quant. Grav. 2011, 28, 235017. [Google Scholar] [CrossRef]
- Dolan, B.P. Compressibility of rotating black holes. Phys. Rev. D 2011, 84, 127503. [Google Scholar] [CrossRef]
- Cvetic, M.; Gibbons, G.; Kubiznak, D.; Pope, C. Black Hole Enthalpy and an Entropy Inequality for the Thermodynamic Volume. Phys. Rev. D 2011, 84, 024037. [Google Scholar] [CrossRef]
- Lu, H.; Pang, Y.; Pope, C.N.; Vazquez-Poritz, J.F. AdS and Lifshitz Black Holes in Conformal and Einstein-Weyl Gravities. Phys. Rev. D 2012, 86, 044011. [Google Scholar] [CrossRef]
- Gibbons, G.W.; Kallosh, R.; Kol, B. Moduli, scalar charges, and the first law of black hole thermodynamics. Phys. Rev. Lett. 1996, 77, 4992–4995. [Google Scholar] [CrossRef] [PubMed]
- Creighton, J.; Mann, R.B. Quasilocal thermodynamics of dilaton gravity coupled to gauge fields. Phys. Rev. D 1995, 52, 4569–4587. [Google Scholar] [CrossRef]
- Smarr, L. Mass formula for Kerr black holes. Phys. Rev. Lett. 1973, 30, 71–73. [Google Scholar] [CrossRef]
- Kubiznak, D.; Mann, R.B. Black hole chemistry. Can. J. Phys. 2015, 93, 999–1002. [Google Scholar] [CrossRef]
- Kubiznak, D.; Mann, R.B.; Teo, M. Black hole chemistry: Thermodynamics with Lambda. Class. Quant. Grav. 2017, 34, 063001. [Google Scholar] [CrossRef]
- Gunasekaran, S.; Mann, R.B.; Kubiznak, D. Extended phase space thermodynamics for charged and rotating black holes and Born—Infeld vacuum polarization. J. High Energy Phys. 2012, 1211, 110. [Google Scholar] [CrossRef]
- Born, M.; Infeld, L. Foundations of the new field theory. Proc. Royal Soc. 1934, 144, 425–451. [Google Scholar] [CrossRef]
- Cataldo, M.; Garcia, A. Three dimensional black hole coupled to the Born–Infeld electrodynamics. Phys. Lett. B 1999, 456, 28–33. [Google Scholar] [CrossRef]
- Cai, R.G.; Pang, D.W.; Wang, A. Born–Infeld black holes in AdS spaces. Phys. Rev. D 2004, 70, 124034. [Google Scholar] [CrossRef]
- Kruglov, S.I. Born—Infeld-type electrodynamics and magnetic black holes. Ann. Phys. 2017, 383, 550–559. [Google Scholar] [CrossRef]
- Yang, K.; Gu, B.M.; Wei, S.W.; Liu, Y.X. Born—Infeld black holes in 4D Einstein—Gauss—Bonnet gravity. Eur. Phys. J. C 2020, 80, 662. [Google Scholar] [CrossRef]
- Zhang, C.-M.; Zhang, M.; Zou, D.-C. Joule—Thomson expansion of Born—Infeld AdS black holes in consistent 4D Einstein–Gauss–Bonnet gravity. Mod. Phys. Lett. A 2022, 37, 2250063. [Google Scholar] [CrossRef]
- Yerra, P.K.; Bhamidipati, C. Topology of Born–Infeld AdS black holes in 4D novel Einstein–Gauss–Bonnet gravity. Phys. Lett. B 2022, 835, 137591. [Google Scholar] [CrossRef]
- Heisenberg, W.; Euler, H. Consequences of Dirac’s theory of positrons. Z. Phys. 1936, 98, 714–732. [Google Scholar] [CrossRef]
- Kruglov, S.I. Magnetic black hole thermodynamics in an extended phase space with nonlinear electrodynamics. Entropy 2024, 26, 261. [Google Scholar] [CrossRef] [PubMed]
- Kruglov, S.I. Magnetized black holes and nonlinear electrodynamics. Int. J. Mod. Phys. A 2017, 32, 1750147. [Google Scholar] [CrossRef]
- Kruglov, S.I. Inflation of universe due to nonlinear electrodynamics. Int. J. Mod. Phys. A 2017, 32, 1750071. [Google Scholar] [CrossRef]
- Bronnikov, K.A. Regular magnetic black holes and monopoles from nonlinear electrodynamics. Phys. Rev. D 2001, 63, 044005. [Google Scholar] [CrossRef]
- Kubiznak, D.; Mann, R.B. P-V criticality of charged AdS black holes. J. High Energy Phys. 2012, 7, 033. [Google Scholar] [CrossRef]
- Cong, W.; Kubiznak, D.; Mann, R.B.; Visser, M. Holographic CFT Phase Transitions and Criticality for Charged AdS Black Holes. J. High Energy Phys. 2022, 8, 174. [Google Scholar] [CrossRef]
- Gubser, S.S.; Mitra, I. The evolution of unstable black holes in anti-de Sitter space. J. High Energy Phys. 2001, 8, 018. [Google Scholar] [CrossRef]
- Hendi, S.H.; Dehghani, A. Criticality and extended phase space thermodynamics of AdS black holes in higher curvature massive gravity. Eur. Phys. J. C 2019, 79, 227. [Google Scholar] [CrossRef]
- Akbar, M.; Cai, R.G. Thermodynamic Behavior of Field Equations for F(R) Gravity. Phys. Lett. B 2007, 648, 243. [Google Scholar] [CrossRef]
- Bamba, K.; Geng, C.Q. Thermodynamics in F(R) gravity with phantom crossing. Phys. Lett. B 2009, 679, 282. [Google Scholar] [CrossRef]
- Man, J.; Cheng, H. Thermodynamic quantities of a black hole with an F(R) global monopole. Phys. Rev. D 2013, 87, 044002. [Google Scholar] [CrossRef]
- Soroushfar, S.; Saffari, R.; Kamvar, N. Thermodynamic geometry of black holes in f(R) gravity. Eur. Phys. J. C 2016, 76, 476. [Google Scholar] [CrossRef]
- Zheng, Y.; Yang, R.J. Horizon thermodynamics in f(R) theory. Eur. Phys. J. C 2018, 78, 682. [Google Scholar] [CrossRef]
- Fang, X.; He, X.; Jing, J. Consistency between dynamical and thermodynamical stabilities for perfect fluid in f(R) theories. Eur. Phys. J. C 2018, 78, 623. [Google Scholar] [CrossRef]
- Hendi, S.H.; Ramezani-Arani, R.; Rahimi, E. Thermal stability of a special class of black hole solutions in F(R) gravity. Eur. Phys. J. C 2019, 79, 472. [Google Scholar] [CrossRef]






| 0.01 | 0.03 | 0.05 | |
| 0.2357 | 0.3611 | 0.4507 |
| 0.01 | 0.03 | 0.05 | |
| 0.3752 | 0.5097 | 0.5921 |
| 0.04 | 0.05 | 0.06 | 0.07 | 0.08 | 0.09 | 0.1 | |
| 4.8731 | 4.8664 | 4.8597 | 4.8529 | 4.8461 | 4.8391 | 4.8321 | |
| 0.0434 | 0.0434 | 0.0435 | 0.0435 | 0.0435 | 0.0435 | 0.0436 | |
| 0.0033 | 0.0033 | 0.0033 | 0.0033 | 0.0034 | 0.0034 | 0.0034 |
Disclaimer/Publisher’s Note: The statements, opinions and data contained in all publications are solely those of the individual author(s) and contributor(s) and not of MDPI and/or the editor(s). MDPI and/or the editor(s) disclaim responsibility for any injury to people or property resulting from any ideas, methods, instructions or products referred to in the content. |
© 2024 by the author. Licensee MDPI, Basel, Switzerland. This article is an open access article distributed under the terms and conditions of the Creative Commons Attribution (CC BY) license (https://creativecommons.org/licenses/by/4.0/).
Share and Cite
Kruglov, S.I. Thermodynamics of Magnetic Black Holes with Nonlinear Electrodynamics in Extended Phase Space. Universe 2024, 10, 295. https://doi.org/10.3390/universe10070295
Kruglov SI. Thermodynamics of Magnetic Black Holes with Nonlinear Electrodynamics in Extended Phase Space. Universe. 2024; 10(7):295. https://doi.org/10.3390/universe10070295
Chicago/Turabian StyleKruglov, Sergey Il’ich. 2024. "Thermodynamics of Magnetic Black Holes with Nonlinear Electrodynamics in Extended Phase Space" Universe 10, no. 7: 295. https://doi.org/10.3390/universe10070295
APA StyleKruglov, S. I. (2024). Thermodynamics of Magnetic Black Holes with Nonlinear Electrodynamics in Extended Phase Space. Universe, 10(7), 295. https://doi.org/10.3390/universe10070295

